Modulation of Cadmium Tolerance in Rice: Insight into Vanillic Acid-Induced Upregulation of Antioxidant Defense and Glyoxalase Systems
Abstract
1. Introduction
2. Results
2.1. Vanillic Acid Prevented the Suppression of Growth and Biomass Accumulation under Cd Toxicity
2.2. Vanillic Acid–induced Accumulation, Translocation, and Detoxification of Cd
2.3. Vanillic Acid Prevented theLoss ofLeaf Relative Turgidity, Proline Accumulation, and Loss of Photosynthetic Pigment under CdToxicity
2.4. Vanillic Acid Suppressed the Induction of Oxidative Stress Markers under Cd Toxicity
2.5. Vanillic Acid Suppressed Changes in Nonenzymatic Antioxidant Content due toCd Toxicity
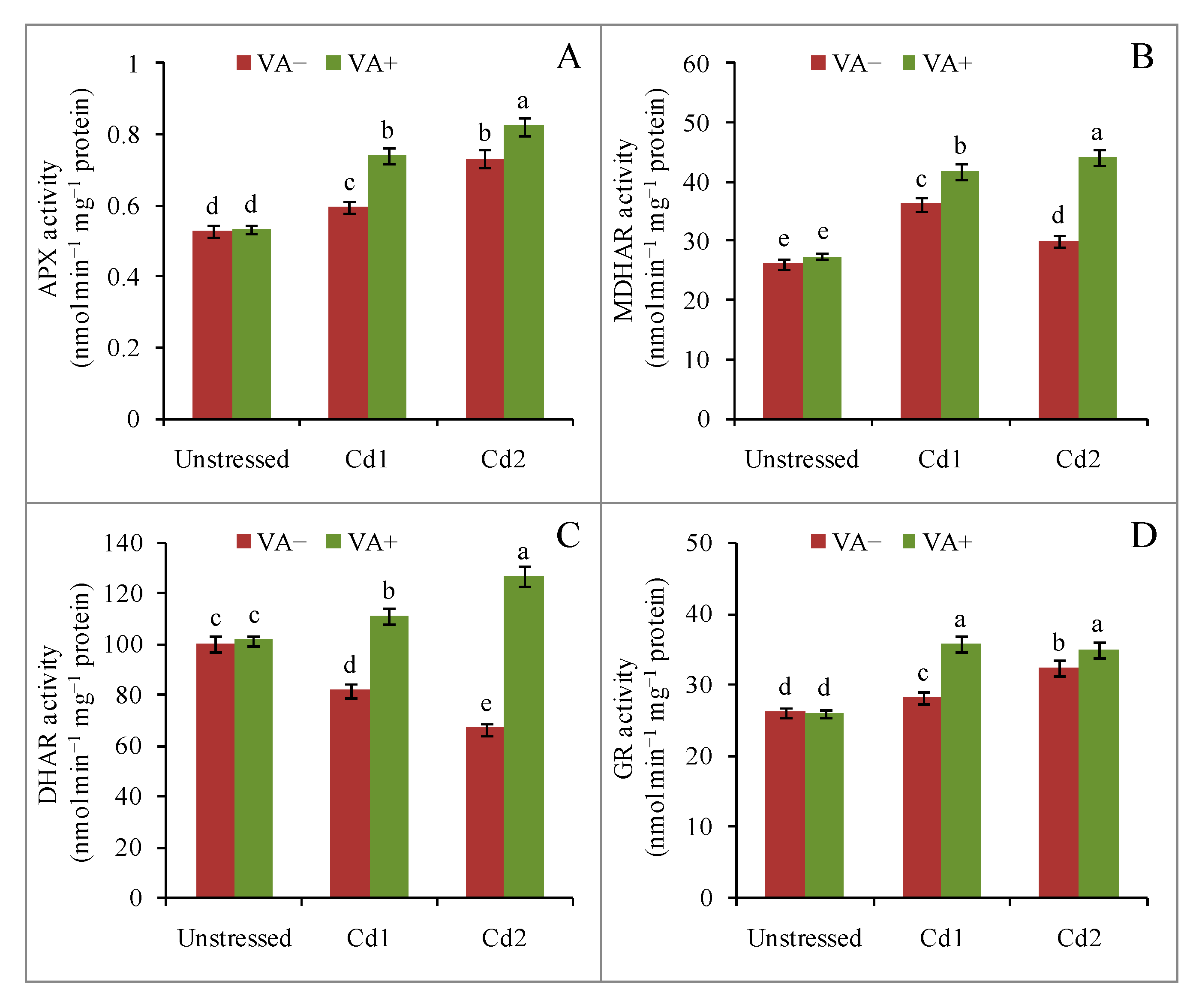
2.6. Vanillic Acid Induced Antioxidant Enzyme Activity under Cd Toxicity
2.7. Vanillic Acid induced Glyoxalase Enzyme Activity under Cd Toxicity
2.8. Vanillic Acid Induced Mineral Homeostasis under Cd Toxicity
2.9. CorrelationAnalysis of the Different Vanillic Acid Responses
3. Discussion
4. Materials and Methods
4.1. Plant Materials and Stress Treatments
4.2. Observation of Plant Growth and Biomass Accumulation
4.3. Determination of Cd and Other Nutrient Contents, and Measuring BAC, BCF, and TF of Cd
4.4. Determination of Stress Markers, Photosynthetic Pigment, Relative Turgidity, and Proline Content
4.5. Nonenzymatic Antioxidant Assay
4.6. Protein, Antioxidant, and other Enzyme Activity Assay
4.7. Statistical Analysis
5. Conclusions
Supplementary Materials
Author Contributions
Funding
Acknowledgments
Conflicts of Interest
References
- Di Toppi, L.S.; Gabbrielli, R. Response to cadmium in higher plants. Environ. Exp. Bot. 1999, 41, 105–130. [Google Scholar] [CrossRef]
- Besson-Bard, A.; Gravot, A.; Richaud, P.; Auroy, P.; Duc, C.; Gaymard, F.; Taconnat, L.; Renou, J.P.; Pugin, A.; Wendehenne, D. Nitric oxide contributes to cadmium toxicity in Arabidopsis by promoting cadmium accumulation in roots and by up-regulating genes related to iron uptake. Plant Physiol. 2009, 149, 1302–1315. [Google Scholar] [CrossRef] [PubMed]
- Benavides, M.P.; Gallego, S.M.; Tomaro, M.L. Cadmium toxicity in plants. Braz. J. Plant Physiol. 2005, 17, 21–34. [Google Scholar] [CrossRef]
- Valko, M.; Jomova, K.; Rhodes, C.J.; Kuča, K.; Musílek, K. Redox-and non-redox-metal-induced formation of free radicals and their role in human disease. Arch. Toxicol. 2016, 90, 1–37. [Google Scholar] [CrossRef]
- Keunen, E.; Remans, T.; Bohler, S.; Vangronsveld, J.; Cuypers, A. Metal-induced oxidative stress and plant mitochondria. Int. J. Mol. Sci. 2011, 12, 6894–6918. [Google Scholar] [CrossRef]
- Sharma, P.; Jha, A.B.; Dubey, R.S.; Pessarakli, M. Reactive oxygen species, oxidative damage, and antioxidative defense mechanism in plants under stressful conditions. J. Bot. 2012, 2012, 217037. [Google Scholar] [CrossRef]
