Dynamic Modeling of the Trophic Status of an Urban Tropical Wetland under ENSO Conditions
Abstract
1. Introduction
2. Materials and Methods
2.1. Study Site
2.2. Dynamic Modeling
2.3. Dynamic Model Systematization
2.4. Dynamic Model Assumptions
2.5. ENSO Scenarios
3. Results and Discussion
3.1. Dynamic Model Developed
3.2. Simulated Input TP Load
3.3. TSI Analysis
4. Conclusions
Author Contributions
Funding
Data Availability Statement
Acknowledgments
Conflicts of Interest
References
- Das, S.; Adhikary, P.P.; Shit, P.K.; Bera, B. Assessment of Wetland Health Dynamics: Comparing Fuzzy- AHP and Composite Indexing Methods in an Urban Agglomeration in East India. Geocarto Int. 2022, 1–25. [Google Scholar] [CrossRef]
- Zhao, Q.; Bai, J.; Huang, L.; Gu, B.; Lu, Q.; Gao, Z. A Review of Methodologies and Success Indicators for Coastal Wetland Restoration. Ecol. Indic. 2016, 60, 442–452. [Google Scholar] [CrossRef]
- Izquierdo, A.E.; Blundo, C.; Carilla, J.; Foguet, J.; Navarro, C.J.; Casagranda, E.; Chiappero, M.F.; Vaieretti, M.V. Floristic Types of High-Andean Wetlands from Northwest Argentina and Their Remote-Sensed Characterization at a Regional Scale. Appl. Veg. Sci. 2022, 25, e12658. [Google Scholar] [CrossRef]
- Blettler, M.C.M.; Gauna, L.; Andréault, A.; Abrial, E.; Lorenzón, R.E.; Espinola, L.A.; Wantzen, K.M. The Use of Anthropogenic Debris as Nesting Material by the Greater Thornbird, an Inland–Wetland-Associated Bird of South America. Environ. Sci. Pollut. Res. 2020, 27, 41647–41655. [Google Scholar] [CrossRef]
- Junk, W.J.; Piedade, M.T.F.; Lourival, R.; Wittmann, F.; Kandus, P.; Lacerda, L.D.; Bozelli, R.L.; Esteves, F.A.; Nunes da Cunha, C.; Maltchik, L.; et al. Brazilian Wetlands: Their Definition, Delineation, and Classification for Research, Sustainable Management, and Protection. Aquat. Conserv. Mar. Freshw. Ecosyst. 2014, 24, 5–22. [Google Scholar] [CrossRef]
- Hu, L.; Hu, W.; Deng, J.; Li, Q.; Gao, F.; Zhu, J.; Han, T. Nutrient Removal in Wetlands with Different Macrophyte Structures in Eastern Lake Taihu, China. Ecol. Eng. 2010, 36, 1725–1732. [Google Scholar] [CrossRef]
- Ruíz, A.G.; Hes, E.; Schwartz, K. Shifting Governance Modes in Wetland Management: A Case Study of Two Wetlands in Bogotá, Colombia. Environ. Plann. C Gov. Policy 2011, 29, 990–1003. [Google Scholar] [CrossRef]
- Pinilla, G. An Index of Limnological Conditions for Urban Wetlands of Bogotá City, Colombia. Ecol. Indic. 2010, 10, 848–856. [Google Scholar] [CrossRef]
- Li, Y.; Liu, H.; Zheng, N.; Cao, X. Analysis of Trophic Status and Its Influence Factors of Different Water Body Types in Xixi National Wetland Park, China. Procedia Environ. Sci. 2010, 2, 768–780. [Google Scholar] [CrossRef]
- Dar, S.A.; Rashid, I.; Bhat, S.U. Land System Transformations Govern the Trophic Status of an Urban Wetland Ecosystem: Perspectives from Remote Sensing and Water Quality Analysis. Land Degrad. Dev. 2021, 32, 4087–4104. [Google Scholar] [CrossRef]
- Das Sarkar, S.; Sarkar, U.K.; Lianthuamluaia, L.; Ghosh, B.D.; Roy, K.; Mishal, P.; Das, B.K. Pattern of the State of Eutrophication in the Floodplain Wetlands of Eastern India in Context of Climate Change: A Comparative Evaluation of 27 Wetlands. Environ. Monit. Assess 2020, 192, 183. [Google Scholar] [CrossRef] [PubMed]
- Liou, Y.-T.; Lo, S.-L. A Fuzzy Index Model for Trophic Status Evaluation of Reservoir Waters. Water Res. 2005, 39, 1415–1423. [Google Scholar] [CrossRef] [PubMed]
