Effect of Cadmium-Tolerant Rhizobacteria on Growth Attributes and Chlorophyll Contents of Bitter Gourd under Cadmium Toxicity
Abstract
1. Introduction
2. Results
2.1. Vine Length
2.2. Root Length
2.3. Bitter Gourd Fresh Weight
2.4. Chlorophyll a Content in Bitter Gourd
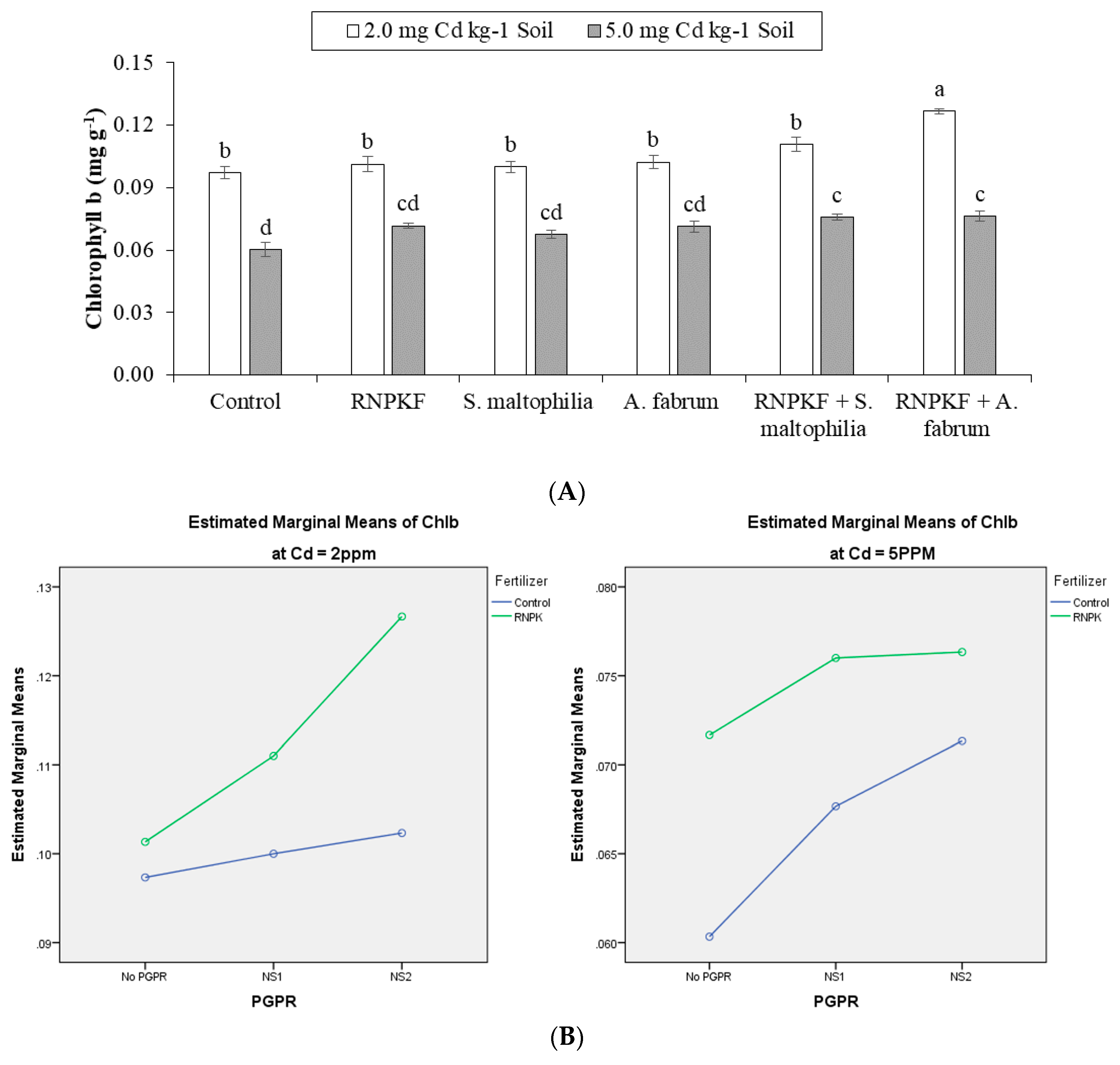
2.5. Chlorophyll b Content in Bitter Gourd
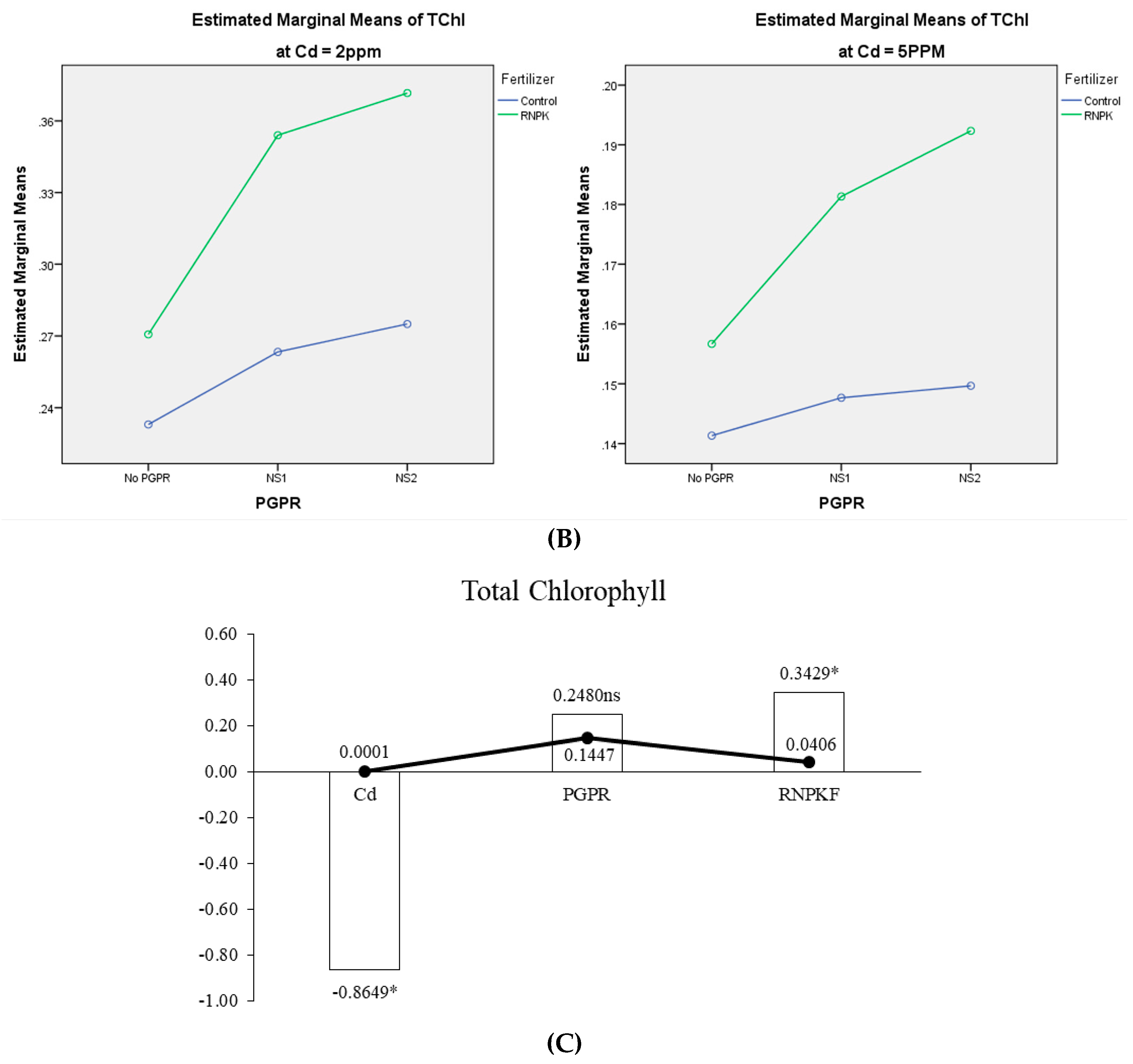
2.6. Total Chlorophyll Content in Bitter Gourd
2.7. Cadmium in Bitter Gourd
2.8. Cadmium in Soil
3. Discussion
4. Materials and Methods
4.1. Site of Experiment
4.2. Collection of Bacterial Strains and Broth
4.3. Cadmium Toxicity and Plants Treatments
4.4. Analysis of Morphological Attributes and Chlorophyll Contents
4.5. Chlorophyll Contents
4.6. Cadmium Analyses
4.7. Statistical Analysis
5. Conclusions
Author Contributions
Funding
Conflicts of Interest
References
- Miniraj, N.; Prasanna, K.P.; Peter, K.V. Bitter gourd Momordica spp. In Genetic Improvement of Vegetable Plants; Kalloo, G., Bergh, B.O., Eds.; Elsevier Ltd.: Amsterdam, The Netherlands, 1993; pp. 239–246. ISBN 978-0-08-040826-2. [Google Scholar]
- Liu, X.R.; Deng, Z.Y.; Fan, Y.W.; Li, J.; Liu, Z.H. Mineral elements analysis of momordica charantiap seeds by ICP-AES and fatty acid profile identification of seed oil by GC-MS. Spectrosc. Spectr. Anal. 2010, 30, 2265–2268. [Google Scholar]
- Cao, H.; Sethumadhavan, K.; Grimm, C.C.; Ullah, A.H.J. Characterization of a soluble phosphatidic acid phosphatase in bitter melon (Momordica charantia). PLoS ONE 2014, 9, e106403. [Google Scholar] [CrossRef][Green Version]
- GOP. Fruits, Vegetables and Condiments: Statistics of Pakistan; Ministry of National Food Security and Research: Islamabad, Pakistan, 2016.
- Fang, E.F.; Ng, T.B. Bitter Gourd (Momordica charantia) Oils. In Essential Oils in Food Preservation, Flavor and Safety; Elsevier BV: Amsterdam, The Netherlands, 2016; pp. 253–257. [Google Scholar]
- Ahmad, I.; Akhtar, M.J.; Zahir, Z.A.; Naveed, M.; Mitter, B.; Sessitsch, A. Cadmium-tolerant bacteria induce metal stress tolerance in cereals. Environ. Sci. Pollut. Res. 2014, 21, 11054–11065. [Google Scholar] [CrossRef]
- Meena, R.S.; Kumar, S.; Datta, R.; Lal, R.; Vijayakumar, V.; Brtnicky, M.; Sharma, M.P.; Yadav, G.S.; Jhariya, M.K.; Jangir, C.K.; et al. Impact of Agrochemicals on Soil Microbiota and Management: A Review. Land 2020, 9, 34. [Google Scholar] [CrossRef]
