Bentonite and Biochar Mitigate Pb Toxicity in Pisum sativum by Reducing Plant Oxidative Stress and Pb Translocation
Abstract
1. Introduction
2. Results
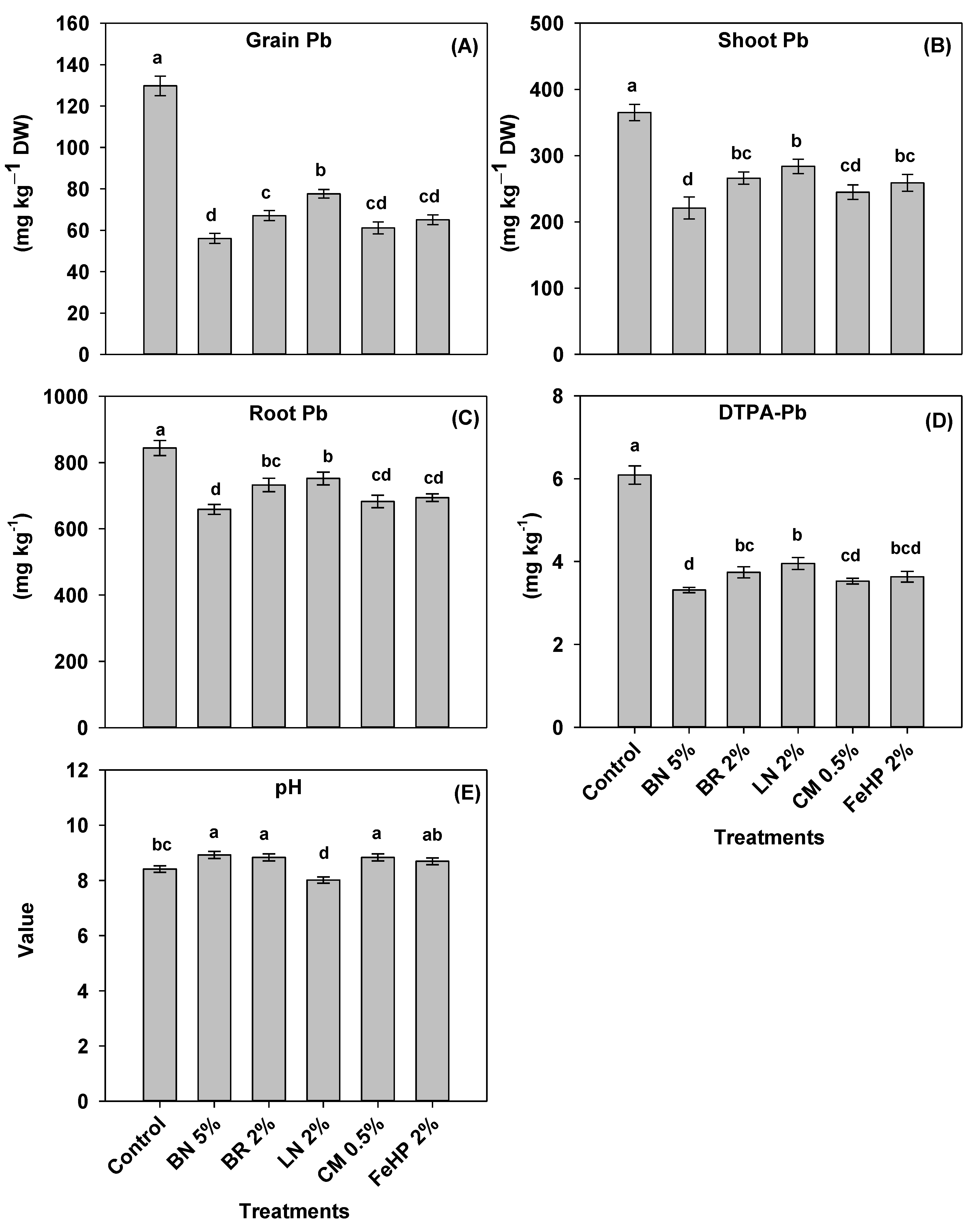
2.1. Pb Allocation in Plant Parts and Soil
2.2. Agronomic, Photosynthetic and Biophysical Parameters of Pea Plant as Influenced by Amendments
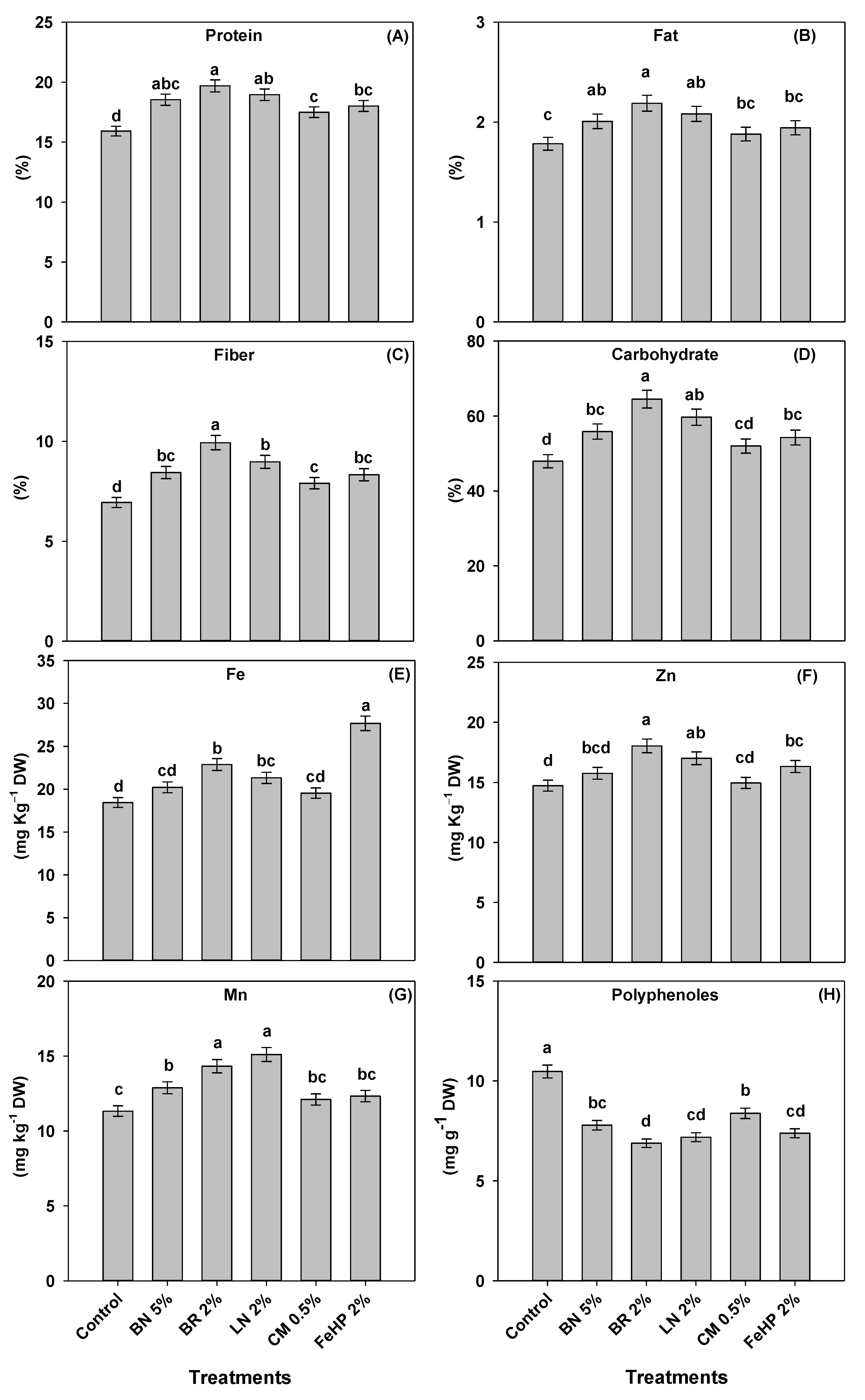
2.3. Status of Micronutrients, Antinutrient and Biochemical Compounds in Pea Grain as Influenced by Amendments
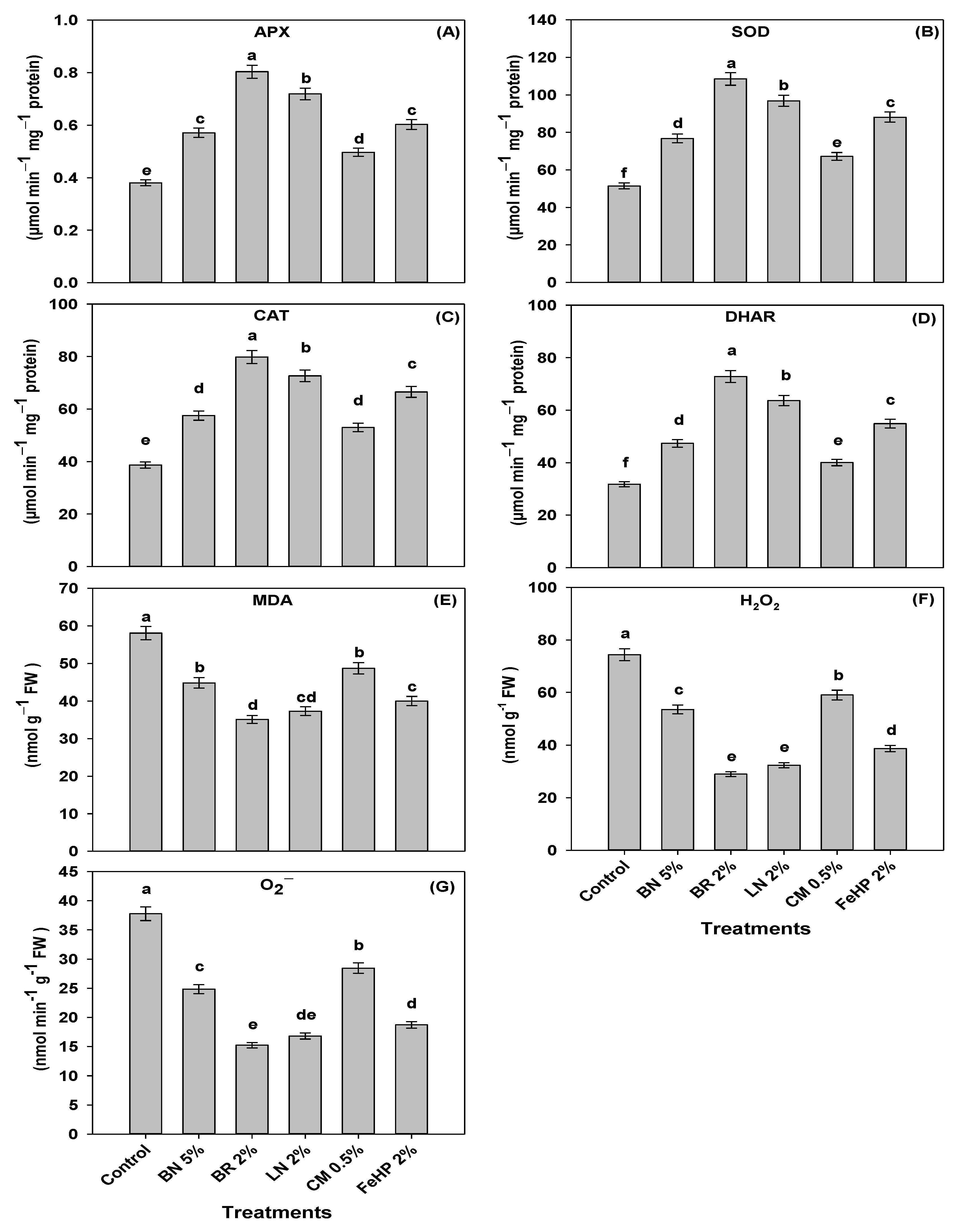
2.4. Effect of Amendments on Antioxidant Defense Machinery and Oxidative Stress in Pea Plants
2.5. Principal Component Analysis and Pearson Coefficient Correlation (r2) Among Studied Attributes
3. Discussion
3.1. Speciation of Pb in Pea Shoots, Roots, and Grain, Related BCF and TF Values and Pb Bioavailability in Post-Harvest Soil as Influenced by Amendments
3.2. Agronomic, Photosynthetic and Biophysical Parameters of Pea Plant as Influenced by Amendments
3.3. Status of Micronutrients, Antinutrient and Biochemical Compounds in Pea Grain as Influenced by Amendments
3.4. Status of Antioxidant Defense Machinery and Oxidative Stress in Pea Plant as Influenced by Amendments
4. Materials and Methods
4.1. Collection of Experiment Soil and its Characterization
4.2. Soil Spiking with Pb
4.3. Addition of Immobilizing Agents
4.4. Pot Experiment
4.5. Plant and Soil Analysis
4.5.1. Estimating the Pb Concentrations in Plant Parts and DTPA Extract
4.5.2. Chlorophyll Contents, Antioxidant Enzymes Activities and Reactive Oxygen Species (ROS) Contents in Barley Leaf
4.5.3. Estimation of grain Biochemical Compounds and Micronutrients
4.5.4. Computation of Translocation Factor (TF) and Bioconcentration Factor (BCF) of Pb
4.6. Statistical Analysis
5. Conclusions
Supplementary Materials
Author Contributions
Acknowledgments
Conflicts of Interest
References
- Sun, Y.; Li, Y.; Xu, Y.; Liang, X.; Wang, L. In situ stabilization remediation of cadmium (Cd) and lead (Pb) co-contaminated paddy soil using bentonite. Appl. Clay Sci. 2015, 105, 200–206. [Google Scholar] [CrossRef]
- López-Orenes, A.; Dias, M.C.; Ferrer, M.Á.; Calderón, A.; Moutinho-Pereira, J.; Correia, C.; Santos, C. Different mechanisms of the metalliferous Zygophyllum fabago shoots and roots to cope with Pb toxicity. Environ. Sci. Pollut. Res. 2018, 25, 1319–1330. [Google Scholar] [CrossRef] [PubMed]
- Nigam, N.; Khare, P.; Yadav, V.; Mishra, D.; Jain, S.; Karak, T.; Panja, S.; Tandon, S. Biochar-mediated sequestration of Pb and Cd leads to enhanced productivity in Mentha arvensis. Ecotoxicol. Environ. Saf. 2019, 172, 411–422. [Google Scholar] [CrossRef] [PubMed]
- Tchounwou, P.B.; Yedjou, C.G.; Patlolla, A.K.; Sutton, D.J. Heavy Metal Toxicity and the Environment. In Molecular, Clinical and Environmental Toxicology; Springer: Berlin, Germany, 2012; pp. 133–164. [Google Scholar]
