Genomic Insights into Adaptation of Lagerstroemia suprareticulata to Limestone Karst Habitats
Abstract
1. Introduction
2. Results
2.1. SNP Calling
2.2. Population Structure
2.3. Historical Demography
2.4. Suitable Habitat Distribution
2.5. Selective Sweep Detection
2.6. Genotype–Environment Association (GEA) Analysis
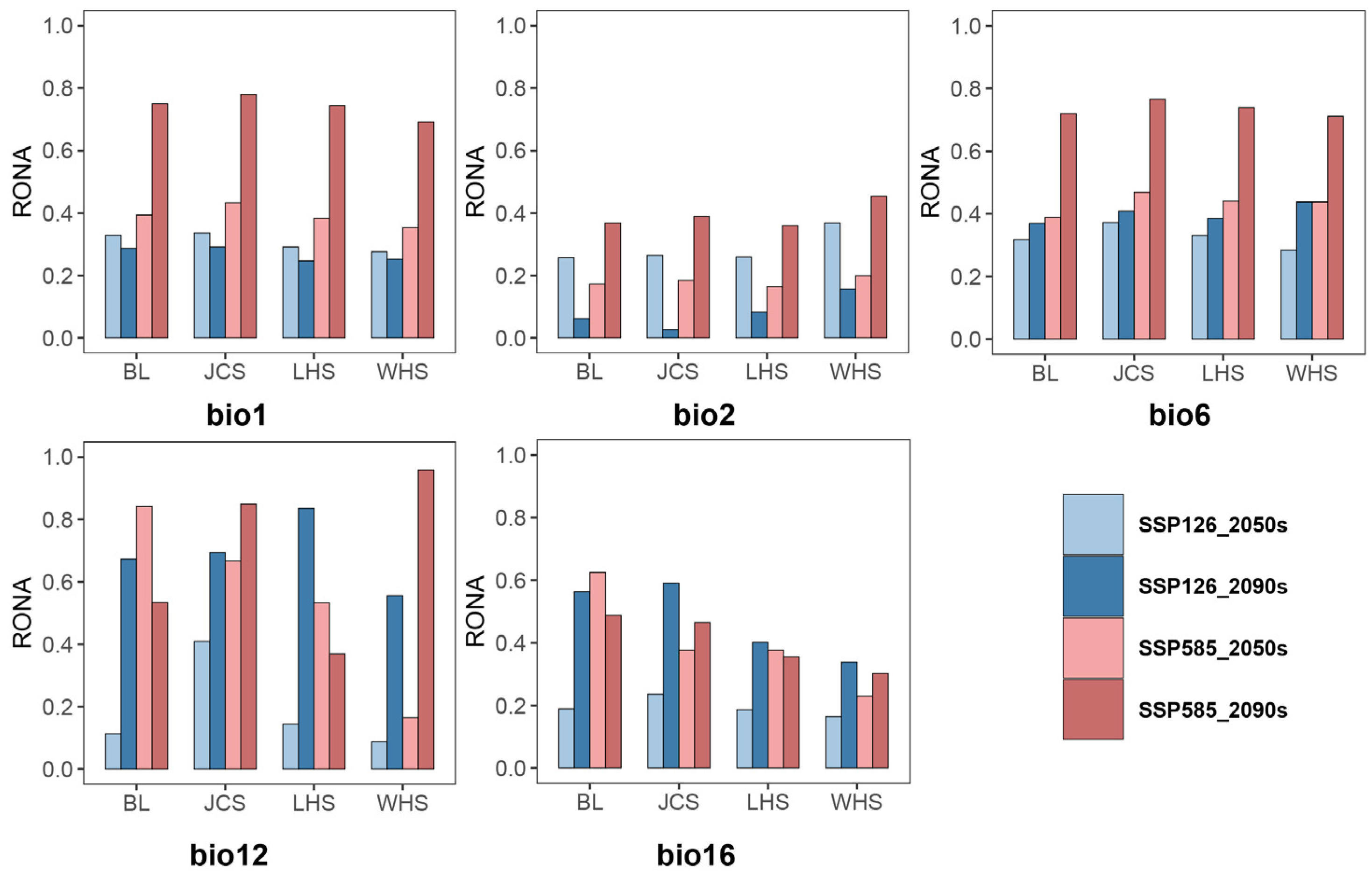
2.7. Risk of Non-Adaptation (RONA) Analysis
3. Discussion
4. Materials and Methods
4.1. Sampling, Resequencing, and SNP Calling
4.2. Population Structure and Demographic History Analyses
4.3. Species Distribution Modeling
4.4. Selective Sweeps Analysis
4.5. Genotype–Environment Association (GEA) Analyses
4.6. Risk of Non-Adaptedness (RONA) Under Future Climate Scenarios
5. Conclusions
Supplementary Materials
Author Contributions
Funding
Data Availability Statement
Acknowledgments
Conflicts of Interest
Abbreviations
| AUC | Area under the receiver operating characteristic curve |
| BLAST | Basic Local Alignment Search Tool |
| CV | Cross-validation |
| CVH | Chinese Virtual Herbarium |
| EN | Endangered |
| FDR | False Discovery Rate |
| GA | Gibberellin |
| GEA | Genotype–environment association |
| GF | Gradient Forest |
| GO | Gene Ontology |
| HWSD | Harmonized World Soil Database |
| KEGG | Kyoto Encyclopedia of Genes and Genomes |
| LD | Linkage disequilibrium |
| LFMM | Latent Factor Mixed Model |
| LGM | Last Glacial Maximum |
| MAF | Minor allele frequency |
| MaxEnt | Maximum entropy modeling |
| MH | Mid-Holocene |
| NCBI | National Center for Biotechnology Information |
| NGDC | National Genomics Data Center |
| NJ | Neighbor-joining |
| Ne | Effective population size |
| PCA | Principal component analysis |
| RDA | Redundancy analysis |
| RONA | Risk of non-adaptedness |
| SDM | Species distribution model |
| SNP | Single-nucleotide polymorphism |
| SSP | Shared Socioeconomic Pathway |
| VCF | Variant Call Format |
References
- Clements, R.; Sodhi, N.S.; Schilthuizen, M.; Ng, P.K.L. Limestone Karsts of Southeast Asia: Imperiled Arks of Biodiversity. BioScience 2006, 56, 733–742. [Google Scholar] [CrossRef]
- Fan, Y.; Zhang, C.L.; Wu, W.D.; He, W.; Zhang, L.; Ma, X. Analysis of Genetic Diversity and Structure Pattern of Indigofera Pseudotinctoria in Karst Habitats of the Wushan Mountains Using AFLP Markers. Molecules 2017, 22, 1734. [Google Scholar] [CrossRef]
- Liu, C.N.; Huang, Y.; Wu, F.; Liu, W.J.; Ning, Y.Q.; Huang, Z.R.; Tang, S.Q.; Liang, Y. Plant adaptability in karst regions. J. Plant Res. 2021, 134, 889–906. [Google Scholar] [CrossRef] [PubMed]
- Wu, C.; Liu, B.Y.; Zhang, X.J.; Wang, M.L.; Liang, H.L. Phytohormone Response of Drought-Acclimated Illicium difengpi (Schisandraceae). Int. J. Mol. Sci. 2023, 24, 16443. [Google Scholar] [CrossRef]
- Liu, C.N.; Huang, Y.; Liang, Y. Adaptive Mechanism Exploration of Camellia limonia in Karst High Calcium Environment by Integrative Analysis of Metabolomics and Metagenomics. Trop. Plant Biol. 2022, 15, 22–39. [Google Scholar] [CrossRef]
- Xie, D.F.; Cheng, R.Y.; Fu, X.; Zhang, X.Y.; Price, M.; Lan, Y.L.; Wang, C.B.; He, X.J. A Combined Morphological and Molecular Evolutionary Analysis of Karst-Environment Adaptation for the Genus Urophysa (Ranunculaceae). Front. Plant Sci. 2021, 12, 667988. [Google Scholar] [CrossRef]
- Cao, Y.; Almeida-Silva, F.; Zhang, W.P.; Ding, Y.M.; Bai, D.; Bai, W.N.; Zhang, B.W.; Van de Peer, Y.; Zhang, D.Y. Genomic Insights into Adaptation to Karst Limestone and Incipient Speciation in East Asian Platycarya spp. (Juglandaceae). Mol. Biol. Evol. 2023, 40, msad121. [Google Scholar] [CrossRef]
