Increased Drought Stress Tolerance in Maize Seeds by Bacillus paralicheniformis Halotolerant Endophytes Isolated from Avicennia germinans
Abstract
1. Introduction
2. Results
2.1. Characterization of the Physicochemical Conditions of the Mangrove Environment
2.2. Halotolerant Endophytic Bacteria Isolated from A. germinans
2.3. Characterization of Plant Growth-Promoting Activities of Halotolerant Isolates at 12 and 15% Sodium Chloride
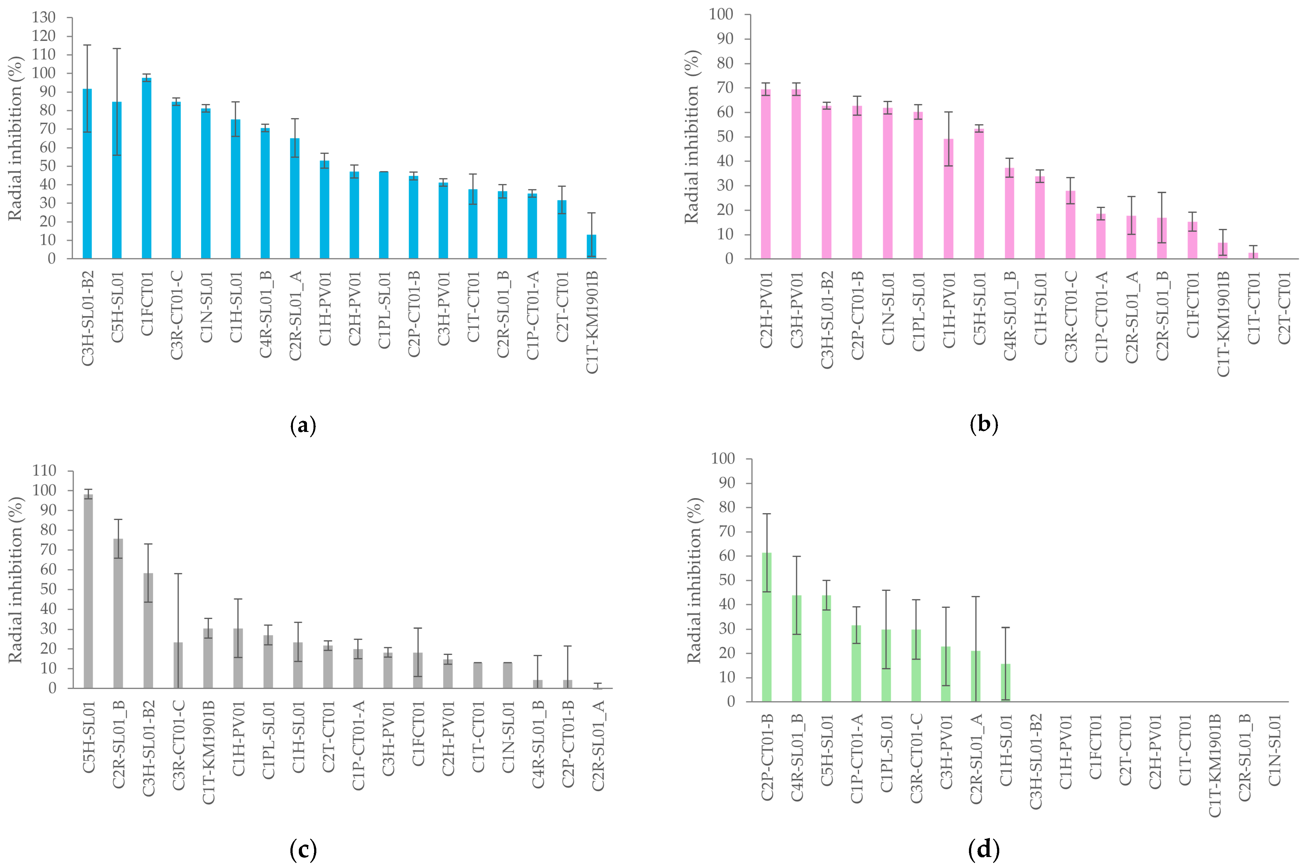
2.4. Characterization of Antagonistic Activities Against Phytopathogenic Fungi of Isolates Halotolerant to 12 and 15% Sodium Chloride
2.5. Tolerance to Drought Stress by PEG of the Most Halotolerant Isolates at 12 and 15% Sodium Chloride
2.6. Association Between Endophytic Isolated from Bacteria of A. germinans with Measured Variables
2.7. Genomic Analysis of the Selected Strain C1T-KM1901-B Halotolerant to 15% Sodium Chloride and 20% PEG from A. germinans
2.8. Evaluation of the Effect of Bacillus paralicheniformis C1T-KM1901-B on Maize Seed Germination Under Drought Stress
3. Discussion
3.1. Distribution of Endophytic Microorganisms in Avicennia germinans
3.2. Plant Growth—Promoting Traits of Halotolerant Endophytes
3.3. Tolerance of Endophytic Isolates to PEG-Induced Drought Stress
3.4. Multivariate Analysis and Selection of Bacillus paralicheniformis C1T-KM1901-B
3.5. Genomic Basis of Drought Tolerance and Plant Growth Promotion in Bacillus paralicheniformis C1T-KM1901-B
3.6. Implications of the Use of Bacillus paralicheniformis C1T-KM1901-B as a Bioinoculant Under Drought Stress Conditions
4. Materials and Methods
4.1. Sampling Sites and Sample Collection
4.2. Isolation of Halotolerant Endophytes from A. germinans
4.3. NaCl Tolerance
4.4. Characterization of Plant Growth-Promoting Activities by Endophytes
4.4.1. Production of Indole Acetic Acid (IAA)
4.4.2. Solubilization of Phosphates and Potassium, Proteolytic Activity and Growth in Nitrogen-Poor Medium
4.4.3. Antagonism Tests Against Phytopathogenic Fungi
4.5. Screening of Halotolerant Endophytic Bacteria Strains for Drought Tolerance
4.6. Genomic DNA Extraction and Sequencing of Strain C1T-KM1901-B
4.7. Evaluation of Drought Stress Tolerance in Maize Seeds Germination Using PEG and A. germinans Endophytes
4.7.1. Selecting and Treatment of Maize Seeds
4.7.2. Maize Seed Germination Under Drought Stress Conditions by PEG
4.7.3. Measurement of Maize Seed Germination Variables
4.8. Statistical Analysis
5. Conclusions
Supplementary Materials
Author Contributions
Funding
Data Availability Statement
Acknowledgments
Conflicts of Interest
References
- Imadi, S.R.; Gul, A.; Dikilitas, M.; Karakas, S.; Sharma, I.; Ahmad, P. Water Stress: Types, Causes, and Impact on Plant Growth and Development. In Water Stress and Crop Plants: A Sustainable Approach; Wiley: Hoboken, NJ, USA, 2016; pp. 343–355. [Google Scholar] [CrossRef]
- Al-Tawaha, A.R.; Turk, M.A.; Abu-Zaitoon, Y.M.; Aladaileh, S.H.; Al-Rawashdeh, I.M.; Alnaimat, S.; Al-Tawaha, A.R.M.; Alu’datt, M.H.; Wedyan, M. Plants Adaptation to Drought Environment. Bulg. J. Agric. Sci. 2017, 23, 381–388. [Google Scholar]
- Sadras, V.O.; Villalobos, F.J.; Orgaz, F.; Fereres, E. Principles of Agronomy for Sustainable Agriculture; Springer: Berlin/Heidelberg, Germany, 2016. [Google Scholar] [CrossRef]
- Osakabe, Y.; Osakabe, K.; Shinozaki, K.; Tran, L.S.P. Response of Plants to Water Stress. Front. Plant Sci. 2014, 5, 1–8. [Google Scholar] [CrossRef] [PubMed]
- Nyaupane, S.; Poudel, M.R.; Panthi, B.; Dhakal, A.; Paudel, H.; Bhandari, R. Drought Stress Effect, Tolerance, and Management in Wheat–a Review. Cogent Food Agric. 2024, 10, 2296094. [Google Scholar] [CrossRef]
- FAO. Agricultural Production Statistics 2000–2022; FAOSTAT Analytical Briefs 79; FAO: Rome, Italy, 2023; pp. 1–20. [Google Scholar]
- Farooq, M.; Wahid, A.; Kobayashi, N.; Fujita, D.; Basra, S.M.A. Review Article Plant Drought Stress: Effects, Mechanisms and Management. Agron. Sustain. Dev. 2009, 29, 185–212. [Google Scholar] [CrossRef]
- Tang, H.; Xie, X.; Zhang, L.; Liu, C. Assessing the Influence of Planting Dates on Sustainable Maize Production under Drought Stress Conditions. Sustainability 2024, 16, 4571. [Google Scholar] [CrossRef]
- Harrison, J.G.; Griffin, E.A. The Diversity and Distribution of Endophytes across Biomes, Plant Phylogeny and Host Tissues: How Far Have We Come and Where Do We Go from Here? Environ. Microbiol. 2020, 22, 2107–2123. [Google Scholar] [CrossRef] [PubMed]
