Water Deficit Affects the Growth and Leaf Metabolite Composition of Young Loquat Plants
Abstract
1. Introduction
2. Results and Discussion
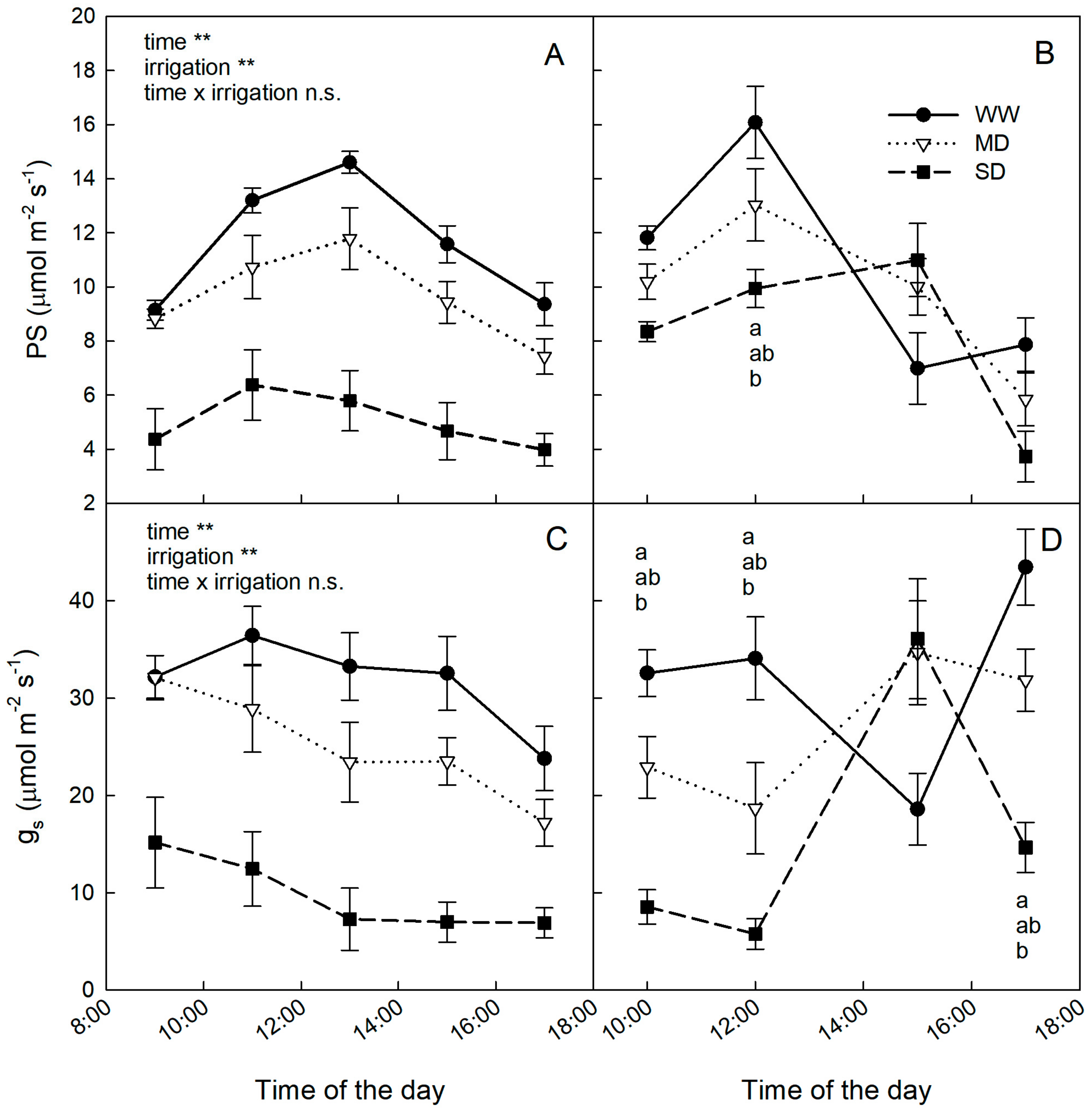
2.1. Water Relations, Gas Exchange, and Growth
2.2. Soluble Carbohydrates
2.3. Metabolomic Analysis
3. Materials and Methods
3.1. Plant Material and Experimental Design
3.2. Growth, Water Relations, and Gas Exchange
3.3. Soluble Carbohydrates
3.4. Metabolomic Analysis
3.5. Data Analysis
4. Conclusions
Supplementary Materials
Author Contributions
Funding
Acknowledgments
Conflicts of Interest
Abbreviations
References
- Lin, S.; Sharpe, R.H.; Janick, J. Loquat: Botany and Horticulture. Hortic. Rev. 1999, 23, 233–276. [Google Scholar]
- Hueso, J.J.; Cuevas, J. Loquat as a crop model for successful deficit irrigation. Irrig. Sci. 2008, 26, 269–276. [Google Scholar] [CrossRef]
- Hueso, J.J.; Cuevas, J. Ten consecutive years of regulated deficit irrigation probe the sustainability and profitability of this water saving strategy in loquat. Agric. Water Manag. 2010, 97, 645–650. [Google Scholar] [CrossRef]
- Fernández, M.D.; Hueso, J.J.; Cuevas, J. Water stress integral for successful modification of flowering dates in ‘Algerie’ loquat. Irrig. Sci. 2010, 28, 127–134. [Google Scholar] [CrossRef]
- Ballester, C.; Buesa, I.; Soler, E.; Besada, C.; Salvador, A.; Bonet, L.; Intrigliolo, D.S. Postharvest regulated deficit irrigation in early- and intermediate-maturing loquat trees. Agric. Water Manag. 2018, 205, 1–8. [Google Scholar] [CrossRef]
- Hsiao, T.C. Plant responses to water stress. Annu. Rev. Plant Physiol. 1973, 24, 519–570. [Google Scholar] [CrossRef]
- Jones, H.G.; Lakson, A.N.; Syvertsen, J.P. Physiological control of water status in temperate and subtropical fruit trees. Hortic. Rev. 1985, 7, 310–344. [Google Scholar]
- Behboudian, M.H.; Mills, T.M. Deficit irrigation in deciduous orchards. Hortic. Rev. 1997, 21, 105–131. [Google Scholar]
- Talluto, G.; Farina, V.; Volpe, G.; Lo Bianco, R. Effects of partial rootzone drying and rootstock vigour on growth and fruit quality of ‘Pink Lady’ apple trees in Mediterranean environments. Aust. J. Agric. Res. 2008, 59, 785–794. [Google Scholar] [CrossRef]
- Ennajeh, M.; Vadel, A.M.; Cochard, H.; Khemira, H. Comparative impacts of water stress on the leaf anatomy of a drought-resistant and a drought-sensitive olive cultivar. J. Hortic. Sci. Biotechnol. 2010, 85, 289–294. [Google Scholar] [CrossRef]
- Wardlaw, I.F. The control of carbon partitioning in plants. New Phytol. 1990, 116, 341–381. [Google Scholar] [CrossRef]
- Higgs, K.H.; Jones, H.G. Water relations and cropping of apple cultivars on a dwarfing rootstock in response to imposed drought. J. Hortic. Sci. Biotechnol. 1991, 66, 367–379. [Google Scholar] [CrossRef]
