Diurnal and Phenological Modulation of Canopy Temperature in Wheat Breeding Under Mediterranean Conditions
Abstract
1. Introduction
2. Materials and Methods
2.1. Plant Material and Experimental Setup
2.2. Canopy Temperature
2.3. Environmental Data and Thermal Threshold Definition
2.4. Data Analyses
3. Results
3.1. Diurnal and Seasonal Modulation of Canopy Cooling Across Environments
3.2. Thermal Exposure Patterns and Sensitivity to a Critical Canopy Temperature Threshold
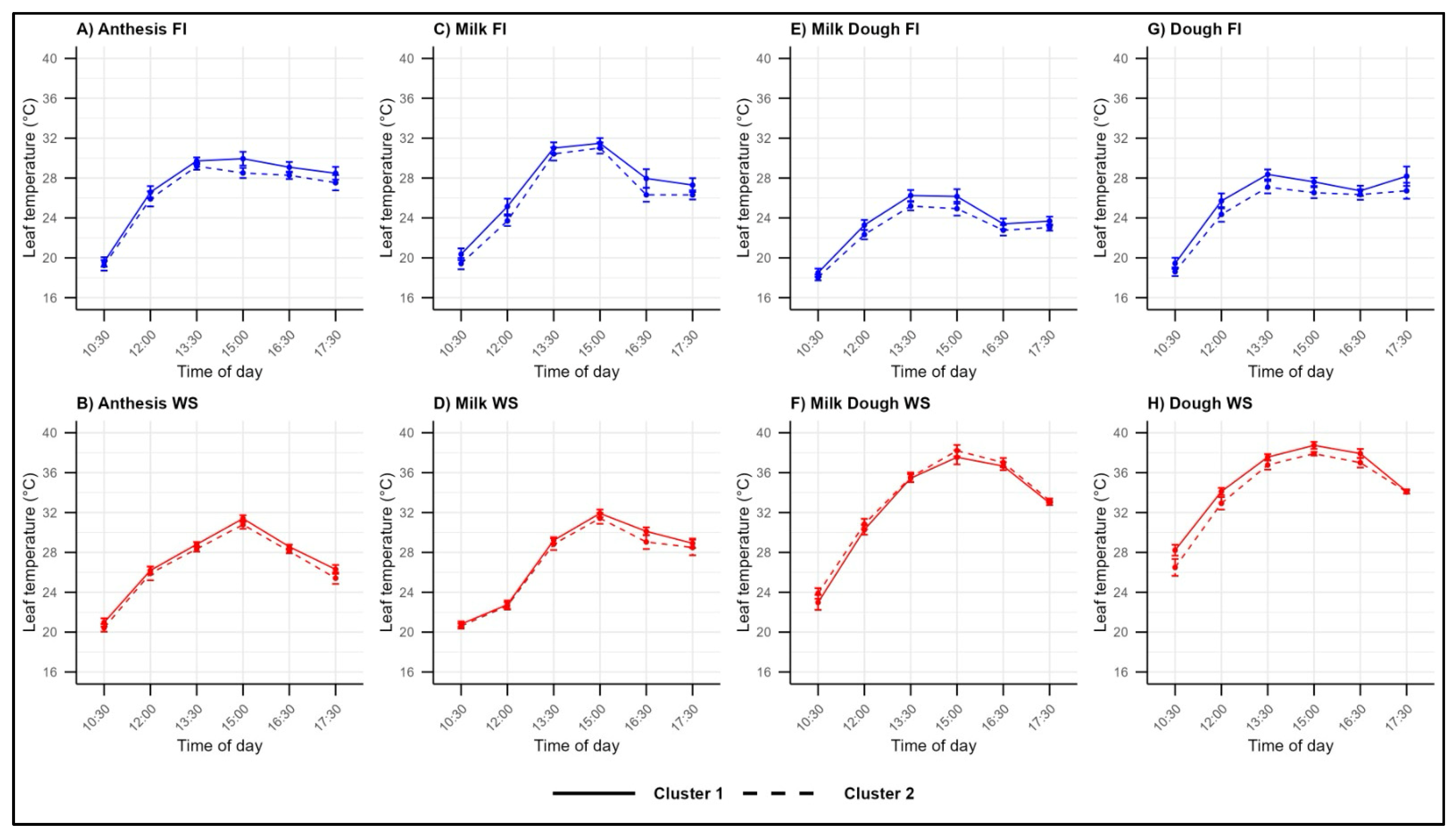
3.3. Dynamic Grouping and Cross-Environment Consistency of Canopy Temperature
4. Discussion
4.1. Canopy Cooling as a Dynamic Phenotype Shaped by Diurnal and Phenological Modulation
4.2. Temporal Heterogeneity of Thermal Exposure and Limited Cross-Environment Consistency
4.3. Dynamic Reclassification of Genotypes and Implications for Phenotypic Interpretation
5. Conclusions
Supplementary Materials
Author Contributions
Funding
Data Availability Statement
Acknowledgments
Conflicts of Interest
References
- Jackson, R.D.; Idso, S.B.; Reginato, R.J.; Pinter, P.J., Jr. Canopy temperature as a crop water stress indicator. Water Resour. Res. 1981, 17, 1133–1138. [Google Scholar] [CrossRef]
- Jones, H.G. Application of thermal imaging and infrared sensing in plant physiology and ecophysiology. Adv. Bot. Res. 2004, 41, 107–163. [Google Scholar] [CrossRef]
- Leinonen, I.; Jones, H.G. Combining thermal and visible imagery for estimating canopy temperature and identifying plant stress. J. Exp. Bot. 2004, 55, 1423–1431. [Google Scholar] [CrossRef]
- Araus, J.L.; Cairns, J.E. Field high-throughput phenotyping: The new crop breeding frontier. Trends Plant Sci. 2014, 19, 52–61. [Google Scholar] [CrossRef]
- Camargo, A.V.; Lobos, G.A. Latin America: A development pole for phenomics. Front. Plant Sci. 2016, 7, 1729. [Google Scholar] [CrossRef]
- Ahrends, H.A.; Haseneder-Lind, R.; Schween, J.H.; Crewell, S.; Stadler, A.; Rascher, U. Diurnal dynamics of wheat evapotranspiration derived from ground-based thermal imagery. Remote Sens. 2014, 6, 9775–9801. [Google Scholar] [CrossRef]
- Qin, W.; Wang, J.; Ma, L.; Wang, F.; Hu, N.; Yang, X.; Xiao, Y.; Zhang, Y.; Sun, Z.; Wang, Z.; et al. UAV-Based multi-temporal thermal imaging to evaluate wheat drought resistance in different deficit irrigation regimes. Remote Sens. 2022, 14, 5608. [Google Scholar] [CrossRef]
- Gano, B.; Bhadra, S.; Li, X.; Giri, A.; Rajan, N.; Schnell, R.W.; Bagavathiannan, M.V. Drone-based imaging sensors, techniques, and applications in plant phenotyping for crop breeding: A comprehensive review. Plant Phenomics 2024, 2024, 20100. [Google Scholar] [CrossRef]
- Amani, I.; Fischer, R.A.; Reynolds, M.P. Canopy temperature depression association with yield of irrigated spring wheat cultivars in a hot climate. J. Agron. Crop Sci. 1996, 176, 119–129. [Google Scholar] [CrossRef]