- Shaheen, S.M.; Rinklebe, J. Impact of emerging and low cost alternative amendments on the (im) mobilization and phytoavailability of Cd and Pb in a contaminated floodplain soil. Ecol. Eng. 2015, 74, 319–326. [Google Scholar] [CrossRef]
- Wang, Y.-S.; Dai, J.-G.; Wang, L.; Tsang, D.C.W.; Poon, C.S. Influence of lead on stabilization/solidification by ordinary Portland cement and magnesium phosphate cement. Chemosphere 2018, 190, 90–96. [Google Scholar] [CrossRef]
- Lahori, A.H.; Zhang, Z.; Shaheen, S.M.; Rinklebe, J.; Guo, Z.; Li, R.; Mahar, A.; Wang, Z.; Ren, C.; Mi, S. Mono-and co-applications of Ca-bentonite with zeolite, Ca-hydroxide, and tobacco biochar affect phytoavailability and uptake of copper and lead in a gold mine-polluted soil. J. Hazard. Mater. 2019, 374, 401–411. [Google Scholar] [CrossRef]
- Wang, L.; Yu, K.; Li, J.-S.; Tsang, D.C.W.; Poon, C.S.; Yoo, J.-C.; Baek, K.; Ding, S.; Hou, D.; Dai, J.-G. Low-carbon and low-alkalinity stabilization/solidification of high-Pb contaminated soil. Chem. Eng. J. 2018, 351, 418–427. [Google Scholar] [CrossRef]
- Wiszniewska, A.; Hanus-Fajerska, E.; MUSZYŃSKA, E.; Ciarkowska, K. Natural organic amendments for improved phytoremediation of polluted soils: a review of recent progress. Pedosphere 2016, 26, 1–12. [Google Scholar] [CrossRef]
- Tauqeer, H.M.; Hussain, S.; Abbas, F.; Iqbal, M. The potential of an energy crop “Conocarpus erectus” for lead phytoextraction and phytostabilization of chromium, nickel, and cadmium: An excellent option for the management of multi-metal contaminated soils. Ecotoxicol. Environ. Saf. 2019, 173, 273–284. [Google Scholar] [CrossRef]
- Fernández, D.A.; Roldán, A.; Azcón, R.; Caravaca, F.; Bååth, E. Effects of water stress, organic amendment and mycorrhizal inoculation on soil microbial community structure and activity during the establishment of two heavy metal-tolerant native plant species. Microb. Ecol. 2012, 63, 794–803. [Google Scholar] [CrossRef]
- Wang, L.; Iris, K.M.; Tsang, D.C.W.; Li, S.; Li, J.; Poon, C.S.; Wang, Y.-S.; Dai, J.-G. Transforming wood waste into water-resistant magnesia-phosphate cement particleboard modified by alumina and red mud. J. Clean. Prod. 2017, 168, 452–462. [Google Scholar] [CrossRef]
- Turan, V.; Khan, S.A.; Iqbal, M.; Ramzani, P.M.A.; Fatima, M. Promoting the productivity and quality of brinjal aligned with heavy metals immobilization in a wastewater irrigated heavy metal polluted soil with biochar and chitosan. Ecotoxicol. Environ. Saf. 2018, 161, 409–419. [Google Scholar] [CrossRef] [PubMed]
- Břendová, K.; Zemanová, V.; Pavlíková, D.; Tlustoš, P. Utilization of biochar and activated carbon to reduce Cd, Pb and Zn phytoavailability and phytotoxicity for plants. J. Environ. Manage. 2016, 181, 637–645. [Google Scholar] [CrossRef] [PubMed]