- Carlson, R.E. A Trophic State Index for Lakes1. Limnol. Oceanogr. 1977, 22, 361–369. [Google Scholar] [CrossRef]
- Organisation for Economic Co-Operation and Development. Eutrophication of Waters: Monitoring, Assessment and Control; Organisation for Economic Co-operation and Development; Sold by OECD Publications and Information Center: Paris, France; Washington, DC, USA, 1982; ISBN 978-92-64-12298-7. [Google Scholar]
- Bekteshi, A.; Cupi, A. Use of Trophic State Index (Carlson, 1977) for Assessment of Trophic Status of the Shkodra Lake. J. Environ. Prot. Ecol. 2014, 15, 359–365. [Google Scholar]
- Sruthy, G.S.; Priya, K.L.; Madhu, A.M.; Chellappan, S.; Adarsh, S.; Haddout, S. Fuzzy Logic Approach for the Assessment of Trophic State of Water Bodies. Ecol. Eng. 2021, 169, 106314. [Google Scholar] [CrossRef]
- Aizaki, M.; Otsuki, A.; Fukushima, T.; Hosomi, M.; Muraoka, K. Application of Carlson’s Trophic State Index to Japanese Lakes and Relationships between the Index and Other Parameters. SIL Proc. 1922–2010 1981, 21, 675–681. [Google Scholar] [CrossRef]
- Vollenweider, R.A.; Giovanardi, F.; Montanari, G.; Rinaldi, A. Characterization of the Trophic Conditions of Marine Coastal Waters with Special Reference to the NW Adriatic Sea: Proposal for a Trophic Scale, Turbidity and Generalized Water Quality Index. Environmetrics 1998, 9, 329–357. [Google Scholar] [CrossRef]
- Güneralp, B.; Barlas, Y. Dynamic Modelling of a Shallow Freshwater Lake for Ecological and Economic Sustainability. Ecol. Model. 2003, 167, 115–138. [Google Scholar] [CrossRef]
- Jiménez, P.A.L.; Alberola, M.C.; Solano, F.J.M.; Alemany, V.E. Desarrollo de un modelo matemático de calidad de aguas calibrado para pequeños cauces receptores: Caso práctico. Tecnol. Agua 2002, 22, 56–63. [Google Scholar]
- Spieles, D.J.; Mitsch, W.J. A Model of Macroinvertebrate Trophic Structure and Oxygen Demand in Freshwater Wetlands. Ecol. Model. 2003, 161, 183–194. [Google Scholar] [CrossRef]
- Ahlgren, I.; Frisk, T.; Kamp-Nielsen, L. Empirical and Theoretical Models of Phosphorus Loading, Retention and Concentration Vs. Lake Trophic State. In Phosphorus in Freshwater Ecosystems; Persson, G., Jansson, M., Eds.; Springer: Dordrecht, The Netherlands, 1988; pp. 285–303. [Google Scholar]
- Beltrán Vargas, J.E.; Rangel Churio, J.O. Modelación del Estado Trófico del Humedal De Jaboque, Bogotá D. C., Colombia. Acta Biol. Colomb. 2013, 18, 149–164. [Google Scholar]
- Bustamante-Zapata, A.M.; Zafra-Mejía, C.A.; Rondón-Quintana, H.A. Influence of Vegetation on Outdoor Thermal Comfort in a High-Altitude Tropical Megacity: Climate Change and Variability Scenarios. Buildings 2022, 12, 520. [Google Scholar] [CrossRef]
- Hodson, E.L.; Poulter, B.; Zimmermann, N.E.; Prigent, C.; Kaplan, J.O. The El Niño–Southern Oscillation and Wetland Methane Interannual Variability. Geophys. Res. Lett. 2011, 38, L08810. [Google Scholar] [CrossRef]
- McCarthy, T.S.; Cooper, G.R.J.; Tyson, P.D.; Ellery, W.N. Seasonal Flooding in the Okavango Delta, Botswana—Recent History and Future Prospects. South Afr. J. Sci. 2000, 96, 25–33. [Google Scholar] [CrossRef]
- Ilyas, S.; Xu, X.; Jia, G.; Zhang, A. Interannual Variability of Global Wetlands in Response to El Niño Southern Oscillations (ENSO) and Land-Use. Front. Earth Sci. 2019, 7, 289. [Google Scholar] [CrossRef]