- Salvi, P.; Mahawar, H.; Agarrwal, R.; Kajal; Gautam, V.; Deshmukh, R. Advancement in the Molecular Perspective of Plant-Endophytic Interaction to Mitigate Drought Stress in Plants. Front. Microbiol. 2022, 13, 981355. [Google Scholar] [CrossRef]
- Chieb, M.; Gachomo, E.W. The Role of Plant Growth Promoting Rhizobacteria in Plant Drought Stress Responses. BMC Plant Biol. 2023, 23, 407. [Google Scholar] [CrossRef]
- Ameen, M.; Mahmood, A.; Sahkoor, A.; Zia, M.A.; Ullah, M.S. The Role of Endophytes to Combat Abiotic Stress in Plants. Plant Stress 2024, 12, 100435. [Google Scholar] [CrossRef]
- Kasim, W.A.; Osman, M.E.; Omar, M.N.; Abd El-Daim, I.A.; Bejai, S.; Meijer, J. Control of Drought Stress in Wheat Using Plant-Growth-Promoting Bacteria. J. Plant Growth Regul. 2013, 32, 122–130. [Google Scholar] [CrossRef]
- Alhaddad, F.A.; Bitaar, Z.M.; Abu-Dieyeh, M.H. Diversity, Characterization, and Potential Applications of Bacterial Endophytes Isolated from the Halophyte Limonium Axillare. J. Plant Growth Regul. 2024, 43, 2179–2196. [Google Scholar] [CrossRef]
- Vardharajula, S.; Ali, S.Z.; Grover, M.; Reddy, G.; Bandi, V. Drought-Tolerant Plant Growth Promoting Bacillus spp.: Effect on Growth, Osmolytes, and Antioxidant Status of Maize Under Drought Stress. J. Plant Interact. 2011, 6, 1–14. [Google Scholar] [CrossRef]
- Kumari, R.; Pandey, E.; Bushra, S.; Faizan, S.; Pandey, S. Plant Growth Promoting Rhizobacteria (PGPR) Induced Protection: A Plant Immunity Perspective. Physiol. Plant. 2024, 176, e14495. [Google Scholar] [CrossRef] [PubMed]
- Rull, V. The Caribbean Mangroves: An Eocene Innovation with No Cretaceous Precursors. Earth Sci. Rev. 2022, 231, 104070. [Google Scholar] [CrossRef]
- Suárez, N.; Medina, E. Salinity Effect on Plant Growth and Leaf Demography of the Mangrove, Avicennia germinans L. Trees Struct. Funct. 2005, 19, 721–727. [Google Scholar] [CrossRef]
- Rodríguez-Ramírez, A.; Nivia-Ruíz, J.; Reira, J.G.F. Structural and Functional Characteristics of Avicennia germinans Mangrove Formation of Chengue Bay (Colombian Caribbean). Bol. Investig. Mar. Costeras 2004, 33, 223–244. [Google Scholar]
- Numbere, A.O.; Camilo, G.R. Characteristics and Diversity of Black Mangrove (Avicennia germinans) Pneumatophores in a Deforested and Sand-Filled Forest at Eagle Island, Niger Delta Nigeria. Int. J. Environ. Clim. Change 2023, 13, 301–315. [Google Scholar] [CrossRef]
- Dookie, S.; Jaikishun, S.; Ansari, A.A. Avicennia germinans Leaf Traits in Degraded, Restored, and Natural Mangrove Ecosystems of Guyana. Plant-Environ. Interact. 2023, 4, 324–341. [Google Scholar] [CrossRef]
- Alleman, L.K.; Hester, M.W. Reproductive Ecology of Black Mangrove (Avicennia germinans) Along the Louisiana Coast: Propagule Production Cycles, Dispersal Limitations, and Establishment Elevations. Estuaries Coasts 2011, 34, 1068–1077. [Google Scholar] [CrossRef]
- Sinsin, C.B.L.; Salako, K.V.; Fandohan, A.B.; Zanvo, M.G.S.; Kouassi, K.E.; Glèlè Kakaï, R.L. Pattern of Seedling Emergence and Early Growth in Avicennia germinans and Rhizophora racemosa along an Experimental Salinity Gradient. Afr. J. Ecol. 2021, 59, 1013–1022. [Google Scholar] [CrossRef]
- Mon, E.E. An Overview on Mangrove Forests Distribution in Colombia: An Ecosystem at Risk. J. Aquat. Sci. Mar. Biol. 2019, 2, 16–18. [Google Scholar] [CrossRef]
- Villate Daza, D.A.; Moreno, H.S.; Portz, L.; Manzolli, R.P.; Bolívar-Anillo, H.J.; Anfuso, G. Mangrove Forests Evolution and Threats in the Caribbean Sea of Colombia. Water 2020, 12, 1113. [Google Scholar] [CrossRef]
- Cardona, P.; Botero, L. Soil Characteristics and Vegetation Structure in a Heavily Deteriorated Mangrove Forest in the Caribbean Coast of Colombia. Biotropica 1998, 30, 24–34. [Google Scholar] [CrossRef]
- Sobrado, M.A.; Ewe, S.M.L. Ecophysiological Characteristics of Avicennia germinans and Laguncularia racemosa Coexisting in a Scrub Mangrove Forest at the Indian River Lagoon, Florida. Trees Struct. Funct. 2006, 20, 679–687. [Google Scholar] [CrossRef]
- Hamzah, T.N.T.; Lee, S.Y.; Hidayat, A.; Terhem, R.; Faridah-Hanum, I.; Mohamed, R. Diversity and Characterization of Endophytic Fungi Isolated from the Tropical Mangrove Species, Rhizophora mucronata, and Identification of Potential Antagonists against the Soil-Borne Fungus, Fusarium solani. Front. Microbiol. 2018, 9, 1707. [Google Scholar] [CrossRef]
