Effects of Nitrogen Addition on Leaf Functional Traits of Dominant Species in Bayanbulak Grassland, Xinjiang, China
Abstract
1. Introduction
2. Materials and Methods
2.1. Overview of the Study Area
2.2. Experimental Design
2.3. Sample Acquisition and Processing
2.4. Data Processing
3. Results
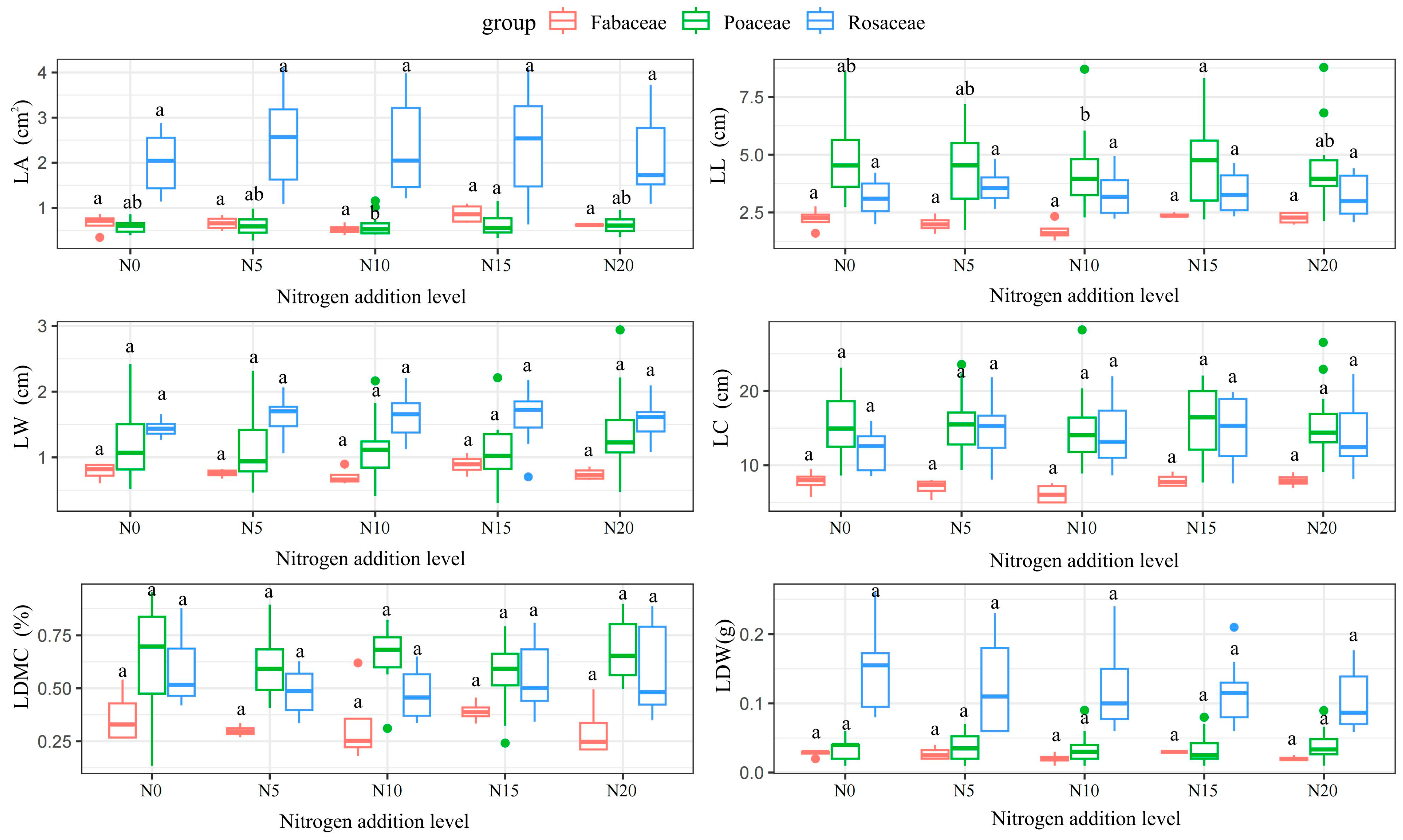
3.1. Response of Leaf Functional Traits to Nitrogen Addition
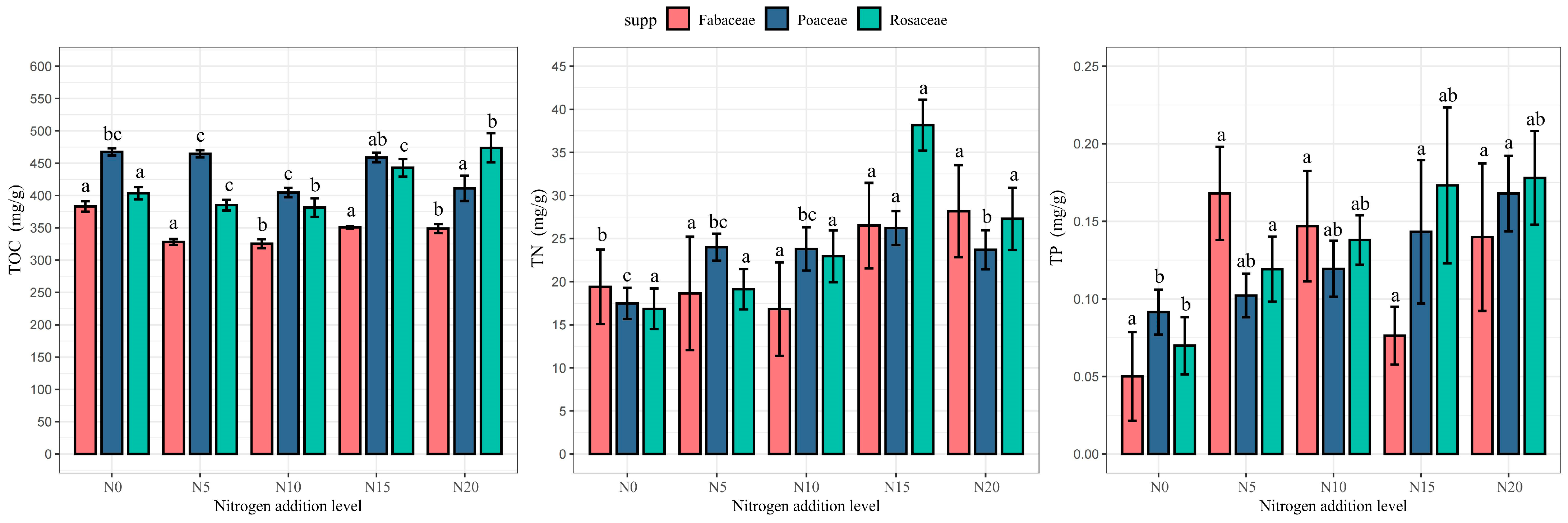
3.2. Response of Plant Nutrient Content to Nitrogen Addition
3.3. Correlation Analysis of Leaf Functional Traits and Plant Nutrient Content
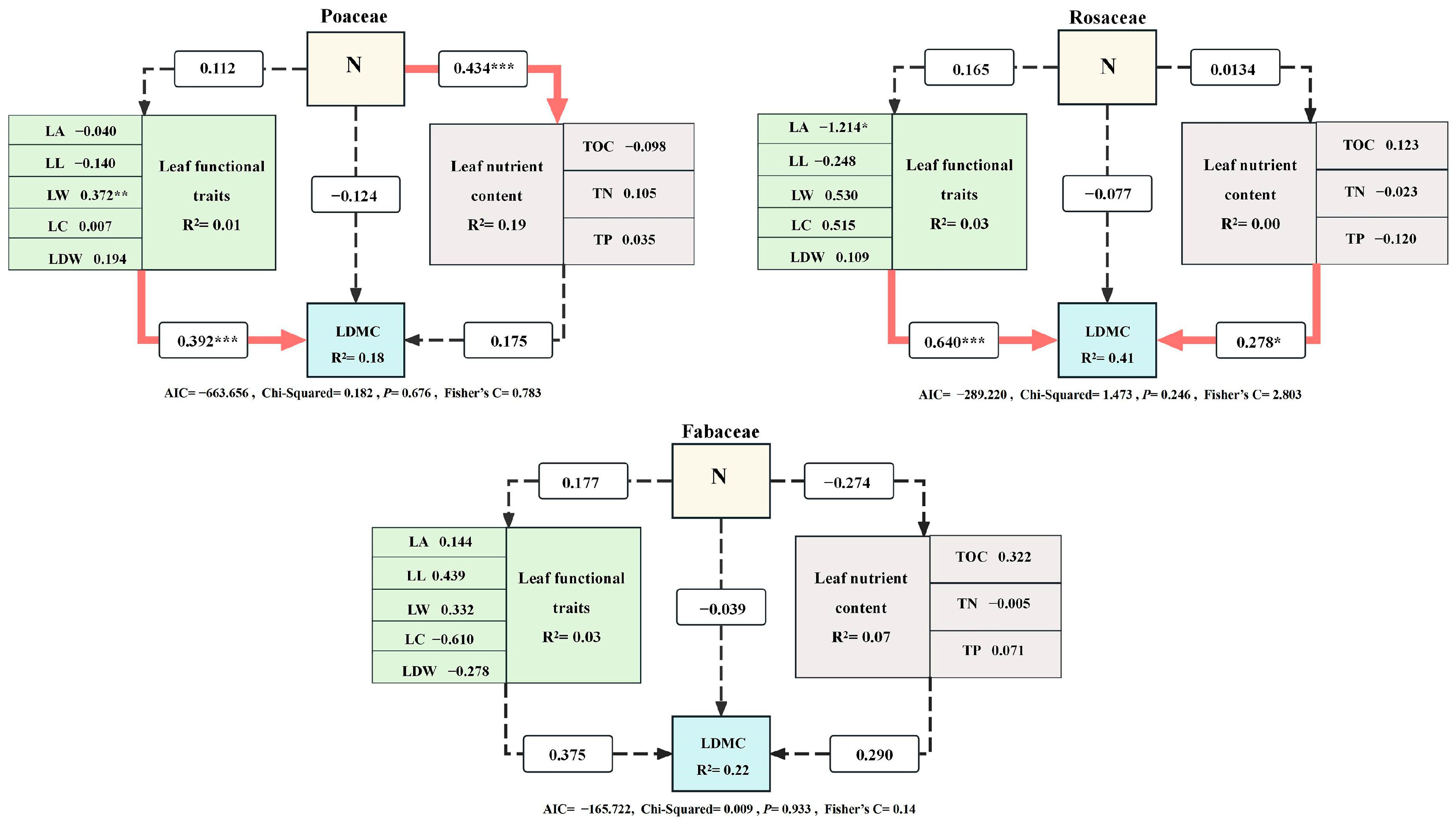
3.4. Pathway Analysis of the Effects of Changes in the Dry Matter Content of Leaf Blades
4. Discussion
4.1. Effect of Nitrogen Addition on Leaf Functional Traits
4.2. Effect of Nitrogen Addition on Plant Nutrient Content
4.3. Drivers of Nitrogen Addition on Plant Functional Traits
5. Conclusions
Author Contributions
Funding
Data Availability Statement
Acknowledgments
Conflicts of Interest
References
- Wang, Z.; Zhang, J.; Li, Z.; Liu, H.; Wang, L.; Wang, W.; Wang, Y.; Liang, C. Single grazing is more detrimental to grasslands than mixed grazing: Evidence from the response of functional traits of dominant plants to grazing systems. Front. Ecol. Evol. 2021, 9, 682289. [Google Scholar] [CrossRef]
- Moeneclaey, I.; Schelfhout, S.; Blondeel, H.; Van Coillie, F.; Verheyen, K.; Baeten, L. Leaf trait variation in grassland plant species in response to soil phosphorus. J. Veg. Sci. 2024, 35, e13244. [Google Scholar] [CrossRef]
- Louarn, G.; Chabbi, A.; Gastal, F. Nitrogen concentration in the upper leaves of the canopy is a reliable indicator of plant N nutrition in both pure and mixed grassland swards. Grass Forage Sci. 2020, 75, 127–133. [Google Scholar] [CrossRef]
- Walker, T.W.; Alexander, J.M.; Allard, P.M.; Baines, O.; Baldy, V.; Bardgett, R.D.; Capdevila, P.; Coley, P.D.; David, B.; Defossez, E.; et al. Functional Traits 2.0: The power of the metabolome for ecology. J. Ecol. 2022, 110, 4–20. [Google Scholar] [CrossRef]
- Wang, J.; Wang, X.; Ji, Y.; Gao, J. Climate factors determine the utilization strategy of forest plant resources at large scales. Front. Plant Sci. 2022, 13, 990441. [Google Scholar] [CrossRef] [PubMed]