- Brtnicky, M.; Dokulilova, T.; Holatko, J.; Pecina, V.; Kintl, A.; Latal, O.; Vyhnanek, T.; Prichystalova, J.; Datta, R. Long-Term Effects of Biochar-Based Organic Amendments on Soil Microbial Parameters. AGRONOMY-BASEL 2019, 9, 747. [Google Scholar] [CrossRef]
- Molaei, A.; Lakzian, A.; Datta, R.; Haghnia, G.; Astaraei, A.; Rasouli-Sadaghiani, M.; Ceccherini, M.T. Impact of chlortetracycline and sulfapyridine antibiotics on soil enzyme activities. Int. Agrophysics 2017, 31. [Google Scholar] [CrossRef]
- Molaei, A.; Lakzian, A.; Haghnia, G.; Astaraei, A.; Rasouli-Sadaghiani, M.; Ceccherini, M.T.; Datta, R. Assessment of some cultural experimental methods to study the effects of antibiotics on microbial activities in a soil: An incubation study. PLoS ONE 2017, 12. [Google Scholar] [CrossRef]
- Lazar, V.; Cernat, R.; Balotescu, C.; Cotar, A.; Coipan, E.; Cojocaru, C. Correlation between multiple antibiotic resistance and heavy-metal tolerance among some E.coli strains isolated from polluted waters. Bacteriol. Virusol. Parazitol. Epidemiol. 2002, 47, 155–160. [Google Scholar]
- Zafar-ul-Hye, M.; Shahjahan, A.; Danish, S.; Abid, M.; Qayyum, M.F. Mitigation of cadmium toxicity induced stress in wheat by ACC-deaminase containing PGPR isolated from cadmium polluted wheat rhizosphere. Pakistan J. Bot. 2018, 50, 1727–1734. [Google Scholar]
- Zafar-Ul-Hye, M.; Naeem, M.; Danish, S.; Fahad, S.; Datta, R.; Abbas, M.; Rahi, A.A.; Brtnický, M.; Holatko, J.; Tarar, Z.H.; et al. Alleviation of Cadmium Adverse Effects by Improving Nutrients Uptake in Bitter Gourd through Cadmium Tolerant Rhizobacteria. Environments 2020, 7, 54. [Google Scholar] [CrossRef]
- Lamoreaux, R.J.; Chaney, W.R. The Effect of Cadmium on Net Photosynthesis, Transpiration, and Dark Respiration of Excised Silver Maple Leaves. Issue Physiol. Plant. Addit. Inf. 1978, 43, 231–236. [Google Scholar] [CrossRef]
- Larbi, A.; Morales, F.; Abadia, A.; Gogorcena, Y.; Lucena, J.J.; Abadia, J. Effects of Cd and Pb in sugar beet plants grown in nutrient solution: Induced Fe deficiency and growth inhibition. Funct. Plant Biol. 2002, 29, 1453–1464. [Google Scholar] [CrossRef]
- Huang, C.-Y.; Bazzaz, F.A.; Vanderhoef, L.N. The inhibition of soybean metabolism by cadmium and lead. J. Plant Physiol. 1974, 54, 122–124. [Google Scholar] [CrossRef]
