The Use of Urea and Kelp Waste Extract is A Promising Strategy for Maximizing the Biomass Productivity and Lipid Content in Chlorella sorokiniana
Abstract
1. Introduction
2. Results
2.1. Effect of Urea and KWE on the Cell Density of C. sorokiniana
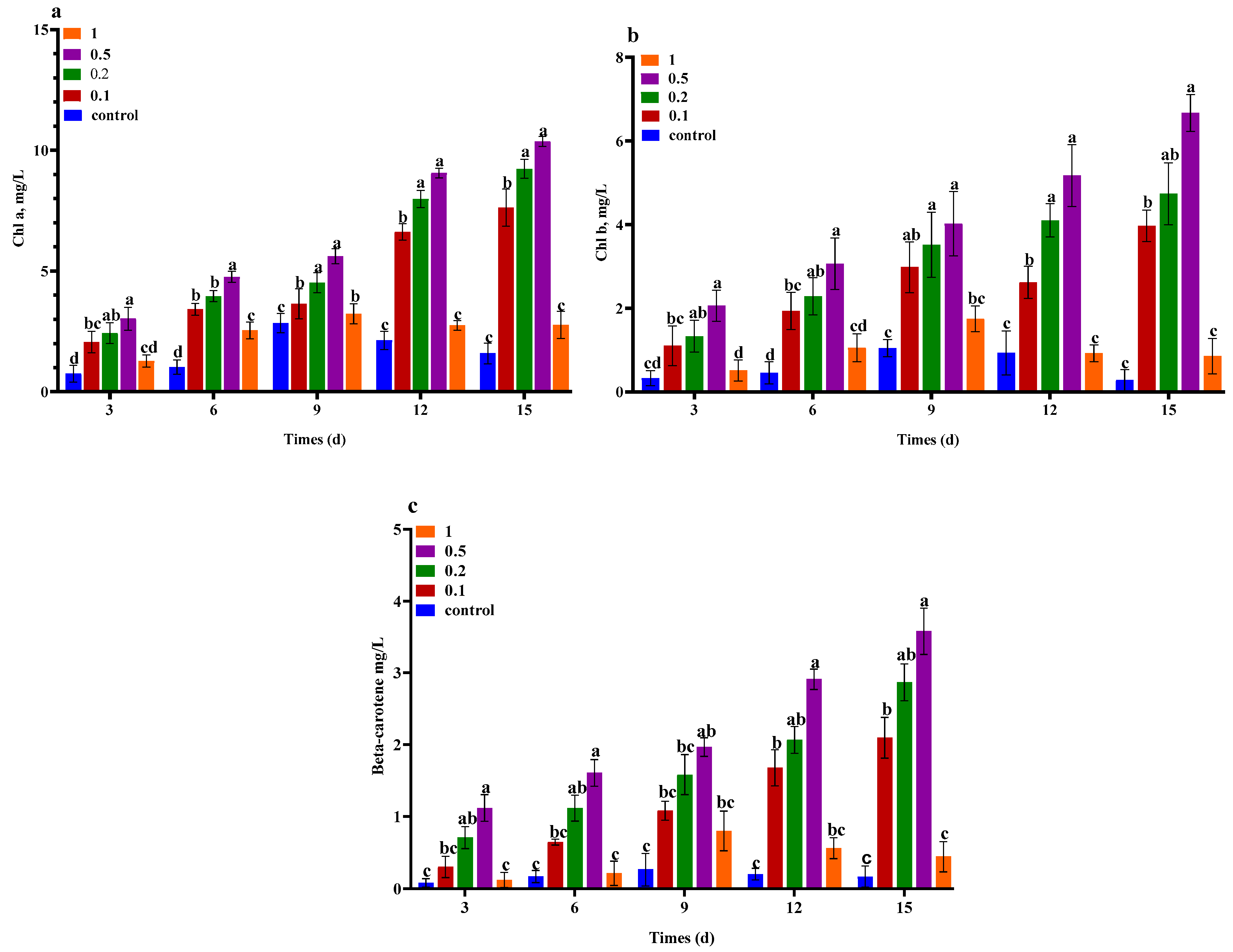
2.2. Effect of Urea and KWE on the Chlorophyll Pigments of C. sorokiniana
2.3. Effects of Urea and KWE on the Carbohydrate Content of C. sorokiniana
2.4. Effect of Urea and KWE on the Neutral Lipid of C. sorokiniana
2.5. Effect of Urea and KWE on the Biomass and Lipid Contents of C. sorokiniana
3. Discussion
4. Materials and Methods
4.1. Microalgae Source and Seed Culture
4.2. Experimental Details
4.3. Measurements of Cellular Density and Chlorophyll Pigments
4.4. Carbohydrate Quantification
4.5. Measurement of Neutral Lipid Contents
4.6. Estimation of the Dry Cell Weight and Total Lipid Contents
4.7. Statistical Analysis
5. Conclusions
Author Contributions
Funding
Conflicts of Interest
References
- Antoni, D.; Zverlov, V.V.; Schwarz, W.H. Biofuels from microbes. Appl. Microbiol. Biotechnol. 2007, 77, 23–35. [Google Scholar] [CrossRef] [PubMed]
- Talebian-Kiakalaieh, A.; Amin, N.A.S.; Mazaheri, H. A review on novel processes of biodiesel production from waste cooking oil. Appl. Energy 2013, 104, 683–710. [Google Scholar] [CrossRef]
- Lam, M.K.; Lee, K.T. Microalgae biofuels: A critical review of issues, problems and the way forward. Biotechnol. Adv. 2012, 30, 673–690. [Google Scholar] [CrossRef] [PubMed]
- Meher, L.C.; Sagar, D.V.; Naik, S. Technical aspects of biodiesel production by transesterification—A review. Renew. Sustain. Energy Rev. 2006, 10, 248–268. [Google Scholar] [CrossRef]
- Moser, B.R.; Vaughn, S.F. Efficacy of fatty acid profile as a tool for screening feedstocks for biodiesel production. Biomass Bioenergy 2012, 37, 31–41. [Google Scholar] [CrossRef]
- John Pirt, S. The thermodynamic efficiency (quantum demand) and dynamics of photosynthetic growth. New Phytol. 1986, 102, 3–37. [Google Scholar] [CrossRef]
- Chisti, Y. Biodiesel from microalgae. Biotechnol. Adv. 2007, 25, 294–306. [Google Scholar] [CrossRef]
- Hu, Q.; Sommerfeld, M.; Jarvis, E.; Ghirardi, M.; Posewitz, M.; Seibert, M.; Darzins, A. Microalgal triacylglycerols as feedstocks for biofuel production: Perspectives and advances. Plant J. 2008, 54, 621–639. [Google Scholar] [CrossRef]
- Chisti, Y. Constraints to commercialization of algal fuels. J. Biotechnol. 2013, 167, 201–214. [Google Scholar] [CrossRef]