- Poorter, L.; Rozendaal, D.M.A. Leaf size and leaf display of thirty-eight tropical tree species. Oecologia 2008, 158, 35–46. [Google Scholar] [CrossRef]
- Wright, I.J.; Reich, P.B.; Westoby, M.; Ackerly, D.D.; Baruch, Z.; Bongers, F.; Cavender-Bares, J.; Chapin, T.; Cornelissen, J.H.C.; Diemer, M.; et al. The worldwide leaf economics spectrum. Nature 2004, 428, 821–827. [Google Scholar] [CrossRef] [PubMed]
- Akram, M.A.; Zhang, Y.; Wang, X.; Shrestha, N.; Malik, K.; Khan, I.; Ma, W.; Sun, Y.; Li, F.; Ran, J.; et al. Phylogenetic inde-pendence in the variations in leaf functional traits among different plant life forms in an arid environment. J. Plant Physiol. 2022, 272, 153671. [Google Scholar] [CrossRef] [PubMed]
- Reich, P.B.; Ellsworth, D.S.; Walters, M.B.; Vose, J.M.; Gresham, C.; Volin, J.C.; Bowman, W.D. Generality of leaf trait relationships: A test across six biomes. Ecology 1999, 80, 1955–1969. [Google Scholar] [CrossRef]
- Funk, J.L.; Larson, J.E.; Ames, G.M.; Butterfield, B.J.; Cavender-Bares, J.; Firn, J.; Laughlin, D.C.; Sutton-Grier, A.E.; Williams, L.; Wright, J. Revisiting the Holy Grail: Using plant functional traits to understand ecological processes. Biol. Rev. 2017, 92, 1156–1173. [Google Scholar] [CrossRef] [PubMed]
- Jiang, L.; Wan, S.; Li, L. Species diversity and productivity: Why do results of diversity-manipulation experiments differ from natural patterns? J. Ecol. 2009, 97, 603–608. [Google Scholar] [CrossRef]
- Cui, E.; Weng, E.; Yan, E.; Xia, J. Robust leaf trait relationships across species under global environmental changes. Nat. Commun. 2020, 11, 2999. [Google Scholar] [CrossRef] [PubMed]
- Niu, D.; Yuan, X.; Cease, A.J.; Wen, H.; Zhang, C.; Fu, H.; Elser, J.J. The impact of nitrogen enrichment on grassland ecosystem stability depends on nitrogen addition level. Sci. Total Environ. 2018, 618, 1529–1538. [Google Scholar] [CrossRef] [PubMed]
- Yuan, X.; Niu, D.; Gherardi, L.A.; Liu, Y.; Wang, Y.; Elser, J.J.; Fu, H. Linkages of stoichiometric imbalances to soil microbial respiration with increasing nitrogen addition: Evidence from a long-term grassland experiment. Soil Biol. Biochem. 2019, 138, 107580. [Google Scholar] [CrossRef]
