Next Article in Journal
Data-Interpretation Methodologies for Practical Asset-Management
Previous Article in Journal
An Availability-Enhanced Service Function Chain Placement Scheme in Network Function Virtualization
 
 
Font Type:
Arial Georgia Verdana
Font Size:
Aa Aa Aa
Line Spacing:
Column Width:
Background:
Review

Comparison of Radio Frequency Path Loss Models in Soil for Wireless Underground Sensor Networks

by
Danial Abdorahimi
* and
Ali M. Sadeghioon
Department of Civil Engineering, University of Birmingham, Birmingham B15 2TT, UK
*
Author to whom correspondence should be addressed.
J. Sens. Actuator Netw. 2019, 8(2), 35; https://doi.org/10.3390/jsan8020035
Submission received: 4 April 2019 / Revised: 27 May 2019 / Accepted: 19 June 2019 / Published: 22 June 2019

Abstract

A wireless Underground Sensor Network (WUSN) is a group of sensors that collectively communicate through the underground medium. Radio Frequency (RF) signal transmission of the sensors through the ground is the most challenging aspects of a WUSN due to the high attenuation of the electromagnetic (EM) signal in the soil. Signals are often required to travel through soils with a high density or water content and generally through a non-isotropic and non-homogenous soil mixture with different boundaries, both of which can attenuate the signal sharply. The variability of the these conditions and complexity of the behaviour of signal attenuation with respect to these parameters makes accurate estimation of EM signal attenuation in soil challenging. Two main EM signal attenuation models exist to estimate attenuation (modified-Friis and Complex Refractive Index Model-Fresnel (CRIM-Fresnel). These were reviewed and a methodology was developed in order to measure the attenuation of the EM signals in the laboratory. Results from the laboratory measurements were compared with the estimation values calculated from the attenuation models. These comparisons showed a large difference between the estimated values by the models. In addition, analysis of the comparison tests showed that the CRIM-Fresnel model provides a better estimation of attenuation in samples with lower permittivity values while the modified-Friis model had a higher accuracy in samples with higher clay/water content which have higher permittivity values.

