1. Introduction
Several studies have been conducted on environmental disasters worldwide. The growing concern about climate change affects the daily lives of citizens. There is an escalating demand for research, information, and action to address the challenges of drought assessment in the context of a changing climate [
1]. One study simulates the effects of climate change across different continents. By considering the non-linear impact of historical temperature, researchers found that rich and poor countries behave similarly, indicating that it cannot be assumed that a wealthier country will suffer less [
2]. According to the authors, projections using linear and non-linear approaches diverge, and unmitigated warming could reshape the global economy due to the strong negative correlation between income levels and local temperatures. Hotter and poorer countries are likely to experience greater reductions in growth, thus increasing global inequality.
Rio Grande do Sul (RS) is a state that has been suffering from various hydrometeorological hazards. According to the Governo do Estado do Rio Grande do Sul, droughts account for the most frequent disasters in RS [
3], with floods coming in second place. Droughts generate the greatest private losses and also reduce the state’s revenue. As part of its medium-term planning for 2023–2027, the State Government prioritized the “Overcome Drought” initiative, aimed at addressing the effects of this disaster. This plan seeks to expand access to water, improve rural infrastructure, and enhance the management of available resources, with a particular focus on protecting and restore watersheds.
In this study, we focus on the Socioeconomic Drought, examining the economic consequences of the drought for the affected communities. This broader analysis extends beyond the direct impact on nature and agriculture.
Figure 1 illustrates the types of climate events from 2002 to 2023 in RS, showing a prevalence of drought events, with the years 2004, 2005, 2009, 2012, 2020, 2022, and 2023 impacting more than half of the state’s municipalities. Floods and heavy rains are the second most common type of event. The consequences of the types of disasters vary widely.
Table 1 shows that agriculture is the sector with the greatest losses from 2010 to 2023 (78%), equivalent to BRL 75.2 billion (USD 15.5 billion). Livestock is the sector second most affected by losses. In terms of event type, droughts generate the majority of losses, around 80%. Most of these losses are private (97%), with only a small portion being public losses (3%). The droughts occurring in RS are notable for not resulting in human casualties.
In addition to the immediate effects, there is a need to analyze the long-term effects of natural disasters. The risk of disasters can promote increases in human capital, potentially offsetting reductions in the return on physical capital. Disasters can also stimulate the development of new technologies and modernization of capital stock, leading to increased total productivity [
4]. Regarding the role of government fiscal structure in preventing disaster-induced fatalities, evidence suggests that more decentralized countries, measured by the proportion of subnational spending relative to total government spending, experience fewer fatalities during such events [
5]. Benefits accrue through pre- and post-disaster management activities, highlighting the importance of zoning, police and fire services, transportation, and health services in reducing loss of life. Studies show that decentralization in the absence of sufficient levels of human capital may be ineffective [
5]. According to the Banco Mundial [
6], several mechanisms are available to address disaster-related losses, including budgetary resources, disaster funds, and catastrophe bonds, which function as a form of insurance.
In 2023, the Brazilian federal government issued its first sovereign bond aimed at sustainability, valued at USD 2.0 billion with the objective of funding public expenditures that promote sustainability, mitigate climate change, conserve natural resources, and support social development [
7].
Among the disasters causing the most significant losses in RS are severe droughts, which occur with a frequency of 2 to 3 times per decade. A state like RS, where agriculture represents a major economic sector, feels the substantial impact of these events. An evaluation of the 2007/2008 drought effects on RS’s economy, used an input-output model, operating on the premise that insufficient rainfall impacts the agricultural sector directly, which, due to its integration within the economic matrix, also has extensive indirect effects. The results indicated that, without drought, RS’s GDP could have increased by 2.1 percentage points in its growth rate beyond, with more than half of the impacts stemming from indirect effects on the industry and services sectors [
8]. Another analysis of the 2008 subprime crisis in Brazil, using survival analysis, suggest that a higher education level among workers and a metropolitan location are two factors that contribute to a rapid economic recovery [
9]. Survival analysis was applied to small business in RS from 2017 to 2023, covering the COVID-19 pandemic period, showed the worst survival rate in the metropolitan region and in the commerce sector [
10].
