Valorization of Bayberry (Morella rubra) Leaf By-Products: Impact of Growth Stage and Drying Method on Phytochemical Profile and Potential as Functional Food Ingredients
Abstract
1. Introduction
2. Results
2.1. Morphological Characteristics and Colorimetric Properties of BL at Different Growth Stages
2.2. Effect of Extraction Solvent on TPC and MR Content
2.3. Variations in Bioactive Compounds, Antioxidant Capacities, and Mineral Profiles Across Leaf Growth Stages
2.4. LC-MS/MS Profiling of Phenolic Compounds in BL
2.5. GC-MS Profiling of Volatile Compounds Across Growth Stages
2.6. Effect of Drying Methods on the Appearance and Microstructure of NL
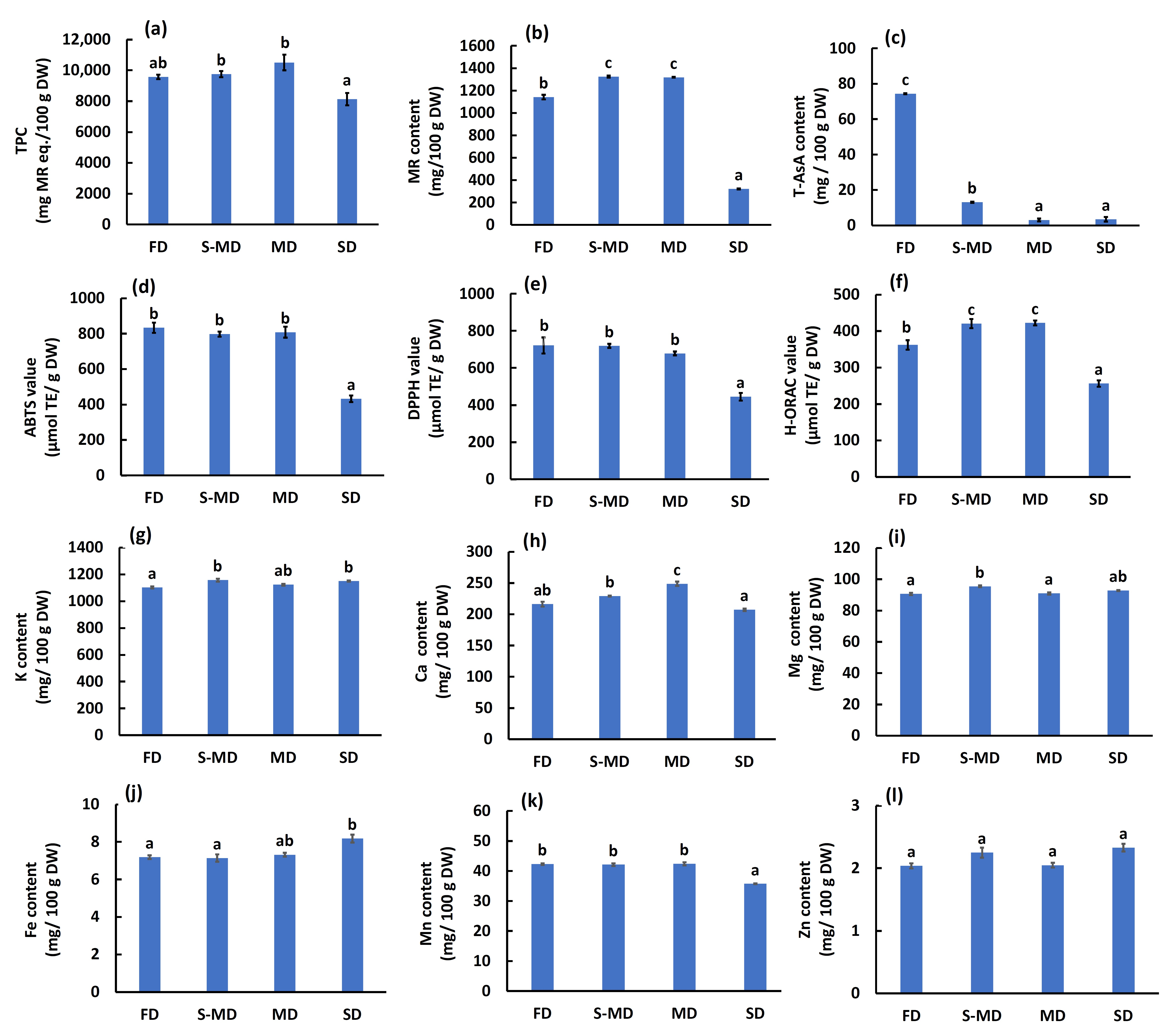
2.7. Effect of Drying Methods on Chemical Composition, Antioxidant Activities, and Mineral Content
2.8. Effect of Drying Methods on Volatile Profiles
3. Discussion
3.1. Evaluation of Leaf Quality Based on Appearance and Color
3.2. Optimization of Extraction Solvents for Maximizing Bioactive Compound Recovery
3.3. Nutritional Assessment and Selection of Optimal Harvest Stage Based on Functional Components of BL
3.4. Identification and Metabolic Changes in Phenolic Compounds During Leaf Maturation
3.4.1. Myricetin Derivatives
3.4.2. Catechin Derivatives
3.4.3. Quercetin Derivatives
3.4.4. Presumed Kaempferol Derivatives
3.5. Dynamic Changes in Volatile Profiles and Mechanisms of Accumulation Without Glandular Trichomes
3.5.1. Reported Biological Activities of Identified Volatile Compounds
3.5.2. Biosynthetic Mechanisms in Early Development
3.6. Impact of Drying Processes on Tissue Integrity and Quality Attributes
3.7. The Trade-Off Between Compound Stability and Extractability in Drying Processes
3.8. Mechanisms of Volatile Retention and Enzymatic Transformation During Drying
4. Materials and Methods
4.1. Plant Materials
4.2. Color Measurement
4.3. SEM
4.4. Preparation of Leaf Extracts
4.4.1. Optimization of Extraction Efficiency Based on Solvent Composition
4.4.2. Comparative Analysis of Antioxidant Components and Properties Across Growth Stages
4.4.3. Evaluation of Processed Leaf Teas
4.5. Quantitative Analysis of MR via HPLC
4.6. Determination of TPC
4.7. H-ORAC Assay
4.8. ABTS Radical Scavenging Assay
4.9. Determination of Total Ascorbic Acid Content
4.10. UHPLC-ESI-MS/MS Analysis of Flavonoids
4.11. Analysis of Mineral Composition
4.12. Analysis of Volatile Compounds via GC-MS
4.13. Statistical Analysis
5. Conclusions
Author Contributions
Funding
Data Availability Statement
Acknowledgments
Conflicts of Interest
Abbreviations
| AAPH | 2,2′-Azobis(2-amidinopropane) dihydrochloride |
| ABTS | 2,2′-Azino-bis(3-ethylbenzothiazoline-6-sulfonic acid) |
| BL | Bayberry leaves |
