Malus domestica: A Review on Nutritional Features, Chemical Composition, Traditional and Medicinal Value
Abstract
1. Introduction
2. Polyphenols
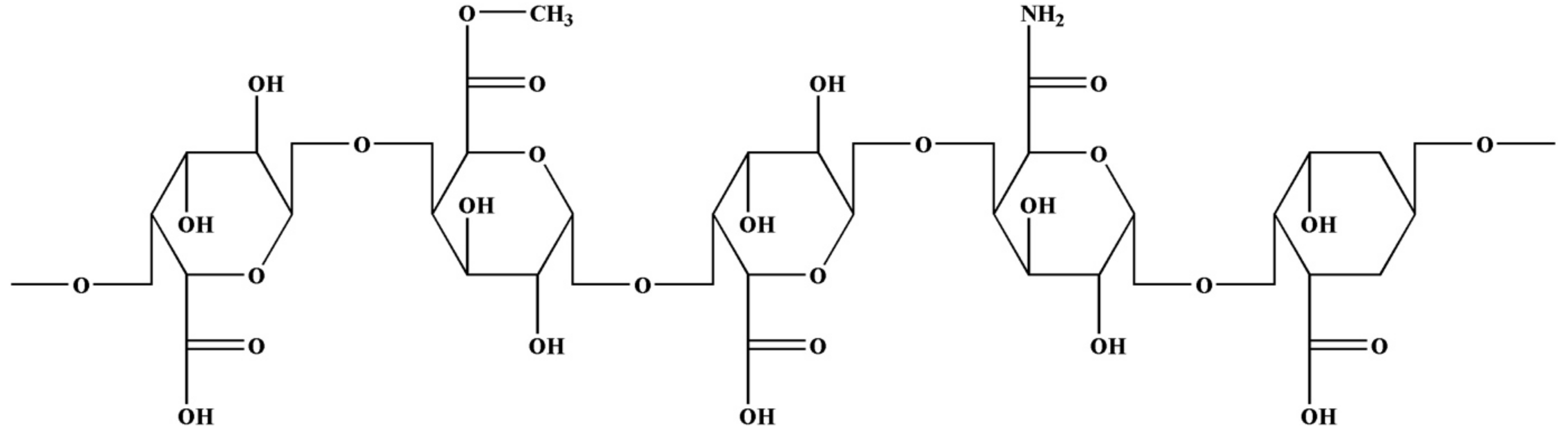
3. Polysaccharides (pectin)
4. Phytosterols
5. Pentacyclic Triterpenes
6. Other Nutrients
7. Apple-derived Products and Prospects
8. Traditional Uses
9. Medicinal Uses
9.1. Pharmacological Studies
9.1.1. Antioxidant Activities
9.1.2. Anti-inflammatory Activity
9.1.3. Cholesterol-Lowering Effect
9.1.4. Antidiabetic Activity
9.1.5. Anticancer Activity
10. Conclusions
Author Contributions
Funding
Conflicts of Interest
References
- Spengler, R.N. Origins of the apple: The role of megafaunal mutualism in the domestication of Malus and rosaceous trees. Front. Plant Sci. 2019, 10, 617. [Google Scholar] [CrossRef] [PubMed]
- Boyer, J.; Liu, R.H. Apple phytochemicals and their health benefits. Nutr. J. 2004, 3, 5–20. [Google Scholar] [CrossRef] [PubMed]
- Wolfe, K.L.; Liu, R.H. Apple peel as a value-added food ingredient. J. Agr. Food Chem. 2003, 51, 1676–1683. [Google Scholar] [CrossRef] [PubMed]
- Eberhardt, M.; Lee, C.; Liu, R.H. Antioxidant activity of fresh apples. Nature 2000, 405, 903–904. [Google Scholar] [CrossRef]
- Podsędek, A.; Wilska-Jeszka, J.; Anders, B.; Markowski, J. Compositional characterisation of some apple varieties. Eur. Food Res. Technol. 2000, 210, 268–272. [Google Scholar] [CrossRef]
- Wolfe, K.L.; Wu, X.; Liu, R.H. Antioxidant activity of apple peels. J. Agric. Food Chem. 2003, 51, 609–614. [Google Scholar] [CrossRef] [PubMed]
- Liu, R.H.; Liu, J.; Chen, B. Apples prevent mammary tumors in rats. J. Agric. Food Chem. 2005, 53, 2341–2343. [Google Scholar] [CrossRef]
- He, X.; Liu, R.H. Phytochemicals of apple peel: Isolation, structure elucidation, and their antiproliferative and antioxidant activities. J. Agric. Food Chem. 2008, 56, 9905–9910. [Google Scholar] [CrossRef]
- Kumar, A.; Chauhan, G.S. Extraction and characterization of pectin from apple pomace and its evaluation as lipase (steapsin) inhibitor. Carbohyd. Polym. 2010, 82, 454–459. [Google Scholar] [CrossRef]
- Boyer, J.; Brown, D.; Liu, R.H. Uptake of quercetin and quercetin 3-glucoside from whole onion and apple peel extracts by Caco-2 cell monolayers. J. Agric. Food Chem. 2004, 52, 7172–7179. [Google Scholar] [CrossRef]
- Can, Z.; Dincer, B.; Sahin, H.; Baltas, N.; Yildiz, O.; Kolayli, S. Polyphenol oxidase activity and antioxidant properties of Yomra apple (Malus communis L.) from Turkey. J. Enzyme. Inhib. Med. Chem. 2014, 29, 829–835. [Google Scholar] [CrossRef] [PubMed]
- Padua, T.A.; de Abreu, B.S.; Costa, T.E.; Nakamura, M.J.; Valente, L.M.; Henriques, M.D.; Siani, A.C.; Rosas, E.C. Anti-inflammatory effects of methyl ursolate obtained from a chemically derived crude extract of apple peel: Potential use in rheumatoid arthritis. Arch. Pharm. Res. 2014, 37, 1487–1495. [Google Scholar] [CrossRef] [PubMed]
- Bravo, L. Polyphenol: Chemistry, dietary sources, metabolism, and nutritional significance. Nutr. Rev. 1998, 11, 317–333. [Google Scholar] [CrossRef] [PubMed]
- Lee, K.; Kim, Y.; Kim, D.; Lee, H.; Lee, C. Major phenolics in apple and their contribution to the total antioxidant capacity. J. Agric. Food. Chem. 2003, 51, 6516–6520. [Google Scholar] [CrossRef]
- Le Deun, E.; van der Werf, R.; Le Bail, G.; Le Quere, J.M.; Guyot, S. HPLC-DAD-MS profiling of polyphenols responsible for the yellow-orange color in apple juices of different French cider apple varieties. J. Agric. Food Chem. 2015, 63, 7675–7684. [Google Scholar] [CrossRef]
- John, K.M.M.; Enkhtaivan, G.; Kim, J.J.; Kim, D.H. Metabolic variation and antioxidant potential of Malus prunifolia (wild apple) compared with high flavon-3-ol containing fruits (apple, grapes) and beverage (black tea). Food Chem. 2014, 163, 46–50. [Google Scholar] [CrossRef]
