Wireless Power Transfer Protocols in Sensor Networks: Experiments and Simulations †
Abstract
:1. Introduction
2. Related Work
3. The Model
4. The Protocols
| Algorithm 1: Charging Oriented |
![]() |
| Algorithm 2:Energy Balancing |
![]() |
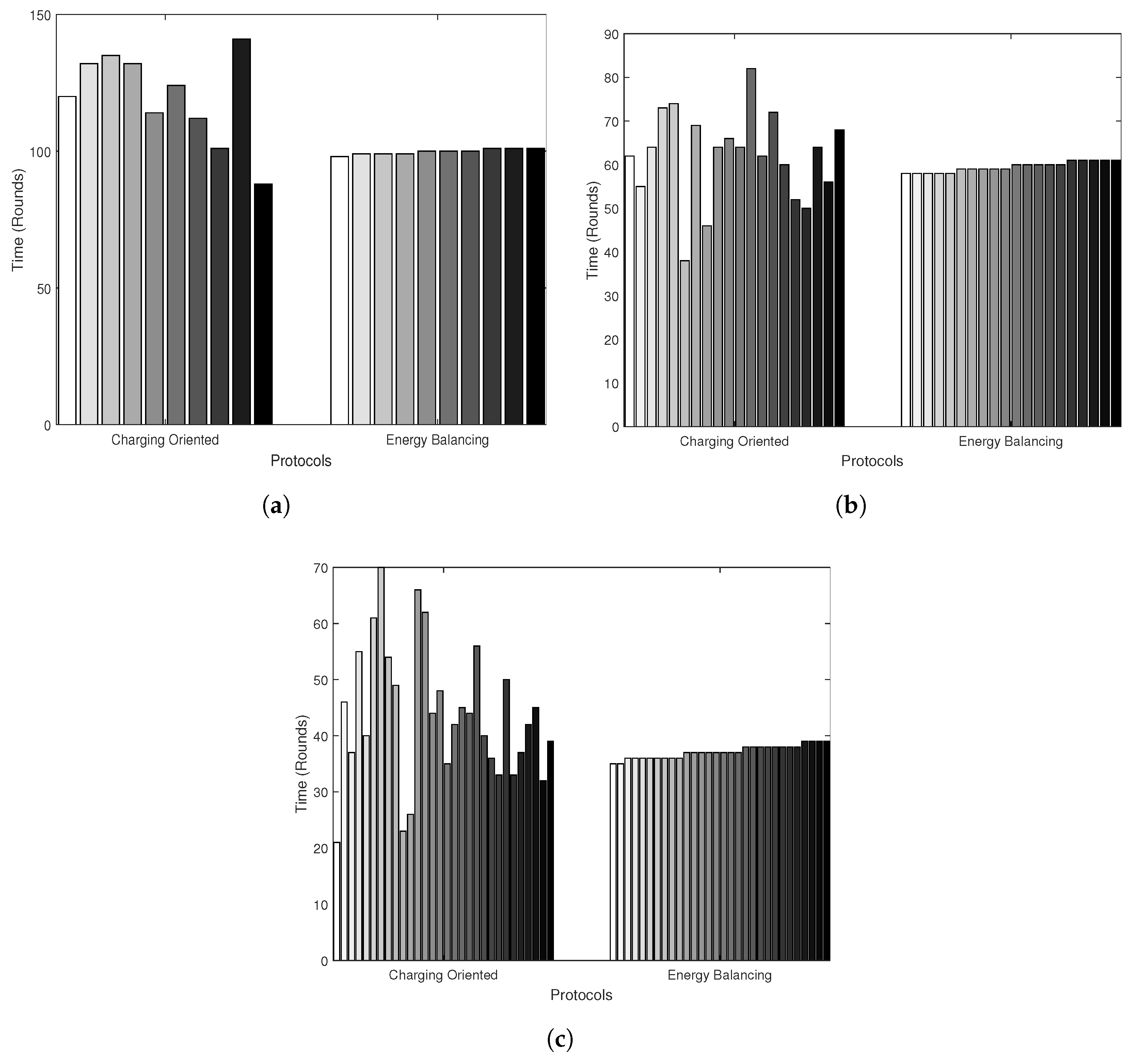
5. Performance Evaluation
5.1. Experiments
5.2. Simulations
6. Conclusions
Acknowledgments
Author Contributions
Conflicts of Interest
References
- Yao, W.; Li, M.; Wu, M.Y. Inductive Charging with Multiple Charger Nodes in Wireless Sensor Networks. In Advanced Web and Network Technologies, and Applications; Lecture Notes in Computer Science; Springer: Berlin, Germany, 2006; Volume 3842, pp. 262–270. [Google Scholar]
- Kansal, A.; Hsu, J.; Zahedi, S.; Srivastava, M.B. Power Management in Energy Harvesting Sensor Networks. ACM Trans. Embed. Comput. Syst. 2007, 6, 32. [Google Scholar] [CrossRef]
- Lu, X.; Wang, P.; Niyato, D.; Kim, D.I.; Han, Z. Wireless Charging Technologies: Fundamentals, Standards, and Network Applications. IEEE Commun. Surv. Tutor. 2016, 18, 1413–1452. [Google Scholar] [CrossRef]
- Ho, S.L.; Wang, J.; Fu, W.N.; Sun, M. A Comparative Study Between Novel Witricity and Traditional Inductive Magnetic Coupling in Wireless Charging. IEEE Trans. Magn. 2011, 47, 1522–1525. [Google Scholar] [CrossRef]
- Kurs, A.; Karalis, A.; Moffatt, R.; Joannopoulos, J.D.; Fisher, P.; Soljačić, M. Wireless Power Transfer via Strongly Coupled Magnetic Resonances. Science 2007, 317, 83–86. [Google Scholar] [CrossRef] [PubMed]
- Kline, M.; Izyumin, I.; Boser, B.; Sanders, S. Capacitive power transfer for contactless charging. In Proceedings of the 2011 Twenty-Sixth Annual IEEE Applied Power Electronics Conference and Exposition (APEC), Fort Worth, TX, USA, 6–11 March 2011; pp. 1398–1404. [Google Scholar]
- Popovic, Z. Cut the Cord: Low-Power Far-Field Wireless Powering. IEEE Microw. Mag. 2013, 14, 55–62. [Google Scholar] [CrossRef]
- Hui, S.Y. Planar Wireless Charging Technology for Portable Electronic Products and Qi. Proc. IEEE 2013, 101, 1290–1301. [Google Scholar] [CrossRef]
- Nikoletseas, S.; Raptis, T.P.; Souroulagkas, A.; Tsolovos, D. An experimental evaluation of wireless power transfer protocols in mobile ad hoc networks. In Proceedings of the 2015 IEEE Wireless Power Transfer Conference (WPTC), Boulder, CO, USA, 13–15 May 2015; pp. 1–3. [Google Scholar]
- Lu, X.; Wang, P.; Niyato, D.; Kim, D.I.; Han, Z. Wireless Networks With RF Energy Harvesting: A Contemporary Survey. IEEE Commun. Surv. Tutor. 2015, 17, 757–789. [Google Scholar] [CrossRef]
- Angelopoulos, C.M.; Nikoletseas, S.; Raptis, T.P. Wireless energy transfer in sensor networks with adaptive, limited knowledge protocols. Comput. Netw. 2014, 70, 113–141. [Google Scholar] [CrossRef]