1. Introduction

A wireless Underground Sensor Network (WUSN) consists of groups of nodes which are responsible for data collection, transmission and reception in an underground environment [1,2,3,4]. Recent developments in electronics and wireless communications have enabled the development of low cost and low power WUSNs [5,6]. WUSNs can be used in a variety of applications including precision agriculture, environmental monitoring, pipe monitoring and mine monitoring [4]. However, WUSNs have two major limitations; namely, Radio Frequency (RF) transmission in soil and lack of access to an energy supply. RF transmission is the most challenging aspect of WUSNs due to the high attenuation of the electromagnetic (EM) signal in soil [1]. Signals are often required to travel through dense soils with a high density or water content, and generally through a non-isotropic and non-homogenous soil mixture with different boundaries; both of which can attenuate the signal sharply. The variability of these conditions and complexity of the behaviour of signal attenuation with respect to these parameters makes accurate estimation of EM signal attenuation in soil challenging.
The signal attenuation is caused by reflection, refraction, absorption and scattering of the electromagnetic wave, which affects the electromagnetic signal travel through different media [2]. The complex dielectric permittivity is one of the main parameters of a medium that expresses this interaction with electromagnetic radiation, and for soil it is dependent on the constituent components of the soil including volumetric water content. There are several models which predict dielectric properties of the soil from soil mixtures, all of which aim to estimate the effect of these parameters on signal attenuation [7,8]. Hence, estimation of signal attenuation in soil also depends on the estimation of the complex dielectric permittivity; which can also be determined directly from Vector Network Analyser (VNA) measurements [9,10] or extracted from Time Domain Reflectometry (TDR) measurements [11] without the need to know soil composition.
Electromagnetic waves are also attenuated as they travel in free space, this attenuation is usually described as the Free Space Path Loss ( F S P L ). A model exists which is used for the calculation of the attenuation of the signal between two points (transmitter and receiver of signal) based on a clear line of sight (no obstacles at either of nodes [12,13,14]. The Friis transmission equation for electromagnetic signals in open space is given by Equation (1) [12,13,14]:
P t ( d ) P r ( d ) = ( 4 π d ) 2 L G t G r λ 2
where P r ( d ) is the received transmission power as a function of distance, P t ( d ) is the transmission power, G t , G r are the transmitter and receiver gain, d is the distance between transmitter and receiver, λ is the wavelength of the signal and L is a propagation independent system loss factor. This transmitted power relationship can also be represented in logarithmic form using the transmission link budget, which describes the general relation between the transmitted and received power P r considering the loss in free space, Equation (2) [1,2,11,12,13], where the symbols have the same meaning as in Equation (1) but now L 0 is the path loss in free space:
P r = P t + G r + G t L 0
Considering propagation dependent factors, then from Equation (1), the ratio of the transmitter power and receiver power is given by the ratio of the distance over the signal wavelength and the FSPL ( L 0 ) can therefore be derived in decibel form as [5]:
L 0 = 20   l o g 10   d   ( m ) + 20   l o g 10   ƒ   ( H z ) 20   log ( 4 π C )
where L 0 is the total free space path loss in dB, d is the distance in meters, between the sensors, ƒ is frequency in Hz and c is the speed of light in meters per second. From Equation (3) it is clear that the FSPL depends on the distance between two nodes and the frequency of the signal.
To model the attenuation of the signal in a medium such as soil, the FSPL can be modified to include the attenuation due to the medium ( L m ), such that Equation (2) becomes:
P r = P t + G r + G t ( L 0 + L m )
This is referred to as the modified-Friis model. The total path loss ( P L ) of the signal is the summation of the medium path loss and the free space path loss, and has been shown to be given by Equation (5) [5]:
P L = 6.45 + 20 log ( d   ( m ) ) + 20 log ( β ) + 8.69 α d ( m )
where α is the signal attenuation coefficient and β is the phase shifting coefficient, and which are given by Equations (6) and (7), respectively;
α = ω μ ε 2 ( 1 + ( ε ε ) 2 1 )
β = ω μ ε 2 ( 1 + ( ε ε ) 2 + 1 )
where ω = 2 π f , μ is the magnetic permeability of the soil, ε is the real part of the complex dielectric permittivity and ε is the imaginary part of the dielectric permittivity. As shown in Equations (6) and (7), the values of α and β are directly related to the dielectric properties of the soil. Research published by Akyildiz [1] used the Peplinski mixing model to calculate the real and imaginary parts of the complex dielectric permittivity of the soil based on the composition and volumetric water content of the soil [1,15]. By substituting Equation (5) into Equation (4) [16], the modified-Friis model for total power received through a medium by the receiver is given by Equation (8):
P r = P t + G r + G t [ 6.45 + 20 log ( d   ( m ) ) + 20 log ( β ) + 8.69 α d ( m ) ]
The CRIM-Fresnel model, initially proposed by Bogena [17], is another model for estimating the attenuation of a signal in soil and uses complex refractive index. The CRIM-Fresnel model also takes the attenuation of the signal due to reflection into account. The total attenuation of the signal is introduced as the sum of soil attenuation as well as the signal reflection [17]. The total attenuation of the EM signal ( A t o t ) based on this model is given by Equation (9) [2]:
A t o t = α C R I M ( d B m ) × d   ( m ) + R c
where α C R I M is the soil attenuation coefficient and d is the distance, R c is the attenuation due to the reflection of the signal. The attenuation coefficient, α C R I M , is calculated by Equation (10) and the attenuation due to the reflection, R c , is given by Equation (11):
α C R I M = 8.68 60 π ( 2 π f ε 0 ε + σ ) ε 2 ( 1 + 1 + ( ε + σ 2 π f ε 0 ε ) 2 )
R c = 10 l o g 10   ( 2 R 1 + R )
where R is the reflection coefficient and is given by Equation (12) as:
R = ( 1 ε 1 + ε ) 2
The permittivity of the soil in the CRIM-Fresnel model is calculated based on the Complex Refractive Index Model (CRIM). This model calculates the soil dielectric permittivity by using the permittivity of solid ( ε s ), water ( ε w ) and air ( ε a ) at a certain frequency, based on the fact that the only loss source is water [17].
The CRIM-Fresnel model is claimed by [17] to be a better estimation for the signal propagation in soil compared to the modified-Friis model due to the fact that the proposed mixing model to gain soil properties used in the modified-Friis was not developed based on a large data set. However, the CRIM-Fresnel model itself was also not validated by a range of test trials. The modified-Friis model estimates the attenuation of EM signals mainly based on the effect of phase shifting on the signal, while CRIM-Fresnel considers the effect of the material absorption and signal reflection. Estimation of signal attenuation for a soil sample with real and imaginary parts of complex dielectric permittivity of ε = 13.25 and ε = 2.18 at 434 MHz is shown in Figure 1 for the two different models. Results below 0.05 m are omitted as near field effects not accounted for in the models are present this close to the transmitter.
The comparison of RF propagation models presented in Figure 1 shows that the estimated values for the attenuation of the signal by the modified-Friis and the CRIM-Fresnel models are significantly different from each other. As is shown, the modified-Friis estimates the signal attenuation in dB as a non-linear function while in contrast; the CRIM-Fresnel model estimates the attenuation of the EM signals as a linear function in dB. These differences suggest a need for further investigation into the accuracy of these models by comparing the predicted values from the models with measured values from laboratory or field trials. Hence, in this paper, the applicability of these two most commonly used signal attenuation models (modified-Friis and CRIM-Fresnel) are investigated and analysed for a variety of soil types and conditions, with specific EM propagation measurements being undertaken for comparison. The following section describes the methodology for EM attenuation measurement in soil, as well as extraction of soil permittivity parameters. This is followed by presentation and discussion of the comparison of experimental attenuation measurement with the prediction from the two models.

