Tree Fern Cyathea lepifera May Survive by Its Phytotoxic Property
Abstract
1. Introduction
2. Results
2.1. Activity of the Extracts of C. lepifera Fronds
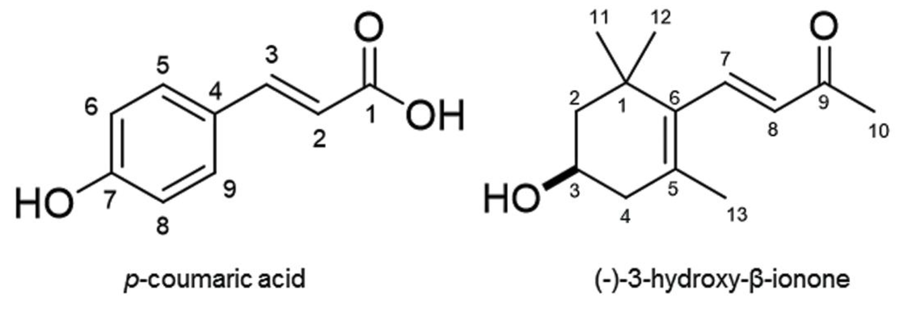
2.2. Isolation of Active Substances in the C. lepifera Fronds
2.3. Inhibitory Activity of the Isolated Compounds
3. Discussion
4. Materials and Methods
4.1. Plant Materials
4.2. Extraction and Bioassay
4.3. Separation of the C. lepifera Frond Extract
4.4. Purification of the Active Compound in Fraction 6
4.5. Purification of the Active Compound in Fraction 7
4.6. Bioassay of the Isolated Compounds
4.7. Statistical Analysis
5. Conclusions
Author Contributions
Funding
Conflicts of Interest
References
- Korall, P.; Pryer, K.M.; Metzgar, J.S.; Schneider, H.; Conant, D.S. Tree ferns: Monophyletic groups and their relationships as revealed by four protein-coding plastid loci. Mol. Phylogenet. Evol. 2006, 39, 830–845. [Google Scholar] [CrossRef] [PubMed]
- Prugnolle, F.; Rousteau, A.; Belin-Depoux, M. Occupation spatiale de Cyathea muricata Willd. (Cyatheaceae) en forêt dense humide guadeloupéenne. II—À l’échelle de la population. Acta Bot. Gallica 2001, 148, 81–91. [Google Scholar] [CrossRef]
- Chiu, T.Z.; Wang, H.H.; Kuo, Y.L.; Tomonori, K.; Chiou, W.L.; Huang, Y.M. Ecophysiological characteristics of three Cyathea species in Northeastern Taiwan. Taiwan J. For. Sci. 2015, 30, 147–155. [Google Scholar]
- Ponder, F., Jr.; Tadros, S.H. Juglone concentration in soil beneath black walnut interplanted with nitrogen-fixing species. J. Chem. Ecol. 1985, 11, 937–942. [Google Scholar] [CrossRef] [PubMed]
- Rice, E.L. Allelopathy, 2nd ed.; Academic Press: Orlando, FL, USA, 1984. [Google Scholar]
- Kato-Noguchi, H.; Kimura, F.; Ohno, O.; Suenaga, K. Involvement of allelopathy in inhibition of understory growth in red pine forests. J. Plant Physiol. 2017, 218, 66–73. [Google Scholar] [CrossRef] [PubMed]
- Kort, R.; Vonk, H.; Xu, X.; Hoff, W.D.; Crielaard, W.; Hellingwerf, K.J. Evidence for trans-cis isomerization of the p-coumaric acid chromophore as the photochemical basis of the photocycle of photoactive yellow protein. FEBS Lett. 1996, 382, 73–78. [Google Scholar] [CrossRef]
- Bergman, M.; Varshavsky, L.; Gottlieb, H.E.; Grossman, S. The antioxidant activity of aqueous spinach extract: Chemical identification of active fractions. Phytochemistry 2001, 58, 143–152. [Google Scholar] [CrossRef]
- Fujimori, T.; Kasuga, R.; Noguchi, M.; Kaneko, H. Isolation of R-(−)-3-hydroxy-β-ionone from burley tobacco. Agric. Biol. Chem. 1974, 38, 891–892. [Google Scholar]
- Pérez, C.; Trujillo, J.; Almonacid, L.N.; Trujillo, J.; Navarro, E.; Alonso, S.J. Absolute structures of two new C13-norisoprenoids from Apollonias barbujana. J. Nat. Prod. 1996, 59, 69–72. [Google Scholar] [CrossRef]
- Mizutani, J. Plant ecochemicals in allelopathy. In Allelopathy Update, International Status; Narwal, S.S., Ed.; Science Publishers Inc.: Enfield, NH, USA, 1999; Volume 1, pp. 27–46. [Google Scholar]
- Güldner, A.; Winterhalter, P. Structures of two new ionone glycosides from quince fruit (Cydonia oblonga Mill.). J. Agric. Food. Chem. 1991, 39, 2142–2146. [Google Scholar] [CrossRef]
- Mathieu, S.; Terrier, N.; Procureur, J.; Bigey, F.; Gunata, Z. A carotenoid cleavage dioxygenase from Vitis vinifera L., functional characterization and expression during grape berry development in relation to C13-norisoprenoid accumulation. J. Exp. Bot. 2005, 56, 2721–2731. [Google Scholar] [CrossRef] [PubMed]