- Madhja, A.; Nikoletseas, S.; Raptis, T.P. Distributed wireless power transfer in sensor networks with multiple Mobile Chargers. Comput. Netw. 2015, 80, 89–108. [Google Scholar] [CrossRef]
- Wang, C.; Li, J.; Ye, F.; Yang, Y. NETWRAP: An NDN Based Real-Time Wireless Recharging Framework for Wireless Sensor Networks. IEEE Trans. Mob. Comput. 2014, 13, 1283–1297. [Google Scholar]
- Guo, S.; Wang, C.; Yang, Y. Joint Mobile Data Gathering and Energy Provisioning in Wireless Rechargeable Sensor Networks. IEEE Trans. Mob. Comput. 2014, 13, 2836–2852. [Google Scholar] [CrossRef]
- Li, Z.; Peng, Y.; Zhang, W.; Qiao, D. J-RoC: A Joint Routing and Charging scheme to prolong sensor network lifetime. In Proceedings of the 2011 19th IEEE International Conference on Network Protocols (ICNP), Vancouver, AB, Canada, 17–20 October 2011; pp. 373–382. [Google Scholar]
- Xie, L.; Shi, Y.; Hou, Y.; Lou, W.; Sherali, H.; Midkiff, S. Bundling mobile base station and wireless energy transfer: Modeling and optimization. In Proceedings of the 2013 IEEE INFOCOM, Turin, Italy, 14–19 April 2013; 2013; pp. 1636–1644. [Google Scholar]
- Peng, Y.; Li, Z.; Zhang, W.; Qiao, D. Prolonging Sensor Network Lifetime Through Wireless Charging. In Proceedings of the IEEE 31st Real-Time Systems Symposium (RTSS), San Diego, CA, USA, 30 November–3 December 2010; pp. 129–139. [Google Scholar]
- Dai, H.; Liu, Y.; Chen, G.; Wu, X.; He, T. Safe Charging for wireless power transfer. In Proceedings of the IEEE Conference on Computer Communications (INFOCOM), Toronto, ON, Canada, 27 April–2 May 2014; pp. 1105–1113. [Google Scholar]
- Kansal, A.; Somasundara, A.A.; Jea, D.D.; Srivastava, M.B.; Estrin, D. Intelligent Fluid Infrastructure for Embedded Networks. In Proceedings of the 2nd International Conference on Mobile Systems, Applications, and Services (MobiSys ’04), Boston, MA, USA, 6–9 June 2004; ACM: New York, NY, USA, 2004; pp. 111–124. [Google Scholar]
- Luo, J.; Hubaux, J.P. Joint mobility and routing for lifetime elongation in wireless sensor networks. In Proceedings of the IEEE 24th Annual Joint Conference of the IEEE Computer and Communications Societies, Miami, FL, USA, 13–17 March 2005; Volume 3, pp. 1735–1746. [Google Scholar]
- Nikoletseas, S.; Raptis, T.P.; Raptopoulos, C. Interactive Wireless Charging for Energy Balance. In Proceedings of the 2016 IEEE 36th International Conference on Distributed Computing Systems (ICDCS), Nara, Japan, 27–30 June 2016; pp. 262–270. [Google Scholar]
- Nikoletseas, S.; Raptis, T.P.; Raptopoulos, C. Energy Balance with Peer-to-Peer Wireless Charging. In Proceedings of the 2016 IEEE 13th International Conference on Mobile Ad Hoc and Sensor Systems (MASS), Brasilia, Brazil, 10–13 October 2016; pp. 101–108. [Google Scholar]