- Fischer, R.A.; Rees, D.; Sayre, K.D.; Lu, Z.-M.; Condon, A.G.; Larqué Saavedra, A. Wheat yield progress associated with higher stomatal conductance and photosynthetic rate, and cooler canopies. Crop Sci. 1998, 38, 1467–1475. [Google Scholar] [CrossRef]
- Estrada, F.; Flexas, J.; Araus, J.L.; Mora-Poblete, F.; Gonzalez-Talice, J.; Castillo, D.; Matus, I.; Mendez-Espinoza, A.M.; Garriga, M.; Araya-Riquelme, C.; et al. Exploring plant responses to abiotic stress by contrasting spectral signature changes. Front. Plant Sci. 2023, 13, 1026323. [Google Scholar] [CrossRef]
- Romero-Bravo, S.; Méndez-Espinoza, A.M.; Garriga, M.; Estrada, F.; Escobar, A.; González-Martinez, L.; Poblete-Echeverría, C.; Sepúlveda, D.; Matus, I.; Castillo, D.; et al. Thermal imaging reliability for estimating grain yield and carbon isotope discrimination in wheat genotypes: Importance of the environmental conditions. Sensors 2019, 19, 2676. [Google Scholar] [CrossRef]
- Treier, S.; Roth, L.; Hund, A.; Aasen, H.; Levy Häner, L.; Vuille-dit-Bille, N.; Walter, A.; Herrera, J.M. Analysis of variance and its sources in UAV-based multi-view thermal imaging of wheat plots. Plant Phenomics 2025, 7, 100046. [Google Scholar] [CrossRef]
- Perich, G.; Hund, A.; Anderegg, J.; Roth, L.; Boer, M.P.; Walter, A.; Liebisch, F.; Aasen, H. Assessment of multi-image unmanned aerial vehicle-based high-throughput field phenotyping of canopy temperature. Front. Plant Sci. 2020, 11, 150. [Google Scholar] [CrossRef]
- Ma, D.; Rehman, T.U.; Zhang, L.; Maki, H.; Tuinstra, M.R.; Jin, J. Modeling of diurnal changing patterns in airborne crop remote sensing images. Remote Sens. 2021, 13, 1719. [Google Scholar] [CrossRef]
- Balota, M.; Payne, W.A.; Evett, S.R.; Lazar, M.D. Canopy temperature depression sampling to assess grain yield and genotypic differentiation in winter wheat. Crop Sci. 2007, 47, 1518–1529. [Google Scholar] [CrossRef]
- Thapa, S.; Jessup, K.E.; Pradhan, G.P.; Rudd, J.C.; Liu, S.; Mahan, J.R.; Xue, Q. Canopy temperature depression at grain filling correlates to winter wheat yield in the US Southern High Plains. Field Crops Res. 2018, 217, 11–19. [Google Scholar] [CrossRef]
- Schoppach, R.; Sadok, W. Differential sensitivities of transpiration to evaporative demand and soil water deficit among wheat elite cultivars indicate different strategies for drought tolerance. Environ. Exp. Bot. 2012, 84, 1–10. [Google Scholar] [CrossRef]
- Schoppach, R.; Sadok, W. Transpiration sensitivities to evaporative demand and leaf areas vary with night and day warming regimes among wheat genotypes. Funct. Plant Biol. 2013, 40, 708–718. [Google Scholar] [CrossRef]
- Schoppach, R.; Taylor, J.D.; Majerus, E.; Claverie, E.; Baumann, U.; Suchecki, R.; Fleury, D.; Sadok, W. High resolution mapping of traits related to whole-plant transpiration under increasing evaporative demand in wheat. J. Exp. Bot. 2016, 67, 2847–2860. [Google Scholar] [CrossRef] [PubMed]
