Inducing Drought Resilience in Maize Through Encapsulated Bacteria: Physiological and Biochemical Adaptations
Abstract
1. Introduction
2. Results
2.1. Bacteria Selection
2.2. Influence of Inoculated Capsules on Maize Tolerance to Drought
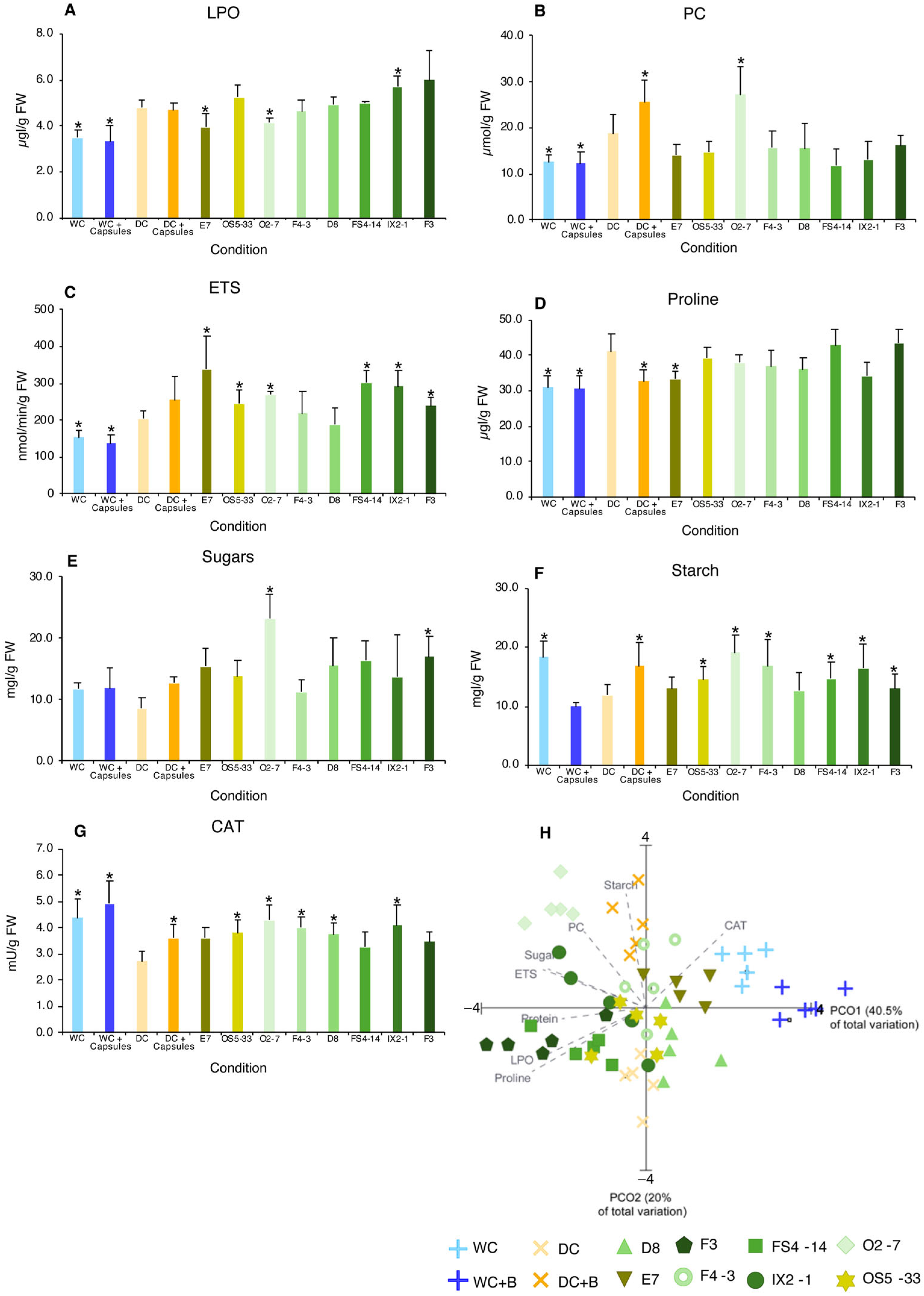
2.3. Biochemical Alterations in Roots
2.3.1. Oxidative Damage (Lipid Peroxidation and Protein Carbonylation)
2.3.2. Metabolic Capacity (ETS) and Energy Reserve (Starch) Content
2.3.3. Osmolyte Content
2.3.4. Antioxidant Enzymes (CAT and SOD)
2.3.5. Principal Coordinate Ordination (PCO) Analysis
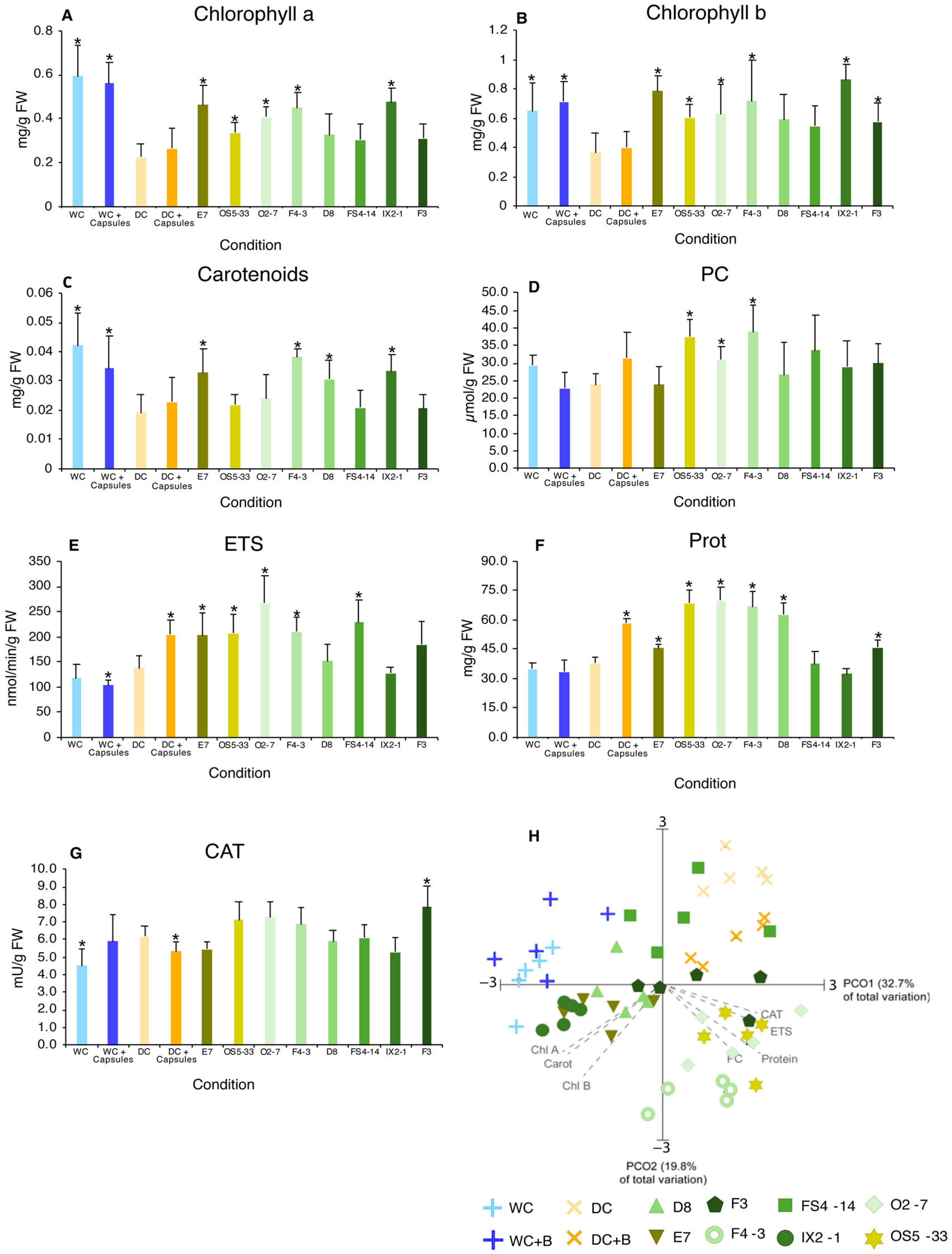
2.4. Biochemical Alterations in Shoots
2.4.1. Photosynthetic Pigments (Chlorophylls a and b and Carotenoids)
2.4.2. Oxidative Damage (PC and LPO)
2.4.3. Metabolic Capacity (ETS and Protein)
2.4.4. Antioxidant Enzymes (CAT and SOD)
2.4.5. Principal Coordinate Ordination (PCO) Analysis
3. Discussion
4. Material and Methods
4.1. Bacterial Strains
4.2. Bacteria Characterization
4.2.1. Osmotolerance
4.2.2. Plant Growth Promotion (PGP) Traits
4.3. Plant Growth Promotion Under Drought Stress (Experiment 1)
4.4. Bacteria Encapsulation
4.5. Plant Exposure to Encapsulated Bacteria (Experiment 2)
4.6. Photosynthetic Pigments
4.7. Biochemical Analysis
4.8. Statistical and Multivariate Analysis
5. Conclusions
Supplementary Materials
Author Contributions
Funding
Data Availability Statement
Conflicts of Interest
References
- Vicente-Serrano, S.M.; Peña-Angulo, D.; Beguería, S.; Domínguez-Castro, F.; Tomás-Burguera, M.; Noguera, I.; Gimeno-Sotelo, L.; El Kenawy, A. Global Drought Trends and Future Projections. Philos. Trans. R. Soc. Math. Phys. Eng. Sci. 2022, 380, 20210285. [Google Scholar] [CrossRef] [PubMed]
- Abraha, M.G.; Savage, M.J. Potential Impacts of Climate Change on the Grain Yield of Maize for the Midlands of KwaZulu-Natal, South Africa. Agric. Ecosyst. Environ. 2006, 115, 150–160. [Google Scholar] [CrossRef]
- Meza, F.J.; Silva, D.; Vigil, H. Climate Change Impacts on Irrigated Maize in Mediterranean Climates: Evaluation of Double Cropping as an Emerging Adaptation Alternative. Agric. Syst. 2008, 98, 21–30. [Google Scholar] [CrossRef]
- Tao, F.; Zhang, Z. Adaptation of Maize Production to Climate Change in North China Plain: Quantify the Relative Contributions of Adaptation Options. Eur. J. Agron. 2010, 33, 103–116. [Google Scholar] [CrossRef]
- Farhangfar, S.; Bannayan, M.; Khazaei, H.R.; Baygi, M.M. Vulnerability Assessment of Wheat and Maize Production Affected by Drought and Climate Change. Int. J. Disaster Risk Reduct. 2015, 13, 37–51. [Google Scholar] [CrossRef]
