Chemical Constituents and Antifungal Properties of Piper ceanothifolium Kunth Against Phytopathogens Associated with Cocoa Crops
Abstract
1. Introduction
2. Results and Discussion
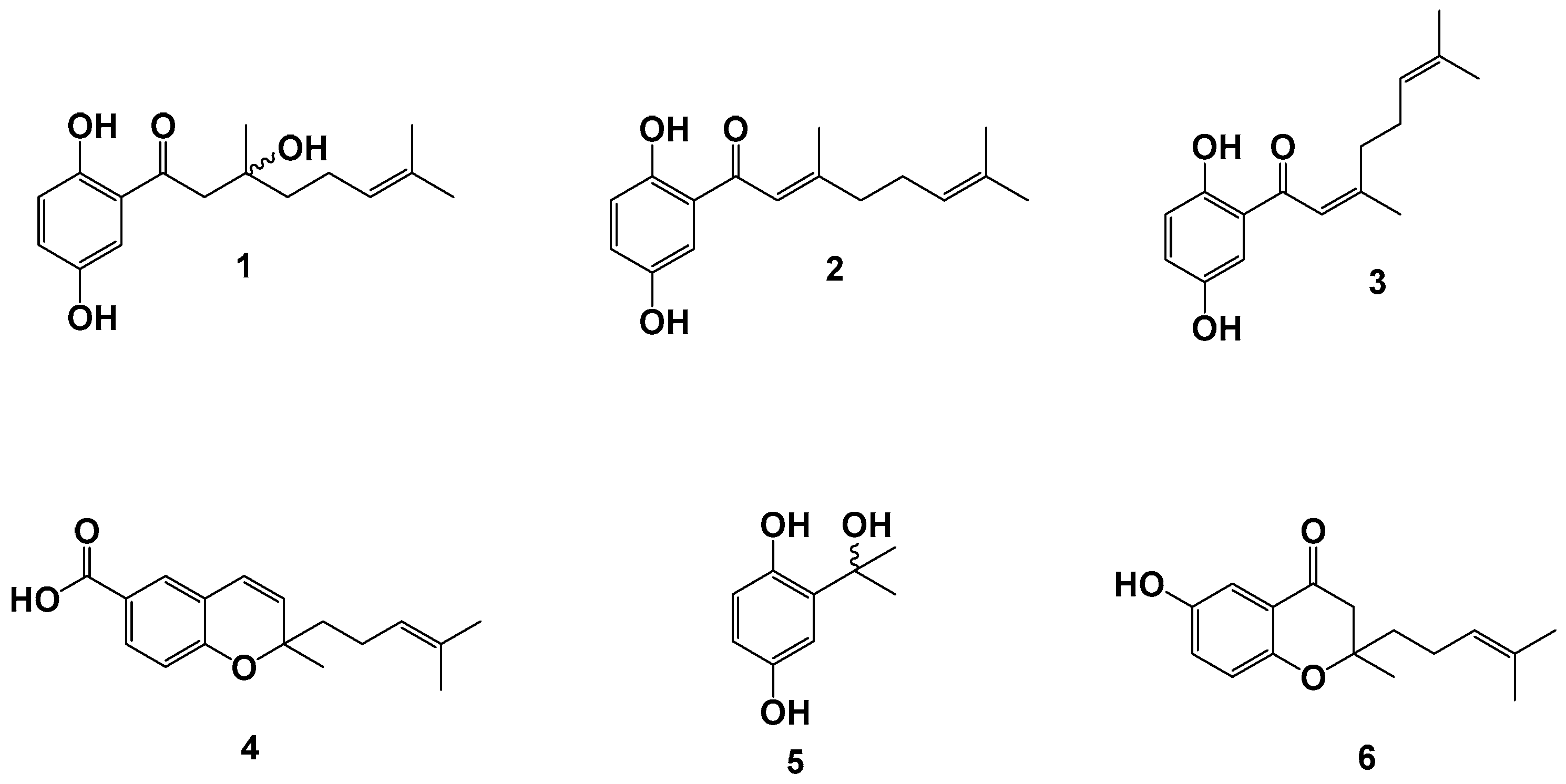
2.1. Phytochemical Study and Inhibition of Mycelial Growth Assays
2.2. Antifungal Potential of Chemical Constituents of P. ceanothifolium
2.2.1. Inhibitory Capacity on Mycelial Growth
2.2.2. Fungicide–Fungistatic Effect
2.2.3. Inhibition of Conidia Germination
3. Materials and Methods
3.1. General Experimental Procedures
3.2. Strains and Fungal Growth Conditions
3.3. Plant Material
3.4. Extraction and Isolation
3.5. Preparation of Ceanothichromone 6 Starting from 2
3.6. Antifungal Potential of Chemical Constituents of P. ceanothifolium
3.6.1. Inhibition of Mycelial Growth Assay
3.6.2. Determination of the Fungicidal or Fungistatic Effect
3.6.3. Inhibition of conidial germination
3.7. Data Analysis
4. Conclusions
Supplementary Materials
Author Contributions
Funding
Data Availability Statement
Acknowledgments
Conflicts of Interest
References
- Vásquez, Z.; De Calvalho Neto, D.; Pereira, G.; Vandenberghe, L.; De Oliveira, P.; Tiburcio, P.; Rogez, H.; Neto, A.; Soccol, C. Biotechnological approaches for cocoa waste management: A review. Waste Manag. 2019, 90, 72–83. [Google Scholar] [CrossRef] [PubMed]
 - Beg, M.S.; Ahmad, S.; Jan, K.; Bashir, K. Status, supply chain and processing of cocoa—A review. Trends Food Sci. Technol. 2017, 66, 108–116. [Google Scholar] [CrossRef]
 - Magrone, T.; Russo, M.A.; Jirillo, E. Cocoa and dark chocolate polyphenols: From biology to clinical applications. Front. Immunol. 2017, 15, 27–40. [Google Scholar] [CrossRef] [PubMed]
 - Arunkumar, K.; Jegadeeswari, V. Evaluating the processed beans of different cocoa (Theobroma cacao L.) accessions for quality parameters. J. Phytol. 2019, 11, 1–4. [Google Scholar]
 - Sriwana, I.K.; Arkeman, Y.; Syah, D.; Marimin, M. Sustainability improvement in cacao supply chain agro-industry. World Rev. Sci. Technol. Sustain. Dev. 2017, 13, 256–275. [Google Scholar] [CrossRef]
 - Antolinez, E.; Almanza, P.J.; Barona, A.F.; Polanco, E.; Serrano, P.A. Current State of Cocoa Plantation: A Review of its Main Limitations. Cienc. Agric. 2020, 17, 1–11. [Google Scholar] [CrossRef]
 - ICCO: International Cocoa Organization. Available online: https://www.icco.org/ (accessed on 9 September 2024).
 - Cilas, C.; Bastide, P. Challenges to Cocoa Production in the Face of Climate Change and the Spread of Pests and Diseases. Agronomy 2020, 10, 1232. [Google Scholar] [CrossRef]
