Sugar–Acetic Acid–Ethanol–Water Mixture as a Potent Attractant for Trapping the Oriental Fruit Moth (Lepidoptera: Tortricidae) in Peach–Apple Mixed-Planting Orchards
Abstract
1. Introduction
2. Results
2.1. Monitoring of Adult Moths by SAEWM- and Sex-Pheromone-Baited Traps
2.1.1. Seasonal Flight of OFM
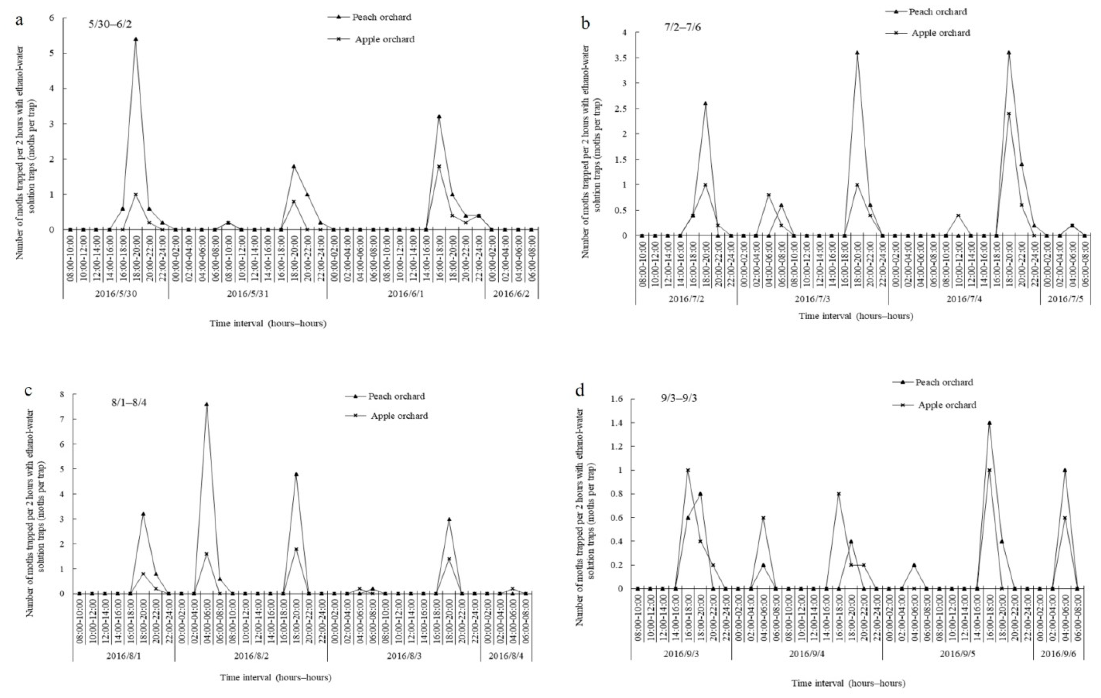
2.1.2. Diurnal Flight of OFM
2.2. Effect of Trap Hanging Heights on Sex Ratio of OFM Adults Trapped
2.3. Effects of SAEWM on Coccinellidae and Chrysopidae
3. Discussion
3.1. Monitoring of OFM by SAEWM
3.2. Trapping Effects of SAEWM on OFM
3.3. Trapping Effects of SAEWM on Coccinellidae and Chrysopidae
3.4. Effect of SAEWM on Ratio of Natural Enemies/Pests
4. Materials and Methods
4.1. Materials
4.2. Experimental Methods
4.2.1. Trap Deployment
4.2.2. Seasonal Flight of OFM
4.2.3. Diurnal Flight of OFM
4.2.4. Trapping Natural Enemies
4.2.5. Data Analysis
5. Conclusions
Author Contributions
Funding
Conflicts of Interest
References
- Lu, P.F.; Huang, L.Q.; Wang, C.Z. Identification and Field Evaluation of Pear Fruit Volatiles Attractive to the Oriental Fruit Moth, Cydia moleata. J. Chem. Ecol. 2012, 38, 1003–1016. [Google Scholar] [CrossRef] [PubMed]
- Piskorski, R.; Ineichen, S.; Dorn, S. Ability of the oriental fruit moth Grapholita molesta (Lepidoptera: Tortricidae) to detoxify juglone, the main secondary metabolite of the non-host plant walnut. J. Chem. Ecol. 2011, 37, 1110–1116. [Google Scholar] [CrossRef] [PubMed]
- Hern, A.; Dorn, S. Sexual dimorphism in the olfactory orientation of adult Cydia pomonella in response to α-farnesene. Entomol. Exp. Appl. 1999, 92, 63–72. [Google Scholar] [CrossRef]
- Najar-Rodriguez, A.; Orschel, B.; Dorn, S. Season-long volatile emissions from peach and pear trees in situ, overlapping profiles, and olfactory attraction of an oligophagous fruit moth in the laboratory. J. Chem. Ecol. 2013, 39, 418–429. [Google Scholar] [CrossRef] [PubMed]
- Notter-Hausmann, C.; Dorn, S. Relationship between behavior and physiology in an invasive pest species: Oviposition site selection and temperature-dependent development of the oriental fruit moth (Lepidoptera: Tortricidae). Environ. Entomol. 2010, 39, 561–569. [Google Scholar] [CrossRef] [PubMed]
- Damos, P.; Colomar, L.A.; Ioriatti, C. Integrated fruit production and pest management in Europe: The apple case study and how far we are from the original concept? Insects 2015, 6, 626–657. [Google Scholar] [CrossRef] [PubMed]
- Stelinski, L.L.; Miller, J.R.; Rogers, M.E. Mating disruption of citrus leafminer mediated by a noncompetitive mechanism at a remarkably low pheromone release rate. J. Chem. Ecol. 2008, 34, 1107–1113. [Google Scholar] [CrossRef] [PubMed]
- Brunner, J.; Welter, S.; Calkins, C.; Hilton, R.; Beers, E.; Dunley, J.; Unruh, T.; Knight, A.; Van steenwyk, R.; Van buskirk, P. Mating disruption of codling moth: A perspective from the Western United States. IOBC/WPRS Bulletin 2002, 25, 11–20. [Google Scholar]