- Medina, S.; Vicente, R.; Nieto-Taladriz, M.T.; Aparicio, N.; Chairi, F.; Vergara-Diaz, O.; Araus, J.L. The plant-transpiration response to vapor pressure deficit (VPD) in durum wheat is associated with differential yield performance and specific expression of genes involved in primary metabolism and water transport. Front. Plant Sci. 2019, 9, 1994. [Google Scholar] [CrossRef] [PubMed]
- Sinclair, T.R.; Messina, C.D.; Beatty, A.; Samples, M. Assessment across the United States of the benefits of altered soybean drought traits. Agron. J. 2010, 102, 475–482. [Google Scholar] [CrossRef]
- Devi, J.; Sinclair, T.R.; Chen, P.; Carter, T.E. Evaluation of elite southern maturity soybean breeding lines for drought tolerant traits. Agron. J. 2014, 106, 1947–1954. [Google Scholar] [CrossRef]
- Gholipoor, M.; Choudhary, S.; Sinclair, T.R.; Messina, C.D.; Cooper, M. Transpiration response of maize hybrids to atmospheric vapour pressure deficit. J. Agron. Crop Sci. 2012, 199, 155–160. [Google Scholar] [CrossRef]
- Belko, N.; Zaman-Allah, M.; Cisse, N.; Diop, N.N.; Zombre, G.; Ehlers, J.D.; Vadez, V. Lower soil moisture threshold for transpiration decline under water deficit correlates with lower canopy conductance and higher transpiration efficiency in drought-tolerant cowpea. Funct. Plant Biol. 2012, 39, 306–322. [Google Scholar] [CrossRef] [PubMed]
- Gholipoor, M.; Vara-Prasad, P.V.; Mutava, R.N.; Sinclair, T.R. Genetic variability of transpiration response to vapour pressure deficit among sorghum genotypes. Field Crops Res. 2010, 119, 85–90. [Google Scholar] [CrossRef]
- Zaman-Allah, M.; Jenkinson, D.M.; Vadez, V. A conservative pattern of water use, rather than deep or profuse rooting, is critical for the terminal drought tolerance of chickpea. J. Exp. Bot. 2011, 62, 4239–4252. [Google Scholar] [CrossRef]
- Zaman-Allah, M.; Jenkinson, D.M.; Vadez, V. Chickpea genotypes contrasting for seed yield under terminal drought stress in the field differ for traits related to the control of water use. Funct. Plant Biol. 2011, 38, 270–282. [Google Scholar] [CrossRef]
- Koehler, T.; Wankmüller, F.J.P.; Sadok, W.; Carminati, A. Transpiration response to soil drying versus increasing vapor pressure deficit in crops: Physical and physiological mechanisms and key plant traits. J. Exp. Bot. 2023, 74, 4789–4807. [Google Scholar] [CrossRef]
- Moritz, A.; Eckert, A.; Vukasovic, S.; Stahl, A.; Snowdon, R. Physiological phenotyping of transpiration response to vapour pressure deficit in wheat. BMC Plant Biol. 2024, 24, 1032. [Google Scholar] [CrossRef]
- Carrera, C.S.; Savin, R.; Slafer, G.A. Critical period for yield determination across grain crops. Trends Plant Sci. 2024, 29, 329–342. [Google Scholar] [CrossRef]
- Farooq, M.; Bramley, H.; Palta, J.A.; Siddique, K.H.M. Heat stress in wheat during reproductive and grain-filling phases. Crit. Rev. Plant Sci. 2011, 30, 491–507. [Google Scholar] [CrossRef]