| DPPH | 2,2-Diphenyl-1-picrylhydrazyl |
| DTT | Dithiothreitol |
| DW | Dry weight |
| (E)GC | (epi)gallocatechin |
| (E)GCG | (epi)gallocatechin gallate |
| EtOH | Ethanol |
| FD | Freeze-drying |
| GC-MS | Gas chromatography-mass spectrometry |
| H-ORAC | Hydrophilic oxygen radical absorbance capacity |
| HPLC | High-performance liquid chromatography |
| HS-SPME | Headspace solid-phase microextraction |
| HW | Hot water |
| ICP-MS | Inductively coupled plasma mass spectrometry |
| MD | Mechanical drying |
| MR | Myricitrin |
| NL | New leaves |
| OL | Old leaves |
| RB | Red buds |
| RT | Retention time |
| SD | Shade drying |
| SEM | Scanning electron microscopy |
| S-MD | Steaming followed by mechanical drying |
| T-AsA | Total ascorbic acid |
| TE | Trolox equivalents |
| TIC | Total ion chromatograms |
| TPC | Total phenolic content |
| UHPLC-ESI-MS/MS | Ultra-high-performance liquid chromatography-electrospray ionization tandem mass spectrometry |
| W | Water |
References
- Ren, H.; Yu, H.; Zhang, S.; Liang, S.; Zheng, X.; Zhang, S.; Yao, P.; Zheng, H.; Qi, X. Genome sequencing provides insights into the evolution and antioxidant activity of Chinese bayberry. BMC Genom. 2019, 20, 458. [Google Scholar] [CrossRef]
- Silva, B.J.; Seca, A.M.; Barreto, M.d.C.; Pinto, D.C. Recent breakthroughs in the antioxidant and anti-inflammatory effects of Morella and Myrica species. Int. J. Mol. Sci. 2015, 16, 17160–17180. [Google Scholar] [CrossRef]
- Zhang, S.; Yu, Z.; Sun, L.; Ren, H.; Zheng, X.; Liang, S.; Qi, X. An overview of the nutritional value, health properties, and future challenges of Chinese bayberry. PeerJ 2022, 10, e13070. [Google Scholar] [CrossRef] [PubMed]
- Yan, S.; Zhang, X.; Wen, X.; Lv, Q.; Xu, C.; Sun, C.; Li, X. Purification of flavonoids from Chinese bayberry (Morella rubra Sieb. et Zucc.) fruit extracts and α-glucosidase inhibitory activities of different fractionations. Molecules 2016, 21, 1148. [Google Scholar] [CrossRef] [PubMed]
- Liu, Z.; Zhang, J.; Lu, S.; Tang, W.; Zhou, Y.; Quek, S.Y. Effects of different drying methods on phenolic components and in vitro hypoglycemic activities of pulp extracts from two Chinese bayberry (Myrica rubra Sieb. et Zucc.) cultivars. Food Sci. Hum. Wellness 2022, 11, 366–373. [Google Scholar] [CrossRef]
- Ju, J.; Yao, W.; Sun, S.; Guo, Y.; Cheng, Y.; Qian, H.; Xie, Y. Assessment of the antibacterial activity and the main bacteriostatic components from bayberry fruit extract. Int. J. Food Prop. 2018, 21, 1043–1051. [Google Scholar] [CrossRef]