To gain deeper insight into this phenomenon, which is critical to RS’s economy and common in other regions and countries, this article aims to analyze the duration of droughts across municipalities during the last three major events (2020, 2022, and 2023), measuring the time required for economic recovery. In these three years, reported private sector losses exceeded BRL 18.5 billion (USD 3.8 billion, Exchange rate 1 USD = BRL 4.85, 1 January 2024) each year. These amounts represent 2.9% of the 2023 GDP of Rio Grande do Sul, estimated at BRL 640 billion (USD 132 billion). In this context, we employ survival analysis, using the Kaplan-Meier procedure, complemented by the Cox procedure. Data on invoices issued by companies in each municipality are utilized, with their total monthly values tracked for monitoring purposes. In addition to this introduction, which outlines the disasters in RS, this article include
Section 2, presenting a literature review on drought.
Section 3 details the methodological procedures.
Section 4 presents and discusses the results. The final section offers the article conclusions.
2. Drought Literature Overview
A fundamental way to understand the increasing risk of drought is by integrating natural and human dimensions. The definitions of drought describe the impacts of drought (meteorological, agricultural, hydrological, and socioeconomic) through a human-centered lens, partly forgetting the ecological dimensions of drought. Ecological drought is defined as an episodic water deficit that pushes ecosystems beyond vulnerability thresholds, impacting ecosystem services and natural and human systems [
11]. An analysis of the effects of drought on environmental systems highlighted that drought has complex effects in different systems (e.g., soils, air, vegetation and forests, and wildlife). Most environmental systems demonstrate strong resistance and resilience to drought events, and the effects of drought are generally temporary [
12]. Climate change is a global phenomenon, and poor regions suffer more than others because their economies rely on the natural resources and have limited coping capacity. The relationship between disaster risk, poverty, and vulnerability reveals that households should seek to diversify at least some of their income from non-agricultural enterprises to mitigate the financial impacts of floods and droughts [
13].
Over the past 30 years, the United States has suffered more than 90 climate-related disasters, resulting in damages exceeding USD 700 billion. There are calls for mitigation measures and adaptation strategies to develop long-term risk management plans. New alternatives to current agricultural management models should be implemented in certain regions. For example, the existence of a database on extreme weather events and their impacts, containing costs and damages, to increase understanding of the events, and improve preparedness plans, involving everything from financial assistance and crop insurance to a safety net for emergency aid [
14].
In drought assessment and diagnosis, the terms “observation” and “monitoring” are sometimes used interchangeably. Observation describes the action or process of measuring or recording something to collect data about it, such as a rainfall observation. Monitoring describes the observation of the progress or impacts of drought over time. The use of satellite and radar observations can support modeling analyses that assimilate the data to produce soil moisture analyses and even measure environmental changes, supporting inferences about drought impacts. Despite these tools, major gaps remain. Impact reporting relies on volunteers willing to submit their reports, and many socioeconomic impacts go unreported [
1]. In the United States, drought is the most common disaster, and analyses of its impacts generally focus on short-term loss of income and production. There is a lack of studies about long-term effects, including interdisciplinary ones [
15].
In southeastern Australia, application of a dynamic computable general equilibrium model to the analysis of the prolonged drought of 2006 to 2008 revealed that drought reduced real GDP in some small regions by up to 20 percent. Irrigation water trading and farm factor movements alleviate losses. Drought results in an estimated 6000 jobs being lost across the southern basin. Ten years later, job numbers remain 1500 below forecast [
16]. Continuing in Australia, a survey of 8000 adults in agricultural areas aimed at understanding the effects of drought on the economic, health, and social indicators found that drought has a substantial negative economic and health impact on farmers and others employed in the agricultural sector, particularly on mental health. Groups not employed in agriculture were also negatively affected [
17].
In a broader analysis of the drought in Spain’s Ebro River Basin, one of the largest rivers in the country, direct and indirect economic impacts were estimated through an input-output framework. The results show that the climatic episode resulted in a direct loss of gross value added of more than EUR 482 million in the two direct sectors, with an additional induced loss of production of EUR 377 million, which also resulted in a reduction of more than 11,000 jobs [
18]. The governments and donors generally adopt a reactive approach, that is, after the drought event, including impact assessment, response actions, recovery, and reconstruction to restore the affected region to its pre-disaster state. Proactive risk management actions aimed at reducing future impacts rarely take place. Thus, planning measures that involve everything from monitoring to early warning systems are left aside. In the future, droughts will exert greater pressure on water resources as they are accentuated by climate change and collide with the increased demand for water resulting from population growth and economic development [
19].