- Abou-Shanab, R.A.; Hwang, J.-H.; Cho, Y.; Min, B.; Jeon, B.-H. Characterization of microalgal species isolated from fresh water bodies as a potential source for biodiesel production. Appl. Energy 2011, 88, 3300–3306. [Google Scholar] [CrossRef]
- Subramanian, S.; Barry, A.N.; Pieris, S.; Sayre, R.T. Comparative energetics and kinetics of autotrophic lipid and starch metabolism in chlorophytic microalgae: Implications for biomass and biofuel production. Biotechnol. Biofuels 2013, 6, 150. [Google Scholar] [CrossRef] [PubMed]
- Sheehan, J.; Dunahay, T.; Benemann, J.; Roessler, P. A look back at the US Department of Energy’s 326 aquatic species program: Biodiesel from algae. Natl. Renew. Energy Lab. 1998, 328, 1–294. [Google Scholar]
- Mata, T.M.; Martins, A.A.; Caetano, N.S. Microalgae for biodiesel production and other applications: A review. Renew. Sustain. Energy Rev. 2010, 14, 217–232. [Google Scholar] [CrossRef]
- Um, B.-H.; Kim, Y.-S. A chance for Korea to advance algal-biodiesel technology. J. Ind. Eng. Chem. 2009, 15, 1–7. [Google Scholar] [CrossRef]
- Sialve, B.; Bernet, N.; Bernard, O. Anaerobic digestion of microalgae as a necessary step to make microalgal biodiesel sustainable. Biotechnol. Adv. 2009, 27, 409–416. [Google Scholar] [CrossRef]
- Yeh, K.L.; Chang, J.S. Nitrogen starvation strategies and photobioreactor design for enhancing lipid content and lipid production of a newly isolated microalga Chlorella vulgaris ESP-31: Implications for biofuels. Biotechnol. J. 2011, 6, 1358–1366. [Google Scholar] [CrossRef]
- Gouveia, L.; Oliveira, A.C. Microalgae as a raw material for biofuels production. J. Ind. Microbiol. Biotechnol. 2009, 36, 269–274. [Google Scholar] [CrossRef]
- Illman, A.; Scragg, A.; Shales, S. Increase in Chlorella strains calorific values when grown in low nitrogen medium. Enzym. Microb. Technol. 2000, 27, 631–635. [Google Scholar] [CrossRef]
- Belkoura, M.; Benider, A.; Dauta, A. Influence de la température, de l’intensité lumineuse et du stade de croissance sur la composition biochimique de Chlorella sorokiniana Shihira & Krauss. Ann. Limnol. Int. J. Lim. 1997, 33, 3–11. [Google Scholar]
- Greenwell, H.C.; Laurens, L.; Shields, R.; Lovitt, R.; Flynn, K. Placing microalgae on the biofuels priority list: A review of the technological challenges. J. R. Soc. Interface 2009, 7, 703–726. [Google Scholar] [CrossRef]
- Ma, F.; Hanna, M.A. Biodiesel production: A review. Bioresour. Technol. 1999, 70, 1–15. [Google Scholar] [CrossRef]