- Chapin, F.S., III; Schulze, E.D.; Mooney, H.A. The ecology and economics of storage in plants. Annu. Rev. Ecol. Syst. 1990, 21, 423–447. [Google Scholar] [CrossRef]
- Reich, P.B.; Walters, M.B.; Ellsworth, D.S. Leaf life-span in relation to leaf, plant, and stand characteristics among diverse ecosystems. Ecol. Monogr. 1992, 62, 365–392. [Google Scholar] [CrossRef]
- Wang, B.; Gong, J.; Zhang, Z.; Yang, B.; Liu, M.; Zhu, C.; Shi, J.; Zhang, W.; Yue, K. Nitrogen addition alters photosynthetic carbon fixation, allocation of photoassimilates, and carbon partitioning of Leymus chinensis in a temperate grassland of Inner Mongolia. Agric. For. Meteorol. 2019, 279, 107743. [Google Scholar] [CrossRef]
- Mao, Q.; Lu, X.; Mo, H.; Gundersen, P.; Mo, J. Effects of simulated N deposition on foliar nutrient status, N metabolism and photosynthetic capacity of three dominant understory plant species in a mature tropical forest. Sci. Total. Environ. 2018, 610–611, 555–562. [Google Scholar] [CrossRef]
- Furze, M.E. Understanding Whole-Plant Nonstructural Carbohydrate Storage in a Changing World. Ph.D. Dissertation, Harvard University, Cambridge, MA, USA, 2019. [Google Scholar]
- Wang, J.; Liu, J.J.; Liu, C.; Ding, X.Y.; Wang, Y. Species niche and interspecific associations alter flora structure along a ferti-lization gradient in an alpine meadow of Tianshan Mountain, Xinjiang. Ecol. Indic. 2023, 147, 109953. [Google Scholar]
- Wang, J.; Liu, J.; Liu, C.; Ding, X.; Ma, Y.; Yang, J.; Xu, Z. Effects of short-term nitrogen addition on the recovery of alpine grassland in the Tianshan Mountains of Xinjiang, China. Ecol. Evol. 2024, 14, e70329. [Google Scholar] [CrossRef]
- Liu, C.; Liu, J.; Wang, J.; Ding, X. Effects of Short-Term Nitrogen Additions on Biomass and Soil Phytochemical Cycling in Alpine Grasslands of Tianshan, China. Plants 2024, 13, 1103. [Google Scholar] [CrossRef]
- Tuo, H.; Ghanizadeh, H.; Ji, X.; Yang, M.; Wang, Z.; Huang, J.; Wang, Y.; Tian, H.; Ye, F.; Li, W. Moderate grazing enhances ecosystem multifunctionality through leaf traits and taxonomic diversity in long-term fenced grasslands. Sci. Total. Environ. 2024, 957, 177781. [Google Scholar] [CrossRef]