- Morgan, J.M. Osmoregulation and water stress in higher plants. Annu. Rev. Plant Physiol. 1984, 35, 299–319. [Google Scholar] [CrossRef]
- Sanders, G.J.; Arndt, S.K. Osmotic adjustment under drought conditions. In Plant Responses to Drought Stress; Aroca, R., Ed.; Springer: Berlin/Heidelberg, Germany, 2012; pp. 199–229. [Google Scholar]
- Tarczynski, M.C.; Jensen, R.G.; Bohnert, H.J. Stress protection of transgenic tobacco by production of the osmolyte mannitol. Science 1993, 259, 508–510. [Google Scholar] [CrossRef] [PubMed]
- Karakas, B.; Ozias-Akins, P.; Stushnoff, C.; Suefferheld, M.; Rieger, M. Salinity and drought tolerance of mannitol-accumulating transgenic tobacco. Plant. Cell Environ. 1997, 20, 609–616. [Google Scholar] [CrossRef]
- Oliver, M.J.; Cushman, J.C.; Koster, K.L. Dehydration tolerance in plants. In Plant Stress Tolerance. Methods in Molecular Biology Methods and Protocols; Sunkar, R., Ed.; Humana Press: Totowa, NJ, USA, 2010; Volume 639, pp. 3–24. [Google Scholar]
- Wyn Jones, R.G.; Gorham, J. Osmoregulation. In Encyclopedia of Plant Physiology; Lange, O.L., Nobel, P.S., Osmond, C.B., Ziegler, H., Eds.; Springer: Berlin/Heidelberg, Germany; New York, NY, USA, 1983; Volume 12, pp. 35–58. [Google Scholar]
- Lo Bianco, R.; Rieger, M.; Sung, S.S. Effect of drought on sorbitol and sucrose metabolism in sinks and sources of peach. Physiol. Plant. 2000, 108, 71–78. [Google Scholar] [CrossRef]
- Wang, Z.; Stutte, G.W. The role of carbohydrates in active osmotic adjustment in apple under water stress. J. Am. Soc. Hortic. Sci. 1992, 117, 816–823. [Google Scholar] [CrossRef]
- Ranney, T.G.; Bassuk, N.L.; Whitlow, T.H. Osmotic adjustment and solute constituents in leaves and roots of water-stressed cherry (Prunus) trees. J. Am. Soc. Hortic. Sci. 1991, 116, 684–688. [Google Scholar] [CrossRef]
- Šircelj, H.; Tausz, M.; Grill, D.; Batiç, F. Detecting different levels of drought stress in apple trees (Malus domestica Borkh) with selected biochemical and physiological parameters. Sci. Hortic. 2007, 113, 362–369. [Google Scholar] [CrossRef]
- Cui, S.M.; Chen, G.L.; Nii, N. Effects of water stress on sorbitol production and anatomical changes in the nuclei of leaf and root cells of young loquat trees. J. Jpn. Soc. Hortic. Sci. 2003, 72, 359–365. [Google Scholar] [CrossRef]
- Sheveleva, E.; Chmara, W.; Bohnert, H.J.; Jensen, R.G. Increased salt and drought tolerance by D-ononitol production in transgenic Nicotiana tabacum L. Plant Physiol. 1997, 115, 1211–1219. [Google Scholar] [CrossRef] [PubMed]