- Li, T.; Lü, S.; Zhang, S.; Gao, C.; Liu, M. Lignin-based multifunctional fertilizer for immobilization of Pb (II) in contaminated soil. J. Taiwan Inst. Chem. Eng. 2018, 91, 643–652. [Google Scholar] [CrossRef]
- Yan, M.; Li, Z. Microwave-assisted functionalized lignin with dithiocarbamate for enhancing adsorption of Pb (II). Mater. Lett. 2016, 170, 135–138. [Google Scholar] [CrossRef]
- Yuan, Y.; Chai, L.; Yang, Z.; Yang, W. Simultaneous immobilization of lead, cadmium, and arsenic in combined contaminated soil with iron hydroxyl phosphate. J. soils sediments 2017, 17, 432–439. [Google Scholar] [CrossRef]
- Castaldi, P.; Melis, P.; Silvetti, M.; Deiana, P.; Garau, G. Influence of pea and wheat growth on Pb, Cd, and Zn mobility and soil biological status in a polluted amended soil. Geoderma 2009, 151, 241–248. [Google Scholar] [CrossRef]
- Di Toppi, L.S.; Gabbrielli, R. Response to cadmium in higher plants. Environ. Exp. Bot. 1999, 41, 105–130. [Google Scholar] [CrossRef]
- Singh, A.; Agrawal, M.; Marshall, F.M. The role of organic vs. inorganic fertilizers in reducing phytoavailability of heavy metals in a wastewater-irrigated area. Ecol. Eng. 2010, 36, 1733–1740. [Google Scholar] [CrossRef]
- Guo, G.; Lei, M.; Chen, T.; Yang, J. Evaluation of different amendments and foliar fertilizer for immobilization of heavy metals in contaminated soils. J. soils sediments 2018, 18, 239–247. [Google Scholar] [CrossRef]
- El-Banna, M.F.; Mosa, A.; Gao, B.; Yin, X.; Ahmad, Z.; Wang, H. Sorption of lead ions onto oxidized bagasse-biochar mitigates Pb-induced oxidative stress on hydroponically grown chicory: Experimental observations and mechanisms. Chemosphere 2018, 208, 887–898. [Google Scholar] [CrossRef] [PubMed]
- Shahbaz, A.K.; Lewińska, K.; Iqbal, J.; Ali, Q.; Iqbal, M.; Abbas, F.; Tauqeer, H.M.; Ramzani, P.M.A. Improvement in productivity, nutritional quality, and antioxidative defense mechanisms of sunflower (Helianthus annuus L.) and maize (Zea mays L.) in nickel contaminated soil amended with different biochar and zeolite ratios. J. Environ. Manage. 2018, 218, 256–270. [Google Scholar] [CrossRef] [PubMed]
- Joseph, S.; Husson, O.; Graber, E.R.; Van Zwieten, L.; Taherymoosavi, S.; Thomas, T.; Nielsen, S.; Ye, J.; Pan, G.; Chia, C. The electrochemical properties of biochars and how they affect soil redox properties and processes. Agronomy 2015, 5, 322–340. [Google Scholar] [CrossRef]
- Mukherjee, A.; Lal, R. Biochar impacts on soil physical properties and greenhouse gas emissions. Agronomy 2013, 3, 313–339. [Google Scholar] [CrossRef]