- Tsao, R.; Yang, R.; Young, J.C.; Zhu, H. Polyphenolic profiles in eight apple cultivars using high-performance liquid chromatography (HPLC). J. Agric. Food Chem. 2003, 51, 6347–6353. [Google Scholar] [CrossRef]
- Andre, C.M.; Greenwood, J.M.; Walker, E.G.; Rassam, M.; Sullivan, M.; Evers, D.; Perry, N.B.; Laing, W.A. Anti-inflammatory procyanidins and triterpenes in 109 apple varieties. J. Agric. Food Chem. 2012, 60, 10546–10554. [Google Scholar] [CrossRef]
- Felice, F.; Maragò, E.; Sebastiani, L.; Di Stefano, R. Apple juices from ancient Italian cultivars: A study on mature endothelial cells model. Fruits 2015, 70, 361–369. [Google Scholar] [CrossRef]
- Berni, R.; Cantini, C.; Guarnieri, M.; Nepi, M.; Hausman, J.F.; Guerriero, G.; Romi, M.; Cai, G. Nutraceutical characteristics of ancient malus x domestica borkh. Fruits recovered across Siena in Tuscany. Medicines 2019, 6, 27. [Google Scholar] [CrossRef]
- Maragò, E.; Michelozzi, M.; Calamai, L.; Camangi, F.; Sebastiani, L. Antioxidant properties, sensory characteristics and volatile compounds profile of apple juices from ancient Tuscany (Italy) apple varieties. Eur. J. Hortic. Sci. 2016, 81, 255–263. [Google Scholar] [CrossRef]
- Cecic, A.; Chingwaru, W. The role of functional foods, nutraceuticals, and food supplements in intestinal health. Nutrients 2010, 2, 611–625. [Google Scholar] [CrossRef] [PubMed]
- Gogia, N.; Bukia, Z.; Atamashvili, T.S.; Esaiashvili, M.; Chkhikvishvili, I. The amount of polyphenols and antioxidant activity of fruits of different varieties of apple tree-Malus domectica L. Georgian Med. News 2015, 242, 84–88. [Google Scholar]
- Bouayed, J.; Hoffmann, L.; Bohn, T. Antioxidative mechanisms of whole-apple antioxidants employing different varieties from Luxembourg. J. Med. Food 2011, 14, 1631–1637. [Google Scholar] [CrossRef]
- Xu, Z.R.; Li, J.Y.; Dong, X.W.; Tan, Z.J.; Wu, W.Z.; Xie, Q.M.; Yang, Y.M. Apple polyphenols decrease atherosclerosis and hepatic steatosis in ApoE-/- mice through the ROS/MAPK/NF-κB pathway. Nutrients 2015, 7, 7085–7105. [Google Scholar] [CrossRef]
- Xu, X.; Chen, X.; Huang, Z.; Chen, D.; He, J.; Zheng, P.; Chen, H.; Luo, J.; Luo, Y.; Yu, B.; et al. Effects of dietary apple polyphenols supplementation on hepatic fat deposition and antioxidant capacity in finishing pigs. Animals 2019, 9, 937. [Google Scholar] [CrossRef]
- Paturi, G.; Butts, C.A.; Bentley-Hewitt, K.L.; McGhie, T.K.; Saleh, Z.S.; McLeod, A. Apple polyphenol extracts protect against aspirin-induced gastric mucosal damage in rats. Phytother. Res. 2014, 28, 1846–1854. [Google Scholar] [CrossRef] [PubMed]
- D’Argenio, G.; Mazzone, G.; Tuccillo, C.; Ribecco, M.T.; Graziani, G.; Gravina, A.G.; Caserta, S.; Guido, S.; Fogliano, V.; Caporaso, N.; et al. Apple polyphenols extract (APE) improves colon damage in a rat model of colitis. Dig. Liver Dis. 2012, 44, 555–562. [Google Scholar] [CrossRef]
- Denis, M.C.; Furtos, A.; Dudonne, S.; Montoudis, A.; Garofalo, C.; Desjardins, Y.; Delvin, E.; Levy, E. Apple peel polyphenols and their beneficial actions on oxidative stress and inflammation. PLoS ONE 2013, 8, e53725. [Google Scholar] [CrossRef]
- Sharma, S.; Rana, S.; Patial, V.; Gupta, M.; Bhushan, S.; Padwad, Y.S. Antioxidant and hepatoprotective effect of polyphenols from apple pomace extract via apoptosis inhibition and Nrf2 activation in mice. Hum. Exp. Toxicol. 2016, 35, 1264–1275. [Google Scholar] [CrossRef]
- Du, W.X.; Olsen, C.W.; Avena-Bustillos, R.J.; Friedman, M.; McHugh, T.H. Physical and antibacterial properties of edible films formulated with apple skin polyphenols. J. Food Sci. 2011, 76, 149–155. [Google Scholar] [CrossRef]