- Gratao, P.L.; Pompeu, G.B.; Capaldi, F.R.; Vitorello, V.A.; Lea, P.J.; Azevedo, R.A. Antioxidant response of Nicotiana tabacum cv. Bright Yellow 2 cells to cadmium and nickel stress. Plant Cell Tiss. Organ Cult. 2008, 94, 73. [Google Scholar] [CrossRef]
- Suhartono, E.; Triawanti, A.S.; Djati, M.S. The role of cadmium in proteins glycation by glucose: Formation of methylglyoxal and hydrogen peroxide in vitro. J. Med. Bioeng. 2014, 3, 59–62. [Google Scholar] [CrossRef][Green Version]
- Sytar, O.; Kumar, A.; Latowski, D.; Kuczynska, P.; Strzałka, K.; Prasad, M.N.V. Heavy metal-induced oxidative damage, defense reactions, and detoxification mechanisms in plants. Acta Physiol. Plant. 2013, 35, 985–999. [Google Scholar] [CrossRef]
- Cheynier, V. Phenolic compounds: From plants to foods. Phytochem. Rev. 2012, 11, 153–177. [Google Scholar] [CrossRef]
- Xuan, T.; Khang, D. Effects of exogenous application of protocatechuic acid and vanillic acid to chlorophylls, phenolics and antioxidant enzymes of rice (Oryza sativa L.) in submergence. Molecules 2018, 23, 620. [Google Scholar] [CrossRef] [PubMed]
- Granato, D.; Shahidi, F.; Wrolstad, R.; Kilmartin, P.; Melton, L.D.; Hidalgo, F.J.; Miyashita, K.; van Camp, J.; Alasalvar, C.; Ismail, A.B.; et al. Antioxidant activity, total phenolics and flavonoids contents: Should we ban in vitro screening methods? Food Chem. 2018, 264, 471–475. [Google Scholar] [CrossRef] [PubMed]
- Minh, L.T.; Khang, D.T.; Ha, P.T.; Tuyen, P.T.; Minh, T.N.; Quan, N.V.; Xuan, T.D. Effects of salinity stress on growth and phenolics of rice (Oryza sativa L.). Int. Lett. Nat. Sci. 2016, 57, 1–10. [Google Scholar] [CrossRef]
- Quan, N.T.; Xuan, T.D. Foliar application of vanillic and p-hydroxybenzoic acids enhanced drought tolerance and formation of phytoalexin momilactones in rice. Arch. Agron. Soil Sci. 2018, 64, 1831–1846. [Google Scholar] [CrossRef]
- Osman, H.S.; Salim, B.B. Influence of exogenous application of some phytoprotectants on growth, yield and pod quality of snap bean under NaCl salinity. Ann. Agric. Sci. 2016, 61, 1–13. [Google Scholar] [CrossRef][Green Version]
- Silva, S.; Silva, P.; Oliveira, H.; Gaivão, I.; Matos, M.; Pinto-Carnide, O.; Santos, C. Pb low doses induced genotoxicity in Lactuca sativa plants. Plant Physiol.Biochem. 2017, 112, 109–116. [Google Scholar] [CrossRef]
- Novo, L.A.B.; Gonzalez, L. Germination and Early Growth of Brassica juncea in Copper Mine Tailings Amended with Technosol and Compost. Sci World J. 2014, 2014, 506392. [Google Scholar] [CrossRef]
- Adrees, M.; Ali, S.; Iqbal, M.; Bharwana, S.A.; Siddiqi, Z.; Farid, M.; Ali, Q.; Saeed, R.; Rizwan, M. Mannitol alleviates chromium toxicity in wheat plants in relation to growth, yield, stimulation of anti-oxidative enzymes, oxidative stress and Cr uptake in sand and soil media. Ecotoxicol. Environ. Saf. 2015, 122, 1–8. [Google Scholar] [CrossRef]