 - Aneani, F.; Adu-Acheampong, R.; Sakyi-Dawson, O. Exploring opportunities for enhancing innovation in agriculture: The case of cocoa (Theobroma cacao L.) production in Ghana. J. Sustain. Agric. Res. 2018, 7, 33–53. [Google Scholar] [CrossRef][Green Version]
 - Somarriba, E.; Peguero, F.; Cerda, R.; Orozco-Aguilar, L.; López-Sampson, A.; Leandro-Muñoz, M.E.; Jagoret, P.; Sinclair, F.L. Rehabilitation and renovation of cocoa (Theobroma cacao L.) agroforestry systems. A review. Agron. Sustain. Dev. 2021, 41, 64. [Google Scholar] [CrossRef]
 - Perez, V. Moniliophthora roreri H.C. Evans et al. and Moniliophthora perniciosa (Stahel) Aime: Impact, symptoms, diagnosis, epidemiology and management. Rev. De Protección Veg. 2018, 33, 1–13. [Google Scholar]
 - Flores, V.J.; Gomez, L.; Lopez, J.A. Mechanisms of endogenous infection in cocoa fruits with Moniliophthora roreri. Polibotanica 2022, 53, 197–209. [Google Scholar] [CrossRef]
 - Evans, H.C. Witches’ broom disease (Moniliophthora perniciosa): History and biology. In Cacao Diseases: A History of Old Enemies and New Encounters; Springer Nature: Berlin/Heidelberg, Germany, 2016; pp. 137–177. [Google Scholar]
 - Pérez, L. Moniliophthora roreri H.C. Evans et al. y Moniliophthora perniciosa (Stahel) Aime: Impacto, síntomas, diagnóstico, epidemiología y manejo. Rev. Protección 2018, 33, 1–13. [Google Scholar]
 - Harrington, T.C.; Ferreira, M.A.; Somasekhara, Y.M.; Vickery, J.; Mayers, C.G. An expanded concept of Ceratocystis manginecans and five new species in the Latin American Clade of Ceratocystis. Mycologia 2023, 116, 184–212. [Google Scholar] [CrossRef] [PubMed]
 - Cabrera, O.G.; Molano, E.P.; José, J.; Alvarez, J.C.; Pereira, G.A. Ceratocystis Wilt Pathogens: History and Biology-Highlighting C. cacaofunesta, the Causal Agent of Wilt Disease of Cacao. In Cacao Diseases: A History of Old Enemies and New Encounters; Springer International Publishing: Berlin/Heidelberg, Germany, 2016; pp. 383–428. [Google Scholar]
 - Hernández, A.; Ruíz, Y.; Acebo, Y.; Miguélez, Y.; Heydrich, M. Antagonistas microbianos para el manejo de la pudrición negra del fruto en Theobroma cacao L. estado actual y perspectivas de uso en Cuba. Rev. Protección Veg. 2014, 29, 11–19. [Google Scholar]
 - Moreira, A.; Cedeño, V.; Canchignia, F.; Garcés, R. Lasiodiplodia theobromae (Pat.) Griffon y Maubl [(syn.) Botryodiplodia theobromae Pat] in the cocoa crop: Symptoms, biological cycle, and strategies management. Sci. Agropecu. 2021, 12, 653–662. [Google Scholar] [CrossRef]
 - Pisco, M.P.A. Lasiodiplodia theobromae causing dieback on Theobroma cacao in Colombia. New Dis. Rep. 2024, 49, e12266. [Google Scholar] [CrossRef]
