Evaluation of Machine-Learning Models for Predicting Aeolian Dust: A Case Study over the Southwestern USA
Abstract
:1. Introduction
2. Materials and Methods
2.1. Study Area and Data
2.2. Machine-Learning (ML) Models
2.2.1. Multiple Linear Regression (MLR)
2.2.2. Support Vector Machine (SVM)
2.2.3. Random Forest (RF)
2.2.4. Bayesian Regularized Neural Networks (BRNN)
2.2.5. Cubist (Cu)
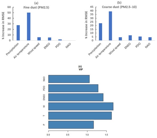
3. Results and Discussion
4. Conclusions
- The non-linear models performed better than linear regression to predict both fine and coarse dust. All ML models underestimated high concentrations of dust.
- ML models better predicted fine dust than coarse dust over the study region.
- The air temperature was the most important meteorological variable, followed by precipitation, for predicting monthly dust over the region.
Funding
Institutional Review Board Statement
Informed Consent Statement
Data Availability Statement
Conflicts of Interest
References
- Prospero, J.M.; Collard, F.X.; Molinié, J.; Jeannot, A. Characterizing the annual cycle of African dust transport to the Caribbean Basin and South America and its impact on the environment and air quality. Glob. Biogeochem. Cycles 2014, 28, 757–773. [Google Scholar] [CrossRef]
- Kok, J.F.; Ward, D.S.; Mahowald, N.M.; Evan, A.T. Global and regional importance of the direct dust-climate feedback. Nat. Commun. 2018, 9, 241. [Google Scholar] [CrossRef] [PubMed]
- Evans, S.; Malyshev, S.; Ginoux, P.; Shevliakova, E. The impacts of the dust radiative effect on vegetation growth in the Sahel. Glob. Biogeochem. Cycles 2019, 33, 1582–1593. [Google Scholar] [CrossRef]
- Achakulwisut, P.; Mickley, L.J.; Anenberg, S.C. Drought-sensitivity of fine dust in the US Southwest: Implications for air quality and public health under future climate change. Environ. Res. Lett. 2018, 13, 054025. [Google Scholar] [CrossRef]
- Bhattachan, A.; Okin, G.S.; Zhang, J.; Vimal, S.; Lettenmaier, D.P. Characterizing the role of wind and dust in traffic accidents in California. Geo. Health 2019, 3, 328–336. [Google Scholar] [CrossRef] [PubMed] [Green Version]
- Al-Hemoud, A.; Al-Dousari, A.; Misak, R.; Al-Sudairawi, M.; Naseeb, A.; Al-Dashti, H.; Al-Dousari, N. Economic impact and risk assessment of sand and dust storms (SDS) on the oil and gas industry in Kuwait. Sustainability 2019, 11, 200. [Google Scholar] [CrossRef] [Green Version]
- Javadian, M.; Behrangi, A.; Sorooshian, A. Impact of drought on dust storms: Case study over Southwest Iran. Environ. Res. Lett. 2019, 14, 124029. [Google Scholar] [CrossRef]
- Arcusa, S.H.; McKay, N.P.; Carrillo, C.M.; Ault, T.R. Dust—Drought Nexus in the Southwestern United States: A Proxy—Model Comparison Approach. Paleoceanogr. Paleoclimatol. 2020, 35, e2020PA004046. [Google Scholar] [CrossRef]
- Munson, S.M.; Belnap, J.; Okin, G.S. Responses of wind erosion to climate-induced vegetation changes on the Colorado Plateau. Proc. Natl. Acad. Sci. USA 2011, 108, 3854–3859. [Google Scholar] [CrossRef] [Green Version]
- Bestelmeyer, B.T.; Peters, D.P.; Archer, S.R.; Browning, D.M.; Okin, G.S.; Schooley, R.L.; Webb, N.P. The grassland–shrubland regime shift in the southwestern United States: Misconceptions and their implications for management. BioScience 2018, 68, 678–690. [Google Scholar] [CrossRef] [Green Version]