- Brugnoli, E.; Muniz, P.; Venturini, N.; Brena, B.; Rodríguez, A.; García-Rodríguez, F. Assessing Multimetric Trophic State Variability during an ENSO Event in a Large Estuary (Río de La Plata, South America). Reg. Stud. Mar. Sci. 2019, 28, 100565. [Google Scholar] [CrossRef]
- García-Rodríguez, F.; Brugnoli, E.; Muniz, P.; Venturini, N.; Burone, L.; Hutton, M.; Rodríguez, M.; Pita, A.; Kandratavicius, N.; Pérez, L.; et al. Warm-Phase ENSO Events Modulate the Continental Freshwater Input and the Trophic State of Sediments in a Large South American Estuary. Mar. Freshw. Res. 2013, 65, 1–11. [Google Scholar] [CrossRef]
- Díaz-Lozano, A.Y.; Hernández-Bravo, S.M. Análisis Del Plan de Acción Del Humedal Torca, Con Base En La Evaluación Ambiental Estratégica. Rev. Fac. Ing. 2014, 24, 9–19. [Google Scholar] [CrossRef]
- IDEA-Universidad Nacional de Colombia Plan de Manejo Ambiental Del Humedal Torca-Guaymaral—Observatorio Regional Ambiental y de Desarrollo Sostenible Del Río Bogotá. Available online: https://orarbo.gov.co/es/el-observatorio-y-los-municipios/plan-de-manejo-ambiental-del-humedal-torca-guaymaral (accessed on 14 November 2022).
- Moreno Franco, D.P.; Quintero Manzano, J.; López Cuevas, A. Métodos para identificar, diagnosticar y evaluar el grado de eutrofia. Contactos 2010, 78, 25–33. [Google Scholar]
- Ackefors, H.; Enell, M. The Release of Nutrients and Organic Matter from Aquaculture Systems in Nordic Countries. J. Appl. Ichthyol. 1994, 10, 225–241. [Google Scholar] [CrossRef]
- Nicholls, K.H. A Limnological Basis for a Lake Simcoe Phosphorus Loading Objective. Lake Reserv. Manag. 1997, 13, 189–198. [Google Scholar] [CrossRef]
- Peña Escobar, S.; Ramírez Reyes, G.S.; Osorio Gómez, J.C. Evaluación de una estrategia de fidelización de clientes con dinámica de sistemas. Rev. Ing. Univ. Medellín 2015, 14, 87–104. [Google Scholar] [CrossRef]
- Ma, C.; Zhang, G.Y.; Zhang, X.C.; Zhou, B.; Mao, T.Y. Simulation Modeling for Wetland Utilization and Protection Based on System Dynamic Model in a Coastal City, China. Procedia Environ. Sci. 2012, 13, 202–213. [Google Scholar] [CrossRef]
- Wang, C.; Hou, Y.; Xue, Y. Water Resources Carrying Capacity of Wetlands in Beijing: Analysis of Policy Optimization for Urban Wetland Water Resources Management. J. Clean. Prod. 2017, 161, 1180–1191. [Google Scholar] [CrossRef]
- Durga Rao, K.; Gopika, V.; Sanyasi Rao, V.V.S.; Kushwaha, H.S.; Verma, A.K.; Srividya, A. Dynamic Fault Tree Analysis Using Monte Carlo Simulation in Probabilistic Safety Assessment. Reliab. Eng. Syst. Saf. 2009, 94, 872–883. [Google Scholar] [CrossRef]
- Saha, T.K.; Pal, S.; Sarkar, R. Prediction of Wetland Area and Depth Using Linear Regression Model and Artificial Neural Network Based Cellular Automata. Ecol. Inform. 2021, 62, 101272. [Google Scholar] [CrossRef]
- López Barrera, E.A.; Duarte, M.; Moreno Ramírez, R.I.; Gonzalez Calderón, J.; Bejarano, P.; Buitrago Lancheros, D.M.; Caho, C.; Fuentes Cotes, M.M. Humedal Torca-Guaymaral: Iniciativas Para su Conservación; Universidad Sergio Arboleda; Universidad del Bosque; Red Ambiental de Universidades Sostenibles: Bogotá, Colombia, 2015; ISBN 978-958-8866-79-6. [Google Scholar]
- Conservación Internacional Colombia Programas—Convenio de Asociación No 01-201 Del 2013. Available online: https://www.conservation.org.co/Programas/ (accessed on 14 November 2022).