- Zhang, Y.; Chen, S.; Wei, C.; Rankin, G.O.; Ye, X.; Chen, Y.C. Dietary compound proanthocyanidins from Chinese bayberry (Myrica rubra Sieb. et Zucc.) leaves attenuate chemotherapy-resistant ovarian cancer stem cell traits via targeting the Wnt/β-catenin signaling pathway and inducing G1 cell cycle arrest. Food Funct. 2018, 9, 525–533. [Google Scholar] [CrossRef] [PubMed]
- Zhang, Y.; Chen, S.; Wei, C.; Gong, H.; Li, L.; Ye, X. Chemical and Cellular Assays Combined with In Vitro Digestion to Determine the Antioxidant Activity of Flavonoids from Chinese Bayberry (Myrica rubra Sieb. et Zucc.) Leaves. PLoS ONE 2016, 11, e0167484. [Google Scholar] [CrossRef]
- Meyer, E.; Mori, M.A.; Campos, A.C.; Andreatini, R.; Guimarães, F.S.; Milani, H.; de Oliveira, R.M.W. Myricitrin induces antidepressant-like effects and facilitates adult neurogenesis in mice. Behav. Brain Res. 2017, 316, 59–65. [Google Scholar] [CrossRef]
- Pereira, M.; Siba, I.P.; Acco, A.; Correia, D.; Lapa, F.R.; Santos, A.R.; Ruani, A.P.; Pizzolatti, M.G.; Andreatini, R. Myricitrin exhibits antidepressant-like effects and reduces IL-6 hippocampal levels in the chronic mild stress model. Behav. Brain Res. 2022, 429, 113905. [Google Scholar] [CrossRef]
- Fernandez, S.P.; Nguyen, M.; Yow, T.T.; Chu, C.; Johnston, G.A.; Hanrahan, J.R.; Chebib, M. The flavonoid glycosides, myricitrin, gossypin and naringin exert anxiolytic action in mice. Neurochem. Res. 2009, 34, 1867–1875. [Google Scholar] [CrossRef] [PubMed]
- Haw, Y.T.; Sim, Y.Y.; Nyam, K.L. Effect of steam blanching and high temperature drying on the physicochemical properties, antioxidant activities and consumer acceptability of Hibiscus cannabinus leaves tea. J. Food Sci. Technol. 2020, 57, 4588–4598. [Google Scholar] [CrossRef] [PubMed]
- Qu, F.F.; Li, X.H.; Wang, P.Q.; Han, Y.H.; Wu, Y.; Hu, J.H.; Zhang, X.F. Effect of thermal process on the key aroma components of green tea with chestnut-like aroma. J. Sci. Food Agric. 2023, 103, 657–665. [Google Scholar] [CrossRef] [PubMed]
- Sun, C.; Huang, H.; Xu, C.; Li, X.; Chen, K. Biological activities of extracts from Chinese bayberry (Myrica rubra Sieb. et Zucc.): A review. Plant Foods Hum. Nutr. 2013, 68, 97–106. [Google Scholar] [CrossRef]
- Kubick, D.C.; Owen, T.P., Jr. Bulletin No. 38: The Hidden World of Plants: A Scanning Electron Microscope Survey of the Native Plant Collection, Connecticut College Arboretum. 2003. Available online: https://digitalcommons.conncoll.edu/cgi/viewcontent.cgi?article=1038&context=arbbulletins (accessed on 13 February 2026).
- Turkmen, N.; Sari, F.; Velioglu, Y.S. Effects of extraction solvents on concentration and antioxidant activity of black and black mate tea polyphenols determined by ferrous tartrate and Folin–Ciocalteu methods. Food Chem. 2006, 99, 835–841. [Google Scholar] [CrossRef]