- Alexandrov, V.A.; Hoogenboom, G. The Impact of Climate Variability and Change on Crop Yield in Bulgaria. Agric. For. Meteorol. 2000, 104, 315–327. [Google Scholar] [CrossRef]
- Mall, R.K.; Lal, M.; Bhatia, V.S.; Rathore, L.S.; Singh, R. Mitigating Climate Change Impact on Soybean Productivity in India: A Simulation Study. Agric. For. Meteorol. 2004, 121, 113–125. [Google Scholar] [CrossRef]
- Chartzoulakis, K.; Bertaki, M. Sustainable Water Management in Agriculture under Climate Change. Agric. Agric. Sci. Procedia 2015, 4, 88–98. [Google Scholar] [CrossRef]
- Basit, A.; Shah, S.T.; Muntha, S.T.; Mohamed, H.I. Plant Growth-Promoting Rhizobacteria (PGPR) as Biocontrol Agents for Viral Protection. In Plant Growth-Promoting Microbes for Sustainable Biotic and Abiotic Stress Management; Mohamed, H.I., El-Beltagi, H.E.-D.S., Abd-Elsalam, K.A., Eds.; Springer International Publishing: Cham, Switzerland, 2021; pp. 187–225. ISBN 978-3-030-66587-6. [Google Scholar]
- Alori, E.T.; Glick, B.R.; Babalola, O.O. Microbial Phosphorus Solubilization and Its Potential for Use in Sustainable Agriculture. Front. Microbiol. 2017, 8, 971. [Google Scholar] [CrossRef]
- Goswami, D.; Thakker, J.N.; Dhandhukia, P.C. Portraying Mechanics of Plant Growth Promoting Rhizobacteria (PGPR): A Review. Cogent Food Agric. 2016, 2, 1127500. [Google Scholar] [CrossRef]
- Spaepen, S.; Vanderleyden, J. Auxin and Plant-Microbe Interactions. Cold Spring Harb. Perspect. Biol. 2011, 3, a001438. [Google Scholar] [CrossRef] [PubMed]
- Sá, C.; Cardoso, P.; Figueira, E. Alginate as a Feature of Osmotolerance Differentiation among Soil Bacteria Isolated from Wild Legumes Growing in Portugal. Sci. Total Environ. 2019, 681, 312–319. [Google Scholar] [CrossRef] [PubMed]
- Fincheira, P.; Quiroz, A. Microbial Volatiles as Plant Growth Inducers. Microbiol. Res. 2018, 208, 63–75. [Google Scholar] [CrossRef] [PubMed]
- Soto, M.J.; López-Lara, I.M.; Geiger, O.; Romero-Puertas, M.C.; van Dillewijn, P. Rhizobial Volatiles: Potential New Players in the Complex Interkingdom Signaling With Legumes. Front. Plant Sci. 2021, 12, 698912. [Google Scholar] [CrossRef]
- Young, C.-C.; Rekha, P.D.; Lai, W.-A.; Arun, A.B. Encapsulation of Plant Growth-Promoting Bacteria in Alginate Beads Enriched with Humic Acid. Biotechnol. Bioeng. 2006, 95, 76–83. [Google Scholar] [CrossRef]
- Lee, K.Y.; Mooney, D.J. Alginate: Properties and Biomedical Applications. Prog. Polym. Sci. 2012, 37, 106–126. [Google Scholar] [CrossRef]