A study was conducted looking at disasters in RS, divided by types of events and analyzed by the 9 Regional Civil Defense and Protection Coordinations (CREPDEC). Droughts are divided into two types: short (
estiagens), which is the result of a lack of, reduction in, or delay of rainfall expected for a given period, or longer (
secas), which causes hydrological imbalance. In RS, droughts were recorded in almost every year. The El Niño and La Niña phenomena cause several changes in climate dynamics, and in RS, in the years with the highest occurrence of drought, most of them were under the influence of La Niña. Between 2017 and 2021, the highest number of occurrences occurred in the first six months of the year. The highest was in the month April, with 118 occurrences, followed by March [
20].
Figure 2 allows us to understand where droughts occur most frequently in the RS municipalities. The map shows two concentrations, in the south of the state in cities with large territories and in the north of the state in smaller municipalities
RS state is the southernmost state in Brazil, bordering Argentina in the northwest and Uruguay in the south-west and in close proximity to Paraguay. Rio Grande do Sul has a GDP of USD 132 billion, making it the fifth largest state GDP in Brazil, representing 5.9% of the national economy. The GDP per capita is around USD 12,000, 10% higher than the national average. It is about half of Uruguay’s per capita income. It still has substantial inequalities in the seven regions analyzed. The population of RS was 10,880,506 inhabitants in 2022. The IDH was 0.771 in 2021. The state also faces a demographic challenge due to an aging population.
Many studies use mesoregions as a framework for analysis. There are seven mesoregions in RS defined by the Brazilian Institute of Geography and Statistics.
The agrarian structure played an important historical role in the socioeconomic formation of these regions, but due to urbanization, social programs and policies, and the macroeconomic situation, a homogenization of the indicators has begun. A study reached this conclusion by comparing two RS mesoregions with distinct initial characteristics: the southwest, where the Pampa biome prevails, characterized by grasses, creeping plants, shrub-tree forests, rugged topography with shallow and infertile soils, and extensive rural development; and the northwest, which is composed of small and medium-sized properties, with a diversified development dynamic, yet remains largely dependent on the Primary Sector [
21].
The analysis of land structure identifies a strong relationship between the inequality of the land structure and the health indicators of the microregions, including the infant mortality rate and life expectancy at birth, and not specifically for people directly dependent on agriculture or living in rural areas [
22].
Coase’s reflection effectively illustrates the impact of choices on production. The cost of exercising a right by using a production factor can result in losses elsewhere. For example, this will result in polluted air, in this case resulting from the generation of smoke, as could be another negative effect caused by the generation of noise. It would be desirable for actions to occur only when the benefits outweigh the costs [
23]. Development or growth is a historical phenomenon that depends on a national development strategy [
24].
It is important to properly assess all factors that contribute to the economic impacts of droughts, such as the importance of the level and composition of hydraulic capital, the dispersion of economic impacts across different activities and economic agents, and the temporality of drought events, among others [
25]. The effects of droughts in industrialized countries do not affect human capital, but this is not the case in less-developed countries, where droughts can be associated with malnutrition and loss of life. Droughts have a specific temporality, and this factor is usually more important than in other natural hazards when assessing economic impacts. In a study about England and Wales, where the water supply system is considered to be under stress, a water scarcity simulation was carried out using a dynamic model of national water systems to assess the overall risk of drought to the economy. The study showed that indirect losses are almost three times greater than direct losses [
26].
Given the possibility of more persistent and recurrent droughts in face of climate change, production of some crops such as cassava may expand in order to help some countries to achieve food security. In terms of the global annual production, cassava is the sixth biggest crop. It benefits both smallholders and large-scale plantations due to its ability to tolerate dry conditions and easy and low-cost propagation. It is a staple food for over 800 million people in Africa, Asia, and South America [
27]. In Nigeria, assessment of drought impacts showed that recent climate change was responsible for the increase in drought occurrences with smaller areal extents [
28].
