Climate Risk Analysis Using a High-Resolution Spatial Model in Costa Rica
Abstract
:1. Introduction
2. Methodology
2.1. Geographical Setting
2.2. Data and Variables
2.2.1. Hazard
2.2.2. Exposure
2.2.3. Vulnerability
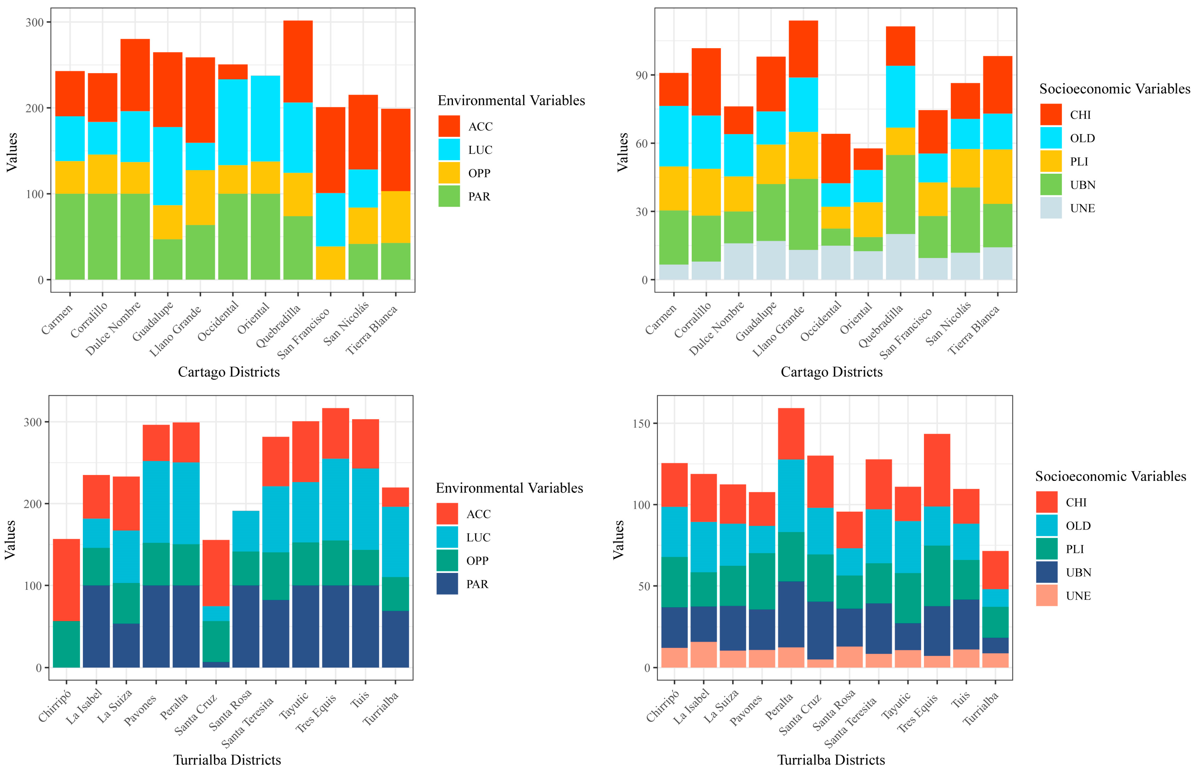
3. Results
3.1. Risk Analysis for the Cartago Municipality
3.1.1. Vulnerability
3.1.2. Analysis of the Rainfall Risk Index According to the Differential Exposure Criteria
3.2. Risk Analysis for the Turrialba Municipality
3.2.1. Vulnerability
3.2.2. Analysis of the Rainfall Risk Index According to the Differential Exposure Criteria
4. Discussion
4.1. Methodological Limitations
4.2. Implications of Vulnerability and Exposure Indexes
5. Conclusions
Author Contributions
Funding
Data Availability Statement
Conflicts of Interest
References
- Thomas, V.; López, R. Global Increase in Climate-Related Disasters. ADB Economics Working Paper Series. 2015. Available online: https://www.adb.org/sites/default/files/publication/176899/ewp-466.pdf (accessed on 10 January 2023).