- Gorham, J.; Hughes, L.L.; Wyn Jones, R.G. Low-molecular-weight carbohydrates in some salt-stressed plants. Physiol. Plant. 1981, 53, 27–33. [Google Scholar] [CrossRef]
- Moore, B.D.; Talbot, J.N.; Seemann, J.R. Function of leaf hamamelitol as a compatible solute during water stress treatment of Hedera helix L. Plant Cell Environ. 1997, 20, 938–944. [Google Scholar]
- Peltier, J.P.; Marigo, D.E.; Marigo, G. Involvement of malate and mannitol in the diurnal regulation of the water status in members of Oleaceae. Trees 1997, 12, 27–34. [Google Scholar] [CrossRef]
- Gucci, R.; Lombardini, L.; Tattini, M. Analysis of leaf water relations in leaves of two olive (Olea europaea) cultivars differing in tolerance to salinity. Tree Physiol. 1997, 17, 13–21. [Google Scholar] [CrossRef]
- Brown, P.H.; Hu, H. Phloem mobility of boron is species dependent: Evidence for phloem mobility in sorbitol-rich species. Ann. Bot. 1996, 77, 497–506. [Google Scholar] [CrossRef]
- Escobar Gutiérrez, A.; Gaudillere, J.P. Distribution, métabolisme et rôle du sorbitol chez les plantes supérieures. Synthèse 1996, 5, 281–298. [Google Scholar] [CrossRef]
- Tiwari, R.; Rana, C.S. Plant secondary metabolites: A review. Int. J. Eng. Res. Gen. Sci. 2015, 3, 661–670. [Google Scholar]
- Verma, N.; Shukla, S. Impact of various factors responsible for fluctuation in plant secondary metabolites in plants. J. Appl. Res. Med. Aromat. Plants 2015, 2, 105–113. [Google Scholar] [CrossRef]
- Ramakrishna, A.; Ravishankar, G.A. Influence of abiotic stress signals on plant secondary metabolites in plants. Plant Signal. Behav. 2011, 6, 1720–1731. [Google Scholar]
- Gismondi, A.; Di Marco, G.; Canuti, L.; Canini, A. Antiradical activity of phenolic metabolites extracted from grapes of white and red Vitis vinifera L. cultivars. Vitis 2017, 56, 19–26. [Google Scholar]
- Jaleel, C.A.; Manivannan, P.; Sankar, B.; Kishorekumar, A.; Gopi, R.; Somasundaram, R.; Panneerselva, M. Induction of drought stress tolerance by ketoconazole in Catharanthus roseus is mediated by enhanced antioxidant potentials and secondary metabolite accumulation. Colloids Surf. B Biointerfaces 2007, 60, 201–206. [Google Scholar] [CrossRef] [PubMed]
- Ksouri, R.; Megdiche, W.; Falleh, H.; Trabelsi, N.; Boulaaba, M.; Smaoui, A.; Abdelly, C. Influence of biological, environmental and technical factors on phenolic content and antioxidant activities of Tunisian halophytes. Comptes Rendus Biol. 2008, 331, 865–873. [Google Scholar] [CrossRef] [PubMed]
- Luo, H.J.; Liu, X.H. Effects of water stress on photosynthesis in loquat trees. J. Fruit Sci. 1999, 2, 126–130. [Google Scholar]
- Stellfeldt, A.; Maldonado, M.A.; Hueso, J.J.; Cuevas, J. Gas exchange and water relations of young potted loquat cv. Algerie under progressive drought conditions. J. Integr. Agric. 2018, 17, 1360–1368. [Google Scholar] [CrossRef]