2. Experimental Methodology

As it is difficult to conduct tests for various soil types and conditions in the field, a laboratory test set-up was developed to allow the investigation of the signal attenuation for a range of soil types and water contents. Several aspects need to be considered in the design of the test bed used to measure the signal attenuation in the laboratory to avoid negative/unwanted effects on the tests and ensure reliability of the measurements. The following are the main aspects which were considered for development of the test setup: (1) Pathway of RF signal in soil sample; (2) Soil container shape and geometry; (3) Elimination of the environmental interferences (i.e., reflection of signal); (4) Soil composition and compaction methods; (5) Measurement techniques.
The ideal setup for RF attenuation tests would be to have an infinitely large container to remove any effect from the container on the measurements. However, this is not practical, as preparation of soil samples for a large container would not be feasible. Initially, a plastic container was selected for the purpose of the tests. However, initial tests showed that environmental EMI (Electromagnetic interference) contaminations adversely affected the readings. Therefore, for the purpose of these tests, an aluminium container with dimensions of 60 cm (length) × 10 cm (diameter) was chosen as the sample mould for measuring the EM signal strength along specific distances (Figure 2). Six holes were placed along the container at 10 cm apart from each other for signal measurement. The container was designed to have five measurement points including the last position at 50 cm. However, after initial testing it was observed that at the data from the 50 cm point was contaminated by the environmental interferences. This was caused by less shielding and soil at the end of the container and therefore, external signals could affect the signals more easily. Due to the inconsistencies in the data, although measurements were taken at this point, they were not included in the paper. A cylindrical shape was used for the container in order to ensure a maximum contact between the compaction rammer (4.5 kg rammer with the diameter of 10 cm) and soil surface at the edges of the container (avoiding sharp corners which the rammer cannot get to). In addition, a diameter of 10 cm was selected for the container based on the size of the rammer used for compaction the soil sample.
The soil used in this experiment was a mixture of Leighton Buzzard Sand and English China Clay with three different gravimetric water contents, 10%, 20% and 30%. The mixing and compaction of the samples as well as gravimetric water content (GWC) determination were carried out based on the British Standard [18]. The prepared soil sample was placed in the container and the signal strength was measured at certain distances (holes along the container) from the transmitter. For the purpose of these tests three separate soil samples were prepared for each soil condition and the measurements were repeated five times at each location (total of 15 samples for each location and soil condition). The logarithmic averages of these measurements were then calculated and used for the comparison. The soil was changed between each set of measurements (three soil samples for each condition) in addition, the delay between measurements at each location was minimised in order to avoid changes in soil condition and homogeneousness to affect the results. Due to the large attenuation of RF signals in soil higher frequency Industrial, Scientific and Medical (ISM) bands (i.e., 2.4 GHz) are not used in underground Wireless System Networks (WSNs). 434 MHz is one of the most commonly used ISM band for long range WSNs and was selected for the purpose of this research. The transmitter node used in this research was a previously developed 434 MHz node for underground WSN with a bandwidth of 150KHz (Frequency Shift Keying, FSK modulation). The transmitter output power was fixed at 10 dBm for all tests. A signal spectrum analyser (PSA 2702 RF) was used to measure the signal intensity at specific positions. The frequency range of the spectrum analyser was approximately from 1 MHz to 2700 MHz and has a noise floor limitation of −96 dBm at −20 dBm reference level. A 434 MHz isotropic Omnidirectional quarter wavelength antenna was used in this experiment as a full wavelength antenna could not be placed in the container due to size limitations. The frequency used in these trials was 434 MHz and the distance between the holes was calculated based on the near-field and far-field radiation to avoid the near-field radiation effect of the signal transmission [19].
After some initial signal transmission tests, it was discovered that the difference between the permittivity of the materials (soil and container) caused the signals to be reflected (at the container and soil boundary) back into the container resulting in a wave guide action causing inconsistent measurements. In order to limit the effect of the container acting as a wave guide, it was earthed to the ground to cancel eddy current effects that were generated on the wall of the container. Results from the metallic container with the earth connection appeared to be consistent and not affected by the reflection and waveguide effect. Figure 3 shows the final setup for the container.
To ensure that the comparison of the models was justified, identical soil permittivities were used as an input for both models. The Peplinski mixing model and the CRIM model were not used to determine the complex permittivity. Rather, the real and imaginary parts of the complex permittivity of the soil, used in the simulations, were determined from Time Domain Reflectometry measurements using the Topp model [11]. Topp [11,20] have shown that the difference between the dielectric permittivity by these different methods is within 3 to 40 for the change of the volumetric water content (VWC) ranged 0 to 0.55. This complex permittivity was then used as an input into both the modified-Friis and the CRIM-Fresnel models to estimate signal attenuation for comparison with the measured values of the signal attenuation along the 10 to 50 cm path. The comparison between the models and the measured results is described in the next section.