- Ayaz, M.; Ali, Q.; Jiang, Q.; Wang, R.; Wang, Z.; Mu, G.; Khan, S.A.; Khan, A.R.; Manghwar, H.; Wu, H.; et al. Salt Tolerant Bacillus Strains Improve Plant Growth Traits and Regulation of Phytohormones in Wheat under Salinity Stress. Plants 2022, 11, 2769. [Google Scholar] [CrossRef]
- Chen, Z.; Liu, P.; Li, Z.; Yu, W.; Wang, Z.; Yao, H.; Wang, Y.; Li, Q.; Deng, X.; He, N. Identification of Key Genes Involved in Polysaccharide Bioflocculant Synthesis in Bacillus licheniformis. Biotechnol. Bioeng. 2017, 114, 645–655. [Google Scholar] [CrossRef]
- Goswami, G.; Hazarika, D.J.; Chowdhury, N.; Bora, S.S.; Sarmah, U.; Naorem, R.S.; Boro, R.C.; Barooah, M. Proline Confers Acid Stress Tolerance to Bacillus megaterium G18. Sci. Rep. 2022, 12, 8875. [Google Scholar] [CrossRef] [PubMed]
- Vlamakis, H.; Chai, Y.; Beauregard, P.; Losick, R.; Kolter, R. Sticking Together: Building a Biofilm the Bacillus subtilis Way. Nat. Rev. Microbiol. 2013, 11, 157–168. [Google Scholar] [CrossRef] [PubMed]
- Ilangumaran, G.; Smith, D.L. Plant Growth Promoting Rhizobacteria in Amelioration of Salinity Stress: A Systems Biology Perspective. Front. Plant Sci. 2017, 8, 1768. [Google Scholar] [CrossRef]
- Elsholz, A.K.W.; Wacker, S.A.; Losick, R. Self-Regulation of Exopolysaccharide Production in Bacillus subtilis by a Tyrosine Kinase. Genes Dev. 2014, 28, 1710–1720. [Google Scholar] [CrossRef] [PubMed]
- Tiwari, S.; Prasad, V.; Chauhan, P.S.; Lata, C. Bacillus Amyloliquefaciens Confers Tolerance to Various Abiotic Stresses and Modulates Plant Response to Phytohormones through Osmoprotection and Gene Expression Regulation in Rice. Front. Plant Sci. 2017, 8, 1510. [Google Scholar] [CrossRef] [PubMed]
- Gr, S.; Yadav, R.K.; Chatrath, A.; Gerard, M.; Tripathi, K.; Govindsamy, V.; Abraham, G. Perspectives on the Potential Application of Cyanobacteria in the Alleviation of Drought and Salinity Stress in Crop Plants. J. Appl. Phycol. 2021, 33, 3761–3778. [Google Scholar] [CrossRef]
- Hardoim, P.R.; van Overbeek, L.S.; Berg, G.; Pirttilä, A.M.; Compant, S.; Campisano, A.; Döring, M.; Sessitsch, A. The Hidden World within Plants: Ecological and Evolutionary Considerations for Defining Functioning of Microbial Endophytes. Microbiol. Mol. Biol. Rev. 2015, 79, 293–320. [Google Scholar] [CrossRef]
- Khare, E.; Mishra, J.; Arora, N.K. Multifaceted Interactions between Endophytes and Plant: Developments and Prospects. Front. Microbiol. 2018, 9, 2732. [Google Scholar] [CrossRef]
- Taghavi, S.; van der Lelie, D.; Hoffman, A.; Zhang, Y.B.; Walla, M.D.; Vangronsveld, J.; Newman, L.; Monchy, S. Genome Sequence of the Plant Growth Promoting Endophytic Bacterium enterobacter sp. 638. PLoS Genet. 2010, 6, 19. [Google Scholar] [CrossRef]
- Even, S.; Burguière, P.; Auger, S.; Soutourina, O.; Danchin, A.; Martin-Verstraete, I. Global Control of Cysteine Metabolism by CymR in Bacillus subtilis. J. Bacteriol. 2006, 188, 2184–2197. [Google Scholar] [CrossRef]
- Srivastava, L.M. Section III: Hormonal Regulation of Developmental and Physiological Processes. In Plant Growth and Development; Academic Press: Cambridge, MA, USA, 2002; ISBN 012660570X. [Google Scholar]
- Forni, C.; Duca, D.; Glick, B.R. Mechanisms of Plant Response to Salt and Drought Stress and Their Alteration by Rhizobacteria. Plant Soil 2017, 410, 335–356. [Google Scholar] [CrossRef]
- Doty, S.L. Functional Importance of the Plant Microbiome; Springer: Berlin/Heidelberg, Germany, 2017; ISBN 9783319658964. [Google Scholar]
- Mun, B.G.; Hussain, A.; Park, Y.G.; Kang, S.M.; Lee, I.J.; Yun, B.W. The PGPR Bacillus aryabhattai Promotes Soybean Growth via Nutrient and Chlorophyll Maintenance and the Production of Butanoic Acid. Front. Plant Sci. 2024, 15, 1–15. [Google Scholar] [CrossRef]
- Moradali, M.F.; Rehm, B.H.A. Bacterial Biopolymers: From Pathogenesis to Advanced Materials. Nat. Rev. Microbiol. 2020, 18, 195–210. [Google Scholar] [CrossRef] [PubMed]
- Wu, L.; Li, X.; Ma, L.; Borriss, R.; Wu, Z.; Gao, X. Acetoin and 2,3-Butanediol from Bacillus Amyloliquefaciens Induce Stomatal Closure in Arabidopsis thaliana and Nicotiana benthamiana. J. Exp. Bot. 2018, 69, 5625–5635. [Google Scholar] [CrossRef]
- Aruna, B.; Jain, S. Isolation, Characterization of Phosphatase Producing Bacteria and Fungi-Their Effect on Enhancing the Growth of Vigna Radiata. Indian J. Agric. Res. 2021, 55, 396–402. [Google Scholar] [CrossRef]