- Madhja, A.; Nikoletseas, S.; Raptopoulos, C.; Tsolovos, D. Energy Aware Network Formation in Peer-to-Peer Wireless Power Transfer. In Proceedings of the 19th ACM International Conference on Modeling, Analysis and Simulation of Wireless and Mobile Systems (MSWiM ’16), Malta, Malta, 13–17 November 2016; ACM: New York, NY, USA, 2016; pp. 43–50. [Google Scholar]
- Costanzo, A.; Dionigi, M.; Masotti, D.; Mongiardo, M.; Monti, G.; Tarricone, L.; Sorrentino, R. Electromagnetic Energy Harvesting and Wireless Power Transmission: A Unified Approach. Proc. IEEE 2014, 102, 1692–1711. [Google Scholar] [CrossRef]
- Lui, K.W.; Murphy, O.H.; Toumazou, C. 32-μW Wirelessly-Powered Sensor Platform With a 2-m Range. IEEE Sens. J. 2012, 12, 1919–1924. [Google Scholar] [CrossRef]
- Piñuela, M.; Mitcheson, P.D.; Lucyszyn, S. Ambient RF Energy Harvesting in Urban and Semi-Urban Environments. IEEE Trans. Microw. Theory Tech. 2013, 61, 2715–2726. [Google Scholar] [CrossRef]
- Powercast. Available online: http://www.powercastco.com/ (accessed on 28 March 2017).
- TelosB Platform. Available online: http://www.memsic.com/userfiles/files/Datasheets/WSN/telosbdatasheet.pdf (accessed on 28 March 2017).
- The TinyOS Operating System. Available online: https://github.com/tinyos (accessed on 28 March 2017).
- He, S.; Chen, J.; Jiang, F.; Yau, D.; Xing, G.; Sun, Y. Energy Provisioning in Wireless Rechargeable Sensor Networks. IEEE Trans. Mob. Comput. 2013, 12, 1931–1942. [Google Scholar] [CrossRef]
- Piller, S.; Perrin, M.; Jossen, A. Methods for state-of-charge determination and their applications. J. Power Sources 2001, 96, 113–120. [Google Scholar] [CrossRef]
- Aaronia. Available online: http://www.aaronia.com/ (accessed on 28 March 2017).







© 2017 by the authors. Licensee MDPI, Basel, Switzerland. This article is an open access article distributed under the terms and conditions of the Creative Commons Attribution (CC BY) license (http://creativecommons.org/licenses/by/4.0/).
Share and Cite
Nikoletseas, S.; Raptis, T.P.; Souroulagkas, A.; Tsolovos, D. Wireless Power Transfer Protocols in Sensor Networks: Experiments and Simulations. J. Sens. Actuator Netw. 2017, 6, 4. https://doi.org/10.3390/jsan6020004
Nikoletseas S, Raptis TP, Souroulagkas A, Tsolovos D. Wireless Power Transfer Protocols in Sensor Networks: Experiments and Simulations. Journal of Sensor and Actuator Networks. 2017; 6(2):4. https://doi.org/10.3390/jsan6020004
Chicago/Turabian StyleNikoletseas, Sotiris, Theofanis P. Raptis, Alexandros Souroulagkas, and Dimitrios Tsolovos. 2017. "Wireless Power Transfer Protocols in Sensor Networks: Experiments and Simulations" Journal of Sensor and Actuator Networks 6, no. 2: 4. https://doi.org/10.3390/jsan6020004
APA StyleNikoletseas, S., Raptis, T. P., Souroulagkas, A., & Tsolovos, D. (2017). Wireless Power Transfer Protocols in Sensor Networks: Experiments and Simulations. Journal of Sensor and Actuator Networks, 6(2), 4. https://doi.org/10.3390/jsan6020004