3. Results and Discussion

The measured attenuation of the EM signal transmitted through the soil in the container was compared with the estimated values for the attenuation calculated based on the modified-Friis and CRIM-Fresnel models.
The initial test was carried out using a soil mixture of 90% sand and 10% clay, with a 19.4% gravimetric water content (GWC) and 10% sand and 90% clay, with a 19.1 % GWC. The result from the test can be seen in Figure 4.
From Figure 4, it can be seen that the estimated attenuation of the signal by both models is broadly different as expected. In addition, it can be seen that the modified-Friis model provides a better estimation of the attenuation for the soil samples with high clay content while the CRIM–Fresnel model provides a better approximation for the soil with high sand content. These comparisons showed an inconsistency in the accuracy of the models across the range of soil compositions. The modified-Friis model is shown to have a better accuracy in soils with higher permittivity values compared to CRIM-Fresnel model while CRIM-Fresnel model provides a better approximation in lower permittivity soils. The test was repeated on more soil mixtures in terms of the proportions of sand and clay to get a better understanding of the applicability of the findings. Figure 5 shows the experimental attenuation values for a 434 MHz carrier frequency in samples with varying composition at 20% GWC as compared to the values predicted by the models in order to investigate the effect of clay content on model performance.
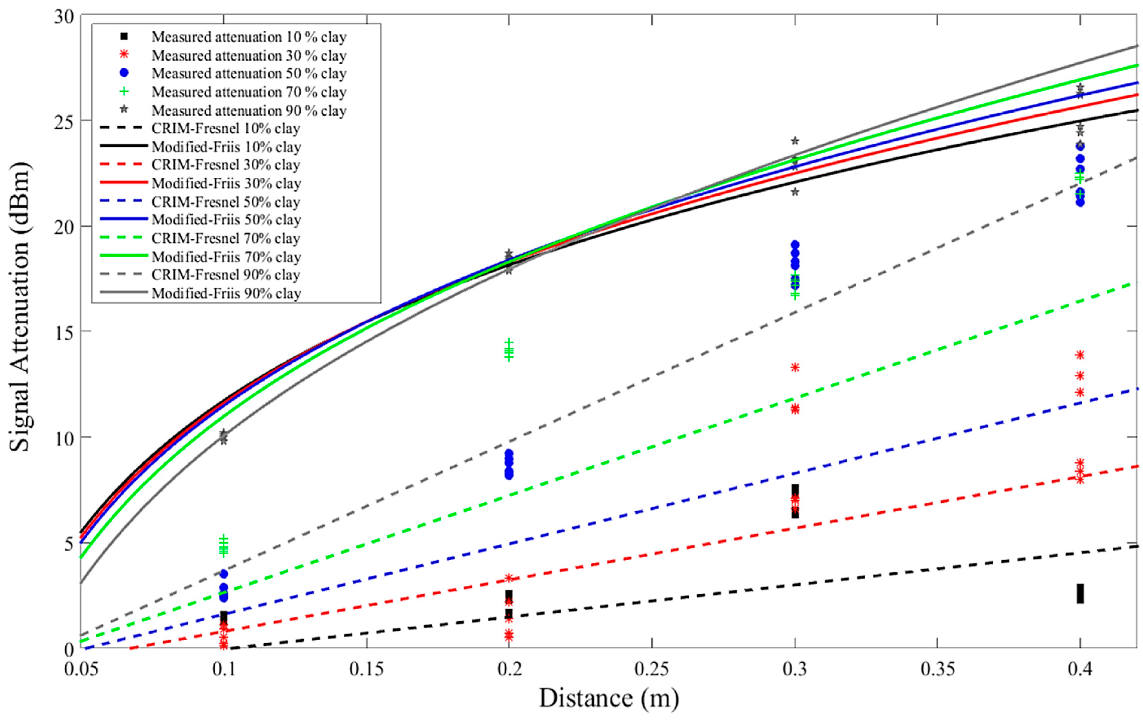
As can be seen from Figure 5, the amount of clay present in the soil has a direct effect on the attenuation of the signal; with an increase in clay content comes a rise in the attenuation of the signal. This is in line with the literature [15,21]. It can also be seen from this figure that both the CRIM-Fresnel and the modified-Friis models fail to estimate the attenuation of the signal accurately for all the soil compositions. However it can also be seen from this figure that the CRIM-Fresnel provides a better estimation at lower clay content samples compared to the modified-Friis model. For example at 10% clay content the modified-Friis model had a root mean square error (RMSE) of 16.6 while CRIM-Fresnel model had an RMSE of 2.35. In contrast the modified-Friis model estimated the attenuation of the signal in higher clay content samples with higher accuracy compared to the CRIM-Fresnel model. As an example, in the sample with a 