- Frempong, T.F.; Boadi, N.O.; Badu, M. Optimization of extraction conditions for polyphenols from the stem bark of Funtumia elastica (Funtum) utilizing response surface methodology. AAS Open Res. 2021, 4, 46. [Google Scholar] [CrossRef]
- Lee, S.-G.; Lee, D.; Kang, H. Effect of Extraction Ethanol Concentration on Antioxidant and Anti-Inflammatory Activity of 30-Year-Old and 120-Year-Old Dangyuja (Citrus maxima (Burm.) Merr.). Biomed. Sci. Lett. 2020, 26, 109–113. [Google Scholar] [CrossRef]
- Yang, H.; Ge, Y.; Sun, Y.; Liu, D.; Ye, X.; Wu, D. Identification and characterisation of low-molecular-weight phenolic compounds in bayberry (Myrica rubra Sieb. et Zucc.) leaves by HPLC-DAD and HPLC-UV-ESIMS. Food Chem. 2011, 128, 1128–1135. [Google Scholar] [CrossRef]
- Dai, J.; Mumper, R.J. Plant phenolics: Extraction, analysis and their antioxidant and anticancer properties. Molecules 2010, 15, 7313–7352. [Google Scholar] [CrossRef]
- Spigno, G.; Tramelli, L.; De Faveri, D.M. Effects of extraction time, temperature and solvent on concentration and antioxidant activity of grape marc phenolics. J. Food Eng. 2007, 81, 200–208. [Google Scholar] [CrossRef]
- Cacace, J.; Mazza, G. Mass transfer process during extraction of phenolic compounds from milled berries. J. Food Eng. 2003, 59, 379–389. [Google Scholar] [CrossRef]
- Zou, M.; Tao, W.; Ye, X.; Liu, D. Evaluation of antimicrobial and antibiofilm properties of proanthocyanidins from Chinese bayberry (Myrica rubra Sieb. et Zucc.) leaves against Staphylococcus epidermidis. Food Sci. Nutr. 2019, 8, 139–149. [Google Scholar] [CrossRef]
- Yang, H.; Ye, X.; Liu, D.; Chen, J.; Zhang, J.; Shen, Y.; Yu, D. Characterization of unusual proanthocyanidins in leaves of bayberry (Myrica rubra Sieb. et Zucc.). J. Agric. Food Chem. 2011, 59, 1622–1629. [Google Scholar] [CrossRef]
- Prior, R.L.; Wu, X.; Schaich, K. Standardized methods for the determination of antioxidant capacity and phenolics in foods and dietary supplements. J. Agric. Food Chem. 2005, 53, 4290–4302. [Google Scholar] [CrossRef] [PubMed]
- Ministry of Health, Labour and Welfare. The Dietary Reference Intakes for Japanese (2020); Ministry of Health, Labour and Welfare: Tokyo, Japan, 2020. Available online: https://www.mhlw.go.jp/content/001151422.pdf (accessed on 13 February 2026).
- Shen, S.; Zhao, M.; Li, C.; Chang, Q.; Liu, X.; Liao, Y.; Pan, R. Study on the material basis of neuroprotection of Myrica rubra bark. Molecules 2019, 24, 2993. [Google Scholar] [CrossRef]
- Li, J.; Wang, H.; Li, J.; Liu, Y.; Ding, H. LC-MS analysis of Myrica rubra extract and its hypotensive effects via the inhibition of GLUT 1 and activation of the NO/Akt/eNOS signaling pathway. RSC Adv. 2020, 10, 5371–5384. [Google Scholar] [CrossRef]