- Asseng, S.; Ewert, F.; Martre, P.; Rötter, R.P.; Lobell, D.B.; Cammarano, D.; Kimball, B.A.; Ottman, M.J.; Wall, G.W.; White, J.W.; et al. Rising temperatures reduce global wheat production. Nat. Clim. Chang. 2015, 5, 143–147. [Google Scholar] [CrossRef]
- Yu, Y.; Li, C.; Shen, W.; Yan, L.; Zheng, X.; Yao, Z.; Cui, S.; Cui, C.; Hu, Y.; Yang, M. Correlation study between canopy temperature (CT) and wheat yield and quality based on infrared imaging camera. Plants 2025, 14, 411. [Google Scholar] [CrossRef] [PubMed]
- del Pozo, A.; Yáñez, A.; Matus, I.A.; Tapia, G.; Castillo, D.; Sanchez-Jardón, L.; Araus, J.L. Physiological traits associated with wheat yield potential and performance under water-stress in a Mediterranean environment. Front. Plant Sci. 2016, 7, 987. [Google Scholar] [CrossRef]
- Kelly, J.; Kljun, N.; Olsson, P.-O.; Mihai, L.; Liljebland, B.; Weslien, P.; Klemedtsson, L.; Eklundh, L. Challenges and best practices for deriving temperature data from an uncalibrated UAV thermal infrared camera. Remote Sens. 2019, 11, 567. [Google Scholar] [CrossRef]
- Leinonen, I.; Grant, O.M.; Tagliavia, C.P.P.; Chaves, M.M.; Jones, H.G. Estimating stomatal conductance with thermal imagery. Plant Cell Environ. 2006, 29, 1508–1518. [Google Scholar] [CrossRef]
- Gómez-Candón, D.; Virlet, N.; Labbe, S.; Jolivot, A.; Regnard, J.L. Field phenotyping of water stress at tree scale by UAV-sensed imagery: New insights for thermal acquisition and calibration. Precis. Agric. 2016, 17, 786–800. [Google Scholar] [CrossRef]
- Triggs, B.; McLauchlan, P.F.; Hartley, R.I.; Fitzgibbon, A.W. Bundle adjustment—A modern synthesis. In Vision Algorithms: Theory and Practice; Triggs, B., Zisserman, A., Szeliski, R., Eds.; Springer: Berlin/Heidelberg, Germany, 2000; pp. 298–372. [Google Scholar] [CrossRef]
- Fuentes, S.; de Bei, R.; Pech, J.; Tyerman, S. Computational water stress indices obtained from thermal image analysis of grapevine canopies. Irrig. Sci. 2012, 30, 523–536. [Google Scholar] [CrossRef]
- Otsu, N. A threshold selection method from gray-level histograms. IEEE Trans. Syst. Man Cybern. 1979, 9, 62–66. [Google Scholar] [CrossRef]
- Santini, F.; Kefauver, S.C.; Resco de Dios, V.; Araus, J.L.; Voltas, J. Using unmanned aerial vehicle-based multispectral, RGB and thermal imagery for phenotyping of forest genetic trials: A case study in Pinus halepensis. Ann. Appl. Biol. 2019, 174, 262–276. [Google Scholar] [CrossRef]
- Rousseeuw, P.J. Silhouettes: A graphical aid to the interpretation and validation of cluster analysis. J. Comput. Appl. Math. 1987, 20, 53–65. [Google Scholar] [CrossRef]
- Ayeneh, A.; van Ginkel, M.; Reynolds, M.P.; Ammar, K. Comparison of leaf, spike, peduncle and canopy temperature depression in wheat under heat stress. Field Crops Res. 2002, 79, 173–184. [Google Scholar] [CrossRef]
- Blum, A.; Shpiler, L.; Golan, G.; Mayer, J. Yield stability and canopy temperature of wheat genotypes under drought-stress. Field Crops Res. 1989, 22, 289–296. [Google Scholar] [CrossRef]