- Wu, Z.; Zhao, Y.; Kaleem, I.; Li, C. Preparation of Calcium–Alginate Microcapsuled Microbial Fertilizer Coating Klebsiella oxytoca Rs-5 and Its Performance under Salinity Stress. Eur. J. Soil Biol. 2011, 47, 152–159. [Google Scholar] [CrossRef]
- Schoebitz, M.; López Belchí, M.D. Encapsulation Techniques for Plant Growth-Promoting Rhizobacteria. In Bioformulations: For Sustainable Agriculture; Arora, N.K., Mehnaz, S., Balestrini, R., Eds.; Springer: New Delhi, India, 2016; pp. 251–265. ISBN 978-81-322-2779-3. [Google Scholar]
- Wang, N.; Wang, B.; Wan, Y.; Gao, B.; Rajput, V.D. Alginate-Based Composites as Novel Soil Conditioners for Sustainable Applications in Agriculture: A Critical Review. J. Environ. Manag. 2023, 348, 119133. [Google Scholar] [CrossRef]
- Nörnberg, A.B.; Gehrke, V.R.; Mota, H.P.; Camargo, E.R.; Fajardo, A.R. Alginate-Cellulose Biopolymeric Beads as Efficient Vehicles for Encapsulation and Slow-Release of Herbicide. Colloids Surf. Physicochem. Eng. Asp. 2019, 583, 123970. [Google Scholar] [CrossRef]
- Bashan, Y.; Hernandez, J.-P.; Leyva, L.A.; Bacilio, M. Alginate Microbeads as Inoculant Carriers for Plant Growth-Promoting Bacteria. Biol. Fertil. Soils 2002, 35, 359–368. [Google Scholar] [CrossRef]
- John, R.P.; Tyagi, R.D.; Brar, S.K.; Surampalli, R.Y.; Prévost, D. Bio-Encapsulation of Microbial Cells for Targeted Agricultural Delivery. Crit. Rev. Biotechnol. 2011, 31, 211–226. [Google Scholar] [CrossRef] [PubMed]
- Vassilev, N.; Vassileva, M.; Martos, V.; Garcia del Moral, L.F.; Kowalska, J.; Tylkowski, B.; Malusá, E. Formulation of Microbial Inoculants by Encapsulation in Natural Polysaccharides: Focus on Beneficial Properties of Carrier Additives and Derivatives. Front. Plant Sci. 2020, 11, 270. [Google Scholar] [CrossRef] [PubMed]
- Schoebitz, M.; Simonin, H.; Poncelet, D. Starch Filler and Osmoprotectants Improve the Survival of Rhizobacteria in Dried Alginate Beads. J. Microencapsul. 2012, 29, 532–538. [Google Scholar] [CrossRef]
- Cruz, C.; Cardoso, P.; Santos, J.; Matos, D.; Figueira, E. Bioprospecting Soil Bacteria from Arid Zones to Increase Plant Tolerance to Drought: Growth and Biochemical Status of Maize Inoculated with Plant Growth-Promoting Bacteria Isolated from Sal Island, Cape Verde. Plants 2022, 11, 2912. [Google Scholar] [CrossRef]
- Ashry, N.M.; Alaidaroos, B.A.; Mohamed, S.A.; Badr, O.A.M.; El-Saadony, M.T.; Esmael, A. Utilization of Drought-Tolerant Bacterial Strains Isolated from Harsh Soils as a Plant Growth-Promoting Rhizobacteria (PGPR). Saudi J. Biol. Sci. 2022, 29, 1760–1769. [Google Scholar] [CrossRef]