- Tao, J.J.; Feng, C.; Ai, B.; Kang, M. Adaptive molecular evolution of the two-pore channel 1 gene TPC1 in the karst-adapted genus Primulina (Gesneriaceae). Ann. Bot. 2016, 118, 1257–1268. [Google Scholar] [CrossRef]
- Seth, P.; Sebastian, J. Plants and global warming: Challenges and strategies for a warming world. Plant Cell Rep. 2024, 43, 27. [Google Scholar] [CrossRef] [PubMed]
- de Lima, R.A.F.; Souza, V.C.; de Siqueira, M.F.; ter Steege, H. Defining endemism levels for biodiversity conservation: Tree species in the Atlantic Forest hotspot. Biol. Conserv. 2020, 252, 108825. [Google Scholar] [CrossRef]
- Fu, B.W.; Jing, J.L.; Deng, Q.F.; Ding, S.S. Inter-annual and seasonal variations of meteorological drought and their drivers in the southwest karst region of China. Environ. Sci. Pollut. Res. 2025, 32, 10836–10854. [Google Scholar] [CrossRef]
- Huang, L.; Yao, W.H.; Xiao, X.; Zhang, Y.; Chen, R.; Yang, Y.B.; Li, Z. Predicting Potentially Suitable Habitats and Analyzing the Distribution Patterns of the Rare and Endangered Genus Syndiclis Hook. f. (Lauraceae) in China. Plants 2025, 14, 2268. [Google Scholar] [CrossRef]
- Miao, J.B.; Farhat, P.; Wang, W.; Ruhsam, M.; Milne, R.; Yang, H.; Tso, S.; Li, J.L.; Xu, J.J.; Opgenoorth, L.; et al. Evolutionary history of two rare endemic conifer species from the eastern Qinghai–Tibet Plateau. Ann. Bot. 2021, 128, 903–918. [Google Scholar] [CrossRef] [PubMed]
- Teixeira, T.M.; Nazareno, A.G. One Step Away From Extinction: A Population Genomic Analysis of A Narrow Endemic, Tropical Plant Species. Front. Plant Sci. 2021, 12, 730258. [Google Scholar] [CrossRef] [PubMed]
- Aylward, M.; Sagar, V.; Natesh, M.; Ramakrishnan, U. How methodological changes have influenced our understanding of population structure in threatened species: Insights from tiger populations across India. Philos. Trans. R. Soc. Lond B Biol. Sci. 2022, 377, 20200418. [Google Scholar] [CrossRef]
- Bonin, A. Population genomics: A new generation of genome scans to bridge the gap with functional genomics. Mol. Ecol. 2008, 17, 3583–3584. [Google Scholar] [CrossRef] [PubMed]
- Hohenlohe, P.A.; Funk, W.C.; Rajora, O.P. Population genomics for wildlife conservation and management. Mol. Ecol. 2021, 30, 62–82. [Google Scholar] [CrossRef]
- Hohenlohe, P.A.; Phillips, P.C.; Cresko, W.A. Using Population Genomics to Detect Selection in Natural Populations: Key Concepts and Methodological Considerations. Int. J. Plant Sci. 2010, 171, 1059–1071. [Google Scholar] [CrossRef]
- Manel, S.; Schwartz, M.K.; Luikart, G.; Taberlet, P. Landscape genetics: Combining landscape ecology and population genetics. Trends Ecol. Evol. 2003, 18, 189–197. [Google Scholar] [CrossRef]
- Aitken, S.N.; Jordan, R.; Tumas, H.R. Conserving Evolutionary Potential: Combining Landscape Genomics with Established Methods to Inform Plant Conservation. Annu. Rev. Plant Biol. 2024, 75, 707–736. [Google Scholar] [CrossRef]
- Elith, J.; Leathwick, J.R. Species Distribution Models: Ecological Explanation and Prediction Across Space and Time. Annu. Rev. Ecol. Evol. Syst. 2009, 40, 677–697. [Google Scholar] [CrossRef]
- Qiao, Z.Q.; Deng, F.Y.; Zeng, H.J.; Li, X.L.; Lu, L.S.; Lei, Y.X.; Li, L.; Chen, Y.; Chen, J.J. MADS-Box Family Genes in Lagerstroemia indica and Their Involvement in Flower Development. Plants 2024, 13, 709. [Google Scholar] [CrossRef]
- Qiao, Z.Q.; Chen, Y.; Wang, X.M.; Li, Y.X.; Liu, S.S.; Deng, F.Y.; Liao, D.Z.; Cai, N.; Zeng, H.J.; Chen, J.J. Genome assembly and multiomic analyses reveal insights into flower and bark colors of Lagerstroemia excelsa. Plant Physiol. Biochem. 2025, 220, 109482. [Google Scholar] [CrossRef]