- García-Legaz, M.F.; López-Gómez, E.; Beneyto, J.M.; Navarro, A.; Sánchez-Blanco, M.J. Physiological behaviour of loquat and anger rootstocks in relation to salinity and calcium addition. J. Plant Physiol. 2008, 165, 1049–1060. [Google Scholar] [CrossRef]
- Macaluso, L.; Lo Bianco, R.; Rieger, M. Mannitol-producing tobacco exposed to varying levels of water, light, temperature and paraquat. J. Hortic. Sci. Biotechnol. 2007, 82, 979–985. [Google Scholar] [CrossRef]
- Lo Bianco, R.; Scalisi, A. Water relations and carbohydrate partitioning of four greenhouse-grown olive genotypes under long-term drought. Trees 2017, 31, 717–727. [Google Scholar] [CrossRef]
- Spanova, M.; Daum, G. Squalene—Biochemistry, molecular biology, process biotechnology, and applications. Eur. J. Lipid Sci. Technol. 2011, 113, 1299–1320. [Google Scholar] [CrossRef]
- Owen, R.W.; Giacosa, A.; Hull, W.E.; Haubner, R.; Wurtele, G.; Spiegerlhalder, B.; Bartsch, H. Olive-oil consumption and health: The possible role of antioxidants. Lancet Oncol. 2000, 1, 107–112. [Google Scholar] [CrossRef]
- Ronco, A.L.; De Stefani, E. Squalene, a multi-task link in the crossroads of cancer and aging. Funct. Food Health Dis. 2013, 3, 462–476. [Google Scholar] [CrossRef]
- Oueslati, I.; Anniva, C.; Daoud, D.; Tsimidou, M.Z.; Zarrouk, M. Virgin olive oil (VOO) production in Tunisia, the commercial potential of the major olive varieties from the arid Tataouine zone. Food Chem. 2009, 112, 733–741. [Google Scholar]
- Bedbabis, S.; Rouina, S.; Mazzeo, B.B.; Ferrara, G. Irrigation with treated wastewater affected the minor components of virgin olive oil from cv. Chemlali in Tunisia. Eur. Food Res. Technol. 2017, 243, 1887–1894. [Google Scholar] [CrossRef]
- Boskou, D. Other Important Minor Constituents. In Olive Oil Minor Constituents and Health; Boskou, D., Ed.; CRC Press: Boca Raton, FL, USA, 2009; pp. 45–54. [Google Scholar]
- Romero, C.; Ruiz Méndez, M.V.; Brenes, M. Bioactive compounds in virgin olive oil of the PDO Montoro Adamuz. J. Am. Oil Chem. Soc. 2016, 93, 665–672. [Google Scholar]
- Beltrán, G.; Bucheli, M.E.; Aguilera, M.P.; Belaj, A.; Jimenez, A. Squalene in virgin olive oil: Screening of variability in olive cultivars. Eur. J. Lipid Sci. Technol. 2016, 118, 1250–1253. [Google Scholar] [CrossRef]
- Grigoriadou, D.; Androulaki, A.; Psomiadou, E.; Tsimidou, M.Z. Solid phase extraction in the analysis of squalene and tocopherols in olive oil. Food Chem. 2007, 105, 675–680. [Google Scholar] [CrossRef]