- Mora, S.; Saborío, J.; Saborío, M.; González, P. La Variabilidad Climática y el Calentamiento Global Antropogénico (CGA) en el Contexto de Reordenamiento Territorial y los Planes Reguladores en Costa Rica; Documento de Apoyo para el Protocolo; CTCN: Copenhagen, Denmark, 2018. [Google Scholar]
- UNDRR—United Nations Office for Disaster Risk Reduction. Global Assessment Report on Disaster Risk Reduction 2022: Our World at Risk: Transforming Governance for a Resilient Future; UNDRR: Geneva, Switzerland, 2022. [Google Scholar]
- IPCC. Climate Change 2022: Impacts, Adaptation, and Vulnerability; Contribution of Working Group II to the Sixth Assessment Report of the Intergovernmental Panel on Climate Change; Pörtner, H.-O., Roberts, D.C., Tignor, M., Poloczanska, E.S., Mintenbeck, K., Alegría, A., Craig, M., Langsdorf, S., Löschke, S., Möller, V., et al., Eds.; Cambridge University Press: Cambridge, UK; New York, NY, USA, 2022; 3056p. [Google Scholar]
- World Economic Forum. The Global Risks Report 2018, 3rd ed.; World Economic Forum: Geneva, Switzerland, 2018. [Google Scholar]
- UNDRR. Disaster Risk Reduction in the Philippines: Status Report 2019; United Nations Office for Disaster Risk Reduction (UNDRR), Regional Office for Asia and the Pacific: Bangkok, Thailand, 2019. [Google Scholar]
- Cardona, O.D.; van Aalst, M.K.; Birkmann, J.; Fordham, M.; McGregor, G.; Perez, R.; Pulwarty, R.S.; Schipper, E.L.F.; Sinh, B.T. Determinants of risk: Exposure and vulnerability. In Managing the Risks of Extreme Events and Disasters to Advance Climate Change Adaptation; A Special Report of Working Groups I and II of the Intergovernmental Panel on Climate Change (IPCC); Field, C.B., Barros, V., Stocker, T.F., Qin, D., Dokken, D.J., Ebi, K.L., Mastrandrea, M.D., Mach, K.J., Plattner, G.-K., Allen, S.K., Eds.; Cambridge University Press: Cambridge, UK; New York, NY, USA, 2012; pp. 65–108. [Google Scholar]
- Aldunce, P.; Neri, C.; Szlafsztein, C. Hacia la Evaluación de Prácticas de Adaptación ante La Variabilidad y el Cambio Climático. Biblioteca do Núcleo de Meio Ambiente/UFPA, Belém. 2008. Available online: https://repositorio.uchile.cl/bitstream/handle/2250/170287/Hacia-la-evaluacion-de-practicas-de-adaptacion.pdf?sequence=1&isAllowed=y (accessed on 2 March 2023).
- Thomas, V.; Albert, J.R.G.; Perez, R.T. Climate-Related Disasters in Asia and the Pacific. ADB Economics Working Paper Series. Asian Development Bank. 2013. Available online: https://www.adb.org/sites/default/files/publication/30323/ewp-358.pdf (accessed on 23 May 2023).
- UNISDR (The United Nations Office for Disaster Risk Reduction). Marco de Sendai para la Reducción del Riesgo de Desastres 2015–2030. 2015. Available online: https://www.unisdr.org/files/43291_spanishsendaiframeworkfordisasterri.pdf (accessed on 27 December 2022).
- UNISDR (The United Nations Office for Disaster Risk Reduction). Annual Report 2011. UNISDR Secretariat Work Programme 2010–2011. 2011. Available online: https://www.unisdr.org/files/27627_ar2011v2.pdf (accessed on 27 December 2022).
- OCDE. Estudios Económicos de la OCDE. 2020. Available online: https://www.oecd.org/economy/surveys/costa-rica-2020-OECD-economic-survey-overview-spanish.pdf (accessed on 8 January 2023).
- Lavell, C.; Lavell, A. Informe Técnico Sobre Desastres en la Región: 1999–2009 Riesgo, Desastre y Gestión del Riesgo en Centroamérica: 1999 a 2010. Informe Técnico sobre Desastres en la Región 1999–2009_IV Informe Estado de la Región; PEN: San José, Costa Rica, 2010. Available online: https://repositorio.conare.ac.cr/bitstream/handle/20.500.12337/528/727.%20Informe%20t%c3%a9cnico%20sobre%20desastres%20en%20la%20regi%c3%b3n%201999-2009_IV%20Informe%20Estado%20de%20la%20Regi%c3%b3n_Libro%20completo.pdf?sequence=1%26isAllowed=y (accessed on 27 May 2023).
- Chicas, R. Técnicas Estadísticas de Análisis Multivariante Aplicadas a la Interpretación de Variables del Cambio Climático. Revista Iberoamericana de Bioeconomía y Cambio Climático. 2017. Available online: http://portal.amelica.org/ameli/jatsRepo/394/3941752001/index.html (accessed on 15 January 2023).