- Espitia, P.J.; Avena-Bustillos, R.J.; Du, W.X.; Chiou, B.S.; Williams, T.G.; Wood, D.; McHugh, T.H.; Soares, N.F. Physical and antibacterial properties of açaí edible films formulated with thyme essential oil and apple skin polyphenols. J. Food Sci. 2014, 79, 903–910. [Google Scholar] [CrossRef] [PubMed]
- Makarova, E.; Gornas, P.; Konrade, I.; Tirzite, D.; Cirule, H.; Gulbe, A.; Pugajeva, I.; Seglina, D.; Dambrova, M. Acute anti-hyperglycaemic effects of an unripe apple preparation containing phlorizin in healthy volunteers: A preliminary study. J. Sci. Food Agric. 2015, 95, 560–568. [Google Scholar] [CrossRef] [PubMed]
- He, X.; Liu, R.H. Triterpenoids isolated from apple peel have potent antiproliferative activity and may be partially responsible for apple’s anticancer activity. J. Agric. Food Chem. 2007, 55, 4366–4370. [Google Scholar] [CrossRef] [PubMed]
- Schiavano, G.F.; De Santi, M.; Brandi, G.; Fanelli, M.; Bucchini, A.; Giamperi, L.; Giomaro, G. Inhibition of breast cancer cell proliferation and in vitro tumorigenesis by a new red apple cultivar. PLoS ONE 2015, 10, e0135840. [Google Scholar] [CrossRef] [PubMed]
- D’Angelo, S.; La Porta, R.; Napolitano, M.; Galletti, P.; Quagliuolo, L.; Boccellino, M. Effect of Annurca apple polyphenols on human HaCaT keratinocytes proliferation. J. Med. Food 2012, 15, 1024–1031. [Google Scholar] [CrossRef] [PubMed]
- Espley, R.V.; Butts, C.A.; Laing, W.A.; Martell, S.; Smith, H.; McGhie, T.K.; Zhang, J.; Paturi, G.; Hedderley, D.; Bovy, A.; et al. Dietary flavonoids from modified apple reduce inflammation markers and modulate gut microbiota in mice. J. Nutr. 2014, 144, 146–154. [Google Scholar] [CrossRef] [PubMed]
- Farzaei, M.H.; Rahimi, R.; Abdollahi, M. The role of dietary polyphenols in the management of inflammatory bowel disease. Curr. Pharm. Biotechnol. 2015, 16, 196–210. [Google Scholar] [CrossRef] [PubMed]
- Koutsos, A.; Tuohy, K.M.; Lovegrove, J.A. Apples and cardiovascular health—Is the gut microbiota a core consideration? Nutrients 2015, 7, 3959–3998. [Google Scholar] [CrossRef]
- Barbosa, A.C.; Pinto, M.S.; Sarkar, D.; Ankolekar, C.; Greene, D.; Shetty, K. Varietal influences on antihyperglycemia properties of freshly harvested apples using in vitro assay models. J. Med. Food. 2010, 13, 1313–1323. [Google Scholar] [CrossRef]
- Tian, J.; Wu, X.; Zhang, M.; Zhou, Z.; Liu, Y. Comparative study on the effects of apple peel polyphenols and apple flesh polyphenols on cardiovascular risk factors in mice. Clin. Exp. Hypertens. 2018, 40, 65–72. [Google Scholar] [CrossRef] [PubMed]
- Zhang, T.; Wei, X.; Miao, Z.; Hassan, H.; Song, Y.; Fan, M. Screening for antioxidant and antibacterial activities of phenolics from Golden Delicious apple pomace. Chem. Cent. J. 2016, 10, 47. [Google Scholar] [CrossRef] [PubMed]
- Henríquez, C.; Speisky, H.; Chiffelle, I.; Valenzuela, T.; Araya, M.; Simpson, R.; Almonacid, S. Development of an ingredient containing apple peel, as a source of polyphenols and dietary fiber. J. Food Sci. 2010, 75, 172–181. [Google Scholar] [CrossRef] [PubMed]
- Chaudhary, P.; Shukla, S.K.; Kumar, I.P.; Namita, I.; Afrin, F.; Sharma, R.K. Radioprotective properties of apple polyphenols: An in vitro study. Mol. Cell Biochem. 2006, 288, 37–46. [Google Scholar] [CrossRef]
- Sugiyama, H.; Akazome, Y.; Shoji, T.; Yamaguchi, A.; Yasue, M.; Kanda, T.; Ohtake, Y. Oligomeric procyanidins in apple polyphenol are main active components for inhibition of pancreatic lipase and triglyceride absorption. J. Agric. Food Chem. 2007, 55, 4604–4609. [Google Scholar] [CrossRef] [PubMed]