- Cork, A.; Alam, S.N.; Rouf, F.M.; Talekar, N.S. Development of mass trapping technique for control of brinjal shoot and fruit borer, Leucinodes orbonalis (Lepidoptera: Pyralidae). Bull. Entomol. Res. 2005, 95, 589–596. [Google Scholar] [CrossRef]
- El-Sayed, A.M.; Suckling, D.M.; Wearing, C.H.; Byers, J.A. Potential of mass trapping for long-term pest management and eradication of invasive species. J. Econ. Entomol. 2006, 99, 1550–1564. [Google Scholar] [CrossRef]
- Witzgall, P.; Kirsch, P.; Cork, A. Sex pheromones and their impact on pest management. J. Chem. Ecol. 2010, 36, 80–100. [Google Scholar] [CrossRef] [PubMed]
- Huang, J.; Gut, L.J.; Grieshop, M. Development of a new attract-and-kill technology for Oriental fruit moth control using insecticide-impregnated fabric. Entomol. Exp. Appl. 2015, 154, 102–109. [Google Scholar] [CrossRef]
- Morais, R.M.D.; Ana, J.S.; Redaelli, L.R.; Lorscheiter, R. Effects of aging and polygamy on the reproductive performance of Grapholita molesta (Lepidoptera: Tortricidae). Rev. Colomb. Entomol. 2011, 37, 67–70. [Google Scholar]
- Knight, A.L.; Hilton, R.; Basoalto, E.; Stelinski, L.L. Use of glacial acetic acid to enhance bisexual monitoring of Tortricid pests with kairomone lures in pome fruits. Environ. Entomol. 2014, 43, 1628–1640. [Google Scholar] [CrossRef] [PubMed]
- Mujica, V.; Preti, M.; Basoalto, E.; Cichon, L.; Fuentes-Contreras, E.; Barros-Parada, W.; Krawczyk, G.; Nunes, M.Z.; Walgenbach, J.F.; Hansen, R.; et al. Improved monitoring of oriental fruit moth (Lepidoptera: Tortricidae) with terpinyl acetate plus acetic acid membrane lures. J. Appl. Entomol. 2018, 142, 731–744. [Google Scholar] [CrossRef]
- Natal, D.; Mattiacci, L.; Pasqualini, E.; Dorn, S. Apple and peach fruit volatiles and the apple constituent butyl hexanoate attract female oriental fruit moth, Cydia molesta, in the laboratory. J. Appl. Entomol. 2004, 128, 22–27. [Google Scholar] [CrossRef]
- Zhou, X.H.; Li, L.L.; Zhang, S.C.; Zhang, A.S.; Men, X.Y.; Yu, Y. Review on occurrence regularity and pollution-free control technology of Grapholitha molesta Busck. Shandong Agric. Sci. 2011, 10, 76–81. (In Chinese) [Google Scholar]
- Ellis, N.H. Flight phenology and dispersal of Grapholita molesta (Busck) as affected by rubidium enrichment and orchard hosts. Ph.D. Thesis, The Pennsylvania State University, State College, PA, USA, June 2006. [Google Scholar]
- Kovanci, O.B.; Schal, C.; Walgenbach, F.; Kennedy, G.G. Effects of pheromone loading, dispenser age, and trap height on pheromone trap catches of the oriental fruit moth in apple orchards. Phytoparasit 2006, 34, 252–260. [Google Scholar] [CrossRef]
- Reinke, M.D.; Barrett, B.A. Sublethal exposure to methoxyfenozide-treated surfaces reduces the attractiveness and responsiveness in adult oriental fruit moth (Lepidoptera: Tortricidae). J. Econ. Entomol. 2007, 100, 72–78. [Google Scholar] [CrossRef]