- Meena, V.S.; Bahadur, I.; Maurya, B.R.; Kumar, A.; Meena, R.K.; Meena, S.K.; Verma, J.P.; Meena, R.S.; Maurya, B.R.; Verma, J.P.; et al. Potassium-Solubilizing Microorganism in Evergreen Agriculture: An Overview. In Potassium Solubilizing Microorganisms for Sustainable Agriculture; Springer (India) Private Limited: New Delhi, India, 2016; pp. 1–20. ISBN 8132227743. [Google Scholar]
- Miethke, M.; Klotz, O.; Linne, U.; May, J.J.; Beckering, C.L.; Marahiel, M.A. Ferri-Bacillibactin Uptake and Hydrolysis in Bacillus subtilis. Mol. Microbiol. 2006, 61, 1413–1427. [Google Scholar] [CrossRef]
- Raymond, K.N.; Dertz, E.A.; Kim, S.S. Enterobactin: An Archetype for Microbial Iron Transport. Proc. Natl. Acad. Sci. USA 2003, 100, 3584–3588. [Google Scholar] [CrossRef]
- Patra, J.K.; Das, G.; Shin, H.S. Microbial Biotechnology; Springer: Berlin/Heidelberg, Germany, 2018; Volumer 2, ISBN 9789811071409. [Google Scholar]
- Lee, J.Y.; Janes, B.K.; Passalacqua, K.D.; Pfleger, B.F.; Bergman, N.H.; Liu, H.; Håkansson, K.; Somu, R.V.; Aldrich, C.C.; Cendrowski, S.; et al. Biosynthetic Analysis of the Petrobactin Siderophore Pathway from Bacillus anthracis. J. Bacteriol. 2007, 189, 1698–1710. [Google Scholar] [CrossRef]
- Qadir, M.; Iqbal, A.; Hussain, A.; Hussain, A.; Shah, F.; Yun, B.W.; Mun, B.G. Exploring Plant–Bacterial Symbiosis for Eco-Friendly Agriculture and Enhanced Resilience. Int. J. Mol. Sci. 2024, 25, 12198. [Google Scholar] [CrossRef] [PubMed]
- Aishwarya, P.; Sabarinathan, K.G.; Gomathy, M.; Meenakshisundaram, P.; Manonmani, K.; Kar, A.A. Endophytes as Bioenhancers of Plant Growth: An Overview. Fitoterapia 2025, 181, 106355. [Google Scholar] [CrossRef] [PubMed]
- Giauque, H.; Hawkes, C.V. Climate Affects Symbiotic Fungal Endophyte Diversity and Performance. Am. J. Bot. 2013, 100, 1435–1444. [Google Scholar] [CrossRef] [PubMed]
- Dargiri, S.A.; Naeimi, S.; Dargiri, S.A.; Naeimi, S. Plant Growth-Promoting Rhizobacteria in Management of Biotic and Abiotic Stresses. In Updates on Rhizobacteria; IntechOpen: London, UK, 2024. [Google Scholar] [CrossRef]
- Barajas González, J.A.; de la Rosa, Y.E.K.; Carrillo-González, R.; González-Chávez, M.d.C.Á.; Hidalgo Lara, M.E.; Soto Hernández, R.M.; Herrera Cabrera, B.E. NaCl Modifies Biochemical Traits in Bacterial Endophytes Isolated from Halophytes: Towards Salinity Stress Mitigation Using Consortia. Plants 2024, 13, 1626. [Google Scholar] [CrossRef]
- Bhutani, N.; Maheshwari, R.; Sharma, N.; Kumar, P.; Dang, A.S.; Suneja, P. Characterization of Halo-Tolerant Plant Growth Promoting Endophytic Bacillus licheniformis MHN 12. J. Genet. Eng. Biotechnol. 2022, 20, 113. [Google Scholar] [CrossRef]
- Ntabo, R.M.; Nyamache, A.K.; Lwande, W.; Kabii, J.; Nonoh, J. Enzymatic Activity of Endophytic Bacterial Isolates from Selected Mangrove Plants in Kenya. Open Microbiol. J. 2018, 12, 354–363. [Google Scholar] [CrossRef]
- Furtado, B.U.; Gołebiewski, M.; Skorupa, M.; Hulisz, P.; Hrynkiewicz, K. Bacterial and Fungal Endophytic Microbiomes of Salicornia europaea. Appl. Environ. Microbiol. 2019, 85, e00305-19. [Google Scholar] [CrossRef]
- Liu, G.H.; Liu, D.Q.; Wang, P.; Chen, Q.Q.; Che, J.M.; Wang, J.P.; Li, W.J.; Zhou, S.G. Temperature Drives the Assembly of Bacillus Community in Mangrove Ecosystem. Sci. Total Environ. 2022, 846, 157496. [Google Scholar] [CrossRef]
- Shrivastava, P.; Kumar, R.; Yandigeri, M.S.; Malviya, N.; Arora, D.K. Isolation and Characterization of Streptomycetes with Plant Growth Promoting Potential from Mangrove Ecosystem. Pol. J. Microbiol. 2015, 64, 339–349. [Google Scholar] [CrossRef]
- Hasan, N.; Khan, I.U.; Farzand, A.; Heng, Z.; Moosa, A.; Saleem, M.; Canming, T. Bacillus Altitudinis HNH7 and Bacillus Velezensis HNH9 Promote Plant Growth through Upregulation of Growth-Promoting Genes in Upland Cotton. J. Appl. Microbiol. 2022, 132, 3812–3824. [Google Scholar] [CrossRef]
- Bolívar-Anillo, H.J.; Garrido, C.; Collado, I.G. Endophytic Microorganisms for Biocontrol of the Phytopathogenic Fungus Botrytis cinerea. Phytochem. Rev. 2020, 19, 721–740. [Google Scholar] [CrossRef]
- Aleynova, O.A.; Kiselev, K. V Interaction of Plants and Endophytic Microorganisms. Plants 2023, 12, 714. [Google Scholar]
- Mondal, H.K.; Gera, R. Screening for Drought-Tolerant Mungbean Root Nodule Bacteria with Multiple Plant Growth Promoting Traits in Aridisol. Appl. Soil Ecol. 2024, 201, 105510. [Google Scholar] [CrossRef]