- Chakraborty, U.; Chakraborty, B.N.; Chakraborty, A.P.; Dey, P.L. Water Stress Amelioration and Plant Growth Promotion in Wheat Plants by Osmotic Stress Tolerant Bacteria. World J. Microbiol. Biotechnol. 2013, 29, 789–803. [Google Scholar] [CrossRef] [PubMed]
- García, J.E.; Maroniche, G.; Creus, C.; Suárez-Rodríguez, R.; Ramirez-Trujillo, J.A.; Groppa, M.D. In Vitro PGPR Properties and Osmotic Tolerance of Different Azospirillum Native Strains and Their Effects on Growth of Maize under Drought Stress. Microbiol. Res. 2017, 202, 21–29. [Google Scholar] [CrossRef]
- Singh, P.; Singh, R.K.; Zhou, Y.; Wang, J.; Jiang, Y.; Shen, N.; Wang, Y.; Yang, L.; Jiang, M. Unlocking the Strength of Plant Growth Promoting Pseudomonas in Improving Crop Productivity in Normal and Challenging Environments: A Review. J. Plant Interact. 2022, 17, 220–238. [Google Scholar] [CrossRef]
- Jaiswal, S.K.; Mohammed, M.; Ibny, F.Y.I.; Dakora, F.D. Rhizobia as a Source of Plant Growth-Promoting Molecules: Potential Applications and Possible Operational Mechanisms. Front. Sustain. Food Syst. 2021, 4, 619676. [Google Scholar] [CrossRef]
- Shariati, J.V.; Malboobi, M.A.; Tabrizi, Z.; Tavakol, E.; Owlia, P.; Safari, M. Comprehensive Genomic Analysis of a Plant Growth-Promoting Rhizobacterium Pantoea agglomerans Strain P5. Sci. Rep. 2017, 7, 15610. [Google Scholar] [CrossRef]
- Rokhbakhsh-Zamin, F.; Sachdev, D.; Kazemi-Pour, N.; Engineer, A.; Pardesi, K.R.; Zinjarde, S.S.; Dhakephalkar, P.K.; Chopade, B.A. Characterization of Plant-Growth-Promoting Traits of Acinetobacter Species Isolated from Rhizosphere of Pennisetum glaucum. J. Microbiol. Biotechnol. 2011, 21, 556–566. [Google Scholar] [CrossRef] [PubMed]
- Foyer, C.H.; Noctor, G. Redox Regulation in Photosynthetic Organisms: Signaling, Acclimation, and Practical Implications. Antioxid. Redox Signal. 2009, 11, 861–905. [Google Scholar] [CrossRef]
- Meftah Kadmiri, I.; El Mernissi, N.; Azaroual, S.E.; Mekhzoum, M.E.M.; Qaiss, A.E.K.; Bouhfid, R. Bioformulation of Microbial Fertilizer Based on Clay and Alginate Encapsulation. Curr. Microbiol. 2021, 78, 86–94. [Google Scholar] [CrossRef] [PubMed]
- Lima-Tenório, M.K.; Karas, L.P.; Furmam-Cherobim, F.; Guerlinguer, E.; Rubira, A.F.; Steffens, M.B.R.; Galvão, C.W.; Tenório-Neto, E.T.; Etto, R.M. Encapsulation of Plant Growth-Promoting Bacteria with Gum Arabic Hydrogels: A Potential System for Sustainable Agriculture. J. Polym. Environ. 2024, 32, 5702–5712. [Google Scholar] [CrossRef]