- Zielinska, D.; Laparra-Llopis, J.M.; Zielinski, H.; Szawara-Nowak, D.; Giménez-Bastida, J.A. Role of apple phytochemicals, phloretin and phloridzin, in modulating processes related to intestinal inflammation. Nutrients 2019, 11, 1173. [Google Scholar] [CrossRef] [PubMed]
- Baldisserotto, A.; Malisardi, G.; Scalambra, E.; Andreotti, E.; Romagnoli, C.; Vicentini, C.B.; Manfredini, S.; Vertuani, S. Synthesis, antioxidant and antimicrobial activity of a new phloridzin derivative for dermo-cosmetic applications. Molecules 2012, 17, 13275–13289. [Google Scholar] [CrossRef] [PubMed]
- Khalid, S.; Ain, H.B.; Rasool, T.; Naz, T. A review on the pharmacological importance of phloridzin and its conjugated analogues. Pharmacologyonline 2018, 3, 324–336. [Google Scholar]
- López-Hortas, L.; Pérez-Larrán, P.; González-Muñoz, M.J.; Falqué, E.; Domínguez, H. Recent developments on the extraction and application of ursolic acid. A review. Food Res. Int. 2018, 103, 130–149. [Google Scholar] [CrossRef]
- Nikam, P.H.; Kareparamban, J.A.; Jadhav, A.P.; Kadam, V.J. Development and validation of high-performance thin layer chromatographic method for ursolic acid in Malus domestica peel. Indian J. Pharm. Sci. 2013, 75, 486. [Google Scholar]
- Lutz, R.; Aserin, A.; Wicker, L.; Garti, N. Structure and physical properties of pectins with block-wise distribution of carboxylic acid groups. Food Hydrocoll. 2009, 23, 786–794. [Google Scholar] [CrossRef]
- Anwar, F.; Przybylski, R.; Rudzinska, M.; Gruczynska, E.; Bain, J. Fattyacid, tocopherol and sterol compositions of Canadian prairiefruit seed lipids. J. Am. Oil. Chem. Soc. 2008, 85, 953–959. [Google Scholar] [CrossRef]
- Rumpel, C.; Dignac, M.F. Gas chromatographic analysis of monosaccharides in a forest soil profile:Analysis by gas chromatography after trifluoroacetic acid hydrolysis and reduction acetylation. Soil. Biol. Biochem. 2006, 38, 1478–1481. [Google Scholar] [CrossRef]
- Ohkami, H.; Tazawa, K.; Yamashita, I.; Shimizu, T.; Murai, K.; Kobashi, K.; Fujimaki, M. Effect of apple pectin on fecal bacterial enzymes in azoxymethane induced rat colon carcinogenesis. Jpn. J. Cancer Res. 1995, 86, 523–529. [Google Scholar] [CrossRef] [PubMed]
- Li, Y.; Niu, Y.; Wu, H.; Sun, Y.; Li, Q.; Kong, X.; Liu, L.; Mei, Q. Modified apple polysaccharides could induce apoptosis in colorectal cancer cells. J. Food Sci. 2010, 75, 224–229. [Google Scholar] [CrossRef] [PubMed]
- Janet, G.; Maria, G.K.; Ivan, N.P. Application of granulated apple pectin in the treatment of hyperlipoproteinaemia. Eur. Food Res. Technol. 1997, 204, 374–378. [Google Scholar]
- Nesterenko, V.B.; Nesterenko, A.V.; Babenko, V.I.; Yerkovich, T.V.; Babenko, I.V. Reducing the 137Cs-load in the organism of “Chernobyl”children with apple-pectin. Swiss Med. Wkly. 2004, 134, 24–27. [Google Scholar]
- Tomohiko, N.; Kunihisa, I.; Yasuo, S.; Takida, Y.; Matsue, H. Chronic ingestion of apple pectin can enhance the absorption of quercetin. J. Agric. Food Chem. 2009, 57, 2583–2587. [Google Scholar]
- Takeshita, M.; Katsuragi, Y.; Kusuhara, M.; Higashib, K.; Miyajimac, E.; Mizunod, K.; Moria, K.; Obatab, T.; Ohmorib, R.; Ohsuzub, F.; et al. Phytosterols dissolved in diacylglycerol oil reinforce the cholesterol-lowering effect of low-dose pravastatin treatment. Nutrition 2008, 18, 483–491. [Google Scholar] [CrossRef]
- Awad, A.B.; Chinnam, M.; Fink, C.S.; Bradford, P.G. β-sitosterol activates fas signaling in human breast cancer cells. Phytomedicine 2007, 14, 747–754. [Google Scholar] [CrossRef]
- Fu, J.; Yang, Y.X.; Zhang, L.S.; Han, J.H.; Wang, B. A systematic review of the effects of phytosterols/stanols on blood lipid profiles. Acta Nutrimenta Sinica 2008, 30, 181–185. [Google Scholar]