- Liu, Y.; Zhang, X.; Zhan, L.; Xu, C.; Sun, L.; Jiang, H.; Sun, C.; Li, X. LC-Q-TOF-MS characterization of polyphenols from white bayberry fruit and its antidiabetic effect in KK-Ay mice. ACS Omega 2020, 5, 17839–17849. [Google Scholar] [CrossRef]
- Cuyckens, F.; Claeys, M. Mass spectrometry in the structural analysis of flavonoids. J. Mass Spectrom. 2004, 39, 1–15. [Google Scholar] [CrossRef]
- Yu, J.; Zhao, X.; He, Y.; Zhang, Y.; Tang, C. An Innovative Strategy for Untargeted Mass Spectrometry Data Analysis: Rapid Chemical Profiling of the Medicinal Plant Terminalia chebula Using Ultra-High-Performance Liquid Chromatography Coupled with Q/TOF Mass Spectrometry–Key Ion Diagnostics–Neutral Loss Filtering. Molecules 2025, 30, 2451. [Google Scholar] [CrossRef]
- Spínola, V.; Llorent-Martínez, E.J.; Gouveia, S.; Castilho, P.C. Myrica faya: A new source of antioxidant phytochemicals. J. Agric. Food Chem. 2014, 62, 9722–9735. [Google Scholar] [CrossRef] [PubMed]
- Fu, Y.; Qiao, L.; Cao, Y.; Zhou, X.; Liu, Y.; Ye, X. Structural elucidation and antioxidant activities of proanthocyanidins from Chinese bayberry (Myrica rubra Sieb. et Zucc.) leaves. PLoS ONE 2014, 9, e96162. [Google Scholar] [CrossRef]
- Taamalli, A.; Iswaldi, I.; Arráez-Román, D.; Segura-Carretero, A.; Fernández-Gutiérrez, A.; Zarrouk, M. UPLC–QTOF/MS for a Rapid Characterisation of Phenolic Compounds from Leaves of Myrtus communis L. Phytochem. Anal. 2014, 25, 89–96. [Google Scholar] [CrossRef]
- Shakeel, F.; Haq, N.; Alshehri, S.; Ibrahim, M.A.; Elzayat, E.M.; Altamimi, M.A.; Mohsin, K.; Alanazi, F.K.; Alsarra, I.A. Solubility, thermodynamic properties and solute-solvent molecular interactions of luteolin in various pure solvents. J. Mol. Liq. 2018, 255, 43–50. [Google Scholar] [CrossRef]
- Parveen, S.; Bhat, I.U.H.; Bhat, R. Kaempferol and its derivatives: Biological activities and therapeutic potential. Asian Pac. J. Trop. Biomed. 2023, 13, 411–420. [Google Scholar] [CrossRef]
- Özbek, H.; Sever Yilmaz, B. Anti-inflammatory and hypoglycemic activities of alpha-pinene. Acta Pharm. Sci. 2017, 55, 7–14. [Google Scholar] [CrossRef]
- Mollica, F.; Gelabert, I.; Amorati, R. Synergic antioxidant effects of the essential oil component γ-terpinene on high-temperature oil oxidation. ACS Food Sci. Technol. 2022, 2, 180–186. [Google Scholar] [CrossRef]
- Ramalho, T.R.O. Gamma-Terpinene Modulates Acute Inflammatory Response in Mice. Planta Med. 2015, 81, 1248–1254. [Google Scholar] [CrossRef]
- Lanciotti, R.; Belletti, N.; Patrignani, F.; Gianotti, A.; Gardini, F.; Guerzoni, M.E. Application of hexanal,(E)-2-hexenal, and hexyl acetate to improve the safety of fresh-sliced apples. J. Agric. Food Chem. 2003, 51, 2958–2963. [Google Scholar] [CrossRef] [PubMed]