- Dong, W.P.; Xu, C.; Liu, Y.L.; Shi, J.P.; Li, W.Y.; Suo, Z.L. Chloroplast phylogenomics and divergence times of Lagerstroemia (Lythraceae). BMC Genom. 2021, 22, 434. [Google Scholar] [CrossRef]
- Xu, C.; Dong, W.P.; Li, W.Q.; Lu, Y.Z.; Xie, X.M.; Jin, X.B.; Shi, J.P.; He, K.H.; Suo, Z.L. Comparative Analysis of Six Lagerstroemia Complete Chloroplast Genomes. Front. Plant Sci. 2017, 8, 15. [Google Scholar] [CrossRef] [PubMed]
- Zheng, G.; Wei, L.L.; Ma, L.; Wu, Z.Q.; Gu, C.H.; Chen, K. Comparative analyses of chloroplast genomes from 13 Lagerstroemia (Lythraceae) species: Identification of highly divergent regions and inference of phylogenetic relationships. Plant Mol. Biol. 2020, 102, 659–676. [Google Scholar] [CrossRef]
- Goyal, S.; Sharma, M.; Sharma, R. Bioactive compound from Lagerstroemia speciosa: Activating apoptotic machinery in pancreatic cancer cells. 3 Biotech 2022, 12, 96. [Google Scholar] [CrossRef] [PubMed]
- Kim, B.H.; Kim, M.K.; Choi, B.Y. Lagerstroemia indica extract regulates human hair dermal papilla cell growth and degeneration via modulation of β-catenin, Stat6, and TGF-β signaling pathway. J. Cosmet. Dermatol. 2022, 21, 2763–2773. [Google Scholar] [CrossRef]
- Wan, Z.T.; Qin, B.; Lin, M.; Chi, X.F.; Shen, P.; Wang, X.; Cai, M.; Wang, J.; Cheng, T.R.; Zhang, Q.X.; et al. Genome-wide analysis of MADS-box genes reveals their roles in floral organ development in Lagerstroemia. Sci. Hortic. 2025, 339, 113887. [Google Scholar] [CrossRef]
- Yue, Z.W.; Xu, Y.; Cai, M.; Fan, X.H.; Pan, H.T.; Zhang, D.L.; Zhang, Q.X. Floral Elegance Meets Medicinal Marvels: Traditional Uses, Phytochemistry, and Pharmacology of the Genus Lagerstroemia L. Plants 2024, 13, 3016. [Google Scholar] [CrossRef] [PubMed]
- Qin, H.N.; Yang, Y.; Dong, S.Y.; He, Q.; Jia, Y.; Zhao, L.N.; Yu, S.X.; Liu, H.Y.; Liu, B.; Yan, Y.H.; et al. Threatened Species List of China’s Higher Plants. Biodiv. Sci. 2017, 25, 696–744. [Google Scholar] [CrossRef]
- Ma, C.Y.; Liao, J.C.; Fan, P.F. Food selection in relation to nutritional chemistry of Cao Vit gibbons in Jingxi, China. Primates 2017, 58, 63–74. [Google Scholar] [CrossRef]
- Fan, P.F.; Fei, H.L.; Xiang, Z.F.; Zhang, W.; Ma, C.Y.; Huang, T. Social Structure and Group Dynamics of the Cao Vit Gibbon (Nomascus nasutus) in Bangliang, Jingxi, China. Folia Primatol. 2010, 81, 245–253. [Google Scholar] [CrossRef]
- Li, K.P.; Chen, S.C.; Chen, X.M.; Lan, X.; Huang, K.Y. Genetic Diversity and Differentiation of Chinese Fir around Karst Landform in Guangxi. Forests 2023, 14, 340. [Google Scholar] [CrossRef]
- Tseng, Y.H.; Huang, H.Y.; Xu, W.B.; Yang, H.A.; Peng, C.I.; Liu, Y.; Chung, K.F. Phylogeography of Begonia luzhaiensis suggests both natural and anthropogenic causes for the marked population genetic structure. Bot. Stud. 2019, 60, 20. [Google Scholar] [CrossRef]
- Li, J.L.; Milne, R.I.; Ru, D.F.; Miao, J.B.; Tao, W.J.; Zhang, L.; Xu, J.J.; Liu, J.Q.; Mao, K.S. Allopatric divergence and hybridization within Cupressus chengiana (Cupressaceae), a threatened conifer in the northern Hengduan Mountains of western China. Mol. Ecol. 2020, 29, 1250–1266. [Google Scholar] [CrossRef]
- Ma, Y.P.; Liu, D.T.; Wariss, H.M.; Zhang, R.G.; Tao, L.D.; Milne, R.I.; Sun, W.B. Demographic history and identification of threats revealed by population genomic analysis provide insights into conservation for an endangered maple. Mol. Ecol. 2022, 31, 767–779. [Google Scholar] [CrossRef]
- DeSilva, R.; Dodd, R.S. Fragmented and isolated: Limited gene flow coupled with weak isolation by environment in the paleoendemic giant sequoia (Sequoiadendron giganteum). Am. J. Bot. 2020, 107, 45–55. [Google Scholar] [CrossRef] [PubMed]