- SDA Red de Calidad Hídrica de Bogotá. Available online: https://www.ambientebogota.gov.co/red-de-calidad-hidrica-de-bogota (accessed on 14 November 2022).
- CAR. Corporación Autónoma de Cundinamarca Centro de Monitoreo Hidrológico y del Clima. Available online: https://www.car.gov.co/monitoreo_hidrometeorologico (accessed on 14 November 2022).
- IDEAM. La Variabilidad Climática y el Cambio Climático en Colombia; Instituto de Hidrología, Meteorología y Estudios Ambientales: Bogotá, Colombia, 2018; ISBN 978-958-8067-97-1. [Google Scholar]
- EAAB Plan de Manejo Ambiental del Humedal Torca—Guaymaral Observatorio Ambiental de Bogotá. Available online: https://oab.ambientebogota.gov.co/?post_type=dlm_download&p=15044 (accessed on 14 November 2022).
- Håkanson, L.; Boulion, V.V. The Lake Foodweb—Modelling Predation and Abiotic/Biotic Interactions; Backhuys Publishers: Leiden, The Netherlands, 2002. [Google Scholar]
- NOAA. NOAA’s Climate Prediction Center. Available online: https://origin.cpc.ncep.noaa.gov/products/analysis_monitoring/ensostuff/ONI_v5.php (accessed on 22 March 2022).
- Ávila, C.; Salas, J.J.; Martín, I.; Aragón, C.; García, J. Integrated Treatment of Combined Sewer Wastewater and Stormwater in a Hybrid Constructed Wetland System in Southern Spain and Its Further Reuse. Ecol. Eng. 2013, 50, 13–20. [Google Scholar] [CrossRef]
- Li, Y.; Ma, J.; Yang, Z.; Lou, I. Influence of Non-Point Source Pollution on Water Quality of Wetland Baiyangdian, China. Desalination Water Treat. 2011, 32, 291–296. [Google Scholar] [CrossRef]
- Mai, Y.; Zhao, X.; Huang, G. Temporal and Spatial Variability of Water Quality in an Urban Wetland and the Effects of Season and Rainfall: A Case Study in the Daguan Wetland, China. Environ. Monit. Assess 2022, 194, 347. [Google Scholar] [CrossRef]
- Kadlec, R.H. Overview: Surface Flow Constructed Wetlands. Water Sci. Technol. 1995, 32, 1–12. [Google Scholar] [CrossRef]
- Childers, D.L.; Boyer, J.N.; Davis, S.E.; Madden, C.J.; Rudnick, D.T.; Sklar, F.H. Relating Precipitation and Water Management to Nutrient Concentrations in the Oligotrophic “Upside-down” Estuaries of the Florida Everglades. Limnol. Oceanogr. 2006, 51, 602–616. [Google Scholar] [CrossRef]
- Marimón-Bolívar, W.; Jiménez, C.; Toussaint-Jiménez, N.; Domínguez, E. Use of Neural Networks to Estimate a Global Self-Purification Capacity Index for Mountain Rivers: A Case Study in Bogota River Basin. Earth Syst. Environ. 2022, 6, 631–643. [Google Scholar] [CrossRef]
- Schenone, N.; Volpedo, A.; Cirelli, A.F. Estado trófico y variación estacional de nutrientes en los ríos y canales del humedal mixo-halino de Bahía Samborombón (Argentina). Limnetica 2008, 27, 143–150. [Google Scholar] [CrossRef]
- Fraile, H. Evaluación Del Estado Trófico y Comparación de Modelos Relativos al Fósforo En Los Embalses de Cernadilla y Valparaíso (Río Tera, Zamora). Limnetica 1995, 11, 29. [Google Scholar] [CrossRef]
- Casas, J.L.O.; Martínez, R.P. Applicability of the OECD Eutrophication Models to Spanish Reservoirs. SIL Proc. 1922–2010 1984, 22, 1521–1535. [Google Scholar] [CrossRef]
- Lamparelli INDICADORES AMBIENTALES, Índice del Estado Trófico—Cursos de Agua. Available online: https://www.ambiente.gub.uy/indicadores_ambientales/ficha/indice-del-estado-trofico-cursos-de-agua_/ (accessed on 14 November 2022).