- Santana, H.; Cereijo, C.R.; Teles, V.C.; Nascimento, R.C.; Fernandes, M.S.; Brunale, P.; Campanha, R.C.; Soares, I.P.; Silva, F.C.; Sabaini, P.S. Microalgae cultivation in sugarcane vinasse: Selection, growth and biochemical characterization. Bioresour. Technol. 2017, 228, 133–140. [Google Scholar] [CrossRef]
- Ho, S.-H.; Ye, X.; Hasunuma, T.; Chang, J.-S.; Kondo, A. Perspectives on engineering strategies for improving biofuel production from microalgae—A critical review. Biotechnol. Adv. 2014, 32, 1448–1459. [Google Scholar] [CrossRef]
- Möller, M.; Smith, M. The significance of the mineral component of seaweed suspensions on lettuce (Lactuca sativa L.) seedling growth. J. Plant Physiol. 1998, 153, 658–663. [Google Scholar]
- Zhang, J.J.; Duan, R.; Xu, K.; Li, Z. Status and development of dealginate residues in kelp industry. Fish. Sci. 2010, 29, 620–623. [Google Scholar]
- Lardon, L.; Hélias, A.; Sialve, B.; Steyer, J.-P.; Bernard, O. Life-Cycle Assessment of Biodiesel Production from Microalgae. Environ. Sci. Technol. 2009, 17, 6475–6481. [Google Scholar] [CrossRef]
- Arumugam, M.; Agarwal, A.; Arya, M.C.; Ahmed, Z. Influence of nitrogen sources on biomass productivity of microalgae Scenedesmus bijugatus. Bioresour. Technol. 2013, 131, 246–249. [Google Scholar] [CrossRef]
- Li, Y.; Horsman, M.; Wang, B.; Wu, N.; Lan, C.Q. Effects of nitrogen sources on cell growth and lipid accumulation of green alga Neochloris oleoabundans. Appl. Microbiol. Biotechnol. 2008, 81, 629–636. [Google Scholar] [CrossRef]
- Zheng, S.; He, M.; Jiang, J.; Zou, S.; Yang, W.; Zhang, Y.; Deng, J.; Wang, C. Effect of kelp waste extracts on the growth and lipid accumulation of microalgae. Bioresour. Technol. 2016, 201, 80–88. [Google Scholar] [CrossRef]
- Su, C.-H.; Giridhar, R.; Chen, C.-W.; Wu, W.-T. A novel approach for medium formulation for growth of a microalga using motile intensity. Bioresour. Technol. 2007, 98, 3012–3016. [Google Scholar] [CrossRef]
- Jeanfils, J.; Canisius, M.; Burlion, N. Effect of high nitrate concentrations on growth and nitrate uptake by free-living and immobilized Chlorella vulgaris cells. J. Appl. Phycol. 1993, 5, 369–374. [Google Scholar] [CrossRef]
- Becker, E.W. Microalgae: Biotechnology and Microbiology (Vol. 10); Cambridge University Press: Cambridge, UK, 1994. [Google Scholar]