- Minaxi; Saxena, J. Efficacy of Rhizobacterial Strains Encapsulated in Nontoxic Biodegradable Gel Matrices to Promote Growth and Yield of Wheat Plants. Appl. Soil Ecol. 2011, 48, 301–308. [Google Scholar] [CrossRef]
- Anjum, S.; Xie, X.; Wang, L.; Saleem, M.; Man, C.; Lei, W. Morphological, Physiological and Biochemical Responses of Plants to Drought Stress. Afr. J. Agric. Res. 2011, 6, 2026–2032. [Google Scholar] [CrossRef]
- Benabdellah, K.; Abbas, Y.; Abourouh, M.; Aroca, R.; Azcón, R. Influence of Two Bacterial Isolates from Degraded and Non-Degraded Soils and Arbuscular Mycorrhizae Fungi Isolated from Semi-Arid Zone on the Growth of Trifolium repens under Drought Conditions: Mechanisms Related to Bacterial Effectiveness. Eur. J. Soil Biol. 2011, 47, 303–309. [Google Scholar] [CrossRef]
- Hernández Montiel, L.G.; Chiquito Contreras, R.G.; Castillo Rocha, D.G.; Chiquito Contreras, C.J.; Vidal Hernández, L.; Beltrán Morales, F.A.; Hernández Montiel, L.G.; Chiquito Contreras, R.G.; Castillo Rocha, D.G.; Chiquito Contreras, C.J. Efecto de microcápsulas de Pseudomonas putida sobre crecimiento y rendimiento de pimiento morrón. Rev. Mex. Cienc. Agríc. 2018, 9, 4223–4233. [Google Scholar] [CrossRef]
- Peña-Datoli, M.; Hidalgo-Moreno, C.M.I.; González-Hernández, V.A.; Alcántar-González, E.G.; Etchevers-Barra, J.D. Recubrimiento de semillas de maíz (Zea mays L.) con quitosano y alginato de sodio y su efecto en el desarrollo radical. Agrociencia 2016, 50, 1091–1106. [Google Scholar]
- Hien, N.Q.; Nagasawa, N.; Tham, L.X.; Yoshii, F.; Dang, V.H.; Mitomo, H.; Makuuchi, K.; Kume, T. Growth-Promotion of Plants with Depolymerized Alginates by Irradiation. Radiat. Phys. Chem. 2000, 59, 97–101. [Google Scholar] [CrossRef]
- Olatunji, O. Alginates. In Aquatic Biopolymers: Understanding Their Industrial Significance and Environmental Implications; Olatunji, O., Ed.; Springer International Publishing: Cham, Switzerland, 2020; pp. 67–93. ISBN 978-3-030-34709-3. [Google Scholar]
- Sá, C.; Matos, D.; Pires, A.; Cardoso, P.; Figueira, E. Effects of Volatile Sulfur Compounds on Growth and Oxidative Stress of Rhizobium Leguminosarum E20-8 Exposed to Cadmium. Sci. Total Environ. 2021, 800, 149478. [Google Scholar] [CrossRef] [PubMed]
- Cruz, C.; Cardoso, P.; Santos, J.; Matos, D.; Sá, C.; Figueira, E. Application of Plant Growth-Promoting Bacteria from Cape Verde to Increase Maize Tolerance to Salinity. Antioxidants 2023, 12, 488. [Google Scholar] [CrossRef] [PubMed]