- Manzi, P.; Panuli, G.; Esti, M.; Pizzoferrato, L. Natural antioxidants in the unsaponifiable fraction of virnin olive oils from different cultivars. J. Sci. Food Agric. 1998, 77, 115–120. [Google Scholar] [CrossRef]
- Brieskorn, C.H.; Süss, H.P. [Triterpenoids from the peel of pear and apple]. Arch. Pharm. (Weinheim) 1974, 307, 949–960, In German. [Google Scholar] [CrossRef]
- McGhie, T.K.; Hudault, S.; Lunken, R.C.; Christeller, J.T. Apple peel, from seven cultivars, have lipase-inhibitory activity and contain numerous ursenoic acids as identified by LC-ESI-QTOF-HRMS. J. Agric. Food Chem. 2012, 60, 482–491. [Google Scholar] [CrossRef]
- He, Q.Q.; Yang, L.; Zhang, J.Y.; Ma, J.N.; Ma, C.M. Chemical constituents of gold-red apple and their α-glucosidase inhibitory activities. J. Food Sci. 2014, 79, 1970–1983. [Google Scholar] [CrossRef]
- Qiao, A.; Wang, Y.; Xiang, L.; Wang, C.; He, X. A novel triterpenoid isolated from apple functions as an anti-mammary tumor agent via a mitochondrial and caspase-independent apoptosis pathway. J. Agric. Food Chem. 2015, 63, 185–191. [Google Scholar] [CrossRef]
- Patocka, J. Biologically aktive pentacyclic triterpenes and their current medicine signification. J. Appl. Biomed. 2003, 1, 7–12. [Google Scholar] [CrossRef]
- Patocka, J.; Stiborova, M. Betulinic acid: Prospective cytostatic agent. Chem. Listy 2004, 98, 185–187. [Google Scholar]
- Ma, C.M.; Cai, S.Q.; Cui, J.R.; Wang, R.Q.; Tu, P.F.; Hattori, M.; Daneshtalab, M. The cytotoxin activity of ursolic acid derivatives. Eur. J. Med. Chem. 2005, 40, 582–589. [Google Scholar] [CrossRef]
- Shanmugam, M.K.; Nguyen, A.H.; Kumar, A.P.; Tan, B.K.; Sethi, G. Targeted inhibition of tumor proliferation, survival, and metastasis by pentacyclic triterpenoids: Potential role in prevention and therapy of cancer. Cancer Lett. 2012, 320, 158–170. [Google Scholar] [CrossRef] [PubMed]
- Laszczyk, M.N. Pentacyclic triterpenes of the lupane, oleanane and ursane group as tools in cancer therapy. Planta Med. 2009, 75, 1549–1560. [Google Scholar] [CrossRef] [PubMed]
- Bakhtiari, N.; Hosseinkhani, S.; Tashakor, A.; Hemmati, R. Ursolic acid ameliorates aging-metabolic phenotype through promoting of skeletal muscle rejuvenation. Med. Hypotheses 2015, 85, 1–6. [Google Scholar] [CrossRef]
- Richardson, A.T.; Cho, J.; McGhie, T.K.; Larsen, D.S.; Schaffer, R.J.; Espley, R.V.; Perry, N.B. Discovery of a stable vitamin C glycoside in crab apples (Malus sylvestris). Phytochemistry 2020, 173, 112297. [Google Scholar] [CrossRef] [PubMed]
- Nour, V.; Trandafir, I.; Ionica, M.E. Compositional characteristics of fruits of several apple (Malus domestica Borkh.) cultivars. Not. Bot. Hort. Agrobot. Cluj 2010, 38, 228–233. [Google Scholar]
- Bai, T.; Yin, R.; Li, C.; Ma, F.; Yue, Z.; Shu, H. Comparative analysis of endogenous hormones in leaves and roots of two contrasting Malus species in response to hypoxia stress. J. Plant Growth Regul. 2011, 30, 119–127. [Google Scholar] [CrossRef]
- Soejarto, D.D.; Addo, E.M.; Kinghorn, A.D. Highly sweet compounds of plant origin: From ethnobotanical observations to wide utilization. J. Ethnopharmacol. 2019, 243, 112056. [Google Scholar] [CrossRef]
- Walia, M.; Rawat, K.; Bhushan, S.; Padwad, Y.S.; Singh, B. Fatty acid composition, physicochemical properties, antioxidant and cytotoxic activity of apple seed oil obtained from apple pomace. J. Sci. Food Agric. 2014, 94, 929–934. [Google Scholar] [CrossRef]
- El-Messery, T.M.; El-Said, M.M.; Demircan, E.; Ozçelik, B. Microencapsulation of natural polyphenolic compounds extracted from apple peel and its application in yoghurt. Acta Sci. Pol. Technol. Aliment. 2019, 18, 25–34. [Google Scholar]
- INOVO. Available online: http://inovobiologic.com/_pdf/Apple%20Pectin%20PP%20v1.1.pdf (accessed on 19 May 2020).
