The Effect of Liquids Activated by Plasma Generated with a Microwave Plasmatron and High-Frequency Glow Discharge on Cotton Plant Development
Abstract
1. Introduction
2. Results
2.1. Effect of PAL on the Germination and Emergence of Cotton Seeds
2.2. Effect of PAL Treatment of Cotton Seeds on Plant Growth and Development
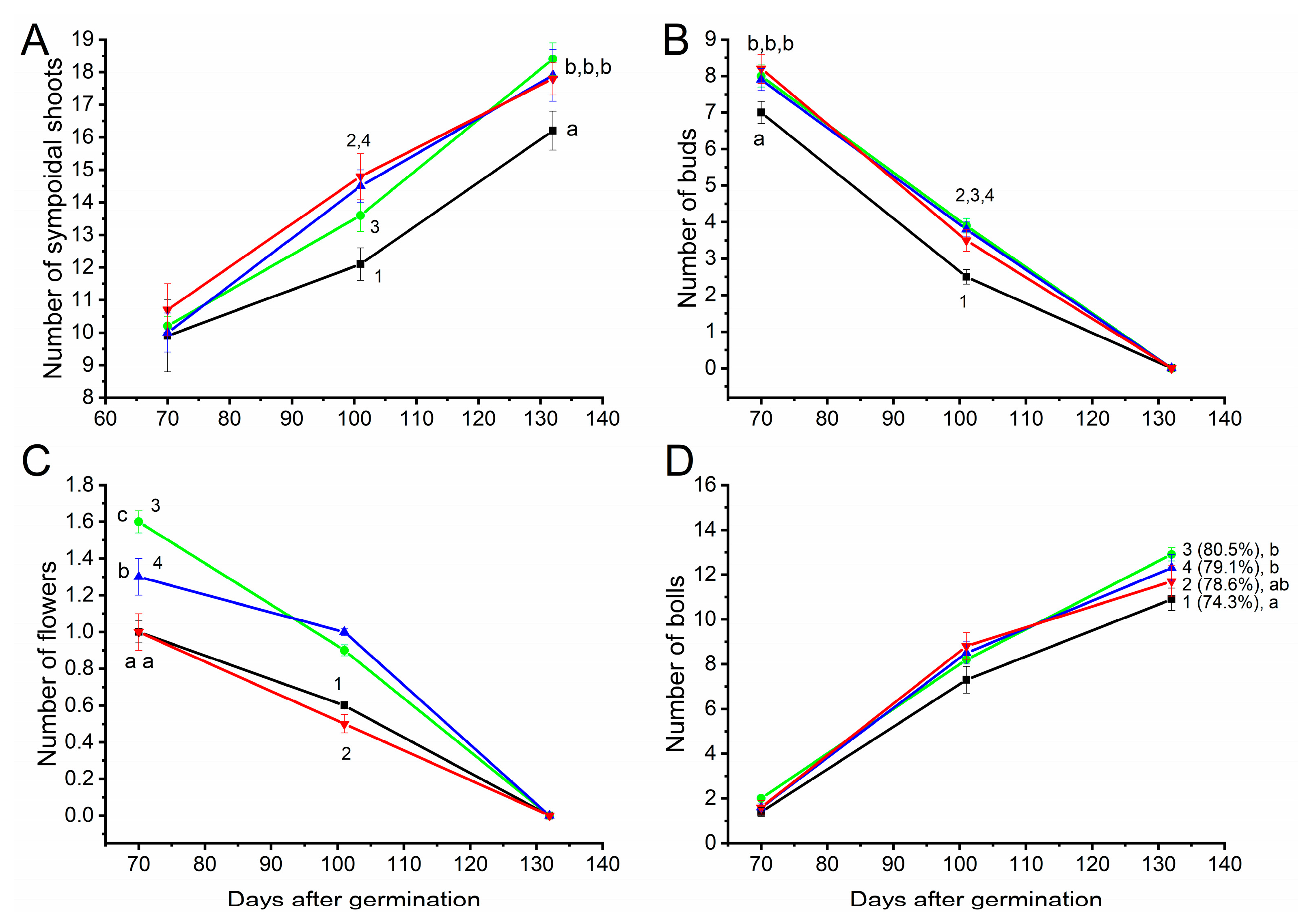
2.3. Effect of PAL Added to Nutrition Solution on Cotton Plant Growth and Development
2.4. Effect of PAL on Photosynthetic Activity of Cotton Plants
3. Discussion
3.1. Parameters of Plasma-Activated Water
3.2. Effect of PAL on Seed Germination and Plant Growth Under “Ideal” Conditions
3.3. Effect of PAL on Seed Emergence and Plant Growth Under Stress Conditions
4. Materials and Methods
4.1. Production and Characterization of PAL
4.2. Seed Germination and Field Emergence
4.3. Plant Grow Conditions
4.4. Determination of Morphological and Physiological Indicators of Cotton Plants
4.5. Effect of PAL on Photosynthetic Activity of Cotton Plants
4.6. Statistical Analysis
5. Conclusions
Supplementary Materials
Author Contributions
Funding
Data Availability Statement
Conflicts of Interest
References
- Caicedo Solano, N.E.; García Llinás, G.A.; Montoya-Torres, J.R. Towards the Integration of Lean Principles and Optimization for Agricultural Production Systems: A Conceptual Review Proposition. J. Sci. Food Agric. 2020, 100, 453–464. [Google Scholar] [CrossRef]
- Pouokam, G.B.; Album, W.L.; Ndikontar, A.S.; Sidatt, M.E.H. A Pilot Study in Cameroon to Understand Safe Uses of Pesticides in Agriculture, Risk Factors for Farmers’ Exposure and Management of Accidental Cases. Toxics 2017, 5, 30. [Google Scholar] [CrossRef]
- Tsatsakis, A.M.; Nawaz, M.A.; Kouretas, D.; Balias, G.; Savolainen, K.; Tutelyan, V.A.; Golokhvast, K.S.; Lee, J.D.; Yang, S.H.; Chung, G. Environmental Impacts of Genetically Modified Plants: A Review. Env. Res. 2017, 156, 818–833. [Google Scholar] [CrossRef]
- Ritter, E.; Angulo, B.; Riga, P.; Herrán, C.; Relloso, J.; San Jose, M. Comparison of Hydroponic and Aeroponic Cultivation Systems for the Production of Potato Minitubers. Potato Res. 2001, 44, 127–135. [Google Scholar] [CrossRef]
- Sonoda, T.; Takamura, N.; Wang, D.; Namihira, T.; Akiyama, H. Growth Control of Leaf Lettuce Using Pulsed Electric Field. IEEE Trans. Plasma Sci. 2014, 42, 3202–3208. [Google Scholar] [CrossRef]