- Wallace, A.; Wallace, G.A.; Cha, J.W. Some modifications in trace metal toxicities and deficiencies in plants resulting from interactions with other elements and chelating agents--the special case of iron. J. Plant Nutr. 1992, 15, 1589–1598. [Google Scholar] [CrossRef]
- Abid, M.; Danish, S.; Zafar-ul-Hye, M.; Shaaban, M.; Iqbal, M.M.; Rehim, A.; Qayyum, M.F.; Naqqash, M.N. Biochar increased photosynthetic and accessory pigments in tomato (Solanum lycopersicum L.) plants by reducing cadmium concentration under various irrigation waters. Environ. Sci. Pollut. Res. 2017, 24, 22111–22118. [Google Scholar] [CrossRef]
- Greger, M.; Brammer, E.; Lindberg, S.; Larsson, G.; Idestam-Almquist, J. Uptake and Physiological Effects of Cadmium in Sugar Beet (Beta vulgaris) Related to Mineral Provision. J. Exp. Bot. 1991, 42, 729–737. [Google Scholar] [CrossRef]
- Dong, J.; Wu, F.; Zhang, G. Influence of cadmium on antioxidant capacity and four microelement concentrations in tomato seedlings (Lycopersicon esculentum). Chemosphere 2006, 64, 1659–1666. [Google Scholar] [CrossRef]
- Danish, S.; Kiran, S.; Fahad, S.; Ahmad, N.; Ali, M.A.; Tahir, F.A.; Rasheed, M.K.; Shahzad, K.; Li, X.; Wang, D.; et al. Alleviation of chromium toxicity in maize by Fe fortification and chromium tolerant ACC deaminase producing plant growth promoting rhizobacteria. Ecotoxicol. Environ. Saf. 2019, 185, 109706. [Google Scholar] [CrossRef]
- Pandey, S.; Ghosh, P.K.; Ghosh, S.; De, T.K.; Maiti, T.K. Role of heavy metal resistant Ochrobactrum sp. and Bacillus spp. strains in bioremediation of a rice cultivar and their PGPR like activities. J. Microbiol. 2013, 51, 11–17. [Google Scholar] [CrossRef]
- Khan, A.L.; Lee, I.-J. Endophytic Penicillium funiculosum LHL06 secretes gibberellin that reprograms Glycine max L. growth during copper stress. BMC Plant Biol. 2013, 13, 86–100. [Google Scholar] [CrossRef]
- Glick, B.; Penrose, D.; Li, J. A Model For the Lowering of Plant Ethylene Concentrations by Plant Growth-promoting Bacteria. J. Theor. Biol. 1998, 190, 63–68. [Google Scholar] [CrossRef]