- Zhao, S.; Yang, F.; Liu, Y.; Sun, D.; Xiu, Z.; Ma, X.; Zhang, Y.; Sun, G. Study of chemical characteristics, gelation properties and biological application of calcium pectate prepared using apple or citrus pectin. Int. J. Biol. Macromol. 2018, 109, 180–187. [Google Scholar] [CrossRef]
- Silva, M.M.; Pereira, K.S.; Coelho, M.A.Z. Food additives used in non-alcoholic water-based beverages—A review. J. Nutr. Health Food Eng. 2019, 9, 212540717. [Google Scholar]
- Lyu, F.; Luiz, S.F.; Azeredo, D.R.P.; Cruz, A.G.; Ajlouni, S.; Ranadheera, C.S. Apple pomace as a functional and healthy ingredient in food products: A Review. Processes 2020, 8, 319. [Google Scholar] [CrossRef]
- Skinner, R.C.; Gigliotti, J.C.; Ku, K.M.; Tou, J.C. A comprehensive analysis of the composition, health benefits, and safety of apple pomace. Nutr. Rev. 2018, 76, 893–909. [Google Scholar] [CrossRef]
- Lobo, A.R.; Satish, S.; Shabaraya, A.R. Review on pharmacological activties of Malus Domestica. Int. J. Pharm. Chem. Res. 2018, 4, 243–246. [Google Scholar]
- UILLTOBE. Available online: https://uilltobe.ru/en/apple-vinegar-beneficial-features/ (accessed on 1 July 2020).
- Johnston, C.S.; Gaas, C.A. Vinegar: Medicinal uses and antiglycemic effect. Med. Gen. Med. 2006, 8, 61. [Google Scholar]
- Patel, V.; Kaswala, R.; Chakraborty, M.; Kamat, J.V. Phytochemical and pharmacological profile of malus domestica: An overview. Int. J. Cur. Biomed. Phar. Res. 2012, 2, 334–338. [Google Scholar]
- Khan, H.M.S.; Akhtar, N.; Rasool, F.; Madni, A.; Saeed, T.; Khan, B.A.; Mahmood, T. Investigation of a new sebum control cream containing apple juice extract. Asian J. Chem. 2011, 23, 810–812. [Google Scholar]
- Sut, S.; Zengin, G.; Maggi, F.; Malagoli, M.; Dall’Acqua, S. Triterpene acid and phenolics from ancient apples of friuli Venezia giulia as nutraceutical ingredients: LC-MS study and in vitro activities. Molecules 2019, 24, 1109. [Google Scholar] [CrossRef]
- Sun, J.; Chu, Y.; Wu, X.; Liu, R.H. Antioxidant and antiproliferative activities of common fruits. J. Agric. Food. Chem. 2002, 50, 7449–7454. [Google Scholar] [CrossRef]
- Sara, J.; Ebrahimabadi, A.H.; Kashi, F.J. Evaluation of antimicrobial activity of Malus domestica fruit extract from Kashan area. Avicenna J. Phytomed. 2013, 3, 1–6. [Google Scholar]
- Escarpa, A.; Gonzalez, M. High-performance liquid chromatography with diodearray detection for the performance of phenolic compounds in peel and pulp from different apple varieties. J. Chromat. A 1998, 823, 331–337. [Google Scholar] [CrossRef]
- Graziani, G.; D’Argenio, G.; Tuccillo, C.; Logurrcio, C.; Ritieni, A.; Morisco, F.; Blanco, C.D.V.; Fogliano, V.; Romano, M. Apple polyphenol extracts prevent damage to human gastric epithelial cells in vitro and to rat gastric mucosa in vivo. Gut 2005, 54, 193–200. [Google Scholar] [CrossRef] [PubMed]
- Mirhadi, K.N.; Ali, K.R. Effect of apple (Malus domestica) supplementation on serum lipids and lipoproteins level in cholesterol-fed male rat. Middle East J. Sci. Res. 2011, 9, 744–748. [Google Scholar]
- De Oliviera, M.C.; Sichieri, R.; Moura, A. Weight loss associated with a daily intake of three apples or three pears among overweight women. Nutrition 2003, 19, 253–256. [Google Scholar] [CrossRef]
- Vidal, R.; Hernandez-Vallejo, S.; Pauquai, T.; Texier, O.; Rousset, M.; Chambaz, J.; Demignot, S.; Lacorte, J.M. Apple procyanidins decrease cholesterol esterification and lipoprotein secretion in Caco-2/TC7 enterocytes. J. Lipid Res. 2005, 46, 258–268. [Google Scholar] [CrossRef] [PubMed]
- Serra, A.T.; Rocha, J.; Sepodes, B.; Matias, A.A.; Feliciano, R.P.; de Carvalho, A.; Bronze, M.R.; Duarte, C.M.; Figueira, M.E. Evaluation of cardiovascular protective effect of different apple varieties—Correlation of response with composition. Food Chem. 2012, 135, 2378–2386. [Google Scholar] [CrossRef] [PubMed]