- De La Cruz-Quiroz, R.; Ascacio-Valdés, J.A.; Rodríguez-Herrera, R.; Roussos, S.; Aguilar, C.N. Phytopathogen Biomass as Inducer of Antifungal Compounds by Trichoderma Asperellum under Solid-State Fermentation. In Secondary Metabolites of Plant Growth Promoting Rhizomicroorganisms; Springer: Berlin/Heidelberg, Germany, 2019; pp. 113–124. ISBN 9789811358616. [Google Scholar]
- Tsotetsi, T.; Nephali, L.; Malebe, M.; Tugizimana, F. Bacillus for Plant Growth Promotion and Stress Resilience: What Have We Learned? Plants 2022, 11, 2482. [Google Scholar] [CrossRef]
- Lebre, P.H.; De Maayer, P.; Cowan, D.A. Xerotolerant Bacteria: Surviving through a Dry Spell. Nat. Rev. Microbiol. 2017, 15, 285–296. [Google Scholar] [CrossRef]
- Settu, V.; Annaiyan, S.; Mannu, J. Revealing the Genetic Arsenal of Bacillus firmus TNAU1: Unleashing Nematicidal and Plant Growth Promotion Traits. Physiol. Mol. Plant Pathol. 2024, 129, 102177. [Google Scholar] [CrossRef]
- Zaprasis, A.; Brill, J.; Thüring, M.; Wünsche, G.; Heun, M.; Barzantny, H.; Hoffmann, T.; Bremer, E. Osmoprotection of Bacillus subtilis through Import and Proteolysis of Proline-Containing Peptides. Appl. Environ. Microbiol. 2013, 79, 576–587. [Google Scholar] [CrossRef]
- Boch, J.; Kempf, B.; Schmid, R.; Bremer, E. Synthesis of the Osmoprotectant Glycine Betaine in Bacillus subtilis: Characterization of the GbsAB Genes. J. Bacteriol. 1996, 178, 5121–5129. [Google Scholar] [CrossRef]
- Kandel, S.L.; Joubert, P.M.; Doty, S.L. Bacterial Endophyte Colonization and Distribution within Plants. Microorganisms 2017, 5, 77. [Google Scholar] [CrossRef] [PubMed]
- Liu, S.; Tian, Y.; Jia, M.; Lu, X.; Yue, L.; Zhao, X.; Jin, W.; Wang, Y.; Zhang, Y.; Xie, Z.; et al. Induction of Salt Tolerance in Arabidopsis thaliana by Volatiles From Bacillus amyloliquefaciens FZB42 via the Jasmonic Acid Signaling Pathway. Front. Microbiol. 2020, 11, 562934. [Google Scholar] [CrossRef]
- Dahar, G.Y.; Wang, H.W.; Rajer, F.U.; Jin, P.; Xu, P.; Abro, M.A.; Qureshi, A.S.; Karim, A.; Miao, W. Comparative Genomic Analysis of Bacillus atrophaeus HAB-5 Reveals Genes Associated with Antimicrobial and Plant Growth-Promoting Activities. Front. Microbiol. 2024, 15, 1384691. [Google Scholar] [CrossRef]
- Khodarahmpour, Z. Effect of Drought Stress Induced by Polyethylene Glycol (PEG) on Germination Indices in Corn (Zea mays L.) Hybrids. Afr. J. Biotechnol. 2011, 10, 18222–18227. [Google Scholar] [CrossRef]
- Buqori, D.M.A.I.; Sugiharto, B.; Suherman; Siswoyo, T.A.; Hariyono, K. Mitigating Drought Stress by Application of Drought-Tolerant Bacillus spp. Enhanced Root Architecture, Growth, Antioxidant and Photosynthetic Genes Expression in Sugarcane. Sci. Rep. 2025, 15, 5259. [Google Scholar] [CrossRef] [PubMed]
- Balci, M.; Arikan-abdulveli, B.; Yildiztugay, E.; Ozfidan-konakci, C.; Uysal, A. Journal of Environmental Chemical Engineering An Effective Sustainable Strategy: Plant Growth Promoting Rhizobacteria (PGPR), Bacillus atrophaeus, in Maize Plants against Challenging Environments. J. Environ. Chem. Eng. 2025, 13, 116778. [Google Scholar] [CrossRef]
- Ghazanfar, S.; Hussain, A.; Dar, A.; Ahmad, M.; Anwar, H.; Al Farraj, D.A.; Rizwan, M.; Iqbal, R. Prospects of Iron Solubilizing Bacillus Species for Improving Growth and Iron in Maize (Zea mays L.) under Axenic Conditions. Sci. Rep. 2024, 14, 26342. [Google Scholar] [CrossRef] [PubMed]
- Azeem, M.; Haider, M.Z.; Javed, S.; Saleem, M.H.; Alatawi, A. Drought Stress Amelioration in Maize (Zea mays L.) by Inoculation of Bacillus spp. Strains under Sterile Soil Conditions. Agriculture 2022, 12, 50. [Google Scholar] [CrossRef]
- Liu, J.; Fimognari, L.; de Almeida, J.; Jensen, C.N.G.; Compant, S.; Oliveira, T.; Baelum, J.; Pastar, M.; Sessitsch, A.; Moelbak, L.; et al. Effect of Bacillus paralicheniformis on Soybean (Glycine max) Roots Colonization, Nutrient Uptake and Water Use Efficiency under Drought Stress. J. Agron. Crop Sci. 2023, 209, 547–565. [Google Scholar] [CrossRef]
- INVEMAR. Evolucion Litoral en la Zona Costera Frente al Proyecto Cabo Tortuga y Zonas Aledañas—Santa Marta, Colombia. Available online: https://portal.invemar.org.co/productos-proyectos/-/asset_publisher/BGy8cC5Lnpv4/content/evolucion-litoral-en-la-zona-costera-frente-al-proyecto-cabo-tortuga-y-zonas-aledanas-santa-marta-colombia?inheritRedirect=false (accessed on 13 October 2025).