 - Kennard, N.; Vagnoni, C. Pesticides and health. In UK Parliament Post 2021; UK Parliament: London, UK, 2021. [Google Scholar] [CrossRef]
 - Abbas, M.; Hussain, D.; Ramzan, M.; Saleem, M.J.; Abbas, S.; Hussain, N.; Irshad, M.; Hussain, K.; Ghouse, G.; Khaliq, M.; et al. Review on integrated disease and pest management of field crops. Int. J. Trop. Insect Sci. 2022, 42, 3235–3243. [Google Scholar] [CrossRef]
 - Bello, L.A.; Hernandez, M.; Santana, R.; Romero, H. Bioactive compounds: Uses of plant extracts in plant-based foods. Handb. Plant-Based Food Drink. Des. 2024, 10, 45–57. [Google Scholar] [CrossRef]
 - Gwinn, K.D. Bioactive Natural Products in Plant Disease Control. Stud. Nat. Prod. Chem. 2018, 56, 229–246. [Google Scholar] [CrossRef]
 - Brusotti, G.; Cesari, I.; Dentamaro, A.; Caccialanza, G.; Massolini, G. Isolation and characterization of bioactive compounds from natural resources: Metabolomics and molecular approaches. Evol. Divers. Source Anticancer. Mol. 2021, 87, 77–101. [Google Scholar] [CrossRef]
 - Ladino, C. Potencialidad del género Piper Como Fuente de Sustancias Para el Control de Hongos Fitopatógenos. Master’s Thesis, Universidad Nacional de Colombia, Bogotá, Colombia, 2018. [Google Scholar]
 - Pineda, R.; Vizcaíno, S.; García, C.; Gil, J.; Durango, D. Chemical composition and antifungal activity of Piper auritum Kunth and Piper holtonii C. DC. against phytopathogenic fungi. Chil. J. Agric. Res. 2012, 72, 507. [Google Scholar] [CrossRef]
 - Tangarife, V.; Correa, J.; Roa, V.; Pino, N.; Betancur, L.; Durán, D.; Mesa, A. Anti-Dermatophyte, Anti-Fusarium and Cytotoxic Activity of Essential Oils and Plant Extracts of Piper Genus. J. Essent. Oil Res. 2014, 26, 221–227. [Google Scholar] [CrossRef]
 - Lago, J.; Ramos, C.; Casanova, D.; Morandim, A.; Bergamo, D.; Cavalheiro, A.; Kato, M. Benzoic Acid Derivatives from Piper Species and Their Fungitoxic Activity against Cladosporium cladosporioides and C. sphaerospermum. J. Nat. Prod. 2004, 67, 1783–1788. [Google Scholar] [CrossRef] [PubMed]
 - Parra, J.E.; Cuca, L.E.; González, A. Antifungal and phytotoxic activity of benzoic acid derivatives from inflorescences of Piper cumanense. Nat. Prod. Res. 2019, 35, 2763–2771. [Google Scholar] [CrossRef]
 - Huaman, C.; Cabezas, O. Aceite de Matico (Piper aduncum) en el control de Moniliophthora roreri agente causal de la moniliasis en cacao. Peruv. Agric. Res. 2019, 1, 53–57. [Google Scholar] [CrossRef]
 - Xu, W.-H.; Li, X.-C. Antifungal compounds from Piper Species. Curr Bioact Compd. 2011, 7, 1–13. [Google Scholar] [CrossRef] [PubMed]