- Shaheen, S.M.; Rinklebe, J.; Selim, M.H. Impact of various amendments on immobilization and phytoavailability of nickel and zinc in a contaminated floodplain soil. Int. J. Environ. Sci. Technol. 2015, 12, 2765–2776. [Google Scholar] [CrossRef]
- Mehmood, S.; Saeed, D.A.; Rizwan, M.; Khan, M.N.; Aziz, O.; Bashir, S.; Ibrahim, M.; Ditta, A.; Akmal, M.; Mumtaz, M.A. Impact of different amendments on biochemical responses of sesame (Sesamum indicum L.) plants grown in lead-cadmium contaminated soil. Plant Physiol. Biochem. 2018, 132, 345–355. [Google Scholar] [CrossRef]
- Turan, V.; Ramzani, P.M.A.; Ali, Q.; Abbas, F.; Iqbal, M.; Irum, A.; Khan, W.-D. Alleviation of nickel toxicity and an improvement in zinc bioavailability in sunflower seed with chitosan and biochar application in pH adjusted nickel contaminated soil. Arch. Agron. Soil Sci. 2018, 64, 1053–1067. [Google Scholar] [CrossRef]
- Zhou, Q.; Lin, L.; Qiu, W.; Song, Z.; Liao, B. Supplementation with ferromanganese oxide–impregnated biochar composite reduces cadmium uptake by indica rice (Oryza sativa L.). J. Clean. Prod. 2018, 184, 1052–1059. [Google Scholar] [CrossRef]
- Kabata-Pendias, A. Trace Elements in Soils and Plants; CRC Press, Taylor and Francis Group: Boca Raton, FL, USA, 2011. [Google Scholar]
- Li, H.; Dong, X.; da Silva, E.B.; de Oliveira, L.M.; Chen, Y.; Ma, L.Q. Mechanisms of metal sorption by biochars: biochar characteristics and modifications. Chemosphere 2017, 178, 466–478. [Google Scholar] [CrossRef]
- McLean, E.O. Soil pH and lime requirement. Methods soil Anal. Part 2. Chem. Microbiol. Prop. 1982, 199–224. [Google Scholar]
- Gee, G.W.; Bauder, J.W. Particle-size analysis 1. Meth. soil Anal. Part 1—Phys. Mineral. Methods 1986, 383–411. [Google Scholar]
- Jackson, M.L. Soil chemical analysis, constable and Co. Ltd. London 1962, 497. [Google Scholar]
- Rhoades, J.D. Cation Exchange Capacity 1. Methods soil Anal. Part 2. Chem. Microbiol. Prop. 1982, 149–157. [Google Scholar]
- Watanabe, F.S.; Olsen, S.R. Test of an ascorbic acid method for determining phosphorus in water and NaHCO3 extracts from soil 1. Soil Sci. Soc. Am. J. 1965, 29, 677–678. [Google Scholar] [CrossRef]
- Richards, L.A. Diagnosis and Improvement of Saline and Alkali Soils; LWW: Philadelphia, PA, USA, 1954; Volume 78, ISBN 0038-075X. [Google Scholar]
- Allison, L.E.; Moodie, C.D. Carbonate. Methods Soil Anal. Part 2. Chem. Microbiol. Prop. 1965, 1379–1396. [Google Scholar]
- Lindsay, W.L.; Norvell, W.A. Development of a DTPA soil test for zinc, iron, manganese, and copper 1. Soil Sci. Soc. Am. J. 1978, 42, 421–428. [Google Scholar] [CrossRef]
- Nejad, Z.D.; Jung, M.C. The effects of biochar and inorganic amendments on soil remediation in the presence of hyperaccumulator plant. Int. J. Energy Environ. Eng. 2017, 8, 317–329. [Google Scholar] [CrossRef]