- Xiang, X.; De, K.J.; Lin, W.; Feng, T.; Li, F.; Wei, X. The ecological niche characteristics and interspecific associations of plant species in the alpine meadow of the Tibetan Plateau affected plant species diversity under nitrogen addition. PeerJ 2024, 12, e18526. [Google Scholar] [CrossRef]
- Wang, F.; Shi, G.; Nicholas, O.; Yao, B.; Ji, M.; Wang, W.; Ma, Z.; Zhou, H.; Zhao, X. Ecosystem nitrogen retention is regulated by plant community trait interactions with nutrient status in an alpine meadow. J. Ecol. 2018, 106, 1570–1581. [Google Scholar] [CrossRef]
- Bobbink, R.; Hicks, K.; Galloway, J.; Spranger, T.; Alkemade, R.; Ashmore, M.; Bustamante, S.; Cinderby, S.; Davidson, E.; Dentener, F.; et al. Global assessment of ni-trogen deposition effects on terrestrial plant diversity: A synthesis. Ecol. Appl. 2010, 20, 30–59. [Google Scholar] [CrossRef] [PubMed]
- Cortois, R.; Schröder-Georgi, T.; Weigelt, A.; van der Putten, W.H.; De Deyn, G.B. Plant–soil feedbacks: Role of plant functional group and plant traits. J. Ecol. 2016, 104, 1608–1617. [Google Scholar] [CrossRef]
- McLaren, J.R.; Turkington, R. Ecosystem properties determined by plant functional group identity. J. Ecol. 2010, 98, 459–469. [Google Scholar] [CrossRef]
- Xu, X.; Wang, X.; Jia, H.T.; Zhu, X.P. Seasonal landscape pattern changes in Bayanbulak swan lake alpine wetland. J. Agric. Resour. Environ. 2020, 37, 82–91. [Google Scholar]
- Liang, Y.Y.; Zhang, L.X.; Zhou, X.L.; Fan, L.L.; Mao, J.F.; Li, Y.M. Response of soil aggregate structure and nutrient content to simulated nitrogen and phosphorus deposition in alpine grassland of Tianshan Mountain. J. Ecol. 2023, 43, 4130–4141. [Google Scholar]
- Pérez-Harguindeguy, N.; Díaz, S.; Garnier, E.; Lavorel, S.; Poorter, H.; Jaureguiberry, P.; Bret-Harte, M.S.; Cornwell, W.K.; Craine, J.M.; Gurvich, D.E.; et al. New handbook for standardised measurement of plant functional traits worldwide. Aust. J. Bot. 2013, 61, 167–234. [Google Scholar] [CrossRef]