- De Leonardis, A.; Macciola, V.; Lembo, G.; Aretini, A.; Nag, A. Studies on oxidative stabilisation of lard by natural antioxidants recovered from olive-oil mill wastewater. Food Chem. 2007, 100, 998–1004. [Google Scholar] [CrossRef]
- Martinelli, F.; Basile, B.; Morelli, G.; D’Andria, R.; Tonutti, P. Effects of irrigation on fruit ripening behavior and metabolic changes in olive. Sci. Hortic. 2012, 144, 201–207. [Google Scholar] [CrossRef]
- Tognetti, R.; D’Andria, R.; Sacchi, R.; Lavini, A.; Morelli, G.; Alvino, A. Deficit irrigation affects seasonal changes in leaf physiology and oil quality of Olea europaea cultivars Frantoio and Leccino. Ann. Appl. Biol. 2007, 150, 169–186. [Google Scholar]
- Ben-Gal, A.; Yermiyahu, U.; Zipori, I.; Presnov, E.; Hanoch, E.; Dag, A. The influence of bearing cycles on olive oil production response to irrigation. Irrig. Sci. 2011, 29, 253–263. [Google Scholar]
- Stiti, N.; Triki, S.; Hartmann, M.A. Formation of triterpenoids throughout Olea europaea fruit ontogeny. Lipids 2007, 42, 55–67. [Google Scholar] [CrossRef] [PubMed]
- Baccouri, B.; Manai, H.; Casas, J.S.; Osorio, E.; Zarrouk, M. Tunisian wild olive (Olea europaea L. subsp. oleaster) oils: Sterolic and triterpenic dialcohol compounds. Ind. Crops Prod. 2018, 120, 11–15. [Google Scholar] [CrossRef]
- Martinelli, F.; Remorini, D.; Saia, S.; Massai, R.; Tonutti, P. Metabolic profiling of ripe olive fruit in response to moderate water stress. Sci. Hortic. 2013, 159, 52–58. [Google Scholar] [CrossRef]
- Dias, R.; Conçalves, B.; Moutinho-Pereira, J.; Carvalho, J.L.; Silva, A.P. Effect of irrigation on physiological and biochemical traits of hazelnuts Corylus avellana L. Acta Hortic. 2004, 686, 201–206. [Google Scholar] [CrossRef]
- He, H.P.; Corke, H. Oil and squalene in Amaranthus grain and leaf. J. Agric. Food Chem. 2003, 51, 7913–7920. [Google Scholar] [CrossRef]
- Chakraborty, K.; Mahatma, M.K.; Thawait, L.K.; Bishi, S.K.; Kalariya, K.A.; Singh, A.L. Water deficit stress affects photosynthesis and the sugar profile in source and sink tissues of groundnut (Arachis hypogaea L.) and impacts kernel quality. J. Appl. Bot. Food Qual. 2015, 89, 98–104. [Google Scholar] [CrossRef]
- Chehab, H.; Mechri, B.; Mariem, F.B.; Hammami, M.; Ben Elhadj, S.; Braham, M. Effect of different irrigation regimes on carbohydrate partitioning in leaves and wood of two table olive cultivars Olea europaea L. cv. Meski and Picholine. Agric. Water Manag. 2009, 96, 293–298. [Google Scholar] [CrossRef]
- Meleh, J.J.; Podestà, L.N. Effect of regulated deficit irrigation on olive oil yield and quality and on leaf responses of olive cultivar ‘Picual’ Olea europaea L. Acta Hortic. 2014, 1057, 199–206. [Google Scholar] [CrossRef]