- Skirycz, A.; Claeys, H.; de Bodt, S.; Oikawa, A.; Shinoda, S.; Andriankaja, M.; Maleux, K.; Eloy, N.B.; Coppens, F.; Yoo, S.D.; et al. Pause-and-stop: The effects of osmotic stress on cell proliferation during early leaf development in Arabidopsis and a role for ethylene signaling in cell cycle arrest. Plant Cell 2011, 23, 1876–1888. [Google Scholar] [CrossRef]
- He, C.J.; Morgan, P.W.; Drew, M.C. Transduction of an ethylene signal is required for cell death and lysis in the root cortex of maize during aerenchyma formation induced by hypoxia. Plant Physiol. 1996, 112, 463–472. [Google Scholar] [CrossRef]
- Garnier, L.; Simon-Plas, F.; Thuleau, P.; Agnel, J.P.; Blein, J.P.; Ranjeva, R.; Montillet, J.L. Cadmium affects tobacco cells by a series of three waves of reactive oxygen species that contribute to cytotoxicity. Plant Cell Environ. 2006, 29, 1956–1969. [Google Scholar] [CrossRef]
- Das, K.; Roychoudhury, A. Reactive oxygen species (ROS) and response of antioxidants as ROS-scavengers during environmental stress in plants. Front. Environ. Sci. 2014, 2, 53. [Google Scholar] [CrossRef]
- Zafar-ul-Hye, M.; Tahzeeb-ul-Hassan, M.; Abid, M.; Fahad, S.; Brtnicky, M.; Dokulilova, T.; Datta, R.; Danish, S. Potential role of compost mixed biochar with rhizobacteria in mitigating lead toxicity in spinach. Sci. Rep. 2020, 10, 1–12. [Google Scholar] [CrossRef]
- Kochar, M.; Upadhyay, A.; Srivastava, S. Indole-3-acetic acid biosynthesis in the biocontrol strain Pseudomonas fluorescens Psd and plant growth regulation by hormone overexpression. Res. Microbiol. 2011, 162, 426–435. [Google Scholar] [CrossRef]
- Parewa, H.P.; Meena, V.S.; Jain, L.K.; Choudhary, A. Sustainable crop production and soil health management through plant growth-promoting rhizobacteria. In Role of Rhizospheric Microbes in Soil: Stress Management and Agricultural Sustainability; Springer: Singapore, 2018; Volume 1, pp. 299–329. [Google Scholar]
- Adnan, M.; Fahad, S.; Zamin, M.; Shah, S.; Mian, I.A.; Danish, S.; Zafar-ul-Hye, M.; Battaglia, M.L.; Naz, R.M.M.; Saeed, B. Coupling phosphate-solubilizing bacteria with phosphorus supplements improve maize phosphorus acquisition and growth under lime induced salinity stress. Plants 2020, 9, 900. [Google Scholar] [CrossRef]
- Wahid, F.; Fahad, S.; Danish, S.; Adnan, M.; Yue, Z.; Saud, S.; Siddiqui, M.H.; Brtnicky, M.; Hammerschmiedt, T.; Datta, R. Sustainable Management with Mycorrhizae and Phosphate Solubilizing Bacteria for Enhanced Phosphorus Uptake in Calcareous Soils. Agriculture 2020, 10, 334. [Google Scholar] [CrossRef]