- Shi, N.; Wang, J.; Zhang, L.; Wu, Y. Divergent adaptive strategies of paired Meconopsis species and their impact factors along the elevational gradients in the south-eastern margin of Qinghai-Tibet Plateau. J. Mt. Sci. 2024, 21, 4236–4253. [Google Scholar] [CrossRef]
- Happonen, K.; Virkkala, A.; Kemppinen, J.; Niittynen, P.; Luoto, M. Relationships between above-ground plant traits and carbon cycling in tundra plant communities. J. Ecol. 2022, 110, 700–716. [Google Scholar] [CrossRef]
- Yang, J.; Lan, L.; Jin, Y.; Yu, N.; Wang, D.; Wang, E. Mechanisms underlying legume–rhizobium symbioses. J. Integr. Plant Biol. 2021, 64, 244–267. [Google Scholar] [CrossRef] [PubMed]
- Singh, H.; Kumar, N.; Kumar, A. Enhancing Resource Use Efficiency in Crops Through Plant Functional Traits. In Plant Functional Traits for Improving Productivity; Springer: Singapore, 2024; pp. 97–117. [Google Scholar]
- Ohyama, T. Nitrogen as a major essential element of plants. In Nitrogen Assimilation in Plants; Research Signpost: Kerala, India, 2010; Volume 37, pp. 1–17. [Google Scholar]
- Luo, Y.; Du, L.; Zhang, J.; Ren, H.; Shen, Y.; Zhang, J.; Li, N.; Tian, R.; Wang, S.; Liu, H.; et al. Nitrogen addition alleviates the adverse effects of drought on plant productivity in a temperate steppe. Ecol. Appl. 2024, 34, e2969. [Google Scholar] [CrossRef] [PubMed]
- Yu, H.-W.; He, W.-M. Negative legacy effects of rainfall and nitrogen amendment on leaf lifespan of steppe species. J. Plant Ecol. 2017, 10, 831–838. [Google Scholar] [CrossRef]
- Tang, J.; Li, W.; Wei, T.; Huang, R.; Zeng, Z. Patterns and Mechanisms of Legume Responses to Nitrogen Enrichment: A Global Meta-Analysis. Plants 2024, 13, 3244. [Google Scholar] [CrossRef] [PubMed]
- Li, X.; Li, Y.; Shen, H.; Li, S.; Zhao, Z.; Xiao, J.; Zhang, R.; Shi, H.; Zuo, H.; Danjia, T.; et al. Different responses of individuals, functional groups and plant communities in CSR strategies to nitrogen deposition in high-altitude grasslands. Sci. Total. Environ. 2024, 953, 176051. [Google Scholar] [CrossRef]
- Yu, J.; Li, Q.; Wu, X.; Zhu, C.; Huang, S.; Yang, F.; Hou, X. Adaptational responses of leaf functional traits of Dicranopteris dichotoma to environmental factors in different vegetational restoration stages. Glob. Ecol. Conserv. 2023, 44, e02484. [Google Scholar] [CrossRef]