| Stage | Location | σ2G × Hour | σ2Residual | Prop. σ2G | Interpretation |
|---|---|---|---|---|---|
| Anthesis | Cauquenes (WS) | 10.42 | 0.312 | 97.1% | Highest WS |
| Anthesis | Chillán (FI) | 12.58 | 0.862 | 93.6% | Highest FI |
| Milk | Cauquenes (WS) | 15.96 | 0.402 | 97.5% | Peak WS |
| Milk | Chillán (FI) | 14.66 | 1.441 | 91.0% | High FI |
| Milk-Dough | Cauquenes (WS) | 23.66 | 0.640 | 97.4% | Absolute peak |
| Milk-Dough | Chillán (FI) | 6.19 | 0.876 | 87.6% | Lowest FI |
| Dough | Cauquenes (WS) | 12.81 | 0.297 | 97.7% | High WS |
| Dough | Chillán (FI) | 9.23 | 1.285 | 87.8% | Moderate FI |
| Random Effect | Variance (σ2)—VPD Slope | Std. Dev. | Interpretation |
|---|---|---|---|
| Genotype (ID) | 7.26 × 10−10 | 2.69 × 10−5 | Negligible—slope homogeneous across genotypes globally |
| Genotype × Environment (Gen_Loc) | 1.49 × 10−5 | 3.86 × 10−3 | Meaningful—genotypic slope depends on environment |
Disclaimer/Publisher’s Note: The statements, opinions and data contained in all publications are solely those of the individual author(s) and contributor(s) and not of MDPI and/or the editor(s). MDPI and/or the editor(s) disclaim responsibility for any injury to people or property resulting from any ideas, methods, instructions or products referred to in the content. |
© 2026 by the authors. Licensee MDPI, Basel, Switzerland. This article is an open access article distributed under the terms and conditions of the Creative Commons Attribution (CC BY) license.
Share and Cite
Flores-Olave, J.; Khan, H.-A.; Pérez, I.; Pacheco, J.; Cares, J.; Araya-Riquelme, C.; Moraga, F.; Matus, I.; Castillo, D.; Inostroza, L.; et al. Diurnal and Phenological Modulation of Canopy Temperature in Wheat Breeding Under Mediterranean Conditions. Plants 2026, 15, 797. https://doi.org/10.3390/plants15050797
Flores-Olave J, Khan H-A, Pérez I, Pacheco J, Cares J, Araya-Riquelme C, Moraga F, Matus I, Castillo D, Inostroza L, et al. Diurnal and Phenological Modulation of Canopy Temperature in Wheat Breeding Under Mediterranean Conditions. Plants. 2026; 15(5):797. https://doi.org/10.3390/plants15050797
Chicago/Turabian StyleFlores-Olave, Jesús, Hamza-Ali Khan, Isadora Pérez, Josefa Pacheco, José Cares, Carlos Araya-Riquelme, Felipe Moraga, Iván Matus, Dalma Castillo, Luis Inostroza, and et al. 2026. "Diurnal and Phenological Modulation of Canopy Temperature in Wheat Breeding Under Mediterranean Conditions" Plants 15, no. 5: 797. https://doi.org/10.3390/plants15050797
APA StyleFlores-Olave, J., Khan, H.-A., Pérez, I., Pacheco, J., Cares, J., Araya-Riquelme, C., Moraga, F., Matus, I., Castillo, D., Inostroza, L., Bravo, M. A., de la Fuente-Mella, H., Ríos-Vásquez, G., del Pozo, A., & Lobos, G. A. (2026). Diurnal and Phenological Modulation of Canopy Temperature in Wheat Breeding Under Mediterranean Conditions. Plants, 15(5), 797. https://doi.org/10.3390/plants15050797