- Ahmad, R.; Aslam, N.; Sheikh, M.A. Research article malus domestica as an Inhibitor of Glycation. Sch. Acad. J. Biosci. 2014, 2, 1–10. [Google Scholar]
- Mondal, S.; Rahaman, S.T. Flavonoids: A vital resource in healthcare and medicine. Pharm. Pharmacol. Int. J. 2020, 8, 91–104. [Google Scholar]
- Panche, A.N.; Diwan, A.D.; Chandra, S.R. Flavonoids: An overview. J. Nutr. Sci. 2016, 5, 1–15. [Google Scholar] [CrossRef]
- Balasuriya, N.; Rupasinghe, H.V. Antihypertensive properties of flavonoid-rich apple peel extract. Food Chem. 2012, 15, 2320–2325. [Google Scholar] [CrossRef]
- Tu, S.H.; Chen, L.C.; Ho, Y.S. An apple a day to prevent cancer formation: Reducing cancer risk with flavonoids. J. Food Drug Anal. 2017, 25, 119–124. [Google Scholar] [CrossRef]
- Hyson, D.A. A comprehensive review of apples and apple components and their relationship to human health. Am. Soc. Nutr. Adv. Nutr. 2011, 2, 408–420. [Google Scholar] [CrossRef] [PubMed]
- Jedrychowski, W.; Maugeri, U.; Popiela, T.; Kulig, J.; Sochacka-Tatara, E.; Pac, A.; Sowa, A.; Musial, A. Case-control study on beneficial effect of regular consumption of apples on colorectal cancer risk in a population with relatively low intake of fruits and vegetables. Eur. J. Cancer Prev. 2010, 19, 42–47. [Google Scholar] [CrossRef]




| Bioactive Substance | Presence | References |
|---|---|---|
| Cinnamic acid species | peel | [3] |
| Chlorogenic acid | peel, pulp, kernel, leaf | [4] |
| Caffeic acid | peel, pulp | [4] |
| Ferulic acid | pulp, leaf | [5] |
| P-coumaric acid | pulp | [5] |
| Caffeoylquinic acid | pulp and skin | [3] |
| P-coumarylquinic acid | pulp and skin | [3] |
| Cinnamic acid | leaf | [5] |
| (+)-Catechin | peel, pulp, kernel | [6] |
| (-)-Epicatechin | peel, pulp, kernel | [6] |
| Proantho Cyanidins | peel, pulp, leaf | [6] |
| Flavonols | [7] | |
| Quercetin and quercetin glycosides | peel | [4] |
| Anthocyanins | peel | [7] |
| Phytosterol | peel | [8] |
| Triterpenoids | peel | [8] |
| Pectin | peel, pulp, root, stem, leaf | [9] |
| Carbohydrate | seed, pulp, leaf | [10] |
| Amino acid, peptide and protein ingredients | seed, pulp | [10] |
| Oil composition | seed, pulp | [10] |
| Endogenous hormone | Plant | [10] |
| Structure | References |
|---|---|
| Salicylic acid | [4] |
| P-coumaric acyl quinic acid | [4,5] |
| D-(-)-quinic acid | [5,6] |
| Chlorogenic acid | [4,5] |
| Caffeic acid | [6] |
| Ferulic acid | [6] |
| 2(R)-hydroxybutanedioic acid | [4,6] |
| 2(R)-hydroxybutanedioic acid 1-methyl ester | [4] |
| Malonic acid | [6] |
| Maleic acid | [6] |
| D-(-)-quinic acid | [5,6] |
| Chlorogenic acid | [4,5] |
| Caffeic acid | [6] |
| Ferulic acid | [6] |
| 2(R)-hydroxybutanedioic acid | [4,6] |
| 2(R)-hydroxybutanedioic acid 1-methyl ester | [4] |
| Malonic acid | [6] |
| Maleic acid | [6] |
| P-cournaric acid | [4,6] |
| Cinnamic acid | [4] |
| Compound | References |
|---|---|
| Catechins | [7] |
| Epicatechin | [7] |
| Proanthocyanidins B1 | [7] |
| Proanthocyanidins B2 | [7] |
| Proanthocyanidins B5 | [7] |
| Proanthocyanidins C1 | [7] |
| Proanthocyanidin tetramer | [8] |
| Proanthocyanidin pentamer | [8] |
| Proanthocyanidin hexamer | [8] |
| Proanthocyanidin heptamer | [8] |
| Proanthocyanidin octamer | [8] |
| Phlorizin | [9] |
| Phloretin | [9] |
| Quercetin | [9] |
| 3,5,7,3 ‘, 4’-pentaflavonol-3-o-xyloside | [10] |
| 3,5,7,3 ‘, 4’-pentaflavonol-3-o-rhamnoside | [10] |
| 3,5,7,3 ‘, 4’-pentaflavonol-3-o-galactoside | [10] |
| 3,5,7,3 ‘, 4’-pentaflavonol-3-o-glucoside | [10] |
| 3,5,7,3 ‘, 4’-pentaflavonol-3-o-arabinoside | [10] |