- Gargallo, Sara Modelación de La Calidad de Las Aguas En Los Humedales Artificiales de Flujo Superficial (HAFS) Aplicación a Los HAFS Del Tancat de La Pipa En l’Albufera de Valencia. Available online: https://riunet.upv.es/handle/10251/78215 (accessed on 14 November 2022).
- García, J.; Vivar, J.; Aromir, M.; Mujeriego, R. Role of Hydraulic Retention Time and Granular Medium in Microbial Removal in Tertiary Treatment Reed Beds. Water Res. 2003, 37, 2645–2653. [Google Scholar] [CrossRef] [PubMed]
- Alasino, N.; Nadal, F.; Primo, L.; Bollo, P.; Larrosa, N. Comportamiento cinético e hidráulico de un humedal construido a escala real. Tecnol. Cienc. Agua 2015, 6, 93–104. [Google Scholar]
- Zhang, L.; Mitsch, W.J. Modelling Hydrological Processes in Created Freshwater Wetlands: An Integrated System Approach. Environ. Model. Softw. 2005, 20, 935–946. [Google Scholar] [CrossRef]
- Eraso, R.J.M.; Trindade, M. de L.B. Evaluación espacio-temporal del estado trófico de un lago de grandes dimensiones usando imágenes MOD09GA. Cienc. Ing. Neogranadina 2017, 27, 27–42. [Google Scholar] [CrossRef]




| Variables/Indexes | Values/Units | Source |
|---|---|---|
| Wetland area | 302,700 m2 | [40] |
| Basin area | 5,037,400 m2 | [40,41] |
| TP load in sediment | mg m−2 month−1 | Dynamic modeling |
| Input TP concentration—Cin | 2001 (El Niño): 2.75 mg m−3 2011 (La Niña): 1.46 mg m−3 | [42] |
| Internal TP concentration | mg m−3 | Dynamic modeling |
| TP concentration | mg m−3 | Dynamic modeling |
| OECD phytoplankton | - | Dynamic modeling |
| Vollenweider phytoplankton | - | Dynamic modeling |
| Basin inlet flow—CAT | m3 month−1 | [43] |
| TP flow to passive sediment | mg m−2 month−1 | Dynamic modeling |
| Wetland TP concentration | mg m−3 | Dynamic modeling |
| TSI/Vollenweider | mg m−3 | Dynamic modeling |
| TSI/OCDE | mg m−3 | Dynamic modeling |
| TSI/Aizaki/Carlson | - | Dynamic modeling |
| Precipitation | mm month−1 | [43] |
| Average annual precipitation | 878 mm year−1 | [44] |
| Average monthly effective precipitation—AEP | mm month−1 | [43] |
| Wetland depth | 1.37 m | [45] |
| TP in sediment | mg m−2 month−1 | Dynamic modeling |