- Paskhin, M.O.; Yanykin, D.V.; Popov, A.V.; Pobedonostsev, R.V.; Kazantseva, D.V.; Dorokhov, A.S.; Izmailov, A.Y.; Vyatchinov, A.A.; Orlovskaya, E.O.; Shaidulin, A.T.; et al. Two Types of Europium-Based Photoconversion Covers for Greenhouse Farming with Different Effects on Plants. Horticulturae 2023, 9, 846. [Google Scholar] [CrossRef]
- Konchekov, E.M.; Gusein-zade, N.; Burmistrov, D.E.; Kolik, L.V.; Dorokhov, A.S.; Izmailov, A.Y.; Shokri, B.; Gudkov, S.V. Advancements in Plasma Agriculture: A Review of Recent Studies. Int. J. Mol. Sci. 2023, 24, 15093. [Google Scholar] [CrossRef] [PubMed]
- Guo, D.; Liu, H.; Zhou, L.; Xie, J.; He, C. Plasma-Activated Water Production and Its Application in Agriculture. J. Sci. Food Agric. 2021, 101, 4891–4899. [Google Scholar] [CrossRef]
- Samukawa, S.; Hori, M.; Rauf, S.; Tachibana, K.; Bruggeman, P.; Kroesen, G.; Whitehead, J.C.; Murphy, A.B.; Gutsol, A.F.; Starikovskaia, S.; et al. The 2012 Plasma Roadmap. J. Phys. D Appl. Phys. 2012, 45, 253001. [Google Scholar] [CrossRef]
- Thirumdas, R.; Kothakota, A.; Annapure, U.; Siliveru, K.; Blundell, R.; Gatt, R.; Valdramidis, V.P. Plasma Activated Water (PAW): Chemistry, Physico-Chemical Properties, Applications in Food and Agriculture. Trends Food Sci. Technol. 2018, 77, 21–31. [Google Scholar] [CrossRef]
- Liu, J.; He, B.; Chen, Q.; Li, J.; Xiong, Q.; Yue, G.; Zhang, X.; Yang, S.; Liu, H.; Liu, Q.H. Direct Synthesis of Hydrogen Peroxide from Plasma-Water Interactions. Sci. Rep. 2016, 6, 1–7. [Google Scholar] [CrossRef] [PubMed]
- Tian, Y.; Ma, R.; Zhang, Q.; Feng, H.; Liang, Y.; Zhang, J.; Fang, J. Assessment of the Physicochemical Properties and Biological Effects of Water Activated by Non-Thermal Plasma Above and Beneath the Water Surface. Plasma Process. Polym. 2015, 12, 439–449. [Google Scholar] [CrossRef]
- Lai, C.C.; Deng, Y.X.; Liao, Y.H. A Study on the Influence of Gas Mixtures on the Property of Plasma-Activated Water. Plasma Process. Polym. 2020, 17, 1900196. [Google Scholar] [CrossRef]
- Kučerová, K.; Henselová, M.; Slováková, Ľ.; Bačovčinová, M.; Hensel, K. Effect of Plasma Activated Water, Hydrogen Peroxide, and Nitrates on Lettuce Growth and Its Physiological Parameters. Appl. Sci. 2021, 11, 1985. [Google Scholar] [CrossRef]
- Barba-Espín, G.; Hernández, J.A.; Diaz-Vivancos, P. Role of H2O2 in Pea Seed Germination. Plant Signal Behav. 2012, 7, 193–195. [Google Scholar] [CrossRef]
- Klessig, D.F.; Durner, J.; Noad, R.; Navarre, D.A.; Wendehenne, D.; Kumar, D.; Zhou, J.M.; Shah, J.; Zhang, S.; Kachroo, P.; et al. Nitric Oxide and Salicylic Acid Signaling in Plant Defense. Proc. Natl. Acad. Sci. USA 2000, 97, 8849–8855. [Google Scholar] [CrossRef] [PubMed]