- Ahmad, T.R. Effects of pheromone trap design and placement on capture of almond moth, Cadra cautella (Lepidoptera: Pyralidae). J. Econ. Entomol. 1987, 80, 897–900. [Google Scholar] [CrossRef]
- Foster, S.P.; Ayers, R.H.; Muggleston, S.J. Trapping and sex pheromone-mediated flight and landing behavior of male Ctenopseustis obliquana. Entomol. Exp. et Appl. 2011, 74, 125–135. [Google Scholar] [CrossRef]
- Kong, W.N.; Hu, R.S.; Zhao, Z.G.; Li, J.; Zhang, Z.W.; Li, S.C.; Ma, R.Y. Effects of trap height, location, and spacing on pheromone-baited trap catch efficacy for oriental fruit moths (Lepidoptera: Tortricidae) in a peach orchard. Can. Entomol. 2014, 146, 684–692. [Google Scholar] [CrossRef]
- Rothschild, G.H.L.; Minks, A.K. Some factors influencing the performance of pheromone traps for oriental fruit moth in Australia. Entomol. Exp. Appl. 1977, 22, 171–182. [Google Scholar] [CrossRef]
- Pickett, J.A.; Wadhams, L.J.; Woodcock, C.M. Developing sustainable pest control from chemical ecology. Agric. Ecosyst. & Environ. 1997, 64, 149–156. [Google Scholar]
- Symondson, W.O.C.; Sunderland, K.D.; Greenstone, M.H. Can generalist predators be effective biocontrol agents? Annu. Rev. Entomol. 2002, 47, 561–594. [Google Scholar] [CrossRef] [PubMed]
- Wadhams, L.J.; Birkett, M.A.; Powell, W.; Woodcock, C.M. Aphids, predators and parasitoids. Novartis Found. Symp. 2007, 223, 60–73. [Google Scholar]
- Gentry, C.R.; Beroza, M.; Blythe, J.L. Pecan bud moth: Captures in Georgia in traps baited with the pheromone of the oriental fruit moth. Environ. Entomol. 1975, 4, 227–228. [Google Scholar] [CrossRef]
- Zhang, G.H.; Wu, J.X. Behavioral rhythms of the oriental fruit moth, Grapholita molesta (Busck) (Lepidoptera: Tortricidae). J. Northwest. A&F Univ. (Nat. Sci. Ed.) 2012, 40, 131–135. (In Chinese) [Google Scholar]
- Zhao, Z.G.; Gao, L.H.; Yang, H.J.; Zhang, J.D.; Wang, X.; Ma, R.Y. Research on mating timing rhythm of oriental fruit moth monitored by sex pheromone lure. J. Shanxi Agric. Sci. 2013, 41, 366–368. (In Chinese) [Google Scholar]
- Wu, X.K. Trapping effect of suger-acetic acid-ethanol on the insects in apple orchard. Master’s Thesis, Hebei Agricultural University, Baoding, China, June 2016. (In Chinese). [Google Scholar]




| Orchard Type | Trap Hanging Height (m) | Sex-Pheromone Trap | Sugar–Acetic Acid–Ethanol–Water Solutions Trap | ||||
|---|---|---|---|---|---|---|---|
| Number Trapped (moths·trap–1) | Percentage of OFM Adults Trapped at Each Height (%) | Percentage of Adult Females Trapped at Each Height (%) | Number Trapped (moths·trap–1) | Percentage of OFM Adults Trapped at Each Height (%) | Percentage of Adult Females Trapped at Each Height (%) | ||
| Peach orchard | 0 | 33.50 ± 6.03d | 0.64 | 0.00 | 0.75 ± 0.50d | 0.08 | 100.00 |
| 1 | 330.00 ± 28.23c | 6.27 | 0.30 | 12.75 ± 2.50 d | 1.29 | 88.24 | |
| 1.5 | 999.00 ± 80.61b | 18.99 | 0.50 | 115.75 ± 15.52c | 11.75 | 89.85 | |