| R-sedimentation | mg m−2 month−1 | Dynamic modeling |
| Bottom temperature re-suspension rate | - | Dynamic modeling |
| Super bottom temperature re-suspension rate | - | Dynamic modeling |
| Sedimentation rate | 0.25 mg m−2 month−1 | [23] |
| Bottom temperature | 15 °C | [23] |
| Surface temperature | 16 °C | [23] |
| Hydraulic retention time–HRT | Days year−1 | Dynamic modeling |
| Theoretical retention time of a chemical or suspended particle—TRC | Days year−1 | Dynamic modeling |
| Volume—V | m3 month−1 | Dynamic modeling |
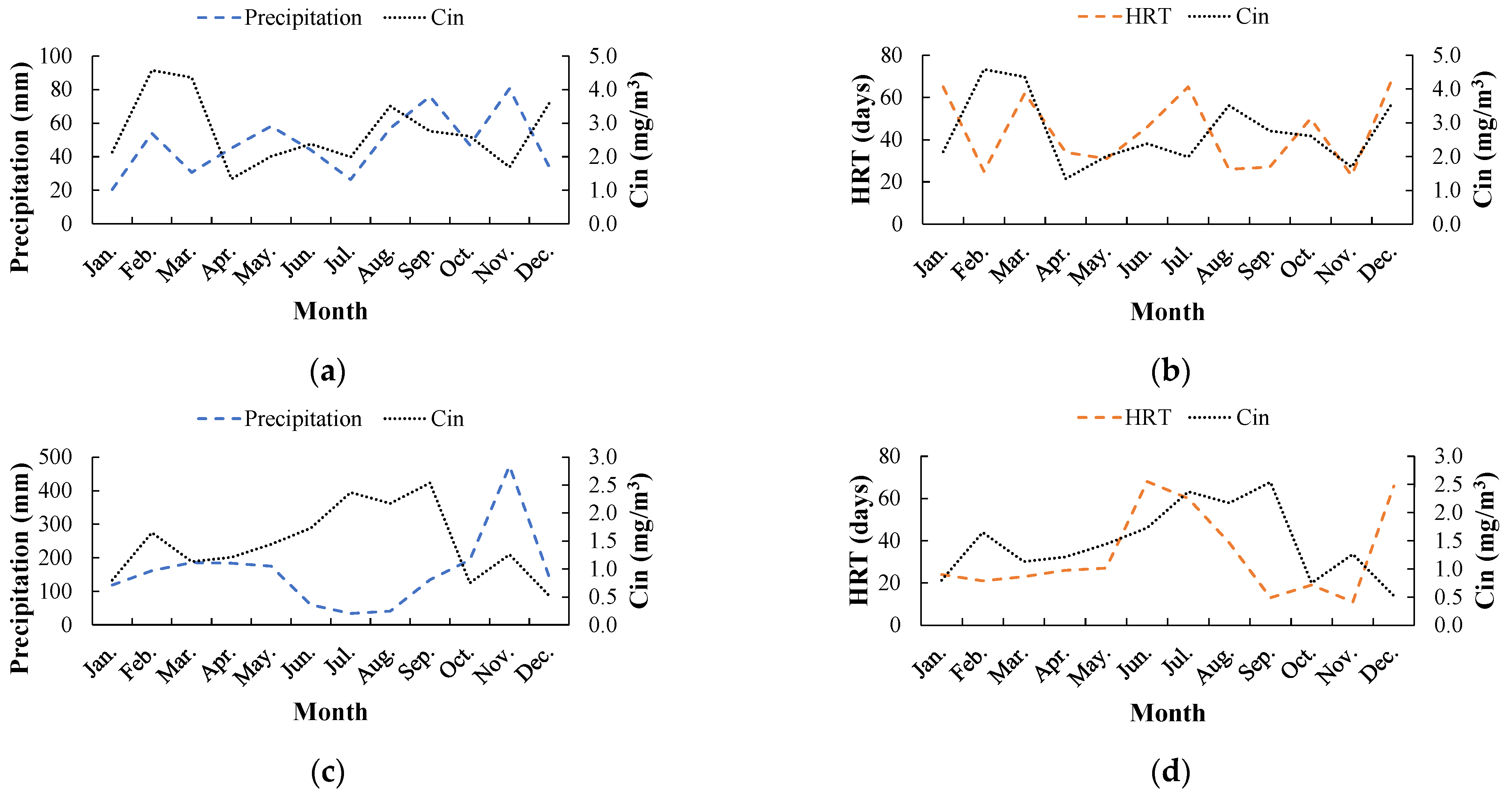
| Month | P (mm) | HRT (days/year) | Average Monthly TP (mg/m3) | Aizaki’s TSI (mg/m3) | Cat. | TSI-OECD (mg/m3) | Cat. | Vollenweider’s TSI (mg/m3) | Cat. |
|---|---|---|---|---|---|---|---|---|---|
| Jan. | 20.4 | 65 | 2.14 | 31.9 | Meso | 12.3 | Meso | 49.1 | Eu |
| Feb. | 53.9 | 25 | 4.58 | 56.5 | Meso | 39.2 | Eu | 149.4 | Hyp |
| Mar. | 30.7 | 62 | 4.36 | 42.4 | Meso | 29.6 | Meso | 116.7 | Hyp |
| Apr. | 45.1 | 34 | 1.34 | 44.9 | Meso | 10.7 | Meso | 41.2 | Eu |
| May. | 58.2 | 31 | 2.01 | 53.5 | Meso | 17.8 | Meso | 67.3 | Eu |
| Jun. | 44.1 | 46 | 2.38 | 47.5 | Meso | 18.8 | Meso | 72.6 | Eu |
| Jul. | 26.4 | 65 | 1.99 | 36.0 | Meso | 12.7 | Meso | 50.4 | Eu |
| Aug. | 57.0 | 26 | 3.51 | 56.5 | Meso | 30.7 | Meso | 116.8 | Hyp |
| Sep. | 75.9 | 27 | 2.76 | 63.4 | Eu | 27.2 | Meso | 100.8 | Hyp |
| Oct. | 47.0 | 50 | 2.61 | 49.6 | Meso | 21.1 | Meso | 81.5 | Hyp |
| Nov. | 80.6 | 23 | 1.69 | 61.7 | Eu | 17.0 | Meso | 62.8 | Eu |
| Dec. | 34.0 | 69 | 3.59 | 43.7 | Meso | 25.4 | Meso | 99.8 | Hyp |
| Avg. | 47.8 | 44 | 2.7 | 49.0 | Meso | 21.9 | Meso | 84.0 | Hyp |
| Month | P (mm) | HRT (days/year) | Average Monthly TP (mg/m3) | Aizaki’s TSI (mg/m3) | Cat. | TSI-OECD (mg/m3) | Cat. | Vollenweider’s TSI (mg/m3) | Cat. |
|---|---|---|---|---|---|---|---|---|---|
| Jan. | 118.5 | 24 | 0.80 | 68.1 | Eu | 9.50 | Oligo | 33.5 | Eu |
| Feb. | 161.5 | 21 | 1.65 | 87.1 | Eu | 22.1 | Meso | 75.1 | Eu |
| Mar. | 185.4 | 23 | 1.13 | 89.1 | Eu | 16.1 | Meso | 53.5 | Eu |
| Apr. | 184.0 | 26 | 1.21 | 89.5 | Eu | 17.1 | Meso | 56.9 | Eu |