- Gómez-Ramírez, A.; López-Santos, C.; Cantos, M.; García, J.L.; Molina, R.; Cotrino, J.; Espinós, J.P.; González-Elipe, A.R. Surface Chemistry and Germination Improvement of Quinoa Seeds Subjected to Plasma Activation. Sci. Rep. 2017, 7, 1–12. [Google Scholar] [CrossRef] [PubMed]
- Romero-Puertas, M.C.; Perazzolli, M.; Zago, E.D.; Delledonne, M. Nitric Oxide Signalling Functions in Plant–Pathogen Interactions. Cell Microbiol. 2004, 6, 795–803. [Google Scholar] [CrossRef]
- Duermeyer, L.; Khodapanahi, E.; Yan, D.; Krapp, A.; Rothstein, S.J.; Nambara, E. Regulation of Seed Dormancy and Germination by Nitrate. Seed Sci. Res. 2018, 28, 150–157. [Google Scholar] [CrossRef]
- Bafoil, M.; Jemmat, A.; Martinez, Y.; Merbahi, N.; Eichwald, O.; Dunand, C.; Yousfi, M. Effects of Low Temperature Plasmas and Plasma Activated Waters on Arabidopsis Thaliana Germination and Growth. PLoS ONE 2018, 13, e0195512. [Google Scholar] [CrossRef]
- İşeri, Ö.D.; Körpe, D.A.; Sahin, F.I.; Haberal, M. Hydrogen Peroxide Pretreatment of Roots Enhanced Oxidative Stress Response of Tomato under Cold Stress. Acta Physiol. Plant 2013, 35, 1905–1913. [Google Scholar] [CrossRef]
- Zhou, R.; Li, J.; Zhou, R.; Zhang, X.; Yang, S. Atmospheric-Pressure Plasma Treated Water for Seed Germination and Seedling Growth of Mung Bean and Its Sterilization Effect on Mung Bean Sprouts. Innov. Food Sci. Emerg. Technol. 2019, 53, 36–44. [Google Scholar] [CrossRef]
- Gritsinin, S.I.; Gushchin, P.A.; Davydov, A.M.; Ivanov, E.V.; Kossyi, I.A. Pulsed Microwave Discharge in a Capillary Filled with Atmospheric-Pressure Gas. Plasma Phys. Rep. 2013, 39, 644–650. [Google Scholar] [CrossRef]
- Astashev, M.E.; Burmistrov, D.E.; Yanykin, D.V.; Grishin, A.A.; Knyazeva, I.V.; Dorokhov, A.S.; Gudkov, S.V. Application of Bispectral Analysis to Assess the Effect of Drought on the Photosynthetic Activity of Lettuce Plants Lactuca Sativa L. Math. Comput. Appl. 2024, 29, 93. [Google Scholar] [CrossRef]
- Yemeli, G.B.N.; Janda, M.; Machala, Z. Non-Thermal Plasma as a Priming Tool to Improve the Yield of Pea in Outdoor Conditions. Plasma Chem. Plasma Process. 2022, 42, 1143–1168. [Google Scholar] [CrossRef]
- Belovolova, L.V. Reactive Oxygen Species in Aqueous Media (A Review). Opt. Spectrosc. 2020, 128, 932–951. [Google Scholar] [CrossRef]
- Ashurov, M.K.; Ashurov, E.M.; Astashev, M.E.; Baimler, I.V.; Gudkov, S.V.; Konchekov, E.M.; Lednev, V.N.; Lukina, N.A.; Matveeva, T.A.; Markendudis, A.G.; et al. Development of an Environmentally Friendly Technology for the Treatment of Aqueous Solutions with High-Purity Plasma for the Cultivation of Cotton, Wheat and Strawberries. ChemEngineering 2022, 6, 91. [Google Scholar] [CrossRef]