- Hand, J.L.; Gill, T.E.; Schichtel, B.A. Spatial and seasonal variability in fine mineral dust and coarse aerosol mass at remote sites across the United States. J. Geophys. Res. Atmos. 2017, 122, 3080–3097. [Google Scholar] [CrossRef]
- Achakulwisut, P.; Shen, L.; Mickley, L.J. What controls springtime fine dust variability in the western United States? Investigating the 2002–2015 increase in fine dust in the US Southwest. J. Geophys. Res. Atmos. 2017, 122, 12–449. [Google Scholar] [CrossRef]
- Pu, B.; Ginoux, P. How reliable are CMIP5 models in simulating dust optical depth? Atmos. Chem. Phys. 2018, 18, 12491–12510. [Google Scholar] [CrossRef] [Green Version]
- Okin, G.S.; Reheis, M.C. An ENSO predictor of dust emission in the southwestern United States. Geophys. Res. Lett. 2002, 29, 46-1–46-3. [Google Scholar] [CrossRef]
- Witten, I.H.; Frank, E. Data mining: Practical machine learning tools and techniques with Java implementations. Acm Sigmod Rec. 2002, 31, 76–77. [Google Scholar] [CrossRef]
- Lee, J.; Shi, Y.R.; Cai, C.; Ciren, P.; Wang, J.; Gangopadhyay, A.; Zhang, Z. Machine learning-based algorithms for global dust aerosol detection from satellite images: Inter-comparisons and evaluation. Remote Sens. 2021, 13, 456. [Google Scholar] [CrossRef]
- Ebrahimi-Khusfi, Z.; Nafarzadegan, A.R.; Dargahian, F. Predicting the number of dusty days around the desert wetlands in southeastern Iran using feature selection and machine learning techniques. Ecol. Indic. 2021, 125, 107499. [Google Scholar] [CrossRef]
- Pu, B.; Ginoux, P. Projection of American dustiness in the late 21st century due to climate change. Sci. Rep. 2017, 7, 1–10. [Google Scholar] [CrossRef] [Green Version]
- Ginoux, P.; Prospero, J.M.; Gill, T.E.; Hsu, N.C.; Zhao, M. Global—scale attribution of anthropogenic and natural dust sources and their emission rates based on MODIS Deep Blue aerosol products. Rev. Geophys. 2012, 50, 1–36. [Google Scholar] [CrossRef]
- DeBell, L.J.; Gebhart, K.A.; Hand, J.L.; Malm, W.C.; Pitchford, M.L.; Schichtel, B.A.; White, W.H. Spatial and Seasonal Patterns and Temporal Variability of Haze and Its Constituents in the United States: Report IV. CIRA, Cooperative Institute for Research in the Atmosphere, Colorado State University. 2006. Available online: https://hero.epa.gov/hero/index.cfm/reference/details/reference_id/3121718 (accessed on 10 April 2022).
- Mesinger, F.; DiMego, G.; Kalnay, E.; Mitchell, K.; Shafran, P.C.; Ebisuzaki, W.; Jović, D.; Woollen, J.; Rogers, E.; Berbery, E.H.; et al. North American regional reanalysis [Dataset]. Bull. Am. Meteorol. Soc. 2006, 87, 343–360. [Google Scholar] [CrossRef] [Green Version]
- Xu, Y.; Ho, H.C.; Wong, M.S.; Deng, C.; Shi, Y.; Chan, T.C.; Knudby, A. Evaluation of machine learning techniques with multiple remote sensing datasets in estimating monthly concentrations of ground-level PM2. 5. Environ. Pollut. 2018, 242, 1417–1426. [Google Scholar] [CrossRef] [PubMed]
- Gholami, H.; Mohamadifar, A.; Sorooshian, A.; Jansen, J.D. Machine-learning algorithms for predicting land susceptibility to dust emissions: The case of the Jazmurian Basin, Iran. Atmos. Pollut. Res. 2020, 11, 1303–1315. [Google Scholar] [CrossRef]
- R Core Team. R: A Language and Environment for Statistical Computing; R Foundation for Statistical Computing: Vienna, Austria, 2013. Available online: http://www.R-project.org/ (accessed on 19 April 2022).