 - Chitiva, L.C.; Ladino, C.; Cuca, L.E.; Prieto, J.A.; Patiño, O.J. Antifungal activity of chemical constituents from Piper pesaresanum C. DC. and derivatives against phytopathogen fungi of cocoa. Molecules 2021, 26, 32–56. [Google Scholar] [CrossRef]
 - Cardenas, D.; Rincon, S.; Coy, E. Identification of Antifungal Compounds from Piper Plants Against Fusarium oxysporum: An Untargeted Metabolite Profiling-Based Approach. Nat. Prod. Commun. 2022, 17, 9995. [Google Scholar] [CrossRef]
 - GBIF: Global Biodiversity Information Facility. Piper ceanothifolium Kunth. Available online: https://www.gbif.org/species/4185062 (accessed on 9 March 2025).
 - Royal Botanic Gardens Kew. Piper ceanothifolium Kunth. Piper ceanothifolium Kunth. Plants of the World Online. Kew Science. Available online: https://powo.science.kew.org/taxon/urn:lsid:ipni.org:names:282941-2 (accessed on 9 March 2025).
 - Trujillo, W.; Hoyos, F. El Género Piper (Piperaceae) En La Reserva Natural Las Dalias, Municipio de La Montañita-Caquetá. Momentos Cienc. 2013, 10, 88–96. [Google Scholar]
 - López, S.N.; Lopes, A.A.; Batista, J.M., Jr.; Flausino, O., Jr.; da Silva Bolzani, V.; Kato, M.J.; Furlan, M. Geranylation of benzoic acid derivatives by enzymatic extracts from Piper crassinervium (Piperaceae). Bioresour. Technol. 2010, 101, 4251–4260. [Google Scholar] [CrossRef]
 - Danelutte, A.; João, G.; Lago, M.; Young and Kato, J. Antifungal Flavanones and Prenylated Hydroquinones from Piper crassinervium Kunth. Phytochemistry 2003, 64, 555–559. [Google Scholar] [CrossRef]
 - Parra, J.E.; Delgado, W.A.; Cuca, L.E. Cumanensic acid, a new chromene isolated from Piper cf. cumanense Kunth (Piperaceae). Phytochem. Lett. 2011, 4, 280–282. [Google Scholar] [CrossRef]
 - Yamaguchi, L.; Lago, J.; Tanizaki, T.; Di Mascio, P.; Kato, M. Antioxidant activity of prenylated hydroquinone and benzoic acid derivatives from Piper crassinervium Kunth. Phytochemistry 2006, 67, 1838–1843. [Google Scholar] [CrossRef] [PubMed]
 - Gallimore, W.A.; Sambo, T.; Campbell, T. Debromocymopolone from the green alga, Cymopolia barbata. J. Chem. Res. 2009, 3, 160–161. [Google Scholar] [CrossRef]
 - García, P.; Hernández, Á.; San Feliciano, A.; Castro, M. Bioactive prenyl-and terpenyl-quinones/hydroquinones of marine origin. Mar. Drugs 2018, 16, 292. [Google Scholar] [CrossRef]
 - Stiasni, N.; Kappe, C. A tandem intramolecular Michael-addition/elimination sequence in dihydropyrimidone to quinoline rearrangements. Arkat USA 2012, 7, 71–79. [Google Scholar] [CrossRef]