- Kuzin, A.; Solovchenko, A.; Khort, D.; Filippov, R.; Lukanin, V.; Lukina, N.; Astashev, M.; Konchekov, E. Effects of Plasma-Activated Water on Leaf and Fruit Biochemical Composition and Scion Growth in Apple. Plants 2023, 12, 385. [Google Scholar] [CrossRef] [PubMed]
- Zun, M.; Dwornicka, D.; Wojciechowska, K.; Swiader, K.; Kasperek, R.; Rzadkowska, M.; Poleszak, E. Kinetics of the Decomposition and the Estimation of the Stability of 10% Aqueous and Non-Aqueous Hydrogen Peroxide Solutions. Curr. Issues Pharm. Med. Sci. 2014, 27, 213–216. [Google Scholar] [CrossRef]
- Kučerová, K.; Henselová, M.; Slováková, Ľ.; Hensel, K. Effects of Plasma Activated Water on Wheat: Germination, Growth Parameters, Photosynthetic Pigments, Soluble Protein Content, and Antioxidant Enzymes Activity. Plasma Process. Polym. 2019, 16, 1800131. [Google Scholar] [CrossRef]
- Stoleru, V.; Burlica, R.; Mihalache, G.; Dirlau, D.; Padureanu, S.; Teliban, G.C.; Astanei, D.; Cojocaru, A.; Beniuga, O.; Patras, A. Plant Growth Promotion Effect of Plasma Activated Water on Lactuca Sativa L. Cultivated in Two Different Volumes of Substrate. Sci. Rep. 2020, 10, 1–13. [Google Scholar] [CrossRef]
- Lukacova, Z.; Svubova, R.; Selvekova, P.; Hensel, K. The Effect of Plasma Activated Water on Maize (Zea Mays L.) under Arsenic Stress. Plants 2021, 10, 1899. [Google Scholar] [CrossRef]
- Fan, L.; Liu, X.; Ma, Y.; Xiang, Q. Effects of Plasma-Activated Water Treatment on Seed Germination and Growth of Mung Bean Sprouts. J. Taibah Univ. Sci. 2020, 14, 823–830. [Google Scholar] [CrossRef]
- Romanjek Fajdetić, N.; Benković-Lačić, T.; Mirosavljević, K.; Antunović, S.; Benković, R.; Rakić, M.; Milošević, S.; Japundžić-Palenkić, B. Influence of Seed Treated by Plasma Activated Water on the Growth of Lactuca Sativa L. Sustainability 2022, 14, 16237. [Google Scholar] [CrossRef]
- Bussmann, F.; Krüger, A.; Scholz, C.; Brust, H.; Stöhr, C. Long-Term Effects of Cold Atmospheric Plasma-Treated Water on the Antioxidative System of Hordeum Vulgare. J. Plant Growth Regul. 2023, 42, 3274–3290. [Google Scholar] [CrossRef]
- Li, L.; Jiang, J.; Li, J.; Shen, M.; He, X.; Shao, H.; Dong, Y. Effects of Cold Plasma Treatment on Seed Germination and Seedling Growth of Soybean. Sci. Rep. 2014, 4, 1–7. [Google Scholar] [CrossRef]