- Danish, S.; Zafar-ul-Hye, M. Co-application of ACC-deaminase producing PGPR and timber-waste biochar improves pigments formation, growth and yield of wheat under drought stress. Sci. Rep. 2019, 9. [Google Scholar] [CrossRef]
- Zafar-ul-Hye, M.; Danish, S.; Abbas, M.; Ahmad, M.; Munir, T.M. ACC deaminase producing PGPR Bacillus amyloliquefaciens and agrobacterium fabrum along with biochar improve wheat productivity under drought stress. Agronomy 2019, 9, 343. [Google Scholar] [CrossRef]
- Danish, S.; Zafar-Ul-Hye, M.; Hussain, S.; Riaz, M.; Qayyum, M.F. Mitigation of drought stress in maize through inoculation with drought tolerant ACC deaminase containing PGPR under axenic conditions. Pakistan J. Bot. 2020, 52, 49–60. [Google Scholar] [CrossRef]
- Danish, S.; Zafar-ul-Hye, M.; Fahad, S.; Saud, S.; Brtnicky, M.; Hammerschmiedt, T.; Datta, R. Drought Stress Alleviation by ACC Deaminase Producing Achromobacter xylosoxidans and Enterobacter cloacae, with and without Timber Waste Biochar in Maize. Sustainability 2020, 12, 6286. [Google Scholar] [CrossRef]
- Zafar-Ul-hye, M.; Farooq, U.; Danish, S.; Hussain, S.; Shaaban, M.; Qayyum, M.F.; Rehim, A. Bacillus amyloliquefaciens and alcaligenes faecalis with biogas slurry improved maize growth and yield in saline-sodic field. Pakistan J. Bot. 2020, 52, 1839–1847. [Google Scholar] [CrossRef]
- Sanita di Toppi, L.; Gabbrielli, R. Response to cadmium in higher plants. Environ. Exp. Bot. 1999, 41, 105–130. [Google Scholar] [CrossRef]
- Glick, B.R.; Patten, C.L.; Holguin, G.; Penrose, D.M. Biochemical and Genetic Mechanisms Used by Plant Growth Promoting Bacteria; Imperial College Press: Singapore, 1999; ISBN 978-1-86094-152-8. [Google Scholar] [CrossRef]
- Ouzounidou, G.; Ciamporova, M.; Moustakas, M.; Karataglis, S. Responses of Maize (Zea-Mays L) Plants to Copper Stress.1. Growth, Mineral-Content and Ultrastructure of Roots. Environ. Exp. Bot. 1995, 35, 167–176. [Google Scholar] [CrossRef]
- De Filippis, L.F.; Hampp, R.; Ziegler, H. The effects of sublethal concentrations of zinc, cadmium and mercury on Euglena. Arch. Microbiol. 1981, 128, 407–411. [Google Scholar] [CrossRef]