- Balahbib, A.; El Omari, N.; Hachlafi, N.E.; Lakhdar, F.; El Menyiy, N.; Salhi, N.; Mrabti, H.N.; Bakrim, S.; Zengin, G. Health beneficial and pharmacological properties of p-cymene. Food Chem. Toxicol. 2021, 153, 112259. [Google Scholar] [CrossRef]
- Li, Q.; Zhu, X.; Xie, Y.; Liang, J. Antifungal properties and mechanisms of three volatile aldehydes (octanal, nonanal and decanal) on Aspergillus flavus. Grain Oil Sci. Technol. 2021, 4, 131–140. [Google Scholar] [CrossRef]
- Okhale, S.E.; Ugbabe, G.E.; Oladosu, P.O.; Ibrahim, J.A.; Egharevba, H.O.; Kunle, O.F.; Elisha, E.P.; Chibuike, A.J.; Ezem, S.U. Chemical constituents and antimicrobial activity of the leaf essential oil of Ixora coccinea L. (Rubiaceae) collected from North Central Nigeria. Int. J. Bioassays 2018, 7, 5630–5637. [Google Scholar] [CrossRef]
- Guo, Y.; Zhang, T.; Zhong, J.; Ba, T.; Xu, T.; Zhang, Q.; Sun, M. Identification of the volatile compounds and observation of the glandular trichomes in Opisthopappus taihangensis and four species of Chrysanthemum. Plants 2020, 9, 855. [Google Scholar] [CrossRef] [PubMed]
- Chen, J.Y.; Kuruparan, A.; Zamani-Babgohari, M.; Gonzales-Vigil, E. Dynamic changes to the plant cuticle include the production of volatile cuticular wax–derived compounds. Proc. Natl. Acad. Sci. USA 2023, 120, e2307012120. [Google Scholar] [CrossRef] [PubMed]
- Guo, J.; Yuan, Y.; Liu, Z.; Zhu, J. Development and structure of internal glands and external glandular trichomes in Pogostemon cablin. PLoS ONE 2013, 8, e77862. [Google Scholar] [CrossRef]
- Zhou, X.; Chen, X.; Du, Z.; Zhang, Y.; Zhang, W.; Kong, X.; Thelen, J.J.; Chen, C.; Chen, M. Terpenoid esters are the major constituents from leaf lipid droplets of Camellia sinensis. Front. Plant Sci. 2019, 10, 179. [Google Scholar] [CrossRef]
- Wang, L.; Jäggi, S.; Cofer, T.M.; Waterman, J.M.; Walthert, M.; Glauser, G.; Erb, M. Immature leaves are the dominant volatile-sensing organs of maize. Curr. Biol. 2023, 33, 3679–3689. e3673. [Google Scholar] [CrossRef]
- Nowak, D.; Jakubczyk, E. The freeze-drying of foods—The characteristic of the process course and the effect of its parameters on the physical properties of food materials. Foods 2020, 9, 1488. [Google Scholar] [CrossRef]
- Koca, İ.; Lüle, F.; Koyuncu, T. Effect of microwave and hot-air drying techniques on the color properties and specific energy requirement of madimak plants (Polygonum cognatum Meissn.). J. Biol. Environ. Sci. 2018, 12, 123–132. [Google Scholar]
- Li, R.; Shang, H.; Wu, H.; Wang, M.; Duan, M.; Yang, J. Thermal inactivation kinetics and effects of drying methods on the phenolic profile and antioxidant activities of chicory (Cichorium intybus L.) leaves. Sci. Rep. 2018, 8, 9529. [Google Scholar] [CrossRef]