 - Marina, S.; Scott, S. Thin layer chromatography. Methods Enzymol. 2013, 533, 303–324. [Google Scholar] [CrossRef]
 - De Moreira, D.; Guimarães, E.F.; Kaplan, M.A. A C-glucosylflavone from leaves of Piper lhotzkyanum. Phytochemistry 2000, 55, 783–786. [Google Scholar] [CrossRef]
 - Hasim, S.; Coleman, J.J. Targeting the fungal cell wall: Current therapies and implications for development of alternative antifungal agents. Future Med. Chem. 2019, 11, 869–883. [Google Scholar] [CrossRef]
 - Iskandarov, U.S.; Guzalova, A.G.; Davranov, K.D. Effects of nutrient medium composition and temperature on the germination of conidia and the entomopathogenic activity of the fungi. Prikl. Biokhimiia Mikrobiol. 2006, 42, 81–85. [Google Scholar]
 - Amiri, A.; Cholodowski, D.; Bompeix, G. Adhesion and germination of waterborne and airborne conidia of Penicillium expansum to apple and inert surfaces. Physiol. Mol. Plant Pathol. 2005, 67, 40–48. [Google Scholar] [CrossRef]
 - Osherov, G.; May, S. Los mecanismos moleculares de la germinación de conidios. FEMS Microbiol. Lett. 2001, 199, 153–160. [Google Scholar] [CrossRef] [PubMed]
 - Mohana, D.C.; Raveesha, K.A. Anti-fungal evaluation of some plant extracts against some plant pathogenic field and storage fungi. J. Agric. Technol. 2007, 4, 119–137. [Google Scholar]
 - Jandaik, S.; Thakur, P.; Kumar, V. Efficacy of cow urine as plant growth enhancer and antifungal agent. Adv. Agric. 2015, 1, 1–7. [Google Scholar] [CrossRef]
 - Catão, H.C.; Sales, N.; Azevedo, D.M.; Flavio, N.S.; Menezes, J.B.; Barbosa, L.V.; Martinez, R.A. Fungicides and alternative products in the mycelial growth and germination control of Alternaria tomatophila. Idesia 2013, 31, 21–28. [Google Scholar] [CrossRef]
 


| Substance | F. solani | L. theobromae | M. roreri | |||
|---|---|---|---|---|---|---|
| a % IMG | b IC50 (ppm) | a % IMG | b IC50 (ppm) | a % IMG | b IC50 (ppm) | |
| Extract | 83.0 ± 3.8 | 198.8 (184.9–214.1)  | 92.0 ± 2.4 | 503.9 (449.6–561.7)  | 93.2 ± 0.8 | 129.5 (116.9–144.0)  | 
| DCM | 100.0 ± 0.0 | 195.7 (180.4–217.9)  | 82.7 ± 2.5 | 396.6 (353.8–442.1)  | 100.0 ± 0.0 | 102.7 (92.7–114.2)  | 
| EtOAc | 35.3 ± 2.5 | N.D | 19.0 ± 3.6 | N.D | 10.0 ± 3.5 | N.D | 
| IPA | 12.3 ± 2.1 | N.D | 13.7 ± 2.1 | N.D | 5.0 ± 2.3 | N.D | 
| EtOH:H2O | 3.3 ± 3.1 | N.D | 4.0 ± 1.0 | N.D | 0.0 ± 0.0 | N.D | 
| Benomyl | 100.0 ± 0.0 | 3.7 (2.7–5.1)  | 100.0 ± 0.0 | 5.2 (4.2–6.3)  | 100.0 ± 0.0 | 15.0 (13.9–16.1)  | 
| Mancozeb | 100.0 ± 0.0 | 5.3 (4.7–5.9)  | 100.0 ± 0.0 | 5.9 (5.2–6.9)  | 100.0 ± 0.0 | 3.4 (3.0–3.6)  | 
| Compound | F. solani | L. theobromae | M. roreri | 