- Matile, P.; Schellenberg, M.; Vicentini, F. Planta Localization of chlorophyllase in the chloroplast envelope. Planta 1997, 201, 96–99. [Google Scholar] [CrossRef]
- Danish, S.; Zafar-ul-Hye, M.; Hussain, M.; Shaaban, M.; Núñez-delgado, A. Rhizobacteria with ACC-Deaminase Activity Improve Nutrient Uptake, Chlorophyll Contents and Early Seedling Growth of Wheat under PEG- Induced Osmotic Stress. Int. J. Agric. Biol. 2019, 21, 1212–1220. [Google Scholar] [CrossRef]
- Ahmed, N.; Ahsen, S.; Ali, M.A.; Hussain, M.B.; Hussain, S.B.; Rasheed, M.K.; Butt, B.; Irshad, I.; Danish, S. Rhizobacteria and silicon synergy modulates the growth, nutrition and yield of mungbean under saline soil. Pakistan J. Bot. 2020, 52, 9–15. [Google Scholar] [CrossRef]
- Danish, S.; Zafar-ul-Hye, M. Combined role of ACC deaminase producing bacteria and biochar on cereals productivity under drought. Phyton (B. Aires) 2020, 89, 217–227. [Google Scholar] [CrossRef]
- Danish, S.; Zafar-ul-Hye, M.; Mohsin, F.; Hussain, M. ACC-deaminase producing plant growth promoting rhizobacteria and biochar mitigate adverse effects of drought stress on maize growth. PLoS ONE 2020, 15, e0230615. [Google Scholar] [CrossRef] [PubMed]
- Tripathi, M.; Munot, H.P.; Shouche, Y.; Meyer, J.M.; Goel, R. Isolation and functional characterization of siderophore-producing lead- and cadmium-resistant Pseudomonas putida KNP9. Curr. Microbiol. 2005, 50, 233–237. [Google Scholar] [CrossRef]
- Burd, G.I.; Dixon, D.G.; Glick, B.R. A plant growth-promoting bacterium that decreases nickel toxicity in seedlings. Appl. Environ. Microbiol. 1998, 64, 3663–3668. [Google Scholar] [CrossRef]
- Fuhrer, J. Ethylene Biosynthesis and Cadmium Toxicity in Leaf Tissue of Beans (Phaseolus vulgaris L.). Plant Physiol. 1982, 70, 162–167. [Google Scholar] [CrossRef]
- Gilani, M.; Danish, S.; Ahmed, N.; Rahi, A.A.; Akrem, A.; Younis, U.; Irshad, I.; Iqbal, R.K. Mitigation of drought stress in spinach using individual and combined applications of salicylic acid and potassium. Pakistan J. Bot. 2020, 52, 1505–1513. [Google Scholar] [CrossRef]
- Baude, J.; Vial, L.; Villard, C.; Campillo, T.; Lavire, C.; Nesme, X.; Hommais, F. Coordinated regulation of species-specific hydroxycinnamic acid degradation and siderophore biosynthesis pathways in Agrobacterium fabrum. Appl. Environ. Microbiol. 2016, 82, 3515–3524. [Google Scholar] [CrossRef] [PubMed]