- Chen, Y.; Jiang, Z.; Wu, S.; Cheng, B.; Zhou, L.; Liu, T.; Yu, C. Structure and release function of fragrance glands. Hortic. Res. 2025, 12, uhaf031. [Google Scholar] [CrossRef]
- Chen, M. The tea plant leaf cuticle: From plant protection to tea quality. Front. Plant Sci. 2021, 12, 751547. [Google Scholar] [CrossRef]
- Krakowska-Sieprawska, A.; Kiełbasa, A.; Rafińska, K.; Ligor, M.; Buszewski, B. Modern methods of pre-treatment of plant material for the extraction of bioactive compounds. Molecules 2022, 27, 730. [Google Scholar] [CrossRef]
- Hazrati, S.; Lotfi, K.; Govahi, M.; Ebadi, M.T. A comparative study: Influence of various drying methods on essential oil components and biological properties of Stachys lavandulifolia. Food Sci. Nutr. 2021, 9, 2612–2619. [Google Scholar] [CrossRef]
- Wang, X.; Zeng, L.; Liao, Y.; Zhou, Y.; Xu, X.; Dong, F.; Yang, Z. An alternative pathway for the formation of aromatic aroma compounds derived from L-phenylalanine via phenylpyruvic acid in tea (Camellia sinensis (L.) O. Kuntze) leaves. Food Chem. 2019, 270, 17–24. [Google Scholar] [CrossRef]
- Supriyadi, S.; Nareswari, A.R.; Fitriani, A.; Gunadi, R. Enhancement of Black Tea Aroma by Adding the β-Glucosidase Enzyme during Fermentation on Black Tea Processing. Int. J. Food Sci. 2021, 2021, 5542109. [Google Scholar] [CrossRef] [PubMed]
- Goldstein, J.L.; Swain, T. Changes in tannins in ripening fruits. Phytochemistry 1963, 2, 371–383. [Google Scholar] [CrossRef]
- Katsube, T.; Tabata, H.; Ohta, Y.; Yamasaki, Y.; Anuurad, E.; Shiwaku, K.; Yamane, Y. Screening for antioxidant activity in edible plant products: Comparison of low-density lipoprotein oxidation assay, DPPH radical scavenging assay, and Folin–Ciocalteu assay. J. Agric. Food Chem. 2004, 52, 2391–2396. [Google Scholar] [CrossRef]
- Watanabe, J.; Oki, T.; Takebayashi, J.; Yamasaki, K.; Takano-Ishikawa, Y.; Hino, A.; Yasui, A. Method validation by interlaboratory studies of improved hydrophilic oxygen radical absorbance capacity methods for the determination of antioxidant capacities of antioxidant solutions and food extracts. Anal. Sci. 2012, 28, 159–165. [Google Scholar] [CrossRef] [PubMed]
- Aimone, C.; Grillo, G.; Boffa, L.; Giovando, S.; Cravotto, G. Tannin extraction from chestnut wood waste: From lab scale to semi-industrial plant. Appl. Sci. 2023, 13, 2494. [Google Scholar] [CrossRef]
- Lykkesfeldt, J. Determination of ascorbic acid and dehydroascorbic acid in biological samples by high-performance liquid chromatography using subtraction methods: Reliable reduction with tris [2-carboxyethyl] phosphine hydrochloride. Anal. Biochem. 2000, 282, 89–93. [Google Scholar] [CrossRef]