- Valim, M.F.; Killiny, N. Occurrence of free fatty acids in the phloem sap of different citrus varieties. Plant Signal. Behav. 2017, 12, e1327497. [Google Scholar] [CrossRef]
- Willmer, C.M.; Don, R.; Parker, W. Levels of short-chain fatty acids and of abscisic acid in water-stressed and non-stressed leaves and their effects on stomata in epidermal strips and intact leaves. Planta 1978, 139, 281–287. [Google Scholar] [CrossRef]
- Sweetlove, L.J.; Beard, K.F.M.; Nunes-Nesi, A.; Fernie, A.R.; Ratcliffe, R.G. Not just a circle: Flux modes in the plant TCA cycle. Trends Plant Sci. 2010, 15, 462–470. [Google Scholar] [CrossRef] [PubMed]
- Li, Z.; Yu, J.; Peng, Y.; Huang, B. Metabolic pathways regulated by abscisic acid, salicylic acid and γ-aminobutyric acid in association with improved drought tolerance in creeping bentgrass (Agrostis stolonifera). Physiol. Plant. 2017, 159, 42–58. [Google Scholar] [CrossRef] [PubMed]
- Conde, A.; Regalado, A.; Rodrigues, D.; Costa, J.M.; Blumwald, E.; Chaves, M.M.; Gerós, H. Polyols in grape berry, transport and metabolic adjustments as a physiological strategy for water-deficit stress tolerance in grapevine. J. Exp. Bot. 2015, 66, 889–906. [Google Scholar] [CrossRef] [PubMed]
- Sandhya, S.; Talukdar, J.; Bhaishya, D. Chemical and biological properties of lauric acid: A review. Int. J. Adv. Res. 2016, 4, 1123–1128. [Google Scholar] [CrossRef]
- Medeiros, M.J.; Oliveira, D.S.; Oliveira, M.T.; Willadino, L.; Houllou, L.; Santos, M.G. Ecophysiological, anatomical and biochemical aspects of in vitro culture of zygotic Syagrus coronata embryos and of young plants under drought stress. Trees 2015, 29, 1219–1233. [Google Scholar] [CrossRef]
- Ashrafi, M.; Azimi-Moqadam, M.R.; Moradi, P.; MohseniFard, E.; Shekari, F.; Kompany-Zareh, M. Effect of drought stress on metabolite adjustments in drought tolerant and sensitive thyme. Plant Physiol. Biochem. 2018, 132, 391–399. [Google Scholar] [CrossRef]
- Hochberg, U.; Degu, A.; Crmaer, G.R.; Rachmilevitch, S.; Fait, A. Cultivar specific metabolic changes in grapevines berry skins in relation to deficit irrigation and hydraulic behavior. Plant Physiol. 2015, 88, 42–52. [Google Scholar] [CrossRef]
- Leitao, L.; Prista, C.; Moura, T.F.; Loureiro-Dias, M.C.; Soveral, G. Grapevine aquaporins: Gating of a tonoplast intrinsic protein TIP2,1) by cytosolic pH. PLoS ONE 2012, 7, e33219. [Google Scholar] [CrossRef]
- Mansour, M.M.F. Nitrogen containing compounds and adaptation of plants to salinity stress. Biol. Plant. 2000, 43, 491–500. [Google Scholar] [CrossRef]
- Good, A.G.; Zaplachinski, S.T. The effects of drought stress on free amino acid accumulation and protein synthesis in Brassica napus. Physiol. Plant. 1994, 90, 9–14. [Google Scholar] [CrossRef]