- Zhu, X.L.; Liang, H.; Jiang, H.L.; Kang, M.; Wei, X.; Deng, L.L.; Shi, Y.C. Phylogeographic structure of Heteroplexis (Asteraceae), an endangered endemic genus in the limestone karst regions of southern China. Front. Plant Sci. 2022, 13, 999964. [Google Scholar] [CrossRef] [PubMed]
- Zhou, Y.; Zheng, T.C.; Cai, M.; Feng, L.; Chi, X.F.; Shen, P.; Wang, X.; Wan, Z.T.; Yuan, C.Q.; Zhang, M.; et al. Genome assembly and resequencing analyses provide new insights into the evolution, domestication and ornamental traits of crape myrtle. Hortic. Res. 2023, 10, uhad146. [Google Scholar] [CrossRef] [PubMed]
- Burke, K.D.; Williams, J.W.; Chandler, M.A.; Haywood, A.M.; Lunt, D.J.; Otto-Bliesner, B.L. Pliocene and Eocene provide best analogs for near-future climates. Proc. Natl. Acad. Sci. USA 2018, 115, 13288–13293. [Google Scholar] [CrossRef] [PubMed]
- Lebreton-Anberrée, J.; Li, S.H.; Li, S.F.; Spicer, R.A.; Zhang, S.T.; Su, T.; Deng, C.L.; Zhou, Z.K. Lake geochemistry reveals marked environmental change in Southwest China during the Mid Miocene Climatic Optimum. Sci. Bull. 2016, 61, 897–910. [Google Scholar] [CrossRef]
- Liu, J.R. The development history of the Guangxi tropical karst geomorphology and its sequences. Carsologica Sin 1997, 16, 332–345. [Google Scholar]
- Lipar, M.; Barham, M.; Danišík, M.; Šmuc, A.; Webb, J.A.; McNamara, K.J.; Šoster, A.; Ferk, M. Ironing out complexities in karst chronology: (U-Th)/He ferricrete ages reveal wet MIS 5c. Sci. Adv. 2024, 10, eadp0414. [Google Scholar] [CrossRef]
- Zhang, C.; Zhang, M.; Huang, X.; Lan, Q.; Zhu, H.; Huang, Y.; Tian, H. Phylogeography and ecological niche modeling suggest southward expansion of Morinda officinalis How in China. Front Plant Sci. 2025, 16, 1643733. [Google Scholar] [CrossRef]
- Frankham, R.; Ballou, J.D.; Ralls, K.; Eldridge, M.; Dudash, M.R.; Fenster, C.B.; Lacy, R.C.; Sunnucks, P. Genetic Management of Fragmented Animal and Plant Populations; Oxford University Press: Oxford, UK, 2017. [Google Scholar]
- Gao, X.X.; Liu, J.; Huang, Z.H. The impact of climate change on the distribution of rare and endangered tree Firmiana kwangsiensis using the Maxent modeling. Ecol. Evol. 2022, 12, e9165. [Google Scholar] [CrossRef] [PubMed]
- Hernandez, P.A.; Graham, C.H.; Master, L.L.; Albert, D.L. The effect of sample size and species characteristics on performance of different species distribution modeling methods. Ecography 2006, 29, 773–785. [Google Scholar] [CrossRef]
- Yang, J.Y.; Ding, G.Y.; Tian, X.J. Research progress on the application of the MaxEnt model in species habitat prediction. J. Appl. Ecol. 2025, 36, 614–624. [Google Scholar] [CrossRef]
- Cai, L.; Xiong, K.; Liu, Z.; Li, Y.; Fan, B. Seasonal variations of plant water use in the karst desertification control. Sci Total Environ. 2023, 885, 163778. [Google Scholar] [CrossRef]
- Hu, G.; Zhang, Z.H.; Wu, H.P.; Li, L. Factors influencing the distribution of woody plants in tropical karst hills, south China. PeerJ 2023, 11, e16331. [Google Scholar] [CrossRef] [PubMed]
- Raes, N.; Cannon, C.H.; Hijmans, R.J.; Piessens, T.; Saw, L.G.; van Welzen, P.C.; Slik, J.W.F. Historical distribution of Sundaland’s Dipterocarp rainforests at Quaternary glacial maxima. Proc. Natl. Acad. Sci. USA 2014, 111, 16790–16795. [Google Scholar] [CrossRef] [PubMed]
- Vitorino, L.C.; Lima-Ribeiro, M.S.; Terribile, L.C.; Collevatti, R.G. Demographical history and palaeodistribution modelling show range shift towards Amazon Basin for a Neotropical tree species in the LGM. BMC Evol. Biol. 2016, 16, 213. [Google Scholar] [CrossRef]
- Park, H.S.; Kim, S.J.; Stewart, A.L.; Son, S.W.; Seo, K.H. Mid-Holocene Northern Hemisphere warming driven by Arctic amplification. Sci. Adv. 2019, 5, eaax8203. [Google Scholar] [CrossRef]