- Odriozola-Serrano, I.; Hernández-Jover, T.; Martín-Belloso, O. Comparative evaluation of UV-HPLC methods and reducing agents to determine vitamin C in fruits. Food Chem. 2007, 105, 1151–1158. [Google Scholar] [CrossRef]
- Nardi, E.P.; Evangelista, F.S.; Tormen, L.; Saint, T.D.; Curtius, A.J.; de Souza, S.S.; Barbosa, F., Jr. The use of inductively coupled plasma mass spectrometry (ICP-MS) for the determination of toxic and essential elements in different types of food samples. Food Chem. 2009, 112, 727–732. [Google Scholar] [CrossRef]
- Li, Y.; Zhang, D.; Huang, Y.; Yuan, S.; Xu, Z. Speciation and Optimization of Multi-Elements Analysis of River Sediment in Shanghai by ICP-MS with Microwave-Assisted Digestion Method. Asian J. Chem. 2015, 27, 808. [Google Scholar] [CrossRef]









Disclaimer/Publisher’s Note: The statements, opinions and data contained in all publications are solely those of the individual author(s) and contributor(s) and not of MDPI and/or the editor(s). MDPI and/or the editor(s) disclaim responsibility for any injury to people or property resulting from any ideas, methods, instructions or products referred to in the content. |
© 2026 by the authors. Licensee MDPI, Basel, Switzerland. This article is an open access article distributed under the terms and conditions of the Creative Commons Attribution (CC BY) license.
Share and Cite
Tsurunaga, Y.; Hara, T.; Oowatari, Y.; Makino, M.; Kasuga, J.; Matsumoto, S. Valorization of Bayberry (Morella rubra) Leaf By-Products: Impact of Growth Stage and Drying Method on Phytochemical Profile and Potential as Functional Food Ingredients. Plants 2026, 15, 945. https://doi.org/10.3390/plants15060945
Tsurunaga Y, Hara T, Oowatari Y, Makino M, Kasuga J, Matsumoto S. Valorization of Bayberry (Morella rubra) Leaf By-Products: Impact of Growth Stage and Drying Method on Phytochemical Profile and Potential as Functional Food Ingredients. Plants. 2026; 15(6):945. https://doi.org/10.3390/plants15060945
Chicago/Turabian StyleTsurunaga, Yoko, Tomoyoshi Hara, Yasuo Oowatari, Masatomo Makino, Junko Kasuga, and Shingo Matsumoto. 2026. "Valorization of Bayberry (Morella rubra) Leaf By-Products: Impact of Growth Stage and Drying Method on Phytochemical Profile and Potential as Functional Food Ingredients" Plants 15, no. 6: 945. https://doi.org/10.3390/plants15060945
APA StyleTsurunaga, Y., Hara, T., Oowatari, Y., Makino, M., Kasuga, J., & Matsumoto, S. (2026). Valorization of Bayberry (Morella rubra) Leaf By-Products: Impact of Growth Stage and Drying Method on Phytochemical Profile and Potential as Functional Food Ingredients. Plants, 15(6), 945. https://doi.org/10.3390/plants15060945