90% clay content the modified-Friis model had an RMSE of 1.13, while the CRIM-Fresnel model had an RMSE of 6.67. To understand the effect of GWC on the models prediction accuracy the attenuation values for a 434 MHz carrier frequency in soil samples with 50% clay and 50% sand and with varying GWC were measured; the results as compared to the simulation values are displayed in Figure 6.
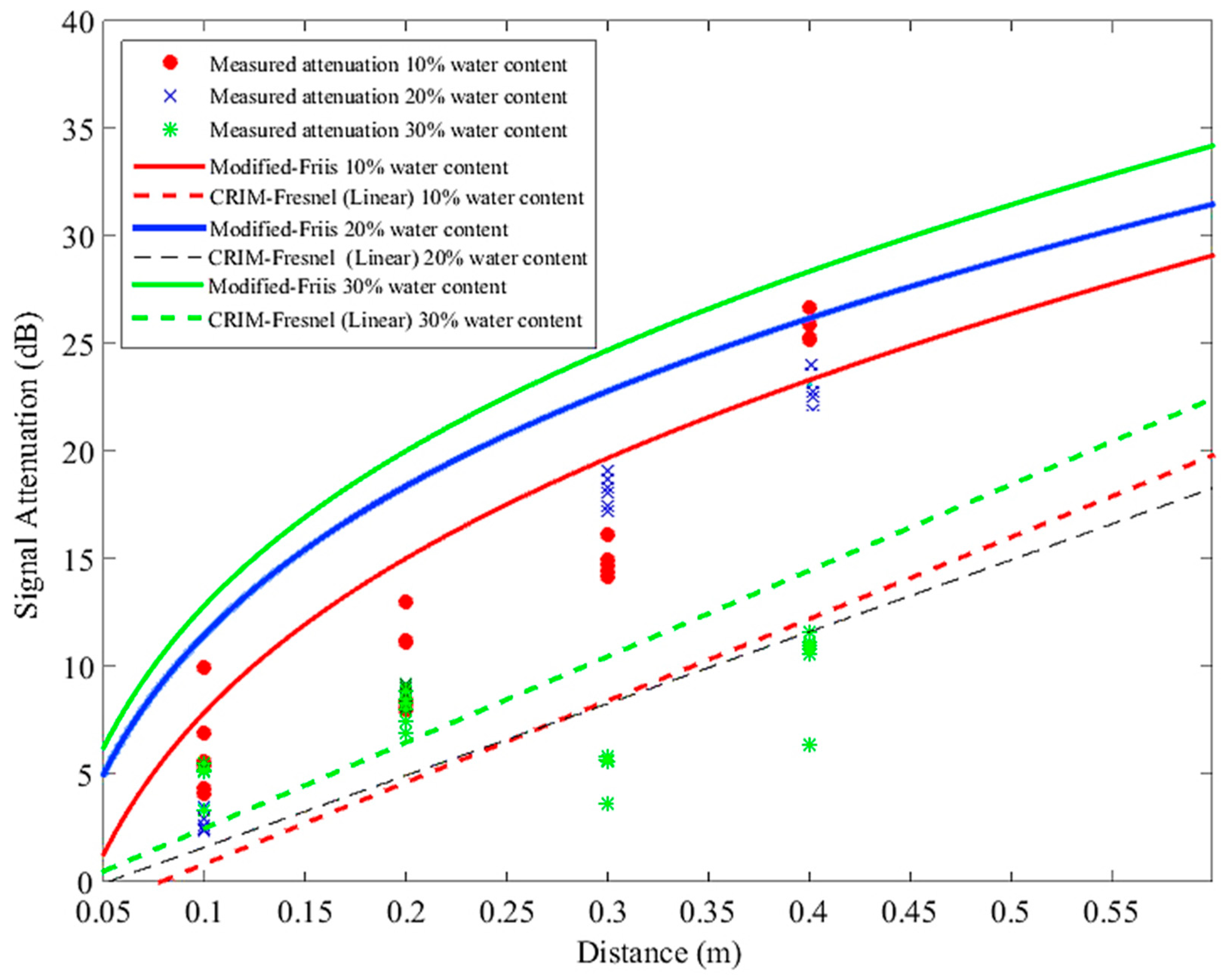
Both of the models failed to provide an accurate estimation for samples at all of the GWC range. However, based on the RMSE values of the models at different gravimetric water contents, the modified-Friis model provided a better estimation at lower GWC compared to the CRIM-Fresnel model. As an example at 10% water content the modified Friis had an RMSE value of 3.54, while CRIM-Fresnel model had an RMSE of 8.59. In contrast, at 30% GWC the modified Friis model had an RMSE value of 14.85 while the CRIM-Fresnel model had an RMSE of 3.52, which shows that the CRIM-Fresnel model provides a better estimation at higher water content values.
From the results shown in Figure 6 it can be concluded that the CRIM-Fresnel model is more suitable for estimating the attenuation in soils with a high water content (>20%) and lower clay content (<50%), while the modified-Friis model provides a better approximation for samples with a lower water content (<20%) and higher clay content (>50%). This is mainly caused by the high effect of the imaginary part of the dielectric permittivity on the estimation values of the CRIM-Fresnel model. In addition, the CRIM-Fresnel model provides a linear estimation of the attenuation of the signal with an increase of distance. This is not similar to the fundamental behaviour of the signal and will result in larger estimation errors for the signal attenuation (over estimation) at larger distances.
Based on the attenuation it can be concluded that the transmission of the EM signals in soil is mostly dependent on the soil properties and in particular the percentage of clay present, volumetric water content, porosity and the bulk density in the soil. A soil composition with a high percentage of clay will tend to have more bound water and a high bulk density which adversely effects the propagation of the signal in certain distances. The available attenuation models have been found to have different applicability for these different soil conditions, thus, it is essential to choose the most appropriate model for the local soil conditions when estimating EM attenuation in soil.