- Shanmugaraj, B.M.; Malla, A.; Ramalingam, S. Cadmium Stress and Toxicity in Plants: An Overview. In Cadmium Toxicity and Tolerance in Plants: From Physiology to Remediation; Hasanuzzaman, M., Prasad, M.N.V., Fujita, M., Eds.; Academic Press: Cambridge, MA, USA, 2019; pp. 1–17. [Google Scholar]
- Sidhu, G.P.; Bali, A.S.; Bhardwaj, R. Role of Organic Acids in Mitigating Cadmium Toxicity in Plants. In Cadmium Tolerance in Plants: Agronomic, Molecular, Signaling, and Omic Approaches; Hasanuzzaman, M., Prasad, M.N.V., Nahar, K., Eds.; Academic Press: Cambridge, MA, USA, 2019; pp. 255–279. [Google Scholar]
- Khaleda, L.; Kim, M.G.; Jeon, J.-R.; Cha, J.-Y.; Kim, W.-Y. Foliar application of humic acid or a mixture of catechol and vanillic acid enhanced growth and productivity of alfalfa. J. Korean Soc. Grassland Forage Sci. 2017, 37, 248–253. [Google Scholar] [CrossRef]
- Zhou, X.; Wu, F. Artificially applied vanillic acid changed soil microbial communities in the rhizosphere of cucumber (Cucumis sativus L.). Can. J. Soil Sci. 2013, 93, 13–21. [Google Scholar] [CrossRef]
- Zhou, X.; Wu, F. Vanillic acid changed cucumber (Cucumis sativus L.) seedling rhizosphere total bacterial, Pseudomonas and Bacillus spp. communities. Sci. Rep. 2018, 8, 4929. [Google Scholar] [CrossRef] [PubMed]
- Hawrylak-Nowak, B.; Dresler, S.; Matraszek, R. Exogenous malic and acetic acids reduce cadmium phytotoxicity and enhance cadmium accumulation in roots of sunflower plants. Plant Physiol. Biochem. 2015, 94, 225–234. [Google Scholar] [CrossRef] [PubMed]
- Rizwan, M.; Ali, S.; Akbar, M.Z.; Shakoor, M.B.; Mahmood, A.; Ishaque, W.; Hussain, A. Foliar application of aspartic acid lowers cadmium uptake and Cd-induced oxidative stress in rice under Cd stress. Environ. Sci. Pollut. Res. 2017, 24, 21938–21947. [Google Scholar] [CrossRef] [PubMed]
- Zaheer, I.E.; Ali, S.; Rizwan, M.; Farid, M.; Shakoor, M.B.; Gill, R.A.; Najeeb, U.; Iqbal, N.; Ahmad, R. Citric acid assisted phytoremediation of copper by Brassica napus L. Ecotoxicol. Environ. Saf. 2015, 120, 310–317. [Google Scholar] [CrossRef]
- Li, F.T.; Qi, J.M.; Zhang, G.Y.; Lin, L.H.; Fang, P.P.; Tao, A.F.; Xu, J.T. Effect of cadmium stress on the growth, antioxidative enzymes and lipid peroxidation in two kenaf (Hibiscus cannabinus L.) plant seedlings. J. Integr Agric. 2013, 12, 610–620. [Google Scholar] [CrossRef]
- Sun, Q.; Wang, X.R.; Ding, S.M.; Yuan, X.F. Effects of exogenous organic chelators on phytochelatins production and its relationship with cadmium toxicity in wheat (Triticum aestivum L.) under cadmium stress. Chemosphere 2005, 60, 22–31. [Google Scholar] [CrossRef]
- D’Alessandro, A.; Taamalli, M.; Gevi, F.; Timperio, A.M.; Zolla, L.; Ghnaya, T. Cadmium stress responses in Brassica juncea: Hints from proteomics and metabolomics. J. Proteome Res. 2013, 12, 4979–4997. [Google Scholar] [CrossRef]