- Jones Jr, J.B.; Case, V.W. Sampling, handling and analyzing plant tissue samples. Sampling, Handl. Anal. Plant Tissue Samples. 1990, 389–427. [Google Scholar]
- Hiscox, J.D.; Israelstam, G.F. A method for the extraction of chlorophyll from leaf tissue without maceration. Can. J. Bot. 1979, 57, 1332–1334. [Google Scholar] [CrossRef]
- El-Shabrawi, H.; Kumar, B.; Kaul, T.; Reddy, M.K.; Singla-Pareek, S.L.; Sopory, S.K. Redox homeostasis, antioxidant defense, and methylglyoxal detoxification as markers for salt tolerance in Pokkali rice. Protoplasma 2010, 245, 85–96. [Google Scholar] [CrossRef]
- Aebi, H. [13] Catalase in vitro. In Methods in Enzymology; Elsevier: Amsterdam, The Netherlands, 1984; Volume 105, pp. 121–126. ISBN 0076-6879. [Google Scholar]
- Nakano, Y.; Asada, K. Hydrogen peroxide is scavenged by ascorbate-specific peroxidase in spinach chloroplasts. Plant cell Physiol. 1981, 22, 867–880. [Google Scholar]
- Jambunathan, N. Determination and detection of reactive oxygen species (ROS), lipid peroxidation, and electrolyte leakage in plants. In Plant Stress Tolerance; Springer: Berlin, Germany, 2010; pp. 291–297. [Google Scholar]
- Velikova, V.; Yordanov, I.; Edreva, A. Oxidative stress and some antioxidant systems in acid rain-treated bean plants: protective role of exogenous polyamines. Plant Sci. 2000, 151, 59–66. [Google Scholar] [CrossRef]
- Yang, H.; Wu, F.; Cheng, J. Reduced chilling injury in cucumber by nitric oxide and the antioxidant response. Food Chem. 2011, 127, 1237–1242. [Google Scholar] [CrossRef] [PubMed]
- Nahar, K.; Rahman, M.; Hasanuzzaman, M.; Alam, M.M.; Rahman, A.; Suzuki, T.; Fujita, M. Physiological and biochemical mechanisms of spermine-induced cadmium stress tolerance in mung bean (Vigna radiata L.) seedlings. Environ. Sci. Pollut. Res. 2016, 23, 21206–21218. [Google Scholar] [CrossRef]
- Bradford, M.M. A rapid and sensitive method for the quantitation of microgram quantities of protein utilizing the principle of protein-dye binding. Anal. Biochem. 1976, 72, 248–254. [Google Scholar] [CrossRef]
- Horwitz, W.; Chichilo, P.; Reynolds, H. Official methods of analysis of the Association of Official Analytical Chemists. Off. methods Anal. Assoc. Off. Anal. Chem. 1970. [Google Scholar]
- Singleton, V.L.; Orthofer, R.; Lamuela-Raventós, R.M. [14] Analysis of total phenols and other oxidation substrates and antioxidants by means of folin-ciocalteu reagent. In Methods in Enzymology; Elsevier: Amsterdam, The Netherlands, 1999; Volume 299, pp. 152–178. ISBN 0076-6879. [Google Scholar]
- Salazar, M.J.; Pignata, M.L. Lead accumulation in plants grown in polluted soils. Screening of native species for phytoremediation. J. Geochemical Explor. 2014, 137, 29–36. [Google Scholar] [CrossRef]




| Treatments | Growth Parameters | Chlorophyll Contents | Pb Translocation | Pb Contents | ||||||||