- Bano, Q.; Ilyas, N.; Bano, A.; Zafar, N.; Akram, A.; Hassan, F.U.L. Effect of Azospirillum Inoculation on Maize (Zea Mays L.) under Drought Stress. Pak. J. Bot. 2013, 45, 13–20. [Google Scholar]
- Yamada, M.; Morishita, H.; Urano, K.; Shiozaki, N.; Yamaguchi-Shinozaki, K.; Shinozaki, K.; Yoshiba, Y. Effects of Free Proline Accumulation in Petunias under Drought Stress. J. Exp. Bot. 2005, 56, 1975–1981. [Google Scholar] [CrossRef]
- Rajendrakumar, C.S.V.; Reddy, B.V.B.; Reddy, A.R. Proline-Protein Interactions: Protection of Structural and Functional Integrity of M4 Lactate Dehydrogenase. Biochem. Biophys. Res. Commun. 1994, 201, 957–963. [Google Scholar] [CrossRef]
- Lopes, T.; Cruz, C.; Cardoso, P.; Pinto, R.; Marques, P.A.A.P.; Figueira, E. A Multifactorial Approach to Untangle Graphene Oxide (GO) Nanosheets Effects on Plants: Plant Growth-Promoting Bacteria Inoculation, Bacterial Survival, and Drought. Nanomaterials 2021, 11, 771. [Google Scholar] [CrossRef]
- Gagné-Bourque, F.; Bertrand, A.; Claessens, A.; Aliferis, K.A.; Jabaji, S. Alleviation of Drought Stress and Metabolic Changes in Timothy (Phleum pratense L.) Colonized with Bacillus Subtilis B26. Front. Plant Sci. 2016, 7, 584. [Google Scholar] [CrossRef]
- Rani, N.; Kaur, G.; Kaur, S.; Upadhyay, S.K.; Tripathi, M. Development of Zn Biofertilizer Microbeads Encapsulating Enterobacter ludwigii-PS10 Mediated Alginate, Starch, Poultry Waste and Its Efficacy in Solanum lycopersicum Growth Enhancement. Int. J. Biol. Macromol. 2023, 240, 124381. [Google Scholar] [CrossRef]
- Akhtar, N.; Ilyas, N. Role of Nanosilicab to Boost the Activities of Metabolites in Triticum aestivum Facing Drought Stress. Plant Soil 2022, 477, 99–115. [Google Scholar] [CrossRef]
- Cardoso, P.; Alves, A.; Silveira, P.; Sá, C.; Fidalgo, C.; Freitas, R.; Figueira, E. Bacteria from Nodules of Wild Legume Species: Phylogenetic Diversity, Plant Growth Promotion Abilities and Osmotolerance. Sci. Total Environ. 2018, 645, 1094–1102. [Google Scholar] [CrossRef]
- Somasegaran, P.; Hoben, H.J. Handbook for Rhizobia: Methods in Legume-Rhizobium Technology; Springer Science & Business Media: New York, NY, USA, 2012; ISBN 978-1-4613-8375-8. [Google Scholar]
- Lopes, T.S. Graphene Oxide Nanosheets and Osmotic Stress Effect on Soil Bacteria, Plants and Their Interaction: Biochemical and PGP Changes [Efeito de Óxido de Grafeno e Stress Osmótico em Bactérias do Solo, Plantas e na Interação de Ambas: Alterações Bioquímicas e PGP]. Master’s Thesis, Universidade de Aveiro, Aveiro, Portugal, 2021. Available online: https://ria.ua.pt/handle/10773/33235 (accessed on 16 December 2024).