- Fan, Y.; Yao, W.H.; Wang, Z.H.; Fan, X.Y.; Hu, S.Y.; Wang, H.F.; Ou, J. Predicting Potential Suitable Habitats of Three Rare Wild Magnoliaceae Species (Michelia crassipes, Lirianthe coco, Manglietia insignis) Under Current and Future Climatic Scenarios Based on the Maxent Model. Plants 2025, 14, 506. [Google Scholar] [CrossRef] [PubMed]
- Zhao, Y.H.; Wen, Y.F.; Zhang, W.Q.; Wang, C.C.; Yan, Y.D.; Hao, S.W.; Zhang, D.L. Distribution pattern and change prediction of Phellodendron habitat in China under climate change. Ecol. Evol. 2023, 13, e10374. [Google Scholar] [CrossRef]
- Babbar, R.; Tiwari, L.D.; Mishra, R.C.; Shimphrui, R.; Singh, A.A.; Goyal, I.; Rana, S.; Kumar, R.; Sharma, V.; Tripathi, G.; et al. Arabidopsis plants overexpressing additional copies of heat shock protein Hsp101 showed high heat tolerance and endo-gene silencing. Plant Sci. 2023, 330, 111639. [Google Scholar] [CrossRef]
- Kim, M.; Swenson, J.; McLoughlin, F.; Vierling, E. Mutation of the polyadenylation complex subunit CstF77 reveals that mRNA 3′ end formation and HSP101 levels are critical for a robust heat stress response. Plant Cell 2022, 35, 924–941. [Google Scholar] [CrossRef] [PubMed]
- Kreis, E.; Niemeyer, J.; Merz, M.; Scheuring, D.; Schroda, M. CLPB3 is required for the removal of chloroplast protein aggregates and thermotolerance in Chlamydomonas. J. Exp. Bot. 2023, 74, 3714–3728. [Google Scholar] [CrossRef]
- Zhou, X.; Groves, N.R.; Meier, I. Plant nuclear shape is independently determined by the SUN-WIP-WIT2-myosin XI-i complex and CRWN1. Nucleus 2015, 6, 144–153. [Google Scholar] [CrossRef]
- Xu, K.; Zeng, H.R.; Lin, F.Y.; Yumoto, E.; Asahina, M.; Hayashi, K.-i.; Fukaki, H.; Ito, H.; Watahiki, M.K. Exogenous application of the apocarotenoid retinaldehyde negatively regulates auxin-mediated root growth. Plant Physiol. 2024, 196, 1659–1673. [Google Scholar] [CrossRef]
- García, I.; Rosas, T.; Bejarano, E.R.; Gotor, C.; Romero, L.C. Transient Transcriptional Regulation of the CYS-C1 Gene and Cyanide Accumulation upon Pathogen Infection in the Plant Immune Response. Plant Physiol. 2013, 162, 2015–2027. [Google Scholar] [CrossRef]
- Yue, J.; Qin, Q.Q.; Meng, S.Y.; Jing, H.T.; Gou, X.P.; Li, J.; Hou, S.W. TOPP4 Regulates the Stability of PHYTOCHROME INTERACTING FACTOR5 during Photomorphogenesis in Arabidopsis. Plant Physiol. 2015, 170, 1381–1397. [Google Scholar] [CrossRef] [PubMed]
- Liu, Y.Q.; Yan, J.; Qin, Q.Q.; Zhang, J.; Chen, Y.; Zhao, L.L.; He, K.; Hou, S.W. Type one protein phosphatases (TOPPs) contribute to the plant defense response in Arabidopsis. J. Integr. Plant Biol. 2020, 62, 360–377. [Google Scholar] [CrossRef]
- Qin, Q.; Wang, W.; Guo, X.; Yue, J.; Huang, Y.; Xu, X.; Li, J.; Hou, S. Arabidopsis DELLA protein degradation is controlled by a type-one protein phosphatase, TOPP4. PLoS Genet. 2014, 10, e1004464. [Google Scholar] [CrossRef]
- Mafakheri, M.; Bakhshipour, M.; Omrani, M.; Gholizadeh, H.; Rahimi, N.; Mobaraki, A.; Rahimi, M. The impact of environmental and climatic variables on genetic diversity and plant functional traits of the endangered tuberous orchid (Orchis mascula L.). Sci. Rep. 2022, 12, 19765. [Google Scholar] [CrossRef] [PubMed]
- Postolache, D.; Oddou-Muratorio, S.; Vajana, E.; Bagnoli, F.; Guichoux, E.; Hampe, A.; Le Provost, G.; Lesur, I.; Popescu, F.; Scotti, I.; et al. Genetic signatures of divergent selection in European beech (Fagus sylvatica L.) are associated with the variation in temperature and precipitation across its distribution range. Mol. Ecol. 2021, 30, 5029–5047. [Google Scholar] [CrossRef]