- Helsel, D.R.; Hirsch, R.M. Statistical Methods in Water Resources; Elsevier: Amsterdam, The Netherlands, 1992; Volume 49. [Google Scholar]
- Vapnik, V. The Nature of Statistical Learning Theory; Springer: Berlin/Heidelberg, Germany, 1999. [Google Scholar]
- Bray, M.; Han, D. Identification of support vector machines for runoff modelling. J. Hydroinform. 2004, 6, 265–280. [Google Scholar] [CrossRef] [Green Version]
- Noble, W.S. What is a support vector machine? Nat. Biotechnol. 2006, 24, 1565–1567. [Google Scholar] [CrossRef]
- Tabari, H.; Kisi, O.; Ezani, A.; Talaee, P.H. SVM, ANFIS, regression and climate based models for reference evapotranspiration modeling using limited climatic data in a semi-arid highland environment. J. Hydrol. 2012, 444, 78–89. [Google Scholar] [CrossRef]
- Karandish, F.; Šimůnek, J. A comparison of numerical and machine-learning modeling of soil water content with limited input data. J. Hydrol. 2016, 543, 892–909. [Google Scholar] [CrossRef] [Green Version]
- Hsu, C.W.; Chang, C.C.; Lin, C.J. A Practical Guide to Support Vector Classification; Department of Computer Science National Taiwan University: Taiwan, China, 2003. [Google Scholar]
- Breiman, L. Random forests. Mach. Learn. 2001, 45, 5–32. [Google Scholar] [CrossRef] [Green Version]
- Rodriguez-Galiano, V.; Sanchez-Castillo, M.; Chica-Olmo, M.; Chica-Rivas, M.J.O.G.R. Machine learning predictive models for mineral prospectivity: An evaluation of neural networks, random forest, regression trees and support vector machines. Ore Geol. Rev. 2015, 71, 804–818. [Google Scholar] [CrossRef]
- Garg, D.; Mishra, A. Bayesian regularized neural network decision tree ensemble model for genomic data classification. Appl. Artif. Intell. 2018, 32, 463–476. [Google Scholar] [CrossRef]
- Kayri, M. Predictive abilities of bayesian regularization and Levenberg–Marquardt algorithms in artificial neural networks: A comparative empirical study on social data. Math. Comput. Appl. 2016, 21, 20. [Google Scholar] [CrossRef]
- Okut, H. Bayesian regularized neural networks for small n big p data. Artif. Neural Netw.-Models Appl. 2016, 16, 21–23. [Google Scholar]
- Quinlan, J.R. Learning with Continuous Classes. In Proceedings of the Australian Joint Conference on Artificial Intelligence, Hobart, Australia, 16–18 November 1992; Volume 6, pp. 343–348. [Google Scholar]
- Quinlan, J.R. Combining instance-based and model-based learning. In Proceedings of the Tenth International Conference on International Conference on Machine Learning, Amherst, MA, USA, 27–29 July 1993; Morgan Kaufmann Publishers Inc.: San Francisco, CA, USA, 1993; pp. 236–243. [Google Scholar]
- Quinlan, J.R. Improved use of continuous attributes in C4. 5. J. Artif. Intell. Res. 1996, 4, 77–90. [Google Scholar] [CrossRef] [Green Version]
- Houborg, R.; McCabe, M.F. A hybrid training approach for leaf area index estimation via Cubist and random forests machine-learning. ISPRS J. Photogramm. Remote Sens. 2018, 135, 173–188. [Google Scholar] [CrossRef]