- Zagorchev, L.; Seal, C.E.; Kranner, I.; Odjakova, M. A central role for thiols in plant tolerance to abiotic stress. Int. J. Mol. Sci. 2013, 14, 7405–7432. [Google Scholar] [CrossRef]
- Sun, H.W.; Ha, J.; Liang, S.X.; Kang, W.J. Protective role of selenium on garlic growth under cadmium stress. Commun. Soil Sci. Plant Anal. 2010, 41, 1195–1204. [Google Scholar] [CrossRef]
- Wang, Z.; Zhang, Y.; Huang, Z.; Huang, L. Antioxidative response of metal-accumulator and non-accumulator plants under cadmium stress. Plant Soil 2008, 310, 137. [Google Scholar] [CrossRef]
- Ahmad, P.; Allah, E.A.; Hashem, A.; Sarwat, M.; Gucel, S. Exogenous application of selenium mitigates cadmium toxicity in Brassica juncea L. (Czern & Cross) by up-regulating antioxidative system and secondary metabolites. J. Plant Growth Regul. 2016, 35, 936–950. [Google Scholar]
- Pandey, C.; Gupta, M. Selenium and auxin mitigates arsenic stress in rice (Oryza sativa L.) by combining the role of stress indicators, modulators and genotoxicity assay. J. Hazard. Mater. 2015, 287, 384–391. [Google Scholar] [CrossRef] [PubMed]
- Duman, F.; Ozturk, F.; Aydin, Z. Biological responses of duckweed (Lemna minor L.) exposed to the inorganic arsenic species As(III) and As(V): Effects of concentration and duration of exposure. Ecotoxicology 2010, 19, 983–993. [Google Scholar] [CrossRef] [PubMed]
- Faraz, A.; Faizan, M.; Sami, F.; Siddiqui, H.; Hayat, S. Supplementation of salicylic acid and citric acid for alleviation of cadmium toxicity to Brassica juncea. J. Plant Growth Regul. 2019. [Google Scholar] [CrossRef]
- Foyer, C.F.; Noctor, G. Ascorbate and glutathione: The heart of the redox hub. Plant Physiol. 2011, 155, 2–18. [Google Scholar] [CrossRef]
- Mhamdi, A.; Queval, G.; Chaouch, S.; Vanderauwera, S.; Breusegem, F.V.; Noctor, G. Catalase function in plants: A focus on Arabidopsis mutants as stress-mimic models. J. Exp. Bot. 2010, 61, 4197–4220. [Google Scholar] [CrossRef]
- Praveen, A.; Pandey, C.; Khan, E.; Panthri, M.; Gupta, M. Silicon mediated genotoxic alterations in Brassica juncea under arsenic stress: Comparative study of biochemical and molecular markers. Pedosphere 2017. [Google Scholar] [CrossRef]
- Huang, Y.X.; Liao, B.H.; Wang, Z.K. Effect of cadmium stress on growth of soybeans and the contents of nutrition elements in soybean grains. J. Saf. Environ. 2008, 8, 11–15. [Google Scholar]
- Jan, S.; Alyemeni, M.N.; Wijaya, L.; Alam, P.; Siddique, K.H.; Ahmad, P. Interactive effect of 24-epibrassinolide and silicon alleviates cadmium stress via the modulation of antioxidant defense and glyoxalase systems and macronutrient content in Pisum sativum L. seedlings. BMC Plant Biol. 2018, 18, 146. [Google Scholar] [CrossRef]