- Gopi, K.; Jinal, H.N.; Prittesh, P.; Kartik, V.P.; Amaresan, N. Effect of copper-resistant Stenotrophomonas maltophilia on maize (Zea mays) growth, physiological properties, and copper accumulation: Potential for phytoremediation into biofortification. Int. J. Phytoremediation 2020, 22, 662–668. [Google Scholar] [CrossRef]
- Rajkumar, M.; Sandhya, S.; Prasad, M.N.V.; Freitas, H. Perspectives of plant-associated microbes in heavy metal phytoremediation. Biotechnol. Adv. 2012, 30, 1562–1574. [Google Scholar] [CrossRef]
- Wu, C.H.; Wood, T.K.; Mulchandani, A.; Chen, W. Engineering plant-microbe symbiosis for rhizoremediation of heavy metals. Appl. Environ. Microbiol. 2006, 72, 1129–1134. [Google Scholar] [CrossRef]
- Safronova, V.I.; Stepanok, V.V.; Engqvist, G.L.; Alekseyev, Y.V.; Belimov, A.A. Root-associated bacteria containing 1-aminocyclopropane-1-carboxylate deaminase improve growth and nutrient uptake by pea genotypes cultivated in cadmium supplemented soil. Biol. Fertil. Soils 2006, 42, 267–272. [Google Scholar] [CrossRef]
- Belimov, A.A.; Safronova, V.I.; Sergeyeva, T.A.; Egorova, T.N.; Matveyeva, V.A.; Tsyganov, V.E.; Borisov, A.Y.; Tikhonovich, I.A.; Kluge, C.; Preisfeld, A.; et al. Characterization of plant growth promoting rhizobacteria isolated from polluted soils and containing 1-aminocyclopropane-1-carboxylate deaminase. Can. J. Microbiol. 2001, 652, 642–652. [Google Scholar] [CrossRef] [PubMed]
- Ardakani, M.R.; Khorshidi, Y.R.; Ramezanpour, M.R.; Khavazi, K.; Zargari, K. Response of Yield and Yield Components of Rice (Oryza sativa L.) to Pseudomonas flouresence and Azospirillum lipoferum under Different Nitrogen Levels. Am. J. Agric. Environ. Sci. 2011, 10, 387–395. [Google Scholar]
- Sadiq, A.; Ali, B. Growth and yield enhancement of Triticum aestivum L. by rhizobacteria isolated from agronomic plants. Aust. J. Crop Sci. 2013, 7, 1544–1550. [Google Scholar]
- Chapman, H.D.; Pratt, P.F. Methods of Analysis for Soils, Plants and Water; University of California, Division of Agricultural Sciences: Berkeley, CA, USA, 1961. [Google Scholar]
- Steel, R.G.; Torrie, J.H.; Dickey, D.A. Principles and Procedures of Statistics: A Biometrical Approach, 3rd ed.; McGraw Hill Book International Co.: Singapore, 1997. [Google Scholar]













| Attributes | Units | Values |