4. Conclusions

The two main models of estimation of attenuation in soil were described and compared with each other. These comparisons showed a large difference between the estimation values of the modified-Friis and CRIM-Fresnel models. The difference between the two models is largely caused by the method that these models were based on. Both models were developed based on limited soil samples and both are semi-empirical models. They also used different mixing models for estimation of soil properties during the development of the RF attenuation models (Peplinski mixing model is used in Modified-Friis and CRIM mixing model is used in the CRIM Fresnel model), which further contributes towards the difference between these models. These differences showed a need for further investigation into the accuracy of these models through comparison of the estimated values with actual measured values from laboratory or field trials in varied soil conditions and compositions. A laboratory test setup for measurements of signal attenuation in soil was developed. Signal attenuation at 434 MHz was measured at five different soil compositions and three different moisture contents. Results from these measurements were compared with the estimated values provided by modified-Friis and CRIM-Fresnel models. These comparisons showed that in soils with higher permittivity value (i.e., higher water content/higher clay content) the modified-Friis model provided a more accurate estimation compared to the CRIM-Fresnel model. In contrast, the results from these investigations showed the CRIM-Fresnel model has a higher accuracy in estimation of attenuation in soils with lower permittivity.
This paper only investigates the attenuation of signal in five different soil compositions at three gravimetric water contents. Therefore, more tests on different soil compositions and conditions are required to fully validate the findings. More varied soil types and conditions are currently being investigated as a part of this research and research on the effect of soil parameters on attenuation and accuracy of the models is ongoing. Furthermore, investigation of the accuracy of these models in different frequency bands can also be helpful in applications were higher frequencies are used (i.e., Ground Penetrating Radar, GPR).