|---|---|---|---|---|---|---|---|---|---|---|---|---|
| Shoot DW (g pot−1) | Root DW (g pot−1) | Grain DW (g pot−1) | Plant Height (cm plant−1) | RWC (%) | Chl a (mg g−1 FW) | Chl b (mg g−1 FW) | TF | BCF | Shoot (mg kg−1) | Root (mg kg−1) | Grain (mg kg−1) | |
| Control | 3.3 ± 0.1 e | 1.3 ± 0.0 e | 1.3 ± 0.0 d | 47.5 ± 1.7 d | 60.7 ± 2.2 d | 32.5 ± 1.2 e | 26.9 ± 1.0 d | 0.432 ± 0.02 a | 0.37 ± 0.01 a | 1.21 ± 0.02 b | 1.08 ± 0.02 cd | 0.16 ± 0.001 a |
| BN 5% | 4.7 ± 0.2 b | 1.7 ± 0.1 b | 1.8 ± 0.1 ab | 64.3 ± 2.3 ab | 73.4 ± 2.7 ab | 47.5 ± 1.7 b | 40.9 ± 1.5 ab | 0.339 ± 0.01 d | 0.22 ± 0.01 d | 1.04 ± 0.02 c | 1.13 ± 0.02 c | 0.10 ± 0.001 d |
| BR 2% | 5.4 ± 0.2 a | 2.0 ± 0.1 a | 1.7 ± 0.1 a | 70.9 ± 2.6 a | 78.8 ± 2.9 a | 56.0 ± 2.0 a | 48.5 ± 1.8 a | 0.361 ± 0.01 bc | 0.27 ± 0.01 bc | 1.45 ± 0.03 a | 1.49 ± 0.03 a | 0.11 ± 0.001 c |
| LN 2% | 4.4 ± 0.2 bc | 1.6 ± 0.1 be | 1.6 ± 0.1 bc | 59.8 ± 2.2 bc | 69.6 ± 2.5 bc | 44.0 ± 1.6 bc | 38.6 ± 1.4 bc | 0.379 ± 0.01 b | 0.28 ± 0.01 b | 1.24 ± 0.02 b | 1.21 ± 0.02 b | 0.12 ± 0.001 b |
| CM 0.5% | 3.8 ± 0.1 d | 1.4 ± 0.1 de | 1.5 ± 0.1 c | 53.4 ± 1.9 cd | 64.0 ± 2.3 cd | 37.6 ± 1.4 d | 30.4 ± 1.1 d | 0.360 ± 0.01 cd | 0.24 ± 0.01 cd | 0.94 ± 0.02 d | 0.95 ± 0.02 e | 0.09 ± 0.001 e |
| FeHp 2% | 4.2 ± 0.2 cd | 1.5 ± 0.1 cd | 1.6 ± 0.1 bc | 57.4 ± 2.1 c | 67.1 ± 2.4 bcd | 41.8 ± 1.5 cd | 35.1 ± 1.3 c | 0.371 ± 0.01 bcd | 0.26 ± 0.01 bcd | 1.08 ± 0.02 c | 1.04 ± 0.02 d | 0.10 ± 0.001 d |
| SDW | GDW | Chl-a | Chl-b | RWC | DTPA-Pb | S-Pb | G-Pb | TF-S | BCF-S | Prot | Carb | Fat | Fiber | Mn | Zn | PPs | APX | CAT | SOD | DHAR | MDA | H2O2 | O2-ge | |
|---|---|---|---|---|---|---|---|---|---|---|---|---|---|---|---|---|---|---|---|---|---|---|---|---|
| SDW | 1.000 | 5 | ||||||||||||||||||||||
| GDW | 0.852 *** | 1.000 | ||||||||||||||||||||||
| Chl-a | 0.999 *** | 0.845 *** | 1.000 | |||||||||||||||||||||
| Chl-b | 0.994 *** | 0.841 *** | 0.996 *** | 1.000 | ||||||||||||||||||||
| RWC | 0.994 *** | 0.860 *** | 0.996 *** | 0.995 *** | 1.000 | |||||||||||||||||||
| DTPA-Pb | −0.634 ** | −0.837 *** | −0.613 ** | −0.581 ** | −0.593 ** | 1.000 | ||||||||||||||||||
| S-Pb | −0.573 * | −0.839 *** | −0.552 * | −0.513 * | −0.546 * | 0.973 *** | 1.000 | |||||||||||||||||
| G-Pb | −0.631 ** | −0.832 *** | −0.611 ** | −0.573 * | −0.590 * | 0.998 *** | 0.981 *** | 1.000 | ||||||||||||||||
| TF-S | −0.684 ** | −0.894 *** | −0.665 ** | −0.630 ** | −0.663 ** | 0.965 *** | 0.986 *** | 0.972 *** | 1.000 | |||||||||||||||
| BCF-S | −0.590 ** | −0.840 *** | −0.568 * | −0.533 * | −0.561 * | 0.982 *** | 0.995 *** | 0.985 *** | 0.988 *** | 1.000 | ||||||||||||||
| Prot | 0.940 *** | 0.852 *** | 0.934 *** | 0.939 *** | 0.920 *** | −0.743 *** | −0.636 ** | −0.721 *** | −0.723 *** | −0.674 ** | 1.000 | |||||||||||||