- Retana, J.; Calvo, M.; Sanabria, N.; Córdoba, J.; Calderón, K.; Cordero, K. Análisis de Riesgo Ante Eventos Hidrometeorológicos Extremos en Costa Rica. Casos de Estudio: Liberia, Carrillo, Matina y Talamanca, 1–117. 2017. Available online: http://cglobal.imn.ac.cr/documentos/publicaciones/RiesgoEventosHMExtremos/offline/download.pdf (accessed on 15 March 2021).
- Quesada-Román, A. Landslide risk index map at the municipal scale for Costa Rica. Int. J. Disaster Risk Reduct. 2021, 56, 102144. Available online: https://www.sciencedirect.com/science/article/abs/pii/S2212420921001102?via%3Dihub (accessed on 14 March 2023). [CrossRef]
- Charpentier, W.; Flores, A.; Garro, M.; Vargas, M. Determinación del Riesgo Climático Actual ante Eventos Hidrometeorológicos Extremos, en Ocho Cantones de Costa Rica con Alta Recurrencia durante los Últimos Treinta Años a Partir de Indicadores Socio-Espaciales (1988–2017). Bachelor’s Thesis, Universidad de Costa Rica, Escuela de Geografía, San José, Costa Rica, 2021. [Google Scholar]
- Godschalk, D.R.; Beatly, T.; Berke, P.; Brower, D.J.; Kaiser, E.J. Natural Hazard Mitigation: Recasting Disaster Policy and Planning; Island Press: Washington, DC, USA, 1999. [Google Scholar]
- Quesada-Román, A. Geomorfología Fluvial e Inundaciones en la Cuenca Alta del Río General, Costa Rica. Universidad Nacional de Costa Rica. 2017. Available online: https://doi.org/10.11137/2017_2_278_288 (accessed on 13 February 2023).
- Florida International University (FIU). Disaster Risk Reduction Program. El Niño Southern Oscillation (ENSO) 2015–16 Latin American and Caribbean Region. 2016. Available online: https://drr.fiu.edu/enso-201516/report-no3_jan2016_english.pdf (accessed on 10 January 2023).
- Quesada-Román, A. Implicaciones en la gestión del riesgo de desastres y ambiente en el Valle Central en los últimos treinta años (1985–2015). In Vigesimoprimer Informe Estado de la Nación en Desarrollo Humano Sostenible; CONARE: San José, Costa Rica, 2014. [Google Scholar]
- Guiskin, M.; Yanes, P.; Negrete, M. IFAD. Investing in Rural People. The Rural Youth Situation in Latin America and the Caribbean. 2019. Available online: https://www.ifad.org/documents/38714170/41187395/19_Guiskin_2019+RDR+BACKGROUND+PAPER.pdf/8b4b5a01-0a2e-dcf6-8eb2-73a0ca03ea14 (accessed on 11 January 2023).
- Ortega, J.; Bandy, W.; Valiente-Banuet, A. Late Quaternary evolution of alluvial fans in the Playa, El Fresnal region, northern Chihuahua desert, Mexico: Palaeoclimatic implications. Geofísica Int. 2004, 43, 445–466. [Google Scholar] [CrossRef]
- Sanchez, R. Urbanización, Cambios Globales en el Ambiente y Desarrollo Sustentable en América Latina; IAI, INE, UNEP; IAI: São José dos Campos, Brasil, 2007. [Google Scholar]
- Comisión Nacional de Prevención de Riesgos y Atención de Emergencias (CNE). Política Nacional de Gestión del Riesgo 2016–2030; CNE y Ministerio de Ambiente y Energía (MINAE): San José, Costa Rica, 2015. [Google Scholar]
- Olcina, J. Prevención de Riesgos: Cambio Climático, Sequías e Inundaciones. Panel Científico-Técnico de Seguimiento de la Política del Agua. Departamento de Análisis Geográfico Regional y Geografía Física. Universidad de Alicante. 2008. Available online: http://hdl.handle.net/10045/23016 (accessed on 22 March 2023).
- Mora, R.; Vahrson, W.; Mora, S. Mapa de Amenaza de Deslizamientos, Valle Central, Costa Rica; Centro de Coordinación para la Prevención de Desastres Naturales en América Central (CEPREDENAC): Ciudad de Guatemala, Guatemala, 1992. [Google Scholar]
- INEC—Instituto Nacional de Estadística y Censos. National Population Projections for 2020 based on 2011 National Census; INEC: San José, Costa Rica, 2020. [Google Scholar]
- INDER—Instituto De Desarrollo Rural. Región Central Caracterización del Territorio Cartago-Oreamuno-El Guarco-La Unión, 1–38. 2016. Available online: http://cartago.go.cr/wp-content/uploads/2017/11/Reglamento-Plan-Regulador-Territorial-de-Cartago.pdf (accessed on 20 March 2021).