Author Contributions

conceptualization, D.A. and A.S.; methodology, D.A.; software, D.A. and A.S.; validation, D.A., A.S.; formal analysis, D.A.; investigation, A.S.; data curation, D.A.; writing—original draft preparation, D.A.; writing—review and editing, D.A and A.S.; supervision, A.S.

Funding

This research received no external funding.

Acknowledgments

The authors of this paper would like to thank Giulio Curioni for his help with the TDR measurements. The authors also would like to thank the Civil Engineering laboratory staff for their help and assistance.

Conflicts of Interest

The authors declare no conflict of interest.

References

  1. Li, L.; Vuran, M.C.; Akyildiz, I.F. Characteristics of Underground Channel for Wireless Underground Sensor Networks. In Proceedings of the Med-Hoc-Net 2017, Corfu, Greece, 12–15 June 2017. [Google Scholar]
  2. Chaamwe, N.; Liu, W.; Jiang, H. Wave propagation communication models for Wireless Underground Sensor Networks. In Proceedings of the The 12th IEEE International Conference on Communication Technology, Nanjing, China, 11–14 November 2010; pp. 9–12. [Google Scholar]
  3. Stoianov, I.; Nachman, L.; Madden, S.; Tokmouline, T.; Csail, M. PIPENET: A Wireless Sensor Network for Pipeline Monitoring. In Proceedings of the 6th international conference on Information processing in sensor networks, Cambridge, MA, USA, 25–27 April 2007; pp. 264–273. [Google Scholar]
  4. Akyildiz, I.F.; Su, W.; Sankarasubramaniam, Y.; Cayirci, E. Survey on Sensor Networks. Commun. Mag. IEEE 2002, 40, 102–114. [Google Scholar] [CrossRef]
  5. Vuran, M.C.; Akyildiz, I.F. Channel model and analysis for wireless underground sensor networks in soil medium. Phys. Commun. 2010, 3, 245–254. [Google Scholar] [CrossRef]
  6. Sadeghioon, A.; Metje, N.; Chapman, D.; Anthony, C. SmartPipes: Smart Wireless Sensor Networks for Leak Detection in Water Pipelines. J. Sens. Actuator Netw. 2014, 3, 64–78. [Google Scholar] [CrossRef]
  7. Yu, X.; Wu, P.; Zhang, Z.; Wang, N.; Han, W. Electromagnetic Wave Propagation In Soil For Wireeless Underground Sensor Networks. Progs. Electromag. Res. M 2013, 30, 11–23. [Google Scholar]
  8. Van Dam, R.L.; Borchers, B.; Hendrickx, J.M.H. Methods for prediction of soil dielectric properties. Def. Secur. 2005, 5794, 188–198. [Google Scholar]
  9. Wu, W.; Smith, C.E. Dielectric measurements using the HP 85070A probe. In Proceedings of the IEEE Southeastcon ’92, Birmingham, Alabama, 12–15 April 1992. [Google Scholar]
  10. Logsdon, S.D. Soil Dielectric Spectra from Vector Network Analyzer Data. Soil Sci. Soc. Am. J. 2005, 69, 983–989. [Google Scholar] [CrossRef]
  11. Topp, G.C.; Zegelin, S.; White, I. Impacts of the Real and Imaginary Components of Relative Permittivity on Time Domain Reflectometry Measurements in Soils. Soil Sci. Soc. Am. J. 2000, 64, 1244. [Google Scholar] [CrossRef]
  12. Friis, H.T. A Note on a Simple Transmission Formula. Proc. IRE 1946, 34, 254–256. [Google Scholar] [CrossRef]
  13. Akyildiz, I.F.; Sun, Z.; Vuran, M.C. Signal propagation techniques for wireless underground communication networks. Phys. Commun. 2009, 2, 167–183. [Google Scholar] [CrossRef]
  14. Sun, Z.S.Z.; Akyildiz, I.F. Channel modeling and analysis for wireless networks in underground mines and road tunnels. IEEE Trans. Commun. 2010, 58, 1758–1768. [Google Scholar] [CrossRef]
  15. Peplinski, N.R.; Ulaby, F.T.; Dobson, M.C. Dielectric properties of soils in the 0.3-1.3-GHz range. IEEE Trans. Geosci. Remote Sens. 1995, 33, 803–807. [Google Scholar] [CrossRef]
  16. Yoon, S. Wireless Signal Networks: A Proof of Concept for Subsurface Characterization and A System Design with Reconfigurable. Ph.D. Thesis, Lehigh University, Bethlehem, PA, USA, January 2013. [Google Scholar]
  17. Bogena, H.R.; Huisman, J.A.; Meier, H.; Rosenbaum, U.; Weuthen, A. Hybrid Wireless Underground Sensor Networks: Quantification of Signal Attenuation in Soil. Vadose Zone J. 2009, 8, 755. [Google Scholar] [CrossRef]
  18. Methods of Test for Soils for Civil Engineering Purposes; British Standards Institute: London, UK, 1990.
  19. Loy, M.; Karingattil, R.; Williams, L. ISM-Band and Short Range Device Regulatory Compliance Overview; Texas Instruments Application Report SWRA048: Dallas, TX, USA, May 2005. [Google Scholar]
  20. Topp, C.; Resource, L.; Canada, A. Electromagnetic Determination of Soil Water Content. Water Resour. Res. 1980, 16, 574–582. [Google Scholar] [CrossRef]
  21. Mironov, V.L.; Kosolapova, L.G.; Fomin, S.V. Soil Dielectric Model Accounting for Contribution of Bound Water Spectra through Clay Content. PIERS online 2008, 4, 31–35. [Google Scholar]
Figure 1. Comparison of modified-Friis and CRIM-Fresnel models.
Figure 1. Comparison of modified-Friis and CRIM-Fresnel models.
Jsan 08 00035 g001
Figure 2. Aluminium container with the six holes with 10cm apart from each other. The holes are paced in order to measure signal intensity in different distances from the signal transmitter.
Figure 2. Aluminium container with the six holes with 10cm apart from each other. The holes are paced in order to measure signal intensity in different distances from the signal transmitter.
Jsan 08 00035 g002
Figure 3. Final test setup showing hole spacing and grounded shielding.
Figure 3. Final test setup showing hole spacing and grounded shielding.
Jsan 08 00035 g003
Figure 4. Comparison of the radio frequency (RF) models for two soil mixtures.
Figure 4. Comparison of the radio frequency (RF) models for two soil mixtures.
Jsan 08 00035 g004
Figure 5. Effect of clay content on attenuation of signal and comparison of Modified-Friis and CRIM-Fresnel.
Figure 5. Effect of clay content on attenuation of signal and comparison of Modified-Friis and CRIM-Fresnel.
Jsan 08 00035 g005
Figure 6. Effect of gravimetric water content (GWC) on prediction accuracy of RF transmission models for the 50% Clay and 50% Sand sample.
Figure 6. Effect of gravimetric water content (GWC) on prediction accuracy of RF transmission models for the 50% Clay and 50% Sand sample.
Jsan 08 00035 g006