- Chen, D.H.; He, L.L.; Lin, M.Y.; Jing, Y.; Liang, C.C.; Liu, H.P.; Gao, J.W.; Zhang, W.; Wang, M. A ras-related small GTP-binding protein, RabE1c, regulates stomatal movements and drought stress responses by mediating the interaction with ABA receptors. Plant Sci. 2021, 306, 110858. [Google Scholar] [CrossRef] [PubMed]
- Mandadi, K.K.; Scholthof, K.-B.G. Genome-Wide Analysis of Alternative Splicing Landscapes Modulated during Plant-Virus Interactions in Brachypodium distachyon. Plant Cell. 2015, 27, 71–85. [Google Scholar] [CrossRef]
- Li, L.C.; Liu, Y.; Liu, S.; Wei, H.; Li, T.T.; Feng, R.R.; Ding, L.W.; Liu, Z.M.; Khassanov, V.; Meng, Y.K.; et al. Phytophthora Avr3a-Like Effectors Target and Inhibit Cinnamyl Alcohol Dehydrogenase CAD5 to Suppress Plant Immunity. Mol. Plant Pathol. 2025, 26, e70139. [Google Scholar] [CrossRef]
- Zhu, X.F.; Liu, Y.; Gai, X.T.; Zhou, Y.; Xia, Z.Y.; Chen, L.J.; Duan, Y.X.; Xuan, Y.H. SNARE proteins SYP22 and VAMP727 negatively regulate plant defense. Plant Signal. Behav. 2019, 14, 1610300. [Google Scholar] [CrossRef]
- Luo, D.X.; Bernard, D.G.; Balk, J.; Hai, H.; Cui, X.F. The DUF59 Family Gene AE7 Acts in the Cytosolic Iron-Sulfur Cluster Assembly Pathway to Maintain Nuclear Genome Integrity in Arabidopsis. Plant Cell. 2012, 24, 4135–4148. [Google Scholar] [CrossRef]
- Ly, V.; Hatherell, A.; Kim, E.; Chan, A.; Belmonte, M.F.; Schroeder, D.F. Interactions between Arabidopsis DNA repair genes UVH6, DDB1A, and DDB2 during abiotic stress tolerance and floral development. Plant Sci. 2013, 213, 88–97. [Google Scholar] [CrossRef]
- Tian, S.; Wang, X.B.; Li, P.; Wang, H.; Ji, H.T.; Xie, J.Y.; Qiu, Q.L.; Shen, D.; Dong, H.S. Plant Aquaporin AtPIP1;4 Links Apoplastic H2O2 Induction to Disease Immunity Pathways. Plant Physiol. 2016, 171, 1635–1650. [Google Scholar] [CrossRef]
- Zhang, F.; Pan, Z.J.; Han, C.Y.; Dong, H.Z.; Lin, L.K.; Qiao, Q.H.; Zhao, K.K.; Wu, J.Y.; Tao, S.T.; Zhang, S.L.; et al. Pyrus betulaefolia ERF3 interacts with HsfC1a to coordinately regulate aquaporin PIP1;4 and NCED4 for drought tolerance. Hortic. Res. 2024, 11, uhae090. [Google Scholar] [CrossRef]
- Li, M.Z.; Xie, Y.; Chen, Y.L.; Zhang, Y.; Mo, W.H. Impact of precipitation levels on vegetation in ecologically fragile karst areas in the Guangxi (China) karst region. PeerJ 2025, 13, e19565. [Google Scholar] [CrossRef]
- Anderson, J.T.; DeMarche, M.L.; Denney, D.A.; Breckheimer, I.; Santangelo, J.; Wadgymar, S.M. Adaptation and gene flow are insufficient to rescue a montane plant under climate change. Science 2025, 388, 525–531. [Google Scholar] [CrossRef] [PubMed]
- Meester, L.D.; Stoks, R.; Brans, K.I. Genetic adaptation as a biological buffer against climate change: Potential and limitations. Integr. Zool. 2018, 13, 372–391. [Google Scholar] [CrossRef] [PubMed]
- Pahlich, E.; Gerlitz, C. A rapid DNA isolation procedure for small quantities of fresh leaf tissue. Phytochemistry 1980, 19, 11–13. [Google Scholar] [CrossRef]
- Chen, Y.X.; Chen, Y.S.; Shi, C.M.; Huang, Z.B.; Zhang, Y.; Li, S.K.; Li, Y.; Ye, J.; Yu, C.; Li, Z.; et al. SOAPnuke: A MapReduce acceleration-supported software for integrated quality control and preprocessing of high-throughput sequencing data. GigaScience 2017, 7, gix120. [Google Scholar] [CrossRef]
- Li, H.; Durbin, R. Fast and accurate short read alignment with Burrows–Wheeler transform. Bioinformatics 2009, 25, 1754–1760. [Google Scholar] [CrossRef] [PubMed]
- Li, H.; Handsaker, B.; Wysoker, A.; Fennell, T.; Ruan, J.; Homer, N.; Marth, G.; Abecasis, G.; Durbin, R.; 1000 Genome Project Data Processing Subgroup. The Sequence Alignment/Map format and SAMtools. Bioinformatics 2009, 25, 2078–2079. [Google Scholar] [CrossRef]