- Guo, Y.; Zhao, S.; Zhu, C.; Chang, X.; Yue, C.; Wang, Z.; Lin, Y.; Lai, Z. Identification of drought-responsive miRNAs and physiological characterization of tea plant Camellia sinensis L. BMC Plant Biol. 2017, 17, 211. [Google Scholar] [CrossRef] [PubMed]
- Malik, N.S.A.; Perez, J.L.; Kunta, M.; Patt, J.M.; Mangan, R.L. Changes in free amino acids and polyamine levels in Satsuma leaves in response to Asian citrus psyllid infestation and water stress. Insect Sci. 2014, 21, 707–716. [Google Scholar] [CrossRef] [PubMed]
- Silvente, S.; Sobolev, A.P.; Lara, M. Metabolite adjustments in drought tolerant and sensitive soybean genotypes in response to water stress. PLoS ONE 2012, 7, e38554. [Google Scholar] [CrossRef] [PubMed]
- Sicher, R.C.; Barnaby, J.Y. Impact of carbon dioxide enrichment on the responses of maize leaf transcripts and metabolites to water stress. Physiol. Plant. 2012, 144, 238–253. [Google Scholar] [CrossRef]
- Alves Filho, E.G.; Braga, L.N.; Silva, L.M.; Miranda, F.R.; Silva, E.O.; Canuto, K.M.; Miranda, M.R.; de Brito, E.S.; Zocolo, G.J. Physiological changes for drought resistance in different species of Phyllanthus. Sci. Rep. 2018, 8, 15141. [Google Scholar] [CrossRef]





| Drought Treatment | Height (cm) | Diameter (cm) | TLDW (kg) | TLA (m2) | SLW (cm2) |
|---|---|---|---|---|---|
| WW | 113 a | 2.00 a | 0.129 a | 0.74 a | 0.174 b |
| MD | 102 b | 2.00 a | 0.099 b | 0.56 b | 0.177 b |
| SD | 101 b | 1.81 b | 0.081 b | 0.35 c | 0.231 a |
© 2020 by the authors. Licensee MDPI, Basel, Switzerland. This article is an open access article distributed under the terms and conditions of the Creative Commons Attribution (CC BY) license (http://creativecommons.org/licenses/by/4.0/).
Share and Cite
Gugliuzza, G.; Talluto, G.; Martinelli, F.; Farina, V.; Lo Bianco, R. Water Deficit Affects the Growth and Leaf Metabolite Composition of Young Loquat Plants. Plants 2020, 9, 274. https://doi.org/10.3390/plants9020274
Gugliuzza G, Talluto G, Martinelli F, Farina V, Lo Bianco R. Water Deficit Affects the Growth and Leaf Metabolite Composition of Young Loquat Plants. Plants. 2020; 9(2):274. https://doi.org/10.3390/plants9020274
Chicago/Turabian StyleGugliuzza, Giovanni, Giuseppe Talluto, Federico Martinelli, Vittorio Farina, and Riccardo Lo Bianco. 2020. "Water Deficit Affects the Growth and Leaf Metabolite Composition of Young Loquat Plants" Plants 9, no. 2: 274. https://doi.org/10.3390/plants9020274
APA StyleGugliuzza, G., Talluto, G., Martinelli, F., Farina, V., & Lo Bianco, R. (2020). Water Deficit Affects the Growth and Leaf Metabolite Composition of Young Loquat Plants. Plants, 9(2), 274. https://doi.org/10.3390/plants9020274