Share and Cite

MDPI and ACS Style

Abdorahimi, D.; Sadeghioon, A.M. Comparison of Radio Frequency Path Loss Models in Soil for Wireless Underground Sensor Networks. J. Sens. Actuator Netw. 2019, 8, 35. https://doi.org/10.3390/jsan8020035

AMA Style

Abdorahimi D, Sadeghioon AM. Comparison of Radio Frequency Path Loss Models in Soil for Wireless Underground Sensor Networks. Journal of Sensor and Actuator Networks. 2019; 8(2):35. https://doi.org/10.3390/jsan8020035

Chicago/Turabian Style

Abdorahimi, Danial, and Ali M. Sadeghioon. 2019. "Comparison of Radio Frequency Path Loss Models in Soil for Wireless Underground Sensor Networks" Journal of Sensor and Actuator Networks 8, no. 2: 35. https://doi.org/10.3390/jsan8020035

APA Style

Abdorahimi, D., & Sadeghioon, A. M. (2019). Comparison of Radio Frequency Path Loss Models in Soil for Wireless Underground Sensor Networks. Journal of Sensor and Actuator Networks, 8(2), 35. https://doi.org/10.3390/jsan8020035

Note that from the first issue of 2016, this journal uses article numbers instead of page numbers. See further details here.

Article Metrics

Back to TopTop