|---|---|---|
| Sand | % | 40 |
| Silt | % | 40 |
| Clay | % | 20 |
| Textural Class | - | Loam |
| Saturation Percentage | % | 40 |
| pHs | - | 8.05 |
| ECe | dS m−1 | 5.15 |
| Available Phosphorus | mg kg−1 | 7.62 |
| Extractable Potassium | mg kg−1 | 176 |
| Characteristics | A. fabrum | S. maltophilia |
|---|---|---|
| P-Solubilization (μg/mL) | 16.0 | 9.36 |
| K-Solubilization (μg/mL) | 25.04 | 12.35 |
| IAA (with L-Tryptophan) (μg/mL) | 50.20 | 21.83 |
| IAA (without L-Tryptophan) (μg/mL) | 2.01 | 1.09 |
| ACCD activity (μmol α-ketobutyrate nmol mg−1 protein h−1) | 340 | 145 |
Publisher’s Note: MDPI stays neutral with regard to jurisdictional claims in published maps and institutional affiliations. |
© 2020 by the authors. Licensee MDPI, Basel, Switzerland. This article is an open access article distributed under the terms and conditions of the Creative Commons Attribution (CC BY) license (http://creativecommons.org/licenses/by/4.0/).
Share and Cite
Zafar-ul-Hye, M.; Naeem, M.; Danish, S.; Khan, M.J.; Fahad, S.; Datta, R.; Brtnicky, M.; Kintl, A.; Hussain, G.S.; El-Esawi, M.A. Effect of Cadmium-Tolerant Rhizobacteria on Growth Attributes and Chlorophyll Contents of Bitter Gourd under Cadmium Toxicity. Plants 2020, 9, 1386. https://doi.org/10.3390/plants9101386
Zafar-ul-Hye M, Naeem M, Danish S, Khan MJ, Fahad S, Datta R, Brtnicky M, Kintl A, Hussain GS, El-Esawi MA. Effect of Cadmium-Tolerant Rhizobacteria on Growth Attributes and Chlorophyll Contents of Bitter Gourd under Cadmium Toxicity. Plants. 2020; 9(10):1386. https://doi.org/10.3390/plants9101386
Chicago/Turabian StyleZafar-ul-Hye, Muhammad, Muhammad Naeem, Subhan Danish, Muhammad Jamil Khan, Shah Fahad, Rahul Datta, Martin Brtnicky, Antonin Kintl, Ghulam Sabir Hussain, and Mohamed A. El-Esawi. 2020. "Effect of Cadmium-Tolerant Rhizobacteria on Growth Attributes and Chlorophyll Contents of Bitter Gourd under Cadmium Toxicity" Plants 9, no. 10: 1386. https://doi.org/10.3390/plants9101386
APA StyleZafar-ul-Hye, M., Naeem, M., Danish, S., Khan, M. J., Fahad, S., Datta, R., Brtnicky, M., Kintl, A., Hussain, G. S., & El-Esawi, M. A. (2020). Effect of Cadmium-Tolerant Rhizobacteria on Growth Attributes and Chlorophyll Contents of Bitter Gourd under Cadmium Toxicity. Plants, 9(10), 1386. https://doi.org/10.3390/plants9101386