- Alexander, D.B.; Zuberer, D.A. Use of Chrome Azurol S Reagents to Evaluate Siderophore Production by Rhizosphere Bacteria. Biol. Fertil. Soils 1991, 12, 39–45. [Google Scholar] [CrossRef]
- Chatli, A.S.; Beri, V.; Sidhu, B.S. Isolation and Characterisation of Phosphate Solubilising Microorganisms from the Cold Desert Habitat of Salix alba L. in Trans Himalayan Region of Himachal Pradesh. Indian J. Microbiol. 2008, 48, 267–273. [Google Scholar] [CrossRef] [PubMed]
- Meena, V.S.; Maurya, B.R.; Verma, J.P.; Aeron, A.; Kumar, A.; Kim, K.; Bajpai, V.K. Potassium Solubilizing Rhizobacteria (KSR): Isolation, Identification, and K-Release Dynamics from Waste Mica. Ecol. Eng. 2015, 81, 340–347. [Google Scholar] [CrossRef]
- Gordon, S.A.; Weber, R.P. Colorimetric estimation of indoleacetic acid. Plant Physiol. 1951, 26, 192–195. [Google Scholar] [CrossRef]
- Johnson, A.S.; O’Sullivan, E.; D’Aoust, L.N.; Omer, A.; Bonner-Weir, S.; Fisher, R.J.; Weir, G.C.; Colton, C.K. Quantitative Assessment of Islets of Langerhans Encapsulated in Alginate. Tissue Eng. Part C Methods 2011, 17, 435–449. [Google Scholar] [CrossRef]
- Bates, L.S.; Waldren, R.P.; Teare, I.D. Rapid Determination of Free Proline for Water-Stress Studies. Plant Soil 1973, 39, 205–207. [Google Scholar] [CrossRef]
- Szopa, D.; Mielczarek, M.; Skrzypczak, D.; Izydorczyk, G.; Mikula, K.; Chojnacka, K.; Witek-Krowiak, A. Encapsulation Efficiency and Survival of Plant Growth-Promoting Microorganisms in an Alginate-Based Matrix—A Systematic Review and Protocol for a Practical Approach. Ind. Crops Prod. 2022, 181, 114846. [Google Scholar] [CrossRef]
- Khosravi Zanjani, M.A.; Ghiassi Tarzi, B.; Sharifan, A.; Mohammadi, N. Microencapsulation of Probiotics by Calcium Alginate-Gelatinized Starch with Chitosan Coating and Evaluation of Survival in Simulated Human Gastro-Intestinal Condition. Iran. J. Pharm. Res. IJPR 2014, 13, 843–852. [Google Scholar]
- Lopes, T.; Costa, P.; Cardoso, P.; Figueira, E. Bacterial Volatile Organic Compounds as a Strategy to Increase Drought Tolerance in Maize (Zea mays L.): Influence on Plant Biochemistry. Plants 2024, 13, 2456. [Google Scholar] [CrossRef]
- Zhao, J.; Xie, X.; Shen, X.; Wang, Y. Effect of Sunlight-Exposure on Antioxidants and Antioxidant Enzyme Activities in ‘d’Anjou’ Pear in Relation to Superficial Scald Development. Food Chem. 2016, 210, 18–25. [Google Scholar] [CrossRef]
- King, F.D.; Packard, T.T. Respiration and the Activity of the Respiratory Electron Transport System in Marine Zooplankton. Limnol. Oceanogr. 1975, 20, 849–854. [Google Scholar] [CrossRef]
- De Coen, W.M.; Janssen, C.R. The Use of Biomarkers in Daphnia Magna Toxicity Testing. IV. Cellular Energy Allocation: A New Methodology to Assess the Energy Budget of Toxicant-Stressed Daphnia Populations. J. Aquat. Ecosyst. Stress Recovery 1997, 6, 43–55. [Google Scholar] [CrossRef]
- Robinson, H.W.; Hogden, C.G. The biuret reaction in the determination of serum proteins: I. a study of the conditions necessary for the production of a stable color which bears a quantitative relationship to the protein concentration. J. Biol. Chem. 1940, 135, 707–725. [Google Scholar] [CrossRef]