- Zhou, Z.; Huang, Y.; Yang, S.; Chen, W. Introduction of a New Atmospheric Pressure Plasma Device and Application on Tomato Seeds. Agric. Sci. 2011, 2, 23–27. [Google Scholar] [CrossRef]
- Selcuk, M.; Oksuz, L.; Basaran, P. Decontamination of Grains and Legumes Infected with Aspergillus spp. and Penicillum spp. by Cold Plasma Treatment. Bioresour. Technol. 2008, 99, 5104–5109. [Google Scholar] [CrossRef] [PubMed]
- Volin, J.C.; Denes, F.S.; Young, R.A.; Park, S.M.T. Modification of Seed Germination Performance through Cold Plasma Chemistry Technology. Crop Sci. 2000, 40, 1706–1718. [Google Scholar] [CrossRef]
- El-Maarouf-Bouteau, H.; Bailly, C. Oxidative Signaling in Seed Germination and Dormancy. Plant Signal Behav. 2008, 3, 175–182. [Google Scholar] [CrossRef] [PubMed]
- Su, L.; Lan, Q.; Pritchard, H.W.; Xue, H.; Wang, X. Reactive Oxygen Species Induced by Cold Stratification Promote Germination of Hedysarum Scoparium Seeds. Plant Physiol. Biochem. 2016, 109, 406–415. [Google Scholar] [CrossRef] [PubMed]
- Batak, I.; Dević, M.; Gibal, Z.; Grubišić, D.; Poff, K.L.; Konjević, R. The Effects of Potassium Nitrate and NO-Donors on Phytochrome A- and Phytochrome B-Specific Induced Germination of Arabidopsis Thaliana Seeds. Seed Sci. Res. 2002, 12, 253–259. [Google Scholar] [CrossRef]
- Ali, M.M.; Javed, T.; Mauro, R.P.; Shabbir, R.; Afzal, I.; Yousef, A.F. Effect of Seed Priming with Potassium Nitrate on the Performance of Tomato. Agriculture 2020, 10, 498. [Google Scholar] [CrossRef]
- Xu, Y.; Tian, Y.; Ma, R.; Liu, Q.; Zhang, J. Effect of Plasma Activated Water on the Postharvest Quality of Button Mushrooms, Agaricus Bisporus. Food Chem. 2016, 197, 436–444. [Google Scholar] [CrossRef]
- Sarinont, T.; Amano, T.; Kitazaki, S.; Koga, K.; Uchida, G.; Shiratani, M.; Hayashi, N. Growth Enhancement Effects of Radish Sprouts: Atmospheric Pressure Plasma Irradiation vs. Heat Shock. J. Phys. Conf. Ser. 2014, 518, 012017. [Google Scholar] [CrossRef]
- Danileyko, Y.K.; Belov, S.V.; Egorov, A.B.; Lukanin, V.I.; Apasheva, L.M.; Ovcharenko, E.N.; Lobanov, A.V.; Astashev, M.E.; Simakin, A.V.; Shkirin, A.V.; et al. Portable Technology for Obtaining Plasma-Activated Water to Stimulate the Growth of Spruce and Strawberry Plants. Horticulturae 2023, 9, 1142. [Google Scholar] [CrossRef]
- Takahata, J.; Takaki, K.; Satta, N.; Takahashi, K.; Fujio, T.; Sasaki, Y. Improvement of Growth Rate of Plants by Bubble Discharge in Water. Jpn. J. Appl. Phys. 2015, 54, 01AG07. [Google Scholar] [CrossRef]