- Rawson, H.M.; Begg, J.E.; Woodward, R.G. The effect of atmospheric humidity on photosynthesis, transpiration and water use efficiency of leaves of several plant species. Planta 1977, 134, 5–10. [Google Scholar] [CrossRef]
- Wang, D.; Maughan, M.W.; Sun, J.; Feng, X.; Miguez, F.; Lee, D.; Dietze, M.C. Impact of nitrogen allocation on growth and photosynthesis of Miscanthus (Miscanthus × giganteus). GCB Bioenergy 2012, 4, 688–697. [Google Scholar] [CrossRef]
- Pandey, N. Role of plant nutrients in plant growth and physiology. In Plant Nutrients and Abiotic Stress Tolerance; Springer: Singapore, 2018; pp. 51–93. [Google Scholar]
- Klumpp, K. Carbon, nitrogen and phosphorus cycling in cropland and grassland ecosystems. Agronomy 2021, 11, 1453. [Google Scholar] [CrossRef]
- Gatiboni, L.; Brunetto, G.; Pavinato, P.S.; George, T.S. Editorial: Legacy phosphorus in agriculture: Role of past management and perspectives for the future. Front. Earth Sci. 2020, 8, 619935. [Google Scholar] [CrossRef]
- Glass, A.D. Nitrogen use efficiency of crop plants: Physiological constraints upon nitrogen absorption. Crit. Rev. Plant Sci. 2003, 22, 453–470. [Google Scholar] [CrossRef]
- Li, Z.; Yu, X.; Jia, G. The anatomical structure of woody plants in arid habitats is closely related to nonstructural carbohydrates storage. For. Ecosyst. 2022, 9, 100073. [Google Scholar] [CrossRef]
- Su, Y.; Dong, K.; Wang, C.; Liu, X. A meta-analysis of the impacts of nitrogen addition on plant multiple-element contents in natural ecosystems. Plant Ecol. 2024, 226, 111–121. [Google Scholar] [CrossRef]
- Zhou, H.; Xu, X.; Jiang, X.; Ding, B.; Wu, P.; Ding, F. Plant functional trait responses to dolomite and limestone karst forests in Southwest China. Forests 2022, 13, 2187. [Google Scholar] [CrossRef]
- Zhou, M.; Yang, Q.; Zhang, H.; Yao, X.; Zeng, W.; Wang, W. Plant community temporal stability in response to nitrogen addition among different degraded grasslands. Sci. Total. Environ. 2020, 729, 138886. [Google Scholar] [CrossRef]