| May. | 175.0 | 27 | 1.44 | 89.2 | Eu | 20.0 | Meso | 66.9 | Eu |
| Jun. | 59.8 | 68 | 1.73 | 53.3 | Meso | 15.5 | Meso | 58.5 | Eu |
| Jul. | 33.9 | 60 | 2.37 | 41.7 | Meso | 16.8 | Meso | 65.8 | Eu |
| Aug. | 40.8 | 39 | 2.17 | 45.2 | Meso | 16.5 | Meso | 64.2 | Eu |
| Sep. | 134.3 | 13 | 2.54 | 83.6 | Eu | 31.6 | Meso | 109.9 | Hyp |
| Oct. | 193.9 | 19 | 0.75 | 86.4 | Eu | 10.9 | Meso | 35.9 | Eu |
| Nov. | 473.5 | 11 | 1.26 | 144.3 | Hyp | 26.3 | Meso | 74.3 | Eu |
| Dec. | 143.5 | 66 | 0.52 | 70.7 | Eu | 6.70 | Oligo | 23.0 | Meso |
| Avg. | 158.7 | 33 | 1.46 | 79.0 | Eu | 17.4 | Meso | 59.8 | Eu |
Disclaimer/Publisher’s Note: The statements, opinions and data contained in all publications are solely those of the individual author(s) and contributor(s) and not of MDPI and/or the editor(s). MDPI and/or the editor(s) disclaim responsibility for any injury to people or property resulting from any ideas, methods, instructions or products referred to in the content. |
© 2023 by the authors. Licensee MDPI, Basel, Switzerland. This article is an open access article distributed under the terms and conditions of the Creative Commons Attribution (CC BY) license (https://creativecommons.org/licenses/by/4.0/).
Share and Cite
García-León, L.G.; Beltrán-Vargas, J.E.; Zafra-Mejía, C.A. Dynamic Modeling of the Trophic Status of an Urban Tropical Wetland under ENSO Conditions. Climate 2023, 11, 61. https://doi.org/10.3390/cli11030061
García-León LG, Beltrán-Vargas JE, Zafra-Mejía CA. Dynamic Modeling of the Trophic Status of an Urban Tropical Wetland under ENSO Conditions. Climate. 2023; 11(3):61. https://doi.org/10.3390/cli11030061
Chicago/Turabian StyleGarcía-León, Leidy Gisselle, Julio Eduardo Beltrán-Vargas, and Carlos Alfonso Zafra-Mejía. 2023. "Dynamic Modeling of the Trophic Status of an Urban Tropical Wetland under ENSO Conditions" Climate 11, no. 3: 61. https://doi.org/10.3390/cli11030061
APA StyleGarcía-León, L. G., Beltrán-Vargas, J. E., & Zafra-Mejía, C. A. (2023). Dynamic Modeling of the Trophic Status of an Urban Tropical Wetland under ENSO Conditions. Climate, 11(3), 61. https://doi.org/10.3390/cli11030061