- Zaid, A.; Mohammad, F.; Wani, S.H.; Siddique, K.M. Salicylic acid enhances nickel stress tolerance by up-regulating antioxidant defense and glyoxalase systems in mustard plants. Ecotoxicol. Environ. Saf. 2019, 180, 575–587. [Google Scholar] [CrossRef]
- Yadav, V.; Arif, N.; Singh, S.; Srivastava, P.K.; Sharma, S.; Tripathi, D.K.; Dubey, N.K.; Chauhan, D.K. Exogenous mineral regulation under heavy metal stress: Advances and prospects. Biochem. Pharmacol. 2016, 5, 220. [Google Scholar] [CrossRef]
- Gonçalves, J.F.; Antes, F.G.; Maldaner, J.; Pereira, L.B.; Tabaldi, L.A.; Rauber, R.; Rossato, L.V.; Bisognin, D.A.; Dressler, V.L.; de Moraes Flores, É.M.; et al. Cadmium and mineral nutrient accumulation in potato plantlets grown under cadmium stress in two different experimental culture conditions. Plant Physiol. Biochem. 2009, 47, 814–821. [Google Scholar] [CrossRef] [PubMed]
- Marschner, H. Mechanisms of adaptation of plants to acid soils. Plant Soil 1991, 134, 1–20. [Google Scholar] [CrossRef]
- Song, H.; Xu, X.; Wang, H.; Tao, Y. Protein carbonylation in barley seedling roots caused by aluminum and proton toxicity is suppressed by salicylic acid. Russ. J. Plant Physiol. 2011, 58, 653–659. [Google Scholar] [CrossRef]
- Zasoski, R.J.; Burau, R.G. A rapid nitric-perchloric acid digestion method for multi-element tissue analysis. Commun. Soil Sci. Plant Anal. 1977, 8, 425–436. [Google Scholar] [CrossRef]
- Malik, M.R.; Ali, S.; Fettouhi, M.; Isab, A.A.; Ahmad, S. Structural characterization of dichloridobis (N,N’-dimethylthiourea-S) cadmium (II). J. Struct. Chem. 2010, 51, 976–979. [Google Scholar] [CrossRef]
- Heath, R.L.; Packer, L. Photoperoxidation in isolated chloroplasts: I. Kinetics and stoichiometry of fatty acid peroxidation. Arch. Biochem. Biophys. 1968, 125, 189–198. [Google Scholar] [CrossRef]
- Alexieva, V.; Sergiev, I.; Mapelli, S.; Karanov, E. The effect of drought and ultraviolet radiation on growth and stress markers in pea and wheat. Plant Cell Environ. 2001, 24, 1337–1344. [Google Scholar] [CrossRef]
- Arnon, D.I. Copper enzymes in isolated chloroplasts. Polyphenoloxidase in Beta vulgaris. Plant Physiol. 1949, 24, 1–10. [Google Scholar] [CrossRef]
- Wellburn, A.L. The spectral determination of chlorophyllsaandb, as well as total carotenoids using various solvents with spectrophotometers of different resolutions. J. Plant Physiol. 1994, 144, 307–313. [Google Scholar] [CrossRef]
- Barrs, H.D.; Weatherley, P.E. A re-examination of the relative turgidity technique for estimating water deficits in leaves. Aust. J. Biol. Sci. 1962, 15, 413–428. [Google Scholar] [CrossRef]
- Bates, L.S.; Waldren, R.P.; Teare, I.D. Rapid determination of free proline for water-stress studies. Plant Soil 1973, 39, 205–207. [Google Scholar] [CrossRef]