- Beauchamp, C.; Fridovich, I. Superoxide Dismutase: Improved Assays and an Assay Applicable to Acrylamide Gels. Anal. Biochem. 1971, 44, 276–287. [Google Scholar] [CrossRef]
- Johansson, L.H.; Borg, L.A. A Spectrophotometric Method for Determination of Catalase Activity in Small Tissue Samples. Anal. Biochem. 1988, 174, 331–336. [Google Scholar] [CrossRef]
- Mesquita, C.S.; Oliveira, R.; Bento, F.; Geraldo, D.; Rodrigues, J.V.; Marcos, J.C. Simplified 2,4-Dinitrophenylhydrazine Spectrophotometric Assay for Quantification of Carbonyls in Oxidized Proteins. Anal. Biochem. 2014, 458, 69–71. [Google Scholar] [CrossRef]
- Buege, J.A.; Aust, S.D. Microsomal Lipid Peroxidation. Methods Enzymol. 1978, 52, 302–310. [Google Scholar] [CrossRef] [PubMed]
- DuBois, M.; Gilles, K.A.; Hamilton, J.K.; Rebers, P.A.; Smith, F. Colorimetric Method for Determination of Sugars and Related Substances. Anal. Chem. 1956, 28, 350–356. [Google Scholar] [CrossRef]
- Anderson, M. Permanova+ for Primer: Guide to Software and Statistical Methods; Primer-E Ltd.: Plymouth, UK, 2008. [Google Scholar]
- Pang, Z.; Chong, J.; Zhou, G.; de Lima Morais, D.A.; Chang, L.; Barrette, M.; Gauthier, C.; Jacques, P.-É.; Li, S.; Xia, J. MetaboAnalyst 5.0: Narrowing the Gap between Raw Spectra and Functional Insights. Nucleic Acids Res. 2021, 49, W388–W396. [Google Scholar] [CrossRef]





Disclaimer/Publisher’s Note: The statements, opinions and data contained in all publications are solely those of the individual author(s) and contributor(s) and not of MDPI and/or the editor(s). MDPI and/or the editor(s) disclaim responsibility for any injury to people or property resulting from any ideas, methods, instructions or products referred to in the content. |
© 2025 by the authors. Licensee MDPI, Basel, Switzerland. This article is an open access article distributed under the terms and conditions of the Creative Commons Attribution (CC BY) license (https://creativecommons.org/licenses/by/4.0/).
Share and Cite
Lopes, T.; Costa, P.; Cardoso, P.; e Silva, J.A.; Figueira, E. Inducing Drought Resilience in Maize Through Encapsulated Bacteria: Physiological and Biochemical Adaptations. Plants 2025, 14, 812. https://doi.org/10.3390/plants14050812
Lopes T, Costa P, Cardoso P, e Silva JA, Figueira E. Inducing Drought Resilience in Maize Through Encapsulated Bacteria: Physiological and Biochemical Adaptations. Plants. 2025; 14(5):812. https://doi.org/10.3390/plants14050812
Chicago/Turabian StyleLopes, Tiago, Pedro Costa, Paulo Cardoso, José Almeida e Silva, and Etelvina Figueira. 2025. "Inducing Drought Resilience in Maize Through Encapsulated Bacteria: Physiological and Biochemical Adaptations" Plants 14, no. 5: 812. https://doi.org/10.3390/plants14050812
APA StyleLopes, T., Costa, P., Cardoso, P., e Silva, J. A., & Figueira, E. (2025). Inducing Drought Resilience in Maize Through Encapsulated Bacteria: Physiological and Biochemical Adaptations. Plants, 14(5), 812. https://doi.org/10.3390/plants14050812