- Kato-Noguchi, H.; Seki, T.; Shigemori, H. Allelopathy and allelopathic substance in the moss Rhynchostegium pallidifolium. J. Plant Physiol. 2010, 167, 468–471. [Google Scholar] [CrossRef] [PubMed]
- Chakraborty, M.; Karun, A.; Mitra, A. Accumulation of phenylpropanoid derivatives in chitosan-induced cell suspension culture of Cocos nucifera. J. Plant Physiol. 2009, 166, 63–71. [Google Scholar] [CrossRef] [PubMed]
- Hao, W.; Ren, L.; Ran, W.; Shen, Q. Allelopathic effects of root exudates from watermelon and rice plants on Fusarium oxysporum f.sp. niveum. Plant Soil 2010, 336, 485–497. [Google Scholar] [CrossRef]
- Ren, L.; Huo, H.; Zhang, F.; Hao, W.; Xiao, L.; Dong, C.; Xu, G. The components of rice and watermelon root exudates and their effects on pathogenic fungus and watermelon defense. Plant Signal. Behav. 2016, 11, e1187357. [Google Scholar] [CrossRef]
- Muscolo, A.; Sidari, M. Seasonal fluctuations in soil phenolics of a coniferous forest: Effects on seed germination of different coniferous species. Plant Soil 2006, 284, 305–318. [Google Scholar] [CrossRef]
- Li, X.; Lewis, E.E.; Liu, Q.; Li, H.; Bai, C.; Wang, Y. Effects of long-term continuous cropping on soil nematode community and soil condition associated with replant problem in strawberry habitat. Sci. Rep. 2016, 6, 30466. [Google Scholar] [CrossRef]
- Chou, C.H.; Patrick, Z.A. Identification and phytotoxic activity of compounds produced during decomposition of corn and rye residues in soil. J. Chem. Ecol. 1976, 2, 369–387. [Google Scholar] [CrossRef]
- Tharayil, T.; Bhowmik, P.C.; Xing, B. Bioavailability of allelochemicals as affected by companion compounds in soil matrices. J. Agric. Food Chem. 2008, 56, 3706–3713. [Google Scholar] [CrossRef]
- Wójcik-Wojtkowiak, D.; Politycka, B.; Schneider, M.; Perkowski, J. Phenolic substances as allelopathic agents arising during the degradation of rye (Secale cereale) tissues. Plant Soil 1990, 124, 143–147. [Google Scholar] [CrossRef]
- Bi, Y.M.; Tian, G.L.; Wang, C.; Feng, C.L.; Zhang, Y.; Zhang, L.S.; Sun, Z.J. Application of leaves to induce earthworms to reduce phenolic compounds released by decomposing plants. Eur. J. Soil Biol. 2016, 75, 31–37. [Google Scholar] [CrossRef]
- Zanardo, D.I.L.; Lima, R.B.; Ferrarese, M.L.L.; Bubna, G.A.; Ferrarese-Filho, O. Soybean root growth inhibition and lignification induced by p-coumaric acid. Environ. Exp. Bot. 2009, 66, 25–30. [Google Scholar] [CrossRef]
- Orcaray, L.; Igal, M.; Zabalza, A.; Royuela, M. Role of exogenously supplied ferulic and p-coumaric acids in mimicking the mode of action of acetolactate synthase inhibiting herbicides. J. Agric. Food Chem. 2011, 59, 10162–10168. [Google Scholar] [CrossRef] [PubMed]
- Aubert, C.; Günata, Z.; Ambid, C.; Baumes, R. Changes in physicochemical characteristics and volatile constituents of yellow- and white-fleshed nectarines during maturation and artificial ripening. J. Agric. Food Chem. 2003, 51, 3083–3091. [Google Scholar] [CrossRef] [PubMed]
- Lashbrooke, J.G.; Young, P.R.; Dockrall, S.J.; Vasanth, K.; Vivier, M.A. Functional characterisation of three members of the Vitis vinifera L. carotenoid cleavage dioxygenase gene family. BMC Plant Biol. 2013, 13, 156. [Google Scholar] [CrossRef] [PubMed]
- Kato-Noguchi, H. An endogenous growth inhibitor, 3-hydroxy-β-ionone. I. Its role in light-induced growth inhibition of hypocotyls of Phaseolus vulgaris. Physiol. Plant. 1992, 86, 583–586. [Google Scholar] [CrossRef]