- Chen, Y.; Han, W.; Tang, L.; Tang, Z.; Fang, J. Leaf nitrogen and phosphorus concentrations of woody plants differ in re-sponses to climate, soil and plant growth form. Ecography 2013, 36, 178–184. [Google Scholar] [CrossRef]
- Su, Y.; Ma, X.; Gong, Y.; Li, K.; Han, W.; Liu, X. Responses and drivers of leaf nutrients and resorption to nitrogen enrichment across northern China’s grasslands: A meta-analysis. CATENA 2021, 199, 105110. [Google Scholar] [CrossRef]
- Xiao, H.; Li, P.; Monaco, T.A.; Liu, Y.; Rong, Y. Nitrogen and phosphorus additions alter foliar nutrient concentrations of dominant grass species and regulate primary productivity in an Inner Mongolian meadow steppe. Sci. Total. Environ. 2023, 912, 168791. [Google Scholar] [CrossRef]
- Wang, C.; Lü, W.W.; Sun, J.P.; Zhou, Y.; Jiang, L.L.; Li, B.W.; Zhang, S.R.; Xia, L.; Wang, Q.; Que, D.S.; et al. Responses of plant leaf traits to simulated rainfall changes in alpine region. Acta Ecol. Sin. 2021, 41, 9760–9772. [Google Scholar]
- Ri, X.; Dai, D.; Xu, X. The symbiotic nitrogen fixation by legumes in a legume-companion and a legume-dominant alpine steppe on the central Tibetan Plateau. Ecol. Res. 2021, 36, 545–555. [Google Scholar] [CrossRef]
- Wu, W.; Sun, R.; Zhao, G.; Zheng, Z.; He, Y.; Liu, L.; Zhou, G.; Zhang, Y.; Xu, Z. Climate shifts biomass allocation by altering plant functional group in alpine vs. temperate grasslands on both Inner Mongolian and Tibetan plateaus. CATENA 2024, 238, 107887. [Google Scholar] [CrossRef]
- Liu, C.; Liu, Y.; Guo, K.; Qiao, X.; Zhao, H.; Wang, S.; Zhang, L.; Cai, X. Effects of nitrogen, phosphorus and potassium addition on the productivity of a karst grassland: Plant functional group and community perspectives. Ecol. Eng. 2018, 117, 84–95. [Google Scholar] [CrossRef]
- Valverde-Barrantes, O.J.; Smemo, K.A.; Blackwood, C.B. Fine root morphology is phylogenetically structured, but nitrogen is related to the plant economics spectrum in temperate trees. Funct. Ecol. 2015, 29, 796–807. [Google Scholar] [CrossRef]
- Cai, J.; Fu, J.; Liu, H.; Li, T.; Feng, X.; Lu, J.; Wang, R.; Jiang, Y. Divergent responses of leaf mineral nutrient concentrations among plant families and functional groups to nitrogen addition and irrigation in a semi-arid grassland. Plant Soil 2023, 491, 21–31. [Google Scholar] [CrossRef]