- Pizarro, R.; CEPAL. La Vulnerabilidad Social y sus Desafíos: Una Mirada desde América Latina. División de Estadística y Proyecciones Económicas. Naciones Unidas, Chile. 2001. Available online: https://repositorio.cepal.org/bitstream/handle/11362/4762/S0102116_es.pdf (accessed on 4 April 2023).
- Araona, G. Propuesta Metodológica de Modelización Hidrometeorológica e Hidrodinámica Enfocada a la Ordenación del Riesgo de Inundación: Aplicación a la Cuenca del Río Pejibaye (Costa Rica). Ph.D. Thesis, Universidad Politécnica de Madrid, Escuela Técnica Superior de Ingenieros de Montes, Departamento de Ingeniería Forestal, Madrid, Spain, 2011. [Google Scholar]
- Olaya, V. Sistemas de Información Geográfica. 2014. Available online: https://www.icog.es/TyT/files/Libro_SIG.pdf (accessed on 12 January 2023).
- Rodríguez, F. Cuencas Hidrográficas, Descentralización y Desarrollo Regional Participativo. 2006. Available online: https://www.redalyc.org/pdf/666/66612867008.pdf (accessed on 25 February 2023).
- Meza, L.; Corzo, S.; Soza, S. Gestión del Riesgo de Sequía y Otros Eventos Climáticos Extremos en Chile; Estudio Piloto Sobre la Vulnerabilidad y la Gestión Local del Riesgo; Ministerio de Agricultura de Chile, Oficina de Estudios y Políticas Agrarias—ODEPA: Santiago, Chile, 2010. [Google Scholar]
- Guzmán, M.; Barrera, A. Metodología para la Microzonificación de Riesgos Frente a Amenazas Naturales: Caso de Estudio Deslizamientos e Inundaciones Municipio de Mocoa Departamento del Putumayo; Universidad Católica de Colombia, Facultad de Ingeniería, Programa de Ingeniería Civil: Bogotá, Colombia, 2014. [Google Scholar]








| Component | Scenario Type | Indicators | Source |
|---|---|---|---|
| Vulnerability | Socioeconomic | Poverty: | National Institute for Census and Statistics (INEC, Population Census, 2011) |
| Access to knowledge | |||
| Access to other goods | |||
| Access to potable water and health | |||
| Access to housing | |||
| Dependent population: | |||
| Population under 14 years old | |||
| Population over 65 years old | |||
| Population with physical and mental limitations | |||
| Unemployed population | |||
| Environment | Accessibility: | National Territorial Information System (SNIT) | |
| Density of roads and streets (km/km2) | |||
| Ecosystem services: | |||
| Protected areas and national parks | |||
| Land-use capacity: | |||
| Classes between VI and VIII |
Disclaimer/Publisher’s Note: The statements, opinions and data contained in all publications are solely those of the individual author(s) and contributor(s) and not of MDPI and/or the editor(s). MDPI and/or the editor(s) disclaim responsibility for any injury to people or property resulting from any ideas, methods, instructions or products referred to in the content. |
© 2023 by the authors. Licensee MDPI, Basel, Switzerland. This article is an open access article distributed under the terms and conditions of the Creative Commons Attribution (CC BY) license (https://creativecommons.org/licenses/by/4.0/).
Share and Cite
Garro-Quesada, M.d.M.; Vargas-Leiva, M.; Girot, P.O.; Quesada-Román, A. Climate Risk Analysis Using a High-Resolution Spatial Model in Costa Rica. Climate 2023, 11, 127. https://doi.org/10.3390/cli11060127
Garro-Quesada MdM, Vargas-Leiva M, Girot PO, Quesada-Román A. Climate Risk Analysis Using a High-Resolution Spatial Model in Costa Rica. Climate. 2023; 11(6):127. https://doi.org/10.3390/cli11060127
Chicago/Turabian StyleGarro-Quesada, María del Milagro, Martín Vargas-Leiva, Pascal O. Girot, and Adolfo Quesada-Román. 2023. "Climate Risk Analysis Using a High-Resolution Spatial Model in Costa Rica" Climate 11, no. 6: 127. https://doi.org/10.3390/cli11060127
APA StyleGarro-Quesada, M. d. M., Vargas-Leiva, M., Girot, P. O., & Quesada-Román, A. (2023). Climate Risk Analysis Using a High-Resolution Spatial Model in Costa Rica. Climate, 11(6), 127. https://doi.org/10.3390/cli11060127