- Danecek, P.; Bonfield, J.K.; Liddle, J.; Marshall, J.; Ohan, V.; Pollard, M.O.; Whitwham, A.; Keane, T.; McCarthy, S.A.; Davies, R.M.; et al. Twelve years of SAMtools and BCFtools. GigaScience 2021, 10, giab008. [Google Scholar] [CrossRef] [PubMed]
- Danecek, P.; Auton, A.; Abecasis, G.; Albers, C.A.; Banks, E.; DePristo, M.A.; Handsaker, R.E.; Lunter, G.; Marth, G.T.; Sherry, S.T.; et al. The variant call format and VCFtools. Bioinformatics 2011, 27, 2156–2158. [Google Scholar] [CrossRef]
- Purcell, S.; Neale, B.; Todd-Brown, K.; Thomas, L.; Ferreira, M.A.R.; Bender, D.; Maller, J.; Sklar, P.; de Bakker, P.I.W.; Daly, M.J.; et al. PLINK: A Tool Set for Whole-Genome Association and Population-Based Linkage Analyses. Am. J. Hum. Genet. 2007, 81, 559–575. [Google Scholar] [CrossRef]
- Tamura, K.; Stecher, G.; Kumar, S. MEGA11: Molecular Evolutionary Genetics Analysis Version 11. Mol. Biol. Evol. 2021, 38, 3022–3027. [Google Scholar] [CrossRef] [PubMed]
- Alexander, D.H.; Novembre, J.; Lange, K. Fast model-based estimation of ancestry in unrelated individuals. Genome Res. 2009, 19, 1655–1664. [Google Scholar] [CrossRef] [PubMed]
- Korneliussen, T.S.; Albrechtsen, A.; Nielsen, R. ANGSD: Analysis of Next Generation Sequencing Data. BMC Bioinf. 2014, 15, 356. [Google Scholar] [CrossRef]
- Terhorst, J.; Kamm, J.A.; Song, Y.S. Robust and scalable inference of population history from hundreds of unphased whole genomes. Nat. Genet. 2017, 49, 303–309. [Google Scholar] [CrossRef]
- Kass, J.M.; Muscarella, R.; Galante, P.J.; Bohl, C.L.; Pinilla-Buitrago, G.E.; Boria, R.A.; Soley-Guardia, M.; Anderson, R.P. ENMeval 2.0: Redesigned for customizable and reproducible modeling of species’ niches and distributions. Methods Ecol. Evol. 2021, 12, 1602–1608. [Google Scholar] [CrossRef]
- Wu, T.; Lu, Y.; Fang, Y.; Xin, X.; Li, L.; Li, W.; Jie, W.; Zhang, J.; Liu, Y.; Zhang, L.; et al. The Beijing Climate Center Climate System Model (BCC-CSM): The main progress from CMIP5 to CMIP6. Geosci. Model Dev. 2019, 12, 1573–1600. [Google Scholar] [CrossRef]
- Phillips, S.J.; Anderson, R.P.; Schapire, R.E. Maximum entropy modeling of species geographic distributions. Ecol. Modell. 2006, 190, 231–259. [Google Scholar] [CrossRef]
- Alachiotis, N.; Pavlidis, P. RAiSD detects positive selection based on multiple signatures of a selective sweep and SNP vectors. Commun. Biol. 2018, 1, 79. [Google Scholar] [CrossRef]
- Ellis, N.; Smith, S.J.; Pitcher, C.R. Gradient forests: Calculating importance gradients on physical predictors. Ecology 2012, 93, 156–168. [Google Scholar] [CrossRef]
- Gain, C.; François, O. LEA 3: Factor models in population genetics and ecological genomics with R. Mol. Ecol. Resour. 2021, 21, 2738–2748. [Google Scholar] [CrossRef]
- Capblancq, T.; Forester, B.R. Redundancy analysis: A Swiss Army Knife for landscape genomics. Methods Ecol. Evol. 2021, 12, 2298–2309. [Google Scholar] [CrossRef]
- Kofler, R.; Schlötterer, C. Gowinda: Unbiased analysis of gene set enrichment for genome-wide association studies. Bioinformatics 2012, 28, 2084–2085. [Google Scholar] [CrossRef] [PubMed]
- Chen, C.J.; Wu, Y.; Li, J.W.; Wang, X.; Zeng, Z.H.; Xu, J.; Liu, Y.L.; Feng, J.T.; Chen, H.; He, Y.H.; et al. TBtools-II: A “one for all, all for one” bioinformatics platform for biological big-data mining. Mol. Plant 2023, 16, 1733–1742. [Google Scholar] [CrossRef]
- Camacho, C.; Coulouris, G.; Avagyan, V.; Ma, N.; Papadopoulos, J.; Bealer, K.; Madden, T.L. BLAST+: Architecture and applications. BMC Bioinf. 2009, 10, 421. [Google Scholar] [CrossRef] [PubMed]