Research on long-term drought trends and spatial variability of drought in China found that compared with the past (1901–2017), the climate in the future (2018–2100) will tend towards significant droughts, although both periods showed high spatial heterogeneity in China [
29]. A study in central-eastern Brazil from an analysis of evaporative demand shows that the current aridity has no precedent in the last seven centuries. This trend indicates an increased risk of future severe long-term drought, mainly determined by the evaporation driven by global warming and connected to emission of greenhouse gases [
30]. It is very important to have a good estimation about when a drought will end. This affects decision-making. In the western United States, a model was developed to quantify the probability of drought recovery (PDR). The results indicate a lower PDR of ~25–50% in the last two decades when compared to historical data from 1901–1980. At least one third of this reduction in PDR is attributed to climate change. It is also related to the increase in evaporative demand in seasons other than winter. They indicate an additional 1–4 months to recovery [
31]. It is important to note that the probability of drought is defined in many ways in different studies. In Thailand, seeking a broad assessment of extreme hydroclimatic events, water storage was studied, which pointed to the need for management based more on demand than on supply. It also highlights the need for early warning systems for both floods and droughts [
32].
3. Methodology
Survival analysis (SA) is a widely used technique, especially the Kaplan–Meier estimator [
33] and the Cox model [
34]. The response variable for this type of analysis is the time elapsed until the occurrence of an event of interest, which is called the failure time. This technique is widely used in medical science to evaluate different treatments in groups of patients under observation. In this study, the event being studied is the way out of the economic crisis of drought in the municipalities of Rio Grande do Sul. Therefore, in this study, the occurrence of the event, or failure, is considered a positive factor, essentially a recovery.
In general terms, SA aims to determine the probability of survival and the risk of an event for a group of individuals based on time itself and variables called covariates [
35]. SA will allow for dealing with problems in which the occurrence of the event is not constant over time, and its analysis database will contain the presence of censorship, this being its main characteristic, in this specific case of the observations referring to municipalities that did not present a relevant economic downturn due to droughts [
36].
In a hypothetical example, censorship would apply to patients who did not take medication for a given illness, thus functioning as a control group to verify the effects of the medication on the treated group. Observations of patients who stopped taking the medication in the middle of treatment or even those who moved to another city and could no longer be monitored would also be censored.
In this article, censorship of an observation occurs when a municipality did not experience a drop in economic activity, that is, the drought had no economic effect, although it may have been officially declared for other reasons, such as accessing resources or being able to adopt emergency measures. Observations of those municipalities whose time was longer than 8 months are also censored because this is much longer than the average plus two standard deviations, placing them as a tail effect.
In studies with small samples, those that seek to analyze long-term outcomes, or where there is competition for censoring, there is a certain limitation to using the Kaplan–Meier method. The semiparametric analysis of the Cox model will be used in addition when the use of covariates is necessary. This will make it possible to identify which variables decrease or increase the chance of an event occurring.
In this study, our interest is to verify the duration of the economic crisis in the municipalities affected by the drought, or in other terms, the time to recover. We use the limit of 8 months to censure observations because only a few municipalities are above this number, and the average plus two standards deviations is 7.2 in the year 2023. The numbers of observations censured were 3, 9, and 16 in the years 2020, 2022, and 2023, respectively. To determine the number of months in which each municipality remained in crisis, we consider that the month of beginning would be when the total value of invoices issued in the municipality, both directly to companies and to consumers, measured as a 12-month monthly moving average with the month evaluated as the last month of the series, showed a drop. The threshold point adopted was a 15% drop in the month under analysis, which would be equivalent to a drop in the moving average of 1.25%, and this is the criterion applied to all months. After that, the maximum time that each municipality remained in crisis is verified.
The data used in this study are from the Revenue Agency of RS, covering the period from 2019 to 2023. We focus on the last three droughts that occurred recently and that had great impact in terms of municipalities hit, i.e., in the years of 2020, 2022, and 2023. The years are analyzed separately.
Figure 3 below shows a standard pattern in 2022 and 2023, that is, a drought in the summer. 2020 is an unusual drought that occurs throughout the year. Yet 2020 is the year that COVID-19 emerged, and this could have the effect of hindering recovery.