| Carb | 0.939 *** | 0.720 *** | 0.939 *** | 0.949 *** | 0.922 *** | −0.553 * | −0.426 ns | −0.531 * | −0.539 * | −0.470 * | 0.964 *** | 1.000 | ||||||||||||
| Fat | 0.949 *** | 0.766 *** | 0.949 *** | 0.963 *** | 0.939 *** | −0.576 ** | −0.460 * | −0.554 * | −0.572 * | −0.502 * | 0.974 *** | 0.996 *** | 1.000 | |||||||||||
| Fiber | 0.949 *** | 0.751 *** | 0.947 *** | 0.948 *** | 0.923 *** | −0.629 ** | −0.504 * | −0.612 ** | −0.605 ** | −0.542 * | 0.976 *** | 0.992 *** | 0.987 *** | 1.000 | ||||||||||
| Mn | 0.723 *** | 0.569 * | 0.722 *** | 0.762 *** | 0.717 *** | −0.434 ns | −0.280 ns | −0.386 ns | −0.379 ns | −0.353 ns | 0.864 *** | 0.896 *** | 0.899 *** | 0.856 *** | 1.000 | |||||||||
| Zn | 0.867 *** | 0.603 ** | 0.874 *** | 0.891 *** | 0.845 *** | −0.422 ns | −0.266 ns | −0.397 ns | −0.367 ns | −0.302 ns | 0.894 *** | 0.960 *** | 0.948 *** | 0.952 *** | 0.853 *** | 1.000 | ||||||||
| PPs | −0.826 *** | −0.827 *** | −0.818 *** | −0.815 *** | −0.786 *** | 0.846 *** | 0.724 *** | 0.823 *** | 0.764 *** | 0.754 *** | −0.947 *** | −0.860 *** | −0.868 *** | −0.901 *** | −0.771 *** | −0.823 *** | 1.000 | |||||||
| APX | 0.891 *** | 0.691 ** | 0.891 *** | 0.904 *** | 0.863 *** | −0.576 ** | −0.423 ns | −0.548 * | −0.517 * | −0.468 * | 0.960 *** | 0.983 *** | 0.976 *** | 0.984 *** | 0.904 *** | 0.976 *** | −0.906 *** | 1.000 | ||||||
| CAT | 0.850 *** | 0.684 ** | 0.849 *** | 0.857 *** | 0.811 *** | −0.633 ** | −0.471 * | −0.606 ** | −0.542 * | −0.510 * | 0.944 *** | 0.944 *** | 0.935 *** | 0.961 *** | 0.856 *** | 0.958 *** | −0.943 *** | 0.986 *** | 1.000 | |||||
| SOD | 0.867 *** | 0.685 ** | 0.868 *** | 0.878 *** | 0.833 *** | −0.594 ** | −0.435 ns | −0.567 * | −0.514 * | −0.472 * | 0.942 *** | 0.955 *** | 0.947 *** | 0.966 *** | 0.860 *** | 0.975 *** | −0.926 *** | 0.991 *** | 0.997 *** | 1.000 | ||||
| DHAR | 0.864 *** | 0.642 ** | 0.867 *** | 0.882 *** | 0.835 *** | −0.518 * | −0.356 ns | −0.491 * | −0.446 ns | −0.396 ns | 0.927 *** | 0.965 *** | 0.954 *** | 0.966 *** | 0.877 *** | 0.991 *** | −0.885 *** | 0.993 *** | 0.987 *** | 0.995 *** | 1.000 | |||
| MDA | −0.833 *** | −0.741*** | −0.831 *** | −0.839 *** | −0.796 *** | 0.706 *** | 0.554 * | 0.677 ** | 0.610 ** | 0.590 ** | −0.948 *** | −0.913 *** | −0.912 *** | −0.937 *** | −0.839 *** | −0.919 *** | 0.975 *** | −0.964 *** | −0.990 *** | -0.983 *** | -0.961 *** | 1.000 | ||
| H2O2 | −0.787 *** | −0.648 ** | −0.787 *** | −0.801 *** | −0.747 *** | 0.612 ** | 0.440 ns | 0.580 ** | 0.497 * | 0.479 * | −0.909 *** | −0.902 *** | −0.894 *** | −0.920 *** | −0.847 *** | −0.939 *** | 0.938 *** | −0.965 *** | −0.992 *** | -0.987 *** | -0.973 *** | 0.990 *** | 1.000 | |