- Wild, R.; Ooi, L.; Srikanth, V.; Münch, G. A quick, convenient and economical method for the reliable determination of methylglyoxal in millimolar concentrations: The N-acetyl-L-cysteine assay. Anal. Bioanal. Chem. 2012, 403, 2577–2581. [Google Scholar] [CrossRef] [PubMed]
- Kampfenkel, K.; Van Montagu, M.; Inzé, D. Extraction and determination of ascorbate and dehydroascorbate from plant-tissue. Anal. Biochem. 1995, 225, 165–167. [Google Scholar] [CrossRef] [PubMed]
- Hewitt, E.J.; Dickes, G.J. Spectrophotometric measurements on ascorbic acid and their use for the estimation of ascorbic acid and dehydroascorbic acid in plant tissues. Biochem. J. 1961, 78, 384–391. [Google Scholar] [CrossRef]
- Rahman, I.; Kode, A.; Biswas, S.K. Assay for quantitative determination of glutathione and glutathione disulfide levels using enzymatic recycling method. Nat. Protoc. 2006, 1, 3159–3165. [Google Scholar] [CrossRef]
- Bradford, M.M. A rapid and sensitive method for the quantitation of microgram quantities of protein utilizingthe principle of protein-dye binding. Anal. Biochem. 1976, 72, 248–254. [Google Scholar] [CrossRef]
- Doderer, A.; Kokkelink, I.; van der Veen, S.; Valk, B.; Schram, A.; Douma, A. Purification and characterization of two lipoxygenase isoenzymes from germinating barley. Biochim. Biophys. Acta 1992, 112, 97–104. [Google Scholar] [CrossRef]
- Nakano, Y.; Asada, K. Hydrogen peroxide is scavenged by ascorbate-specific peroxidase in spinachchloroplasts. Plant Cell Physiol. 1981, 22, 867–880. [Google Scholar]
- Hossain, M.A.; Nakano, Y.; Asada, K. Monodehydroascorbate reductase in spinach chloroplasts and itsparticipation in the regeneration of ascorbate for scavenging hydrogen peroxide. Plant Cell Physiol. 1984, 25, 385–395. [Google Scholar]
- Foyer, C.H.; Halliwell, B. The presence of glutathione and glutathione reductase in chloroplasts: A proposed role in ascorbic acid metabolism. Planta 1976, 133, 21–25. [Google Scholar] [CrossRef] [PubMed]
- El-Shabrawi, H.; Kumar, B.; Kaul, T.; Reddy, M.K.; Singla-Pareek, S.L.; Sopory, S.K. Redox homeostasis, antioxidant defense, and methylglyoxal detoxification as markers for salt tolerance in Pokkali rice. Protoplasma 2010, 245, 85–96. [Google Scholar] [CrossRef] [PubMed]
- Patra, H.K.; Kar, M.; Mishra, D. Catalase activity in leaves and cotyledons during plant development and senescence. Biochem. Physiol. Pflanz. 1978, 172, 385–390. [Google Scholar] [CrossRef]
- Booth, J.; Boyland, E.; Sims, A.P. An enzyme from rat liver catalysing conjugations with glutathione. Biochem. J. 1961, 79, 516–524. [Google Scholar] [CrossRef]
- Elia, A.C.; Galarini, R.; Taticchi, M.I.; Dörr, A.J.M.; Mantilacci, L. Antioxidant responses and bioaccumulation in Ictalurus melas under mercury exposure. Ecotoxicol. Environ. Safe 2003, 55, 162–167. [Google Scholar] [CrossRef]