In the first analysis, there are three size ranges of municipalities that are based on the number of habitants. The first bracket comprises the municipalities with less or equal than 10,000 habitants, the second is composed of municipalities from 10,001 to 99,999 habitants, and the third band are made up of those with 100,000 habitants or more. The second form of analysis is based on economic activity, which is condensed into four main sectors (agriculture, livestock, industry and service). The classification is based on the main sector of each municipality. The last analysis focuses on geographic location, composed of seven mesoregions. In Cox’s semiparametric technique, the effect of the size, mesoregion, and other covariates are tested.
The survival function is defined as the probability of an observation not failing until a certain time t, that is, the probability of an observation surviving time t. This is written as follows:
where S(t) is the survival function; t is the non-negative random variable; T is the maximum time that t can reach. The cumulative distribution function is defined as the probability of an observation not surviving time t:
The survival function is equal to 1 at the beginning of the period, and as time passes, it tends to decrease or remain constant. The failure rate function λ(t) is useful for describing the lifetime distribution of companies as it describes the way in which the instantaneous failure rate changes over time.
Survival analysis refers to the probability of a municipality economic recovery after a certain time; if formulated by risk analysis, it refers to the risk of a municipality’s economy emerging from the drought disaster and recovering. The function can be represented according to strata originating from the classification of covariates, thus being able to evaluate the survival of subgroups, which may present important variations. The Log-rank hypothesis test is used to evaluate these subgroups. The null hypothesis is that the risk is the same for each extract.
To estimate the effects of covariates, COX modeling is used. This model adopts proportional risks. It was tested by graphical approach and the Shoenfeld Residuals Test [
37]. The variables used in this model are described in
Table 2.
Table 3 shows that in large cities, the service sector predominates, while in small cities, agriculture is the main economic activity. As for the Mesoregions, the Nordeste and Centro Oriental regions are balanced. The Centro Ocidental, Noroeste, and Sudoeste regions are based on agriculture. The Sudeste is based on agriculture and services, and the Metropolitana region is dominated by the service sector, followed by industry. Livestock farming is concentrated in only three regions: Central Oriental, Nordeste, and Noroeste.
4. Results and Discussion
The descriptive analysis of municipalities in crisis during the three recent droughts reveals that at least ¼ of the municipalities are not affected and that at least 30% of those that enter crisis return to normal within 1 month. Rapid recovery, that is, within 3 months, is observed in 75% of the municipalities. The maximum time of permanence with low economic activity can reach 10 to 15 months, but it affects very few municipalities. It is important to highlight that the number of municipalities in crisis according to the method used in the study was very close to the number of officially recognized municipalities, which validates the criterion used.