- Choochote, W.; Paiboonsin, K.; Ruangpan, S.; Pharuang, A. Effects of Urea and Light Intensity on the Growth of Chlorella sp. In Proceedings of the 8th International Symposium on Biocontrol and Biotechnology, Pattaya, Thailand, 4–6 October 2010; pp. 127–134. [Google Scholar]
- Mulders, K.J.; Janssen, J.H.; Martens, D.E.; Wijffels, R.H.; Lamers, P.P. Effect of biomass concentration on secondary carotenoids and triacylglycerol (TAG) accumulation in nitrogen-depleted Chlorella zofingiensis. Algal Res. 2014, 6, 8–16. [Google Scholar] [CrossRef]
- Abreu, A.P.; Fernandes, B.; Vicente, A.A.; Teixeira, J.; Dragone, G. Mixotrophic cultivation of Chlorella vulgaris using industrial dairy waste as organic carbon source. Bioresour. Technol. 2012, 118, 61–66. [Google Scholar] [CrossRef]
- De Silva, A.Z.; Shariff, M.; Banerjee, S.; Yusoff, F.M. Growth and Quality Enhancement of Chlorella vulgaris Beyerinck (Beijerinck) 1890 Using Simple Cost-effective Medium. Asian Fish. Sci. 2018, 31, 61–72. [Google Scholar]
- Del Campo, J.A.; García-González, M.; Guerrero, M.G. Outdoor cultivation of microalgae for carotenoid production: Current state and perspectives. Appl. Microbiol. Biotechnol. 2007, 74, 1163–1174. [Google Scholar] [CrossRef]
- Banerjee, A.; Sharma, R.; Chisti, Y.; Banerjee, U. Botryococcus braunii: A renewable source of hydrocarbons and other chemicals. Crit. Rev. Biotechnol. 2002, 22, 245–279. [Google Scholar] [CrossRef]
- Pancha, I.; Chokshi, K.; George, B.; Ghosh, T.; Paliwal, C.; Maurya, R.; Mishra, S. Nitrogen stress triggered biochemical and morphological changes in the microalgae Scenedesmus sp. CCNM 1077. Bioresour. Technol. 2014, 156, 146–154. [Google Scholar] [CrossRef]
- Goodson, C.; Roth, R.; Wang, Z.T.; Goodenough, U. Structural correlates of cytoplasmic and chloroplast lipid body synthesis in Chlamydomonas reinhardtii and stimulation of lipid body production with acetate boost. Eukaryot. Cell 2011, 10, 1592–1606. [Google Scholar] [CrossRef]
- James, G.O.; Hocart, C.H.; Hillier, W.; Chen, H.; Kordbacheh, F.; Price, G.D.; Djordjevic, M.A. Fatty acid profiling of Chlamydomonas reinhardtii under nitrogen deprivation. Bioresour. Technol. 2011, 102, 3343–3351. [Google Scholar] [CrossRef]
- Du, Z.-Y.; Benning, C. Triacylglycerol accumulation in photosynthetic cells in plants and algae. In Lipids in Plant and Algae Development; Nakamura, Y., Li-Beisson, Y., Eds.; Springer International Publishing: Cham, Switzerland, 2016; p. 91. [Google Scholar]