- INVEMAR. Monitoreo de las Condiciones Ambientales y los Cambios Estructurales y Funcionales de las Comunidades Vegetales y de los Recursos Pesqueros Durante la Rehabilitación de la Ciénaga Grande de Santa Marta; INVEMAR: Santa Marta, Colombia, 2019. [Google Scholar]
- Potshangbam, M.; Indira Devi, S.; Sahoo, D.; Strobel, G.A. Functional Characterization of Endophytic Fungal Community Associated with Oryza sativa L. and Zea mays L. Front. Microbiol. 2017, 8, 325. [Google Scholar] [CrossRef]
- Shahid, M.; Hameed, S.; Tariq, M.; Zafar, M.; Ali, A.; Ahmad, N. Characterization of Mineral Phosphate-Solubilizing Bacteria for Enhanced Sunflower Growth and Yield-Attributing Traits. Ann. Microbiol. 2015, 65, 1525–1536. [Google Scholar] [CrossRef]
- Glickmann, E.; Dessaux, Y. A Critical Examination of the Specificity of the Salkowski Reagent for Indolic Compounds Produced by Phytopathogenic Bacteria. Appl. Environ. Microbiol. 1995, 61, 793–796. [Google Scholar] [CrossRef]
- Zhang, C.; Kong, F. Isolation and Identification of Potassium-Solubilizing Bacteria from Tobacco Rhizospheric Soil and Their Effect on Tobacco Plants. Appl. Soil Ecol. 2014, 82, 18–25. [Google Scholar] [CrossRef]
- Castro, R.A.; Quecine, M.C.; Lacava, P.T.; Batista, B.D.; Luvizotto, D.M.; Marcon, J.; Ferreira, A.; Melo, I.S.; Azevedo, J.L. Isolation and Enzyme Bioprospection of Endophytic Bacteria Associated with Plants of Brazilian Mangrove Ecosystem. SpringerPlus 2014, 3, 382. [Google Scholar] [CrossRef]
- Reis, V.M.; Estrada-de los Santos, P.; Tenorio-Salgado, S.; Vogel, J.; Stoffels, M.; Guyon, S.; Mavingui, P.; Baldani, V.L.D.; Schmid, M.; Baldani, J.I.; et al. Burkholderia tropica Sp. Nov., a Novel Nitrogen-Fixing, Plant-Associated Bacterium. Int. J. Syst. Evol. Microbiol. 2004, 54, 2155–2162. [Google Scholar] [CrossRef]
- Baldani, J.I.; Reis, V.M.; Videira, S.S.; Boddey, L.H.; Baldani, V.L.D. The Art of Isolating Nitrogen-Fixing Bacteria from Non-Leguminous Plants Using N-Free Semi-Solid Media: A Practical Guide for Microbiologists. Plant Soil 2014, 384, 413–431. [Google Scholar] [CrossRef]
- Tenorio-Salgado, S.; Tinoco, R.; Vazquez-Duhalt, R.; Caballero-Mellado, J.; Perez-Rueda, E. Identification of Volatile Compounds Produced by the Bacterium burkholderia tropica That Inhibit the Growth of Fungal Pathogens. Bioengineered 2013, 4, 236–243. [Google Scholar] [CrossRef]
- Bouremani, N.; Cherif-Silini, H.; Silini, A.; Rabhi, N.E.H.; Bouket, A.C.; Belbahri, L. Osmotolerant Plant Growth Promoting Bacteria Mitigate Adverse Effects of Drought Stress on Wheat Growth. AIMS Microbiol. 2024, 10, 507–541. [Google Scholar] [CrossRef]
- Region, U.W.; Mataboge, M.T.; Mohammed, M.; Dakora, F.D. Symbiotic N 2 Fixation, Leaf Photosynthesis, and Abiotic Stress Tolerance of Native Rhizobia Isolated from Soybean Nodules At. Microorganisms 2025, 13, 876. [Google Scholar]
- Wilson, K. Preparation of Genomic DNA from Bacteria. Curr. Protoc. Mol. Biol. 2001, 56, 2–4. [Google Scholar] [CrossRef]
- Bolger, A.M.; Lohse, M.; Usadel, B. Trimmomatic: A Flexible Trimmer for Illumina Sequence Data. Bioinformatics 2014, 30, 2114–2120. [Google Scholar] [CrossRef] [PubMed]
- Rozov, R.; Kav, A.B.; Bogumil, D.; Shterzer, N.; Halperin, E.; Mizrahi, I.; Shamir, R. Recycler: An Algorithm for Detecting Plasmids from de Novo Assembly Graphs. Bioinformatics 2017, 33, 475–482. [Google Scholar] [CrossRef]
- Boetzer, M.; Henkel, C.V.; Jansen, H.J.; Butler, D.; Pirovano, W. Scaffolding Pre-Assembled Contigs Using SSPACE. Bioinformatics 2011, 27, 578–579. [Google Scholar] [CrossRef]
- Nadalin, F.; Vezzi, F.; Policriti, A. GapFiller: A de Novo Assembly Approach to Fill the Gap within Paired Reads. BMC Bioinform. 2012, 13, S8. [Google Scholar] [CrossRef] [PubMed]
- Mikheenko, A.; Prjibelski, A.; Saveliev, V.; Antipov, D.; Gurevich, A. Versatile Genome Assembly Evaluation with QUAST-LG. Bioinformatics 2018, 34, i142–i150. [Google Scholar] [CrossRef]
- Rodriguez-R, L.M.; Gunturu, S.; Harvey, W.T.; Rosselló-Mora, R.; Tiedje, J.M.; Cole, J.R.; Konstantinidis, K.T. The Microbial Genomes Atlas (MiGA) Webserver: Taxonomic and Gene Diversity Analysis of Archaea and Bacteria at the Whole Genome Level. Nucleic Acids Res. 2018, 46, W282–W288. [Google Scholar] [CrossRef] [PubMed]
- Meier-Kolthoff, J.P.; Auch, A.F.; Klenk, H.P.; Göker, M. Genome Sequence-Based Species Delimitation with Confidence Intervals and Improved Distance Functions. BMC Bioinform. 2013, 14, 60. [Google Scholar] [CrossRef]
- Chun, J.; Oren, A.; Ventosa, A.; Christensen, H.; Arahal, D.R.; da Costa, M.S.; Rooney, A.P.; Yi, H.; Xu, X.W.; De Meyer, S.; et al. Proposed Minimal Standards for the Use of Genome Data for the Taxonomy of Prokaryotes. Int. J. Syst. Evol. Microbiol. 2018, 68, 461–466. [Google Scholar] [CrossRef] [PubMed]
- Seemann, T. Prokka: Rapid Prokaryotic Genome Annotation. Bioinformatics 2014, 30, 2068–2069. [Google Scholar] [CrossRef]
- Calvillo-Aguilar, F.F.; Cruz-Cárdenas, C.I.; Chávez-Díaz, I.F.; Sandoval-Cancino, G.; Ruiz-Ramírez, S.; Bautista-Ramírez, E.; Ramos-Garza, J.; Hernández-Rodríguez, C.H.; Zelaya-Molina, L.X. Germination Test for the Evaluation of Plant-Growth Promoting Microorganisms. J. Microbiol. Methods 2023, 207, 10. [Google Scholar] [CrossRef]