Figure 4 shows the histograms for each year, which confirm the data in
Table 4, in which case censorship has not yet occurred in both years. The histograms allow us to visualize the rapid recovery of economic activity in months measured by the total value issued in invoices for products and services subject to ICMS tax.
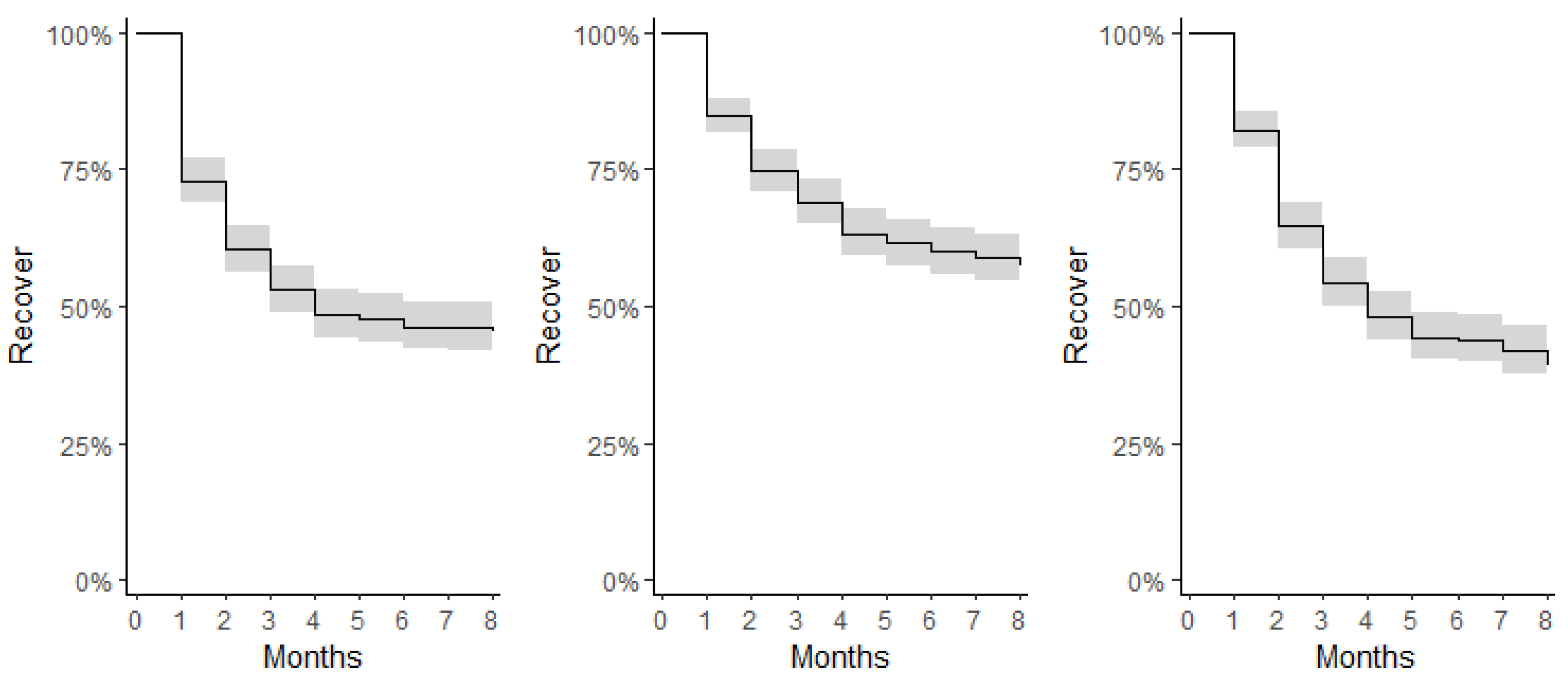
The global analysis by year using the Kaplan–Meier method shows that around 50% of municipalities are not experiencing a crisis, even validating that less municipalities entered a crisis in 2022. In 2020, we had a large percentage of recovery in the first month, while in 2023, we had two important stages of recovery in months 1 and 2 (
Figure 5). The graphs in this analysis need to be read in combination, with the lower part representing the municipalities that did not experience a crisis or were censored, and the upper part representing the first months will show whether the recovery was faster.
The analysis of municipality recovery by main sectors of economic activity shows a recovery in four sectors in each year (
Figure 6). In all years, the impact of the drought was greater on agriculture and livestock in terms of time to recover. In the year 2023, livestock was the sector that had the worst time to recover. Generally, the municipalities where the service sector or industry are the main activities tend to be more resilient. In 2023, the service sector was more affected than industry. It is important to emphasize that the effects of droughts may be felt with some delay since they tend to affect agriculture and livestock farming more. Agriculture is characterized by the harvest period, which, in the case of Rio Grande do Sul, where the main product is soybeans, occurs between March and May. The databases indicate the month of April as the main month in which the effects begin, with the highest occurrence of time = 1.
Geographical analysis by mesoregion shows how and where economic recoveries from droughts occur (
Figure 7). Overall, the most resilient region is the metropolitan region, where the service sector predominates, with strong industry, followed by the central-eastern and northeastern regions, which are regions where economic activities are more balanced between industry, services, agriculture, and livestock. The other regions are the most affected and are those where the agricultural sector is predominant (central-western, northwest, southeast, and southwest). In 2020, the most affected region was the central-western region, closely followed by the northwest and southeast regions. In 2022, the most affected region was the southwest, followed by the central-western region. In 2023, the most affected regions were the northwest and southeast.
Regarding the size of cities,
Figure 8 shows a positive relationship between size and resilience. Larger municipalities are less likely to experience crises, although there is a large dispersion. Municipalities with fewer than 10,000 inhabitants are those that need more time to recover economically. In the 2023 drought, a very similar effect can be seen between small and medium-sized municipalities (Sizes 1 and 2).