- Zhu, J.; Chen, W.; Chen, H.; Zhang, X.; He, C.; Rong, J.; Wang, Q. Improved productivity of neutral lipids in Chlorella sp. A2 by minimal nitrogen supply. Front. Microbiol. 2016, 7, 557. [Google Scholar] [CrossRef]
- Kaur, R.; Mahajan, A.; Bhatia, A. Effect of Two Different Nitrogen Sources on Lipid Accumulation in Microalgae Chlorella Pyrenoidosa. Int. J. Trend Res. Dev. 2017, 4, 8–10. [Google Scholar]
- Zhang, Y.; He, M.; Zou, S.; Fei, C.; Yan, Y.; Zheng, S.; Rajper, A.A.; Wang, C. Breeding of high biomass and lipid producing Desmodesmus sp. by ethylmethane sulfonate-induced mutation. Bioresour. Technol. 2016, 207, 268–275. [Google Scholar] [CrossRef] [PubMed]
- Najafabadi, H.A.; Malekzadeh, M.; Jalilian, F.; Vossoughi, M.; Pazuki, G. Effect of various carbon sources on biomass and lipid production of Chlorella vulgaris during nutrient sufficient and nitrogen starvation conditions. Bioresour. Technol. 2015, 180, 311–317. [Google Scholar] [CrossRef] [PubMed]
- Wellburn, A.R.; Lichtenthaler, H. Formulae and program to determine total carotenoids and chlorophylls a and b of leaf extracts in different solvents. In Advances in Photosynthesis Research; Springer: Dordrecht, The Netherlands, 1984; pp. 9–12. [Google Scholar] [CrossRef]
- Dubois, M.; Gilles, K.A.; Hamilton, J.K.; Rebers, P.T.; Smith, F. Colorimetric method for determination of sugars and related substances. Anal. Chem. 1956, 28, 350–356. [Google Scholar] [CrossRef]
- Kimura, K.; Yamaoka, M.; Kamisaka, Y. Rapid estimation of lipids in oleaginous fungi and yeasts using Nile red fluorescence. J. Microbiol. Methods 2004, 56, 331–338. [Google Scholar] [CrossRef]
- Bligh, E.G.; Dyer, W.J. A rapid method of total lipid extraction and purification. Can. J. Biochem. Physiol. 1959, 37, 911–917. [Google Scholar] [CrossRef]





| Microalgae | Biomass Productivity (mg L−1 d−1) | Lipid Content (% of biomass) | Lipid Productivity (mg L−1 d−1) |
|---|---|---|---|
| Chlorella sorokiniana | 315.5 ± 10.3 | 19.8 ± 0.7 | 62.3 ± 2.0 |
| Tetraselmis sp. LW | 414.0 ± 11.3 | 14.9 ± 0.1 | 61.8 ± 1.7 |
| Chlorella sp. AMI2 | 307.3 ± 7.7 | 19.2 ± 0.4 | 59.0 ± 1.5 |
| Porphyridium cruentum | 613.3 ± 77 | 8 9.4 ± 0.2 | 57.5 ± 7.3 |
| Tetraselmis suecica CV | 383.6 ± 1.3 | 14.9 ± 0.1 | 57.3 ± 0.2 |
| Chlorella vulgaris UTEX 1200 | 274.5 ± 21.9 | 19.4 ± 0.9 | 53.2 ± 4.2 |
| Monodus subterraneus UTEX | 257.3 ± 20.6 | 15.5 ± 0.5 | 39.9 ± 3.2 |
| Tetraselmis suecica OR | 448.0 ± 0.0 | 8.4 ± 0.3 | 37.5 ± 0.0 |
| BBM | KWE | ||
|---|---|---|---|
| NaNO3 (mg L−1) | 250.00 | N (mg L−1) | 5723.93 ± 75.21 |