- Hossain, M.A.; Hossain, M.Z.; Fujita, M. Stress-induced changes of methylglyoxal level and glyoxalase I activity in pumpkin seedlings and cDNA cloning of glyoxalase I gene. Aust. J. Crop Sci. 2009, 3, 53–64. [Google Scholar]
- Principato, G.B.; Rosi, G.; Talesa, V.; Giovannini, E.; Norton, S.J. A comparative study on glyoxalase II from vertebrata. Enzyme 1987, 37, 164–168. [Google Scholar] [CrossRef]








| Treatments | Plant Height (cm) | RSE (%) | Root Length (cm) | RRE (%) | Shoot FW (mg plant−1) | Root FW (mg plant−1) | Shoot DW (mg plant−1) | Root DW (mg plant−1) |
|---|---|---|---|---|---|---|---|---|
| C | 15.5 ± 1.1 a | 100.0 ± 0.0 b | 7.1 ± 0.5 a | 100.0 ± 0.0 b | 66.4 ± 5.6 ab | 36.7 ± 3.1 ab | 10.8 ± 0.9 ab | 6.6 ± 0.5 ab |
| VA | 16.2 ± 1.3 a | 113.5 ± 0.8 a | 7.4 ± 0.4 a | 106.8 ± 0.9 a | 70.5 ± 5.3 a | 38.2 ± 2.9 a | 11.4 ± 0.8 a | 6.8 ± 0.6 a |
| Cd1 | 13.4 ± 0.8 bc | 46.1 ± 8.9 d | 5.1 ± 0.3 bc | 20.6 ± 6.2 e | 54.5 ± 3.2 c | 33.3 ± 1.9 b | 8.8 ± 0.5 c | 6.0 ± 0.4 b |
| Cd1 + VA | 15.1 ± 0.2 ab | 86.6 ± 6.7 c | 5.6 ± 0.5 b | 41.1 ± 0.4 d | 61.3 ± 4.6 bc | 36.1 ± 2.5 ab | 9.9 ± 0.7 bc | 6.5 ± 0.5 ab |
| Cd2 | 11.9 ± 1.1 c | 12.1 ± 3.1 e | 4.7 ± 0.4 c | 6.1 ± 1.9 f | 58.6 ± 4.5 bc | 32.4 ± 2.7 b | 9.5 ± 0.8 bc | 5.8 ± 0.5 b |
| Cd2 + VA | 15.1 ± 1.0 ab | 88.0 ± 2.7 c | 5.8 ± 0.5 b | 45.9 ± 3.5 c | 62.0 ± 3.5 bc | 38.2 ± 2.1 a | 10.1 ± 0.6 bc | 6.8 ± 0.4 a |
© 2020 by the authors. Licensee MDPI, Basel, Switzerland. This article is an open access article distributed under the terms and conditions of the Creative Commons Attribution (CC BY) license (http://creativecommons.org/licenses/by/4.0/).
Share and Cite
Bhuyan, M.H.M.B.; Parvin, K.; Mohsin, S.M.; Mahmud, J.A.; Hasanuzzaman, M.; Fujita, M. Modulation of Cadmium Tolerance in Rice: Insight into Vanillic Acid-Induced Upregulation of Antioxidant Defense and Glyoxalase Systems. Plants 2020, 9, 188. https://doi.org/10.3390/plants9020188
Bhuyan MHMB, Parvin K, Mohsin SM, Mahmud JA, Hasanuzzaman M, Fujita M. Modulation of Cadmium Tolerance in Rice: Insight into Vanillic Acid-Induced Upregulation of Antioxidant Defense and Glyoxalase Systems. Plants. 2020; 9(2):188. https://doi.org/10.3390/plants9020188
Chicago/Turabian StyleBhuyan, M.H.M. Borhannuddin, Khursheda Parvin, Sayed Mohammad Mohsin, Jubayer Al Mahmud, Mirza Hasanuzzaman, and Masayuki Fujita. 2020. "Modulation of Cadmium Tolerance in Rice: Insight into Vanillic Acid-Induced Upregulation of Antioxidant Defense and Glyoxalase Systems" Plants 9, no. 2: 188. https://doi.org/10.3390/plants9020188
APA StyleBhuyan, M. H. M. B., Parvin, K., Mohsin, S. M., Mahmud, J. A., Hasanuzzaman, M., & Fujita, M. (2020). Modulation of Cadmium Tolerance in Rice: Insight into Vanillic Acid-Induced Upregulation of Antioxidant Defense and Glyoxalase Systems. Plants, 9(2), 188. https://doi.org/10.3390/plants9020188