| O2-ge | −0.804 *** | −0.722 *** | −0.802 *** | −0.811 *** | −0.765 *** | 0.700 *** | 0.544 * | 0.671 ** | 0.593 ** | 0.578 ** | −0.928 *** | −0.889 *** | −0.888 *** | −0.916 *** | −0.821 *** | −0.908 *** | 0.972 *** | −0.951 *** | −0.985 *** | -0.976 *** | -0.952 *** | 0.998 *** | 0.992 *** | 1.000 |
| Characteristics | Units | Amount |
|---|---|---|
| Clay | % | 29.7 ± 1.07 |
| Silt | % | 27 ± 0.97 |
| Sand | % | 40.3 ± 0.80 |
| Organic matter content (OMC) | % | 0.84 ± 0.03 |
| Bicarbonate (HCO3) | % | 0.17 ± 0.01 |
| pH | - | 8.4 ± 0.30 |
| Cation exchange capacity (CEC) | cmolc kg−1 | 29.2 ± 1.06 |
| Electrical conductivity (EC) | DSm−1 | 3.8 ± 0.14 |
| Content of calcium carbonate (CaCO3) | % | 2.9 ± 0.11 |
| Phosphorus (P) | mg kg−1 | 8.3 ± 0.30 |
| Potassium (K) | mg kg−1 | 81 ± 2.94 |
| Nitrogen (N) | mg kg−1 | 174 ± 6.31 |
| Total Pb | mg kg−1 | 1000 ± 36.2 |
| diethylenetriaminepentaacetic acid (DTPA)-extractable Pb | mg kg−1 | 6.1 ± 0.22 |
| Treatments | Abbreviations | Input Amounts of Both Amendments (g pot−1) |
|---|---|---|
| Control | Control | - |
| Bentonite (5%) | BN | 150 |
| Biochar (2%) | BR | 60 |
| Lignin (2%) | LN | 60 |
| Cement (0.5%) | CM | 15 |
| Iron Hydroxyl phosphate (2%) | FeHP | 60 |
© 2019 by the authors. Licensee MDPI, Basel, Switzerland. This article is an open access article distributed under the terms and conditions of the Creative Commons Attribution (CC BY) license (http://creativecommons.org/licenses/by/4.0/).
Share and Cite
Zulqurnain Haider, M.; Hussain, S.; Muhammad Adnan Ramzani, P.; Iqbal, M.; Iqbal, M.; Shahzad, T.; Fatima, M.; Ali Khan, S.; Khan, I.; Shahid, M.; et al. Bentonite and Biochar Mitigate Pb Toxicity in Pisum sativum by Reducing Plant Oxidative Stress and Pb Translocation. Plants 2019, 8, 571. https://doi.org/10.3390/plants8120571
Zulqurnain Haider M, Hussain S, Muhammad Adnan Ramzani P, Iqbal M, Iqbal M, Shahzad T, Fatima M, Ali Khan S, Khan I, Shahid M, et al. Bentonite and Biochar Mitigate Pb Toxicity in Pisum sativum by Reducing Plant Oxidative Stress and Pb Translocation. Plants. 2019; 8(12):571. https://doi.org/10.3390/plants8120571
Chicago/Turabian StyleZulqurnain Haider, Muhammad, Sabir Hussain, Pia Muhammad Adnan Ramzani, Mutahar Iqbal, Muhammad Iqbal, Tanvir Shahzad, Maryam Fatima, Shahbaz Ali Khan, Imran Khan, Muhammad Shahid, and et al. 2019. "Bentonite and Biochar Mitigate Pb Toxicity in Pisum sativum by Reducing Plant Oxidative Stress and Pb Translocation" Plants 8, no. 12: 571. https://doi.org/10.3390/plants8120571
APA StyleZulqurnain Haider, M., Hussain, S., Muhammad Adnan Ramzani, P., Iqbal, M., Iqbal, M., Shahzad, T., Fatima, M., Ali Khan, S., Khan, I., Shahid, M., Ibrahim, M., Tanzeem Ull Haq, H. S., & Mahmood, F. (2019). Bentonite and Biochar Mitigate Pb Toxicity in Pisum sativum by Reducing Plant Oxidative Stress and Pb Translocation. Plants, 8(12), 571. https://doi.org/10.3390/plants8120571