- Liu, M.; Li, M.; Liu, K.; Sui, N. Effects of Drought Stress on Seed Germination and Seedling Growth of Different Maize Varieties. J. Agric. Sci. 2015, 7, 231–240. [Google Scholar] [CrossRef]
- Tian, Y.; Guan, B.; Zhou, D.; Yu, J.; Li, G.; Lou, Y. Responses of Seed Germination, Seedling Growth, and Seed Yield Traits to Seed Pretreatment in Maize (Zea mays L.). Sci. World J. 2014, 2014, 834630. [Google Scholar] [CrossRef] [PubMed]









| Sampling Site Code | Sampling Site Name | Georeference | Sampled Organs 1 | Water Table Level (cm) | EC-GW 2 (mS cm−1) | Plant Height (m) | Soil Type | Soil pH | ECs 3 (mS cm−1) | SWC 4 (%) |
|---|---|---|---|---|---|---|---|---|---|---|
| SL01 | Sierra Laguna | 11°10′25″ N, 74°12′59″ W | L, S, R, P, and Se | 68.00 | 106.30 | 3.20 | Clayey | 8.40 | 17.15 | 65.00 |
| CT01 | Cabo Tortuga | 11°10′30″ N, 74°14′09″ W | L, S, R, F, P, and Pr | 57.00 | 85.74 | 2.50 | Sandy | 8.40 | 17.64 | 10.00 |
| KM1901 | Km 19, B/quilla–Sta. Marta | 11°00′44″ N, 74°36′46″ W | L, S, R, and P | 20.00 | 146.40 | 2.50 | Sandy | 7.86 | 41.50 | 46.60 |
| PV01 | Pueblo Viejo | 10°59′18″ N 74°17′31″ W | L, S, R, F, and P | 68.00 | 85.02 | 3.30 | Sandy | 8.40 | 8.56 | 40.40 |
| Isolate ID | Plant Tissue | NaCl Halotolerance | IAA 1 (µg mL−1) | Proteolytic Activity | Phosphate Solubilization | Potassium Solubilization | GNM 2 |
|---|---|---|---|---|---|---|---|
| C2R-SL01_A | Root | 12% | 13.0 ± 1.0 | + | − | − | + |
| C2R-SL01_B | Root | 12% | 4.0 ± 1.4 | + | − | − | − |
| C4R-SL01_B | Root | 12% | 11.7 ± 3.3 | + | − | − | + |
| C3R-CT01-C | Root | 12% | 11.7 ± 0.9 | + | − | − | + |
| C1N-SL01 | Pneum. | 12% | 5.3 ± 4.4 | + | − | − | + |
| C1T-CT01 | Stem | 15% | 16.3 ± 3.9 | + | − | − | + |
| C2T-CT01 | Stem | 15% | 15.7 ± 0.5 | + | − | − | + |
| C1T-KM1901-B | Stem | 15% | 9.3 ± 4.1 | + | − | − | − |
| C1H-SL01 | Leave | 12% | 14.0 ± 1.4 | + | − | − | − |
| C3H-SL01-B | Leave | 12% | 14.7 ± 1.9 | + | − | − | + |
| C5H-SL01 | Leave | 12% | 15.0 ± 1.4 | + | − | − | + |
| C1H-PV01 | Leave | 12% | 14.7 ± 2.5 | + | − | − | + |
| C2H-PV01 | Leave | 12% | 9.0 ± 3.6 | + | − | − | − |
| C3H-PV01 | Leave | 12% | 10.0 ± 4.5 | + | − | − | − |
| C1FCT01 | Flower | 15% | 11.0 ± 2.2 | + | − | − | + |
| C1P-CT01-A | Propag. | 12% | 12.0 ± 5.7 | + | − | − | + |
| C2P-CT01-B | Propag. | 12% | 17.3 ± 6.5 | + | − | − | + |
| C1PL-SL01 | Seedling | 12% | 19.3 ± 1.7 | + | − | − | + |
| Protein Product | Protein Code | Gene | Refs. |
|---|---|---|---|
| Production of Osmoprotectants and Osmotic Regulation | |||
| Glycine betaine transporter | SNY76213.1 | opuB | [29] |
| Glycine betaine-binding lipoprotein | AGG59643.1 | opuAC | [29] |
| Trehalose-6-phosphate hydrolase | SPY10133.1 | otsB | [29] |
| Glucose-specific phosphotransferase component | ARC73959.1 | crr | [30] |
| Phosphoglucomutase | SMF21391.1 | pgcA | [30] |
| UTP–glucose-1-phosphate uridylyltransferase | SPY15128.1 | gtaB | [30] |
| UDP-glucose 4-epimerase | CON87715.1 | galE | [30] |
| Glucose-6-phosphate isomerase | WP_226567401.1 | pgi | [30] |
| Glutamine–fructose-6-phosphate aminotransferase | CAK2235500.1 | glmS | [30] |
| Phosphoglucosamine mutase | SPY19784.1 | glmM | [30] |
| Bifunctional protein GlmU | NP_387931.1 | glmU | [30] |
| UDP-N-acetyl-D-glucosamine dehydrogenase | QHM09130.1 | wbpA | [30] |
| UDP-N-acetylglucosamine 2-epimerase | NP_391446.1 | mnaA | [30] |
| UDP-glucose 6-dehydrogenase TuaD | AOL99425.1 | tuaD | [30] |
| Gamma-glutamyl phosphate reductase | KOS72353.1 | proA | [31] |
| Pyrroline-5-carboxylate reductase | AOR98725.1 | proH | [31] |
| Protein-tyrosine kinase modulator EpsA | NP_391317.1 | epsA | [32,33,34] |
| Protein-tyrosine kinase modulator EpsB | NP_391316.1 | epsB | [32,33,34] |
| Stage 0 sporulation protein A | CAB14353.1 | spo0A | [32,33,34] |
| Aspartate kinase | WP_335451403.1 | lysC | [31,35] |
| Aspartate-semialdehyde dehydrogenase | SNY63598.1 | Asd | [31,35] |
| Diaminobutyrate–2-oxoglutarate transaminase | WGP06652.1 | ectB/dat | [31,35] |
| Glycine betaine aldehyde dehydrogenase | XLG11555.1 | gbsA | [31,35] |
| Choline dehydrogenase | SNY62559.1 | gbsB | [31,35] |
| Betaine aldehyde dehydrogenase | RUS10360.1 | codA | [31,35] |
| Glucose-1-phosphate adenylyltransferase | AOR99382.1 | glgC | [31,35] |
| 1,4-alpha-glucan branching enzyme | AOR99383.1 | glgB | [31,35] |
| ROS Regulation and Regulation of Genes Detoxifying ROS | |||
| Transcriptional regulator sensing organic peroxides | NP_389198.1 | ohrR | [29] |
| Nitrate reductase | KOS73226.1 | narG | [36] |
| Catalase | SPY10020.1 | katE | [36,37] |
| Peroxidase | AKD35422.1 | btuE | [37] |
| Thiol peroxidase | KJJ43384.1 | Tpx | [38] |
| Monooxygenase (cytochrome P450) | KIU12180.1 | Cyp | [38] |
| Cytochrome P450 oxidoreductase | AGA20975.1 | CYP120A1 | [38] |
| Spermidine synthase | SPY11098.1 | speE | [38] |
| Superoxide dismutase | SPY11823.1 | sodA | [39] |
| Alkyl hydroperoxide reductase | KOS72958.1 | ahpC | [39] |
| S-methyl-5-thioribose-1-phosphate isomerase | AOR97830.1 | mtnA | [40] |
| Plant Growth Promoting Activity | |||