| 3,5,7,3 ‘, 4’-pentaflavonol-3-o-rutinoside | [10] |
| Anthocyanidins | [10] |
| Ideain(cyanidin-3-galactoside) | [10] |
| Compounds | Peel | Flesh | References |
|---|---|---|---|
| chlorogenic acid | 136.1 | 177.3 | [17] |
| p-coumaroylquinic acid | 12.4 | 15.7 | [17] |
| total hydroxycinnamics | 148.5 | 193 | [17] |
| cyanidin 3-galactoside | 86.0 | ND | [17] |
| total anthocyanins | 86 | ND | [17] |
| epicatechin | 287.3 | 76.7 | [17] |
| procyanidin B1 | 136.4 | 62.8 | [17] |
| procyanidin B2 | 275.2 | 107.5 | [17] |
| other procyanidins | 185.3 | ND | [17] |
| total procyanidins | 958.2 | 267.7 | [17] |
| phloretin 2′-xylglucoside | 40.2 | 4.9 | [17] |
| phloridzin | 72.3 | 14.4 | [17] |
| 3-hydroxyphloretin 2′-xylglucoside | 3.5 | ND | [17] |
| 3-hydroxyphloretin 2′-glucoside | 7.7 | ND | [17] |
| total dihydrochalcones | 123.7 | 19.3 | [17] |
| total polyphenolics | 1604.4 | 481.3 | [17] |
| total phenolic content | 1323.6 | 429.6 | [17] |
| Compound | References |
|---|---|
| 2α-hydroxy-3β-{[(2E)-3-phenyl-1-oxo-2-propenyl]oxy}urs-12-en-28-oicacid | [33] |
| 3β-trans-cinnamoyloxy-2α-hydroxyurs-12-en-28-oic acid | [33] |
| 3β-trans-p-coumaroyloxy-2α-hydroxyurs-12-en-28-oic acid | [33] |
| 3β-cis-p-coumaroyloxy-2α-hydroxyurs-12-en-28-oic acid maslinic acid | [33] |
| 2α-hydroxy-3β-{[(2E)-3-phenyl-1-oxo-2-propenyl]oxy}olean-12-en-28-oic acid | [33] |
| 2α-hydroxy-3β-{[(2Z)-3-phenyl-1-oxo-2-propenyl]oxy}olean-12-en-28-oic acid | [33] |
| 3β-trans-cinnamoyloxy-2α-hydroxyolean-12-en-28-oic acid | |
| 3β-trans-p-coumaroyloxy-2α-hydroxyolean-12-en-28-oic acid | |
| 3β-cis-p-coumaroyloxy-2α-hydroxyolean-12-en-28-oic acid | [33] |
| 3β,13β-dihydroxyurs-11-en-28-oic acid | [8] |
| 2α,3β,13β-trihydroxyurs-11-en-28-oic acid | [8] |
| 3β,28-dihydroxy-12-ursene | [8] |
| olean-12-en-2α,3β-diol | |
| olean-12-en-3β-ol (β-amyrin) | |
| olean-12-en-2α,3β,28-triol | |
| urs-12-ene-2α,3β-diol, | [8] |
| urs-12-ene-3β-ol | [8] |
| urs-12-ene-2α,3β,28-triol | [8] |
| 3β-trans-p-coumaroyloxy-2α,3β,13β-trihydroxy-urs-11-en-28-oic acid | [8] |
| 3β-cis-p-coumaroyloxy-2α,3β,13β-trihydroxy-urs-11-en-28-oic acid | [8] |
| urs-12-en-28-ol | [8] |
Publisher’s Note: MDPI stays neutral with regard to jurisdictional claims in published maps and institutional affiliations. |
© 2020 by the authors. Licensee MDPI, Basel, Switzerland. This article is an open access article distributed under the terms and conditions of the Creative Commons Attribution (CC BY) license (http://creativecommons.org/licenses/by/4.0/).
Share and Cite
Patocka, J.; Bhardwaj, K.; Klimova, B.; Nepovimova, E.; Wu, Q.; Landi, M.; Kuca, K.; Valis, M.; Wu, W. Malus domestica: A Review on Nutritional Features, Chemical Composition, Traditional and Medicinal Value. Plants 2020, 9, 1408. https://doi.org/10.3390/plants9111408
Patocka J, Bhardwaj K, Klimova B, Nepovimova E, Wu Q, Landi M, Kuca K, Valis M, Wu W. Malus domestica: A Review on Nutritional Features, Chemical Composition, Traditional and Medicinal Value. Plants. 2020; 9(11):1408. https://doi.org/10.3390/plants9111408
Chicago/Turabian StylePatocka, Jiri, Kanchan Bhardwaj, Blanka Klimova, Eugenie Nepovimova, Qinghua Wu, Marco Landi, Kamil Kuca, Martin Valis, and Wenda Wu. 2020. "Malus domestica: A Review on Nutritional Features, Chemical Composition, Traditional and Medicinal Value" Plants 9, no. 11: 1408. https://doi.org/10.3390/plants9111408
APA StylePatocka, J., Bhardwaj, K., Klimova, B., Nepovimova, E., Wu, Q., Landi, M., Kuca, K., Valis, M., & Wu, W. (2020). Malus domestica: A Review on Nutritional Features, Chemical Composition, Traditional and Medicinal Value. Plants, 9(11), 1408. https://doi.org/10.3390/plants9111408