- Zhou, J.; Li, E.; Wei, H.; Li, C.; Qiao, Q.; Armaghani, D.J. Random forests and cubist algorithms for predicting shear strengths of rockfill materials. Appl. Sci. 2019, 9, 1621. [Google Scholar] [CrossRef] [Green Version]
- John, K.; Kebonye, N.M.; Agyeman, P.C.; Ahado, S.K. Comparison of Cubist models for soil organic carbon prediction via portable XRF measured data. Environ. Monit. Assess. 2021, 193, 197. [Google Scholar] [CrossRef]
- Brazel, A.J.; Nickling, W.G. The relationship of weather types to dust storm generation in Arizona (1965–1980). J. Climatol. 1986, 6, 255–275. [Google Scholar] [CrossRef]
- Namdari, S.; Karimi, N.; Sorooshian, A.; Mohammadi, G.; Sehatkashani, S. Impacts of climate and synoptic fluctuations on dust storm activity over the Middle East. Atmos. Environ. 2018, 173, 265–276. [Google Scholar] [CrossRef]
- Jeong, D.I.; Sushama, L.; Naveed Khaliq, M. The role of temperature in drought projections over North America. Clim. Chang. 2014, 127, 289–303. [Google Scholar] [CrossRef]
- Cook, B.I.; Mankin, J.S.; Marvel, K.; Williams, A.P.; Smerdon, J.E.; Anchukaitis, K.J. Twenty-First Century Drought Projections in the CMIP6 Forcing Scenarios. Earth’s Future 2020, 8, e2019EF001461. [Google Scholar] [CrossRef] [Green Version]
- Spinoni, J.; Barbosa, P.; Bucchignani, E.; Cassano, J.; Cavazos, T.; Christensen, J.H.; Christensen, O.B.; Coppola, E.; Evans, J.; Geyer, B.; et al. Future global meteorological drought hot spots: A study based on CORDEX data. J. Clim. 2020, 33, 3635–3661. [Google Scholar] [CrossRef]




| ML Model | Fine Dust (PM2.5) | Coarse Dust (PM2.5–10) | ||
|---|---|---|---|---|
| Corr (r) | RMSE (µg/m3) | Corr (r) | RMSE (µg/m3) | |
| MLR | 0.73 | 0.46 | 0.71 | 2.12 |
| SVM | 0.75 | 0.47 | 0.67 | 2.27 |
| RF | 0.81 | 0.40 | 0.71 | 2.08 |
| BRNN | 0.75 | 0.48 | 0.70 | 2.12 |
| Cubist | 0.65 | 0.53 | 0.70 | 2.18 |
Publisher’s Note: MDPI stays neutral with regard to jurisdictional claims in published maps and institutional affiliations. |
© 2022 by the author. Licensee MDPI, Basel, Switzerland. This article is an open access article distributed under the terms and conditions of the Creative Commons Attribution (CC BY) license (https://creativecommons.org/licenses/by/4.0/).
Share and Cite
Aryal, Y. Evaluation of Machine-Learning Models for Predicting Aeolian Dust: A Case Study over the Southwestern USA. Climate 2022, 10, 78. https://doi.org/10.3390/cli10060078
Aryal Y. Evaluation of Machine-Learning Models for Predicting Aeolian Dust: A Case Study over the Southwestern USA. Climate. 2022; 10(6):78. https://doi.org/10.3390/cli10060078
Chicago/Turabian StyleAryal, Yog. 2022. "Evaluation of Machine-Learning Models for Predicting Aeolian Dust: A Case Study over the Southwestern USA" Climate 10, no. 6: 78. https://doi.org/10.3390/cli10060078
APA StyleAryal, Y. (2022). Evaluation of Machine-Learning Models for Predicting Aeolian Dust: A Case Study over the Southwestern USA. Climate, 10(6), 78. https://doi.org/10.3390/cli10060078