| Adenine phosphoribosyltransferase | WOY75590.1 | apt | [37,38,41] |
| tRNA dimethylallyltransferase | SNY63384.1 | miaA | [42] |
| Isopentenyl-diphosphate Delta-isomerase | AOR98607.1 | fni/idi/ypgA | [42] |
| Isopentenyl pyrophosphate isomerase | SPY12006.1 | fni | [42] |
| 3-hydroxybutyryl-CoA dehydrogenase | CON28795.1 | hbd | [43,44] |
| gamma-DL-glutamyl hydrolase | WP_336804525.1 | pgdS | [45] |
| Glutamate racemase | AEB64457.1 | racE | [45] |
| alpha-acetolactate synthase | NP_391482.2 | alsS | [46] |
| alpha-acetolactate decarboxylase | WP_243499356.1 | alsD | [46] |
| L-threonine 3-dehydrogenase | NP_388505.1 | bdhA | [46] |
| Acquisition of Essential Minerals (K, P and Fe) | |||
| phosphatase | KOS73323.1 | phoA | [47] |
| gluconate permease | BAA06503.1 | gntP | [48] |
| sodium/malate symporter MaeN | QJP89869.1 | maeN | [48] |
| Putative malate transporter YflS | BAA22312.1 | yflS | [48] |
| dhbC isochorismate synthase (siderophore) | CAL0280723.1 | dhbC | [49] |
| Isochorismatase | SPY15243.1 | dhbB | [49] |
| 2,3-dihydro-2,3-dihydroxybenzoate dehydrogenase | QSG00654.1 | dhbA | [49] |
| 2,3-dihydroxybenzoate-AMP ligase | SPY15244.1 | dhbE | [49] |
| iron-uptake protein | NP_388042.2 | feuC | [49] |
| ferri-bacillibactin esterase BesA | WP_144453004.1 | besA | [49] |
| isochorismate synthase EntC | AVL04089.1 | entC | [50,51] |
| 2,3-dihydro-2,3-dihydroxybenzoate dehydrogenase | AOR99492.1 | entA | [50,51] |
| 2,3-dihydroxybenzoate-AMP ligase | AOS69206.1 | entE | [50,51] |
| petrobactin biosynthesis protein AsbA | WWO35711.1 | asbA | [52] |
| Seed Treatment | PEG (%) | Germination (%) | GP (%) | SGI-DR | SVI-DR | Root-Shoot Ratio |
|---|---|---|---|---|---|---|
| Seed + water | 0 | 50 ± 7 cde | 50 ± 7 ab | 1.0 ± 0.1 bc | 1.0 ± 0.2 ab | 0.50 ± 0.04 d |
| Seed + B. paralicheniformis | 0 | 72.5 ± 3.5 abc | 47.5 ± 3.5 ab | 1.2 ± 0.1 abc | 1.4 ± 0.3 a | 0.68 ± 0.11 bcd |
| Seed + water | 5 | 52.5 ± 2.4 bcde | 40 ± 0.5 bcd | 1.0 ± 0.2 bcd | 1.0 ± 0.2 ab | 0.76 ± 0.08 abcd |
| Seed + B. paralicheniformis | 5 | 80 ± 14 ab | 62.5 ± 17.7 a | 1.3 ± 0.4 ab | 0.87 ± 0.3 b | 0.73 ± 0.03 abcd |
| Seed + water | 10 | 65 ± 14 abcd | 52.5 ± 3.5 ab | 1.4 ± 0.1 abc | 1.0 ± 0.1 ab | 0.99 ± 0.17 abc |
| Seed + B. paralicheniformis | 10 | 85 ± 7 a | 62.5 ± 10.6 a | 1.5 ± 0.3 a | 1.3 ± 0.4 a | 10.5 ± 0.07 ab |
| Seed + water | 15 | 60 ± 14 abcd | 45 ± 14 abc | 1.0 ± 0.3 bcd | 0.41 ± 0.14 c | 1.2 ± 0.2 a |
| Seed + B. paralicheniformis | 15 | 77.5 ± 10.6 abc | 55 ± 7ab | 1.27 ± 0.04 abc | 0.85 ± 0.14 b | 10.7 ± 0.1 ab |
| Seed + water | 20 | 55 ± 7.1 bcde | 40 ± 0bcd | 0.88 ± 0.08 cde | 0.07 ± 0.02 cd | 1.3 ± 0.4 abc |
| Seed + B. paralicheniformis | 20 | 37.5 ± 17.7 de | 25 ± 7 d | 0.53 ± 0.05 e | 0.09 ± 0.04 cd | 1.0 ± 0.0 abc |
| Seed + water | 40 | 0 ± 0 f | 0 ± 0 e | 0 ± 0 f | 0 ± 0 d | 0 ± 0 e |
| Seed + B. paralicheniformis | 40 | 27.5 ± 10.6 ef | 27.5 ± 10.6 cd | 0.55 ± 0.21 de | 0.007 ± 0.004 d | 0.55 ± 0.636 cd |
Disclaimer/Publisher’s Note: The statements, opinions and data contained in all publications are solely those of the individual author(s) and contributor(s) and not of MDPI and/or the editor(s). MDPI and/or the editor(s) disclaim responsibility for any injury to people or property resulting from any ideas, methods, instructions or products referred to in the content. |
© 2026 by the authors. Licensee MDPI, Basel, Switzerland. This article is an open access article distributed under the terms and conditions of the Creative Commons Attribution (CC BY) license.
Share and Cite
Durán-Sequeda, D.E.; Soto-Valera, Z.E.; Pizarro Castañeda, R.; Torres, M.J.; Tobias, L.S.; Vergel, C.; Quintero Linero, A.P.; Bolívar-Anillo, H.J.; Amils, R.; Iglesias-Navas, M.A. Increased Drought Stress Tolerance in Maize Seeds by Bacillus paralicheniformis Halotolerant Endophytes Isolated from Avicennia germinans. Plants 2026, 15, 143. https://doi.org/10.3390/plants15010143
Durán-Sequeda DE, Soto-Valera ZE, Pizarro Castañeda R, Torres MJ, Tobias LS, Vergel C, Quintero Linero AP, Bolívar-Anillo HJ, Amils R, Iglesias-Navas MA. Increased Drought Stress Tolerance in Maize Seeds by Bacillus paralicheniformis Halotolerant Endophytes Isolated from Avicennia germinans. Plants. 2026; 15(1):143. https://doi.org/10.3390/plants15010143
Chicago/Turabian StyleDurán-Sequeda, Dinary Eloisa, Zamira E. Soto-Valera, Ricardo Pizarro Castañeda, María José Torres, Luz Sandys Tobias, Claudia Vergel, Alejandra Paola Quintero Linero, Hernando José Bolívar-Anillo, Ricardo Amils, and Maria Auxiliadora Iglesias-Navas. 2026. "Increased Drought Stress Tolerance in Maize Seeds by Bacillus paralicheniformis Halotolerant Endophytes Isolated from Avicennia germinans" Plants 15, no. 1: 143. https://doi.org/10.3390/plants15010143
APA StyleDurán-Sequeda, D. E., Soto-Valera, Z. E., Pizarro Castañeda, R., Torres, M. J., Tobias, L. S., Vergel, C., Quintero Linero, A. P., Bolívar-Anillo, H. J., Amils, R., & Iglesias-Navas, M. A. (2026). Increased Drought Stress Tolerance in Maize Seeds by Bacillus paralicheniformis Halotolerant Endophytes Isolated from Avicennia germinans. Plants, 15(1), 143. https://doi.org/10.3390/plants15010143