|---|---|---|---|
| a IC50 μM | a IC50 μMa | a IC50 μM | |
| 1 | 93.8 ± 2.1 ****  | 30.4 ± 2.1 *  | 112.7 ± 2.6 ***  | 
| 2 | 34.2 ± 2.2 *  | 63.2 ± 2.1 *  | 60.0 ± 0.9 *  | 
| 3 | 68.8 ± 2.4 **  | 110.9 ± 2.2 **  | 92.3 ± 5.6 **  | 
| 4 | 29.6 ± 2.2 *  | 67.0 ± 2.1 *  | 199.2 ± 2.3 ****  | 
| 5 | ND | ND | ND | 
| 6 | 16.9 ± 2.2 *  | 81.4 ± 2.1 **  | 186.0 ± 2.8 ****  | 
| Mancozeb | 9.7 ± 2.1 | 10.8 ± 1.1 | 6.3 ± 0.3 | 
| Compound/Fungal | F. solani | L. theobromae | M. roreri | 
|---|---|---|---|
| a % ICG | a % ICG | a % ICG | |
| 1 | 46.3 ± 1.9 *  | 40.9 ± 1.2 *  | 73.0 ± 3.4 *  | 
| 2 | 32.7 ± 2.1 *  | 45.9 ± 1.2 *  | 81.2 ± 2.7 *  | 
| 3 | 25.5 ± 1.7 *  | 65.4 ± 2.3 *  | 68.4 ± 5.2 *  | 
| 4 | 55.2 ± 2.0 *  | 35.2 ± 1.7 *  | 60.3 ± 5.0 *  | 
| 6 | 85.2 ± 1.5 *  | 75.5 ± 1.0 *  | 66.7 ± 4.3 *  | 
| Mancozeb | 96.5 ± 2.1 | 95.5 ± 1.4 | 91.7 ± 2.5 | 
Disclaimer/Publisher’s Note: The statements, opinions and data contained in all publications are solely those of the individual author(s) and contributor(s) and not of MDPI and/or the editor(s). MDPI and/or the editor(s) disclaim responsibility for any injury to people or property resulting from any ideas, methods, instructions or products referred to in the content.  | 
© 2025 by the authors. Licensee MDPI, Basel, Switzerland. This article is an open access article distributed under the terms and conditions of the Creative Commons Attribution (CC BY) license (https://creativecommons.org/licenses/by/4.0/).
Share and Cite
Mahecha-Jimenez, Y.S.; Patiño-Ladino, O.J.; Prieto-Rodríguez, J.A. Chemical Constituents and Antifungal Properties of Piper ceanothifolium Kunth Against Phytopathogens Associated with Cocoa Crops. Plants 2025, 14, 934. https://doi.org/10.3390/plants14060934
Mahecha-Jimenez YS, Patiño-Ladino OJ, Prieto-Rodríguez JA. Chemical Constituents and Antifungal Properties of Piper ceanothifolium Kunth Against Phytopathogens Associated with Cocoa Crops. Plants. 2025; 14(6):934. https://doi.org/10.3390/plants14060934
Chicago/Turabian StyleMahecha-Jimenez, Yudy S., Oscar J. Patiño-Ladino, and Juliet A. Prieto-Rodríguez. 2025. "Chemical Constituents and Antifungal Properties of Piper ceanothifolium Kunth Against Phytopathogens Associated with Cocoa Crops" Plants 14, no. 6: 934. https://doi.org/10.3390/plants14060934
APA StyleMahecha-Jimenez, Y. S., Patiño-Ladino, O. J., & Prieto-Rodríguez, J. A. (2025). Chemical Constituents and Antifungal Properties of Piper ceanothifolium Kunth Against Phytopathogens Associated with Cocoa Crops. Plants, 14(6), 934. https://doi.org/10.3390/plants14060934
        