| Family | Species | Abbreviations |
|---|---|---|
| Poaceae | Festuca ovina L. | Fo |
| Agropyron cristatum (Linn.) Gaertn. | Ac | |
| Koeleria cristata (L.) Pers. | Kc | |
| Poa pratensis L. | Pp | |
| Rosaceae | Potentilla fragarioides L. | Pf |
| Potentilla bifurca Linn. | Pb | |
| Fabaceae | Astragalus adsurgens (Fisch.) Bunge. | Aa |
Disclaimer/Publisher’s Note: The statements, opinions and data contained in all publications are solely those of the individual author(s) and contributor(s) and not of MDPI and/or the editor(s). MDPI and/or the editor(s) disclaim responsibility for any injury to people or property resulting from any ideas, methods, instructions or products referred to in the content. |
© 2025 by the authors. Licensee MDPI, Basel, Switzerland. This article is an open access article distributed under the terms and conditions of the Creative Commons Attribution (CC BY) license (https://creativecommons.org/licenses/by/4.0/).
Share and Cite
Ding, X.; Liu, J.; Wang, Y.; Wang, J.; Liu, C.; Qin, M.; Xu, Y.; Ma, Y.; Yang, J.; Xu, Z. Effects of Nitrogen Addition on Leaf Functional Traits of Dominant Species in Bayanbulak Grassland, Xinjiang, China. Plants 2025, 14, 597. https://doi.org/10.3390/plants14040597
Ding X, Liu J, Wang Y, Wang J, Liu C, Qin M, Xu Y, Ma Y, Yang J, Xu Z. Effects of Nitrogen Addition on Leaf Functional Traits of Dominant Species in Bayanbulak Grassland, Xinjiang, China. Plants. 2025; 14(4):597. https://doi.org/10.3390/plants14040597
Chicago/Turabian StyleDing, Xiaoyu, Junjie Liu, Yao Wang, Juan Wang, Chao Liu, Mengtian Qin, Yujiao Xu, Yonggang Ma, Jianjun Yang, and Zhonglin Xu. 2025. "Effects of Nitrogen Addition on Leaf Functional Traits of Dominant Species in Bayanbulak Grassland, Xinjiang, China" Plants 14, no. 4: 597. https://doi.org/10.3390/plants14040597
APA StyleDing, X., Liu, J., Wang, Y., Wang, J., Liu, C., Qin, M., Xu, Y., Ma, Y., Yang, J., & Xu, Z. (2025). Effects of Nitrogen Addition on Leaf Functional Traits of Dominant Species in Bayanbulak Grassland, Xinjiang, China. Plants, 14(4), 597. https://doi.org/10.3390/plants14040597