| 2 | 1986.75 ± 99.56a | 37.77 | 0.57 | 366.50 ± 34.28b | 37.21 | 94.13 | |
| 2.5 | 1911.00 ± 229.79a | 36.33 | 0.52 | 489.25 ± 22.68a | 49.67 | 93.56 | |
| Apple orchard | 0 | 62.50 ± 6.86e | 1.11 | 0.00 | 0.75 ± 0.96d | 0.09 | 100.00 |
| 1 | 632.50 ± 22.16d | 11.18 | 0.43 | 12.50 ± 2.08d | 1.53 | 84.00 | |
| 1.5 | 1070.25 ± 150.42c | 18.93 | 0.65 | 72.75 ± 5.85c | 8.93 | 87.97 | |
| 2 | 1711.50 ± 137.79b | 30.27 | 0.53 | 259.50 ± 27.23b | 31.84 | 89.88 | |
| 2.5 | 2178.25 ± 223.06a | 38.52 | 0.60 | 469.50 ± 12.15a | 57.61 | 91.85 | |
| Type of Natural Enemy Trapped | Trap Hanging Height (m) | Peach Orchard | Apple Orchard | ||
|---|---|---|---|---|---|
| Number Trapped (insects·trap–1) | Percentage of Insects Trapped at Each Height (%) | Number of Trapped (insects·trap–1) | Percentage of Insects Trapped at Each Height (%) | ||
| Coccinellidae insects | 0 | 6.00 ± 2.16 d | 0.92 | 39.75 ± 4.03 d | 2.76 |
| 1 | 61.75 ± 3.30 c | 9.48 | 207.75 ± 3.20 c | 14.45 | |
| 1.5 | 167.75 ± 18.66 b | 25.75 | 342.75 ± 18.98 b | 23.84 | |
| 2 | 238.25 ± 16.72 a | 36.57 | 418.00 ± 18.60 a | 29.07 | |
| 2.5 | 177.75 ± 7.93 b | 27.28 | 429.50 ± 16.54 a | 29.87 | |
| Chrysopidae insects | 0 | 5.25 ± 1.89 d | 0.28 | 21.50 ± 3.51 e | 1.21 |
| 1 | 282.75 ± 6.34 c | 15.22 | 360.50 ± 11.03 d | 20.31 | |
| 1.5 | 554.00 ± 20.05 a | 29.82 | 403.75 ± 13.15 c | 22.75 | |
| 2 | 560.75 ± 19.41 a | 30.18 | 547.25 ± 18.17 a | 30.83 | |
| 2.5 | 455.00 ± 22.41 b | 24.49 | 442.00 ± 18.67 b | 24.90 | |
© 2019 by the authors. Licensee MDPI, Basel, Switzerland. This article is an open access article distributed under the terms and conditions of the Creative Commons Attribution (CC BY) license (http://creativecommons.org/licenses/by/4.0/).
Share and Cite
Zhai, H.; Yu, X.; Ma, Y.; Zhang, Y.; Wang, D. Sugar–Acetic Acid–Ethanol–Water Mixture as a Potent Attractant for Trapping the Oriental Fruit Moth (Lepidoptera: Tortricidae) in Peach–Apple Mixed-Planting Orchards. Plants 2019, 8, 401. https://doi.org/10.3390/plants8100401
Zhai H, Yu X, Ma Y, Zhang Y, Wang D. Sugar–Acetic Acid–Ethanol–Water Mixture as a Potent Attractant for Trapping the Oriental Fruit Moth (Lepidoptera: Tortricidae) in Peach–Apple Mixed-Planting Orchards. Plants. 2019; 8(10):401. https://doi.org/10.3390/plants8100401
Chicago/Turabian StyleZhai, Hao, Xianmei Yu, Yanan Ma, Yong Zhang, and Dan Wang. 2019. "Sugar–Acetic Acid–Ethanol–Water Mixture as a Potent Attractant for Trapping the Oriental Fruit Moth (Lepidoptera: Tortricidae) in Peach–Apple Mixed-Planting Orchards" Plants 8, no. 10: 401. https://doi.org/10.3390/plants8100401
APA StyleZhai, H., Yu, X., Ma, Y., Zhang, Y., & Wang, D. (2019). Sugar–Acetic Acid–Ethanol–Water Mixture as a Potent Attractant for Trapping the Oriental Fruit Moth (Lepidoptera: Tortricidae) in Peach–Apple Mixed-Planting Orchards. Plants, 8(10), 401. https://doi.org/10.3390/plants8100401