- Kato-Noguchi, H.; Yamamoto, M.; Tamura, K.; Teruya, T.; Suenaga, K.; Fujii, Y. Isolation and identification of potent allelopathic substances in rattail fescue. Plant Grow. Regul. 2010, 60, 127–131. [Google Scholar] [CrossRef]
- Kato-Noguchi, H.; Hamada, N.; Clements, D.R. Phytotoxicities of the invasive species Plantago major and non-invasive species Plantago asiatica. Acta Physiol. Plant. 2015, 37, 60. [Google Scholar] [CrossRef]
- Masum, S.M.; Hossain, M.A.; Akamine, H.; Sakagami, J.I.; Ishii, T.; Gima, S.; Kensaku, T.; Bhowmik, P.C. Isolation and characterization of allelopathic compounds from the indigenous rice variety ‘Boterswar’ and their biological activity against Echinochloa crus-galli L. Allelopath. J. 2018, 43, 31–42. [Google Scholar] [CrossRef]
- Kato-Noguchi, H.; Seki, T. Allelopathy of the moss Rhynchostegium pallidifolium and 3-hydroxy-β-ionone. Plant Signal. Behav. 2010, 5, 702–704. [Google Scholar] [CrossRef][Green Version]
- Hawes, M.C.; Gunawardena, U.; Miyasaka, S.; Zhao, X. The role of root border cells in plant defense. Trends Plant Sci. 2000, 5, 128–133. [Google Scholar] [CrossRef]
- Bais, H.P.; Weir, T.L.; Perry, L.G.; Gilroy, S.; Vivanco, J.M. The role of root exudates in rhizosphere interactions with plants and other organisms. Annu. Rev. Plant Biol. 2006, 57, 233–266. [Google Scholar] [CrossRef] [PubMed]
- Belz, R.G. Allelopathy in crop/weed interactions—An update. Pest Manag. Sci. 2007, 63, 308–326. [Google Scholar] [CrossRef] [PubMed]
- Reynolds, T. pH restraints on lettuce fruit germination. Ann. Bot. 1975, 39, 797–805. [Google Scholar] [CrossRef]
- Haugland, E.; Brandnsaeter, L.O. Experiments on bioassay sensitivity in the study of allelopathy. J. Chem. Ecol. 1996, 22, 1845–1859. [Google Scholar] [CrossRef] [PubMed]
- Kato-Noguchi, H.; Salam, M.A.; Ohno, O.; Suenaga, K. Nimbolide B and nimbic acid B, phytotoxic substances in neem leaves with allelopathic activity. Molecules 2014, 19, 6929–6940. [Google Scholar] [CrossRef]






| Root | Shoot | |
|---|---|---|
| Garden cress | 5.80 a | 5.72 a |
| Lettuce | 15.4 c | 16.8 c |
| Alfalfa | 10.7 b | 11.3 b |
| Ryegrass | 7.72 a,b | 10.9 b |
| Timothy | 6.47 a,b | 12.3 b |
| Barnyardgrass | 6.74 a,b | 44.8 |
| Root | Shoot | |
|---|---|---|
| p-Coumaric acid | 1240 b | 1120 b |
| (-)-3-Hydroxy-β-ionone | 11.2 a | 10.7 a |
© 2019 by the authors. Licensee MDPI, Basel, Switzerland. This article is an open access article distributed under the terms and conditions of the Creative Commons Attribution (CC BY) license (http://creativecommons.org/licenses/by/4.0/).
Share and Cite
Ida, N.; Iwasaki, A.; Teruya, T.; Suenaga, K.; Kato-Noguchi, H. Tree Fern Cyathea lepifera May Survive by Its Phytotoxic Property. Plants 2020, 9, 46. https://doi.org/10.3390/plants9010046
Ida N, Iwasaki A, Teruya T, Suenaga K, Kato-Noguchi H. Tree Fern Cyathea lepifera May Survive by Its Phytotoxic Property. Plants. 2020; 9(1):46. https://doi.org/10.3390/plants9010046
Chicago/Turabian StyleIda, Noriyuki, Arihiro Iwasaki, Toshiaki Teruya, Kiyotake Suenaga, and Hisashi Kato-Noguchi. 2020. "Tree Fern Cyathea lepifera May Survive by Its Phytotoxic Property" Plants 9, no. 1: 46. https://doi.org/10.3390/plants9010046
APA StyleIda, N., Iwasaki, A., Teruya, T., Suenaga, K., & Kato-Noguchi, H. (2020). Tree Fern Cyathea lepifera May Survive by Its Phytotoxic Property. Plants, 9(1), 46. https://doi.org/10.3390/plants9010046