- Rellstab, C.; Zoller, S.; Walthert, L.; Lesur, I.; Pluess, A.R.; Graf, R.; Bodénès, C.; Sperisen, C.; Kremer, A.; Gugerli, F. Signatures of local adaptation in candidate genes of oaks (Quercus spp.) with respect to present and future climatic conditions. Mol. Ecol. 2016, 25, 5907–5924. [Google Scholar] [CrossRef]







| HO | HE | FIS | π | Tajima’s D | |
|---|---|---|---|---|---|
| BL | 0.3796 | 0.3242 | 0.1709 | 0.002116 | 0.1225 |
| JCS | 0.4595 | 0.3843 | 0.1958 | 0.002113 | 0.1480 |
| LHS | 0.4009 | 0.3376 | 0.1876 | 0.002137 | 0.1319 |
| WHS | 0.7211 | 0.5814 | 0.2402 | 0.001779 | 0.4493 |
| Variable | Percent Contribution (%) | Permutation Importance (%) |
|---|---|---|
| bio6 | 38.6 | 52.4 |
| awc_class | 22.3 | 3.7 |
| bio1 | 14.5 | 28.3 |
| t_clay | 13.4 | 2.1 |
| s_ph_h2o | 5.9 | 1.1 |
| bio9 | 4.3 | 3 |
| bio10 | 1.1 | 9.4 |
| Period | Lowly Suitability Area (km2) | Moderately Suitable Area (km2) | Highly Suitable Area (km2) | Total Suitable Area (km2) |
|---|---|---|---|---|
| Current | 62,752.78 | 22,761.11 | 11,613.89 | 96,127.78 |
| Last Glacial Maximum | 87,378.47 (139.24%) | 27,118.06 (119.14%) | 21,388.89 (184.17%) | 135,885.42 (141.35%) |
| Mid-Holocene | 97,395.83 (155.21%) | 39,930.56 (165.43%) | 28,229.17 (243.06%) | 165,555.56 (172.22%) |
| SSP126-2050 | 15,708.33 (25.03%) | 10,240.97 (44.99%) | 12,570.83 (108.23%) | 38,520.13 (40.07%) |
| SSP126-2090 | 25,222.22 (40.19%) | 15,551.39 (68.32%) | 16,470.83 (141.82%) | 57,244.44 (59.55%) |
| SSP245-2050 | 63,350.01 (100.95%) | 32,315.28 (141.98%) | 18,599.31 (160.15%) | 114,264.6 (118.87%) |
| SSP245-2090 | 39,619.44 (63.14%) | 14,392.36 (63.23%) | 14,437.5 (124.31%) | 68,449.3 (71.21%) |
| SSP585-2050 | 46,157.64 (73.55%) | 18,386.11 (80.78%) | 20,657.64 (177.87%) | 85,201.39 (88.63%) |
| SSP585-2090 | 27,765.97 (44.25%) | 9647.22 (42.38%) | 12,985.42 (111.81%) | 50,389.61 (52.42%) |
| Population | Sampling Location | Longitude (°) | Latitude (°) | Elevation (m) | Individuals |
|---|---|---|---|---|---|
| BL | Bangliang Gibbon National Nature Reserve, Jingxi City | 106.4989 | 22.9164 | 754 | 16 |
| JCS | Chongzuo White-headed Langur National Nature Reserve, Jiuchongshan, Chongzuo City | 107.8656 | 22.4511 | 124 | 6 |
| LHS | Longhushan Nature Reserve, Longan County | 107.6141 | 22.9768 | 213 | 12 |
| WHS | Wohushan, Liuzhou City | 109.4104 | 24.2797 | 103 | 2 |
Disclaimer/Publisher’s Note: The statements, opinions and data contained in all publications are solely those of the individual author(s) and contributor(s) and not of MDPI and/or the editor(s). MDPI and/or the editor(s) disclaim responsibility for any injury to people or property resulting from any ideas, methods, instructions or products referred to in the content. |
© 2026 by the authors. Licensee MDPI, Basel, Switzerland. This article is an open access article distributed under the terms and conditions of the Creative Commons Attribution (CC BY) license.
Share and Cite
Zhang, S.; Li, Y.; Xie, Y.; Deng, X.; Sun, Y. Genomic Insights into Adaptation of Lagerstroemia suprareticulata to Limestone Karst Habitats. Plants 2026, 15, 629. https://doi.org/10.3390/plants15040629
Zhang S, Li Y, Xie Y, Deng X, Sun Y. Genomic Insights into Adaptation of Lagerstroemia suprareticulata to Limestone Karst Habitats. Plants. 2026; 15(4):629. https://doi.org/10.3390/plants15040629
Chicago/Turabian StyleZhang, Shuo, Yi Li, Ying Xie, Xiaomei Deng, and Ye Sun. 2026. "Genomic Insights into Adaptation of Lagerstroemia suprareticulata to Limestone Karst Habitats" Plants 15, no. 4: 629. https://doi.org/10.3390/plants15040629
APA StyleZhang, S., Li, Y., Xie, Y., Deng, X., & Sun, Y. (2026). Genomic Insights into Adaptation of Lagerstroemia suprareticulata to Limestone Karst Habitats. Plants, 15(4), 629. https://doi.org/10.3390/plants15040629