The global median per year was 4 months. This calculation only considers municipalities that entered crisis. All the Log Rank tests validate the results presented. Unlike the Kaplan–Meier procedure, in which the time variable determines the recovery of a municipality’s economy, in the Cox model, the risk of recovery is the result of the effect of one or more explanatory variables, in this case the size of municipalities (population), its regional location, the value added of agribusiness sector, and the log of municipality GDP. The choice of the variables is based on the literature, similar empirical studies, tests validations, and depending on the availability of information. We decided to adopt a model that best covered the periods in their similarities, seeking to confirm repeated effects.
The analysis according to the COX model shows that the size of the municipality appears to be significant, with size 2 in 2022 and size 3 in 2023 both improving in recovery time, with 38% and 68%, respectively (
Table 5). As for the analysis of the mesoregions, the metropolitan region stands out in all droughts as the one with the greatest resilience, showing the best chance of recovery, ranging from 54% to 80%. Other regions that have a better chance of recovery depending on the specific drought are the central-eastern, northeast, and southwest regions. The northwest region sometimes has a positive and sometimes a negative impact. The variable representing the gross added value of the agricultural sector has no influence. The logarithm of GDP variable shows an improvement in recovery but at a significance of 0.1.
Figure 9 initially highlights the hazard ratio for 2023, the last drought, in relation to municipality size 1 (less than 10,000 habitants), and the central-western mesoregion. When the position is in the left, there is a better chance of recovery, and if it is in the right, the variable contributes to a later recovery.
Table 6 presents the risk proportionality test, whose null hypothesis admits the proportionality of risks between establishments as time increases. The global analysis confirms the results for 2020 and 2023. Of the four variables tested, size and Log GDP are consistent in all years and confirm the proportional risk.
Krugman shows how a country can endogenously become differentiated into an industrialized “core” and an agricultural “periphery” [
38].
Understanding the role of agriculture in the economic growth process is critical to determining the appropriate balance with other sectors with respect to direct government investment or investment assistance, budget allocations for research programs, and the tax burden levied [
39]. According to Fochezatto and Grando, in the absence of drought, the GDP of the state of RS could have increased by 2.1 percentage points in growth [
8]. Our study also points out the importance of a high level of attention to recurrent droughts that occur in RS and their impact in small cities, four mesoregions, and agriculture-dependent economies, despite the fast recovery observed.
Figure 10 shows the time to recover in the 497 cities of RS. The worst recovery in the map appears in the central-south and in the north. It can be related to
Figure 2, where more events occur. Thus, we see a certain coincidence between the number of events and the duration.
5. Conclusions
This study aims to evaluate the duration of the last three droughts in Rio Grande do Sul state. Natural disasters are one of the biggest concerns worldwide today. Drought is the most typical recurrent phenomena in the state of RS, with serious damage in most municipalities. The Kaplan–Meier estimator and Cox regression model were used to analyze the economic recovery in the municipalities in the years 2020, 2022, and 2023. The variables used were municipality size (population), main sector of activity, and geographic location. Data used to monitor the crisis and economic recovery were collected from the State Revenue Agency of Rio Grande do Sul, consisting of the sum of total value in invoices issued in the municipality each month.
The key findings are that recovery is fast in the largest cities in metropolitan regions. The worst ability to recover is concentrated in small cities, in the cities that have agriculture and livestock as their main economic activities. The regions that usually suffer most are central-western, northwest, southeast, and southwest. The study suggests that despite the fast recovery of 75% or more of the municipalities in crisis, a stronger policy should be in practice for those municipalities that have more difficulties in managing the event and suffer for the longest period. The study confirms that the effects of drought are generally temporary, as has been described in the literature [
12]. Perhaps this could generate a certain apathy in the search for more robust solutions to reduce the effects of droughts. The application of this method to the droughts of RS can provide a baseline for verifying in the future whether the effects in terms of time are shortening or lengthening. It will also allow the use of this method in other regions to provide comparative effects.
The study highlights the importance of continued research across different regions and countries to validate these findings and improve drought prevention policies. Future lines of research should explore the effects of drought on the growth rate of the state, inequality, and demography. This research provides valuable insights into the relationship between drought, regions, economic activity, and size of cities, offering a robust foundation for future studies and regional policy development.