| MgSO4·7H2O (mg L−1) | 75.00 | P (mg L−1) | 5529.45 ± 33.94 |
| NaCl (mg L−1) | 25.00 | K (mg L−1) | 60.54 ± 0.43 |
| K2HPO4 (mg L−1) | 75.00 | Ca (mg L−1) | 54.91 ± 4.51 |
| KH2PO4 (mg L−1) | 175.00 | Mg (mg L−1) | 75.64 ± 5.94 |
| CaCl2·2H2O (mg L−1) | 25.00 | Fe (mg L−1) | ND |
| ZnSO4·7H2O (mg L−1) | 8.82 | Mn (mg L−1) | 0.65 ± 0.06 |
| MnCl2·4H2O (mg L−1) | 1.44 | Cu (mg L−1) | 0.04 ± 0.09 |
| MoO3 (mg L−1) | 0.71 | Zn (mg L−1) | 8.30 ± 1.75 |
| Co (NO3)2·6H2O (mg L−1) | 0.49 | B (mg L−1) | 6.04 ± 0.85 |
| H3BO3 (mg L−1) | 11.42 | Amino acids (mg L−1) | 194.03 ± 0.75 |
| EDTA (mg L−1) | 50.00 | Reducing sugars (g L−1) | 19.55 ± 0.13 |
| KOH (mg L−1) | 31.00 | Total sugars (g L−1) | 23.19 ± 0.65 |
| FeSO4·7H2O (mg L−1) | 4.98 | Alginic acid (g L−1) | 6.09 ± 0.44 |
| H2SO4 (conc., mL) | 1.00 | ||
© 2020 by the authors. Licensee MDPI, Basel, Switzerland. This article is an open access article distributed under the terms and conditions of the Creative Commons Attribution (CC BY) license (http://creativecommons.org/licenses/by/4.0/).
Share and Cite
Kumbhar, A.N.; He, M.; Rajper, A.R.; Memon, K.A.; Rizwan, M.; Nagi, M.; Woldemicael, A.G.; Li, D.; Wang, C.; Wang, C. The Use of Urea and Kelp Waste Extract is A Promising Strategy for Maximizing the Biomass Productivity and Lipid Content in Chlorella sorokiniana. Plants 2020, 9, 463. https://doi.org/10.3390/plants9040463
Kumbhar AN, He M, Rajper AR, Memon KA, Rizwan M, Nagi M, Woldemicael AG, Li D, Wang C, Wang C. The Use of Urea and Kelp Waste Extract is A Promising Strategy for Maximizing the Biomass Productivity and Lipid Content in Chlorella sorokiniana. Plants. 2020; 9(4):463. https://doi.org/10.3390/plants9040463
Chicago/Turabian StyleKumbhar, Ali Nawaz, Meilin He, Abdul Razzaque Rajper, Khalil Ahmed Memon, Muhammad Rizwan, Mostafa Nagi, Abeselom Ghirmai Woldemicael, Dan Li, Chun Wang, and Changhai Wang. 2020. "The Use of Urea and Kelp Waste Extract is A Promising Strategy for Maximizing the Biomass Productivity and Lipid Content in Chlorella sorokiniana" Plants 9, no. 4: 463. https://doi.org/10.3390/plants9040463
APA StyleKumbhar, A. N., He, M., Rajper, A. R., Memon, K. A., Rizwan, M., Nagi, M., Woldemicael, A. G., Li, D., Wang, C., & Wang, C. (2020). The Use of Urea and Kelp Waste Extract is A Promising Strategy for Maximizing the Biomass Productivity and Lipid Content in Chlorella sorokiniana. Plants, 9(4), 463. https://doi.org/10.3390/plants9040463