- Takaki, K.; Takahata, J.; Watanabe, S.; Satta, N.; Yamada, O.; Fujio, T.; Sasaki, Y. Improvements in Plant Growth Rate Using Underwater Discharge. J. Phys. Conf. Ser. 2013, 418, 012140. [Google Scholar] [CrossRef]
- Park, D.P.; Davis, K.; Gilani, S.; Alonzo, C.A.; Dobrynin, D.; Friedman, G.; Fridman, A.; Rabinovich, A.; Fridman, G. Reactive Nitrogen Species Produced in Water by Non-Equilibrium Plasma Increase Plant Growth Rate and Nutritional Yield. Curr. Appl. Phys. 2013, 13, S19–S29. [Google Scholar] [CrossRef]
- Nurnaeimah, N.; Mat, N.; Mohd, K.S.; Badaluddin, N.A.; Yusoff, N.; Sajili, M.H.; Mahmud, K.; Adnan, A.F.M.; Khandaker, M.M. The Effects of Hydrogen Peroxide on Plant Growth, Mineral Accumulation, as Well as Biological and Chemical Properties of Ficus Deltoidea. Agronomy 2020, 10, 599. [Google Scholar] [CrossRef]
- Flexas, J.; Medrano, H. Energy Dissipation in C3 Plants under Drought. Funct. Plant Biol. 2002, 29, 1209–1215. [Google Scholar] [CrossRef] [PubMed]
- Astafurova, T.; Zotikova, A.; Morgalev, Y.; Verkhoturova, G.; Postovalova, V.; Kulizhskiy, S.; Mikhailova, S. Effect of Platinum Nanoparticles on Morphological Parameters of Spring Wheat Seedlings in a Substrate-Plant System. IOP Conf. Ser. Mater. Sci. Eng. 2015, 98, 012004. [Google Scholar] [CrossRef]
- Kuzin, A.I.; Kashirskaya, N.Y.; Solovchenko, A.E.; Kochkina, A.M.; Stepantsowa, L.V.; Krasin, V.N.; Konchekov, E.M.; Lukanin, V.I.; Sergeichev, K.F.; Gudkova, V.V.; et al. Influence of Plasma-Activated Water on Foliar and Fruit Micronutrient Content and Plant Protection Efficiency. Horticulturae 2024, 10, 55. [Google Scholar] [CrossRef]
- Gudkova, V.V.; Razvolyaeva, D.A.; Borzosekov, V.D.; Konchekov, E.M. Features of the FOX and Griess Method for Assessing the Biological Activity of Plasma Treated Solutions. Plasma Chem. Plasma Process. 2024, 44, 305–334. [Google Scholar] [CrossRef]
- Tarabová, B.; Lukeš, P.; Janda, M.; Hensel, K.; Šikurová, L.; Machala, Z. Specificity of Detection Methods of Nitrites and Ozone in Aqueous Solutions Activated by Air Plasma. Plasma Process. Polym. 2018, 15, 1800030. [Google Scholar] [CrossRef]
- Lobet, G.; Draye, X. Novel Scanning Procedure Enabling the Vectorization of Entire Rhizotron-Grown Root Systems. Plant Methods 2013, 9, 1–11. [Google Scholar] [CrossRef]
- Bouma, T.J.; Nielsen, K.L.; Koutstaal, B. Sample Preparation and Scanning Protocol for Computerised Analysis of Root Length and Diameter. Plant Soil. 2000, 218, 185–196. [Google Scholar] [CrossRef]
- RhizoVision Explorer. Available online: https://www.rhizovision.com/ (accessed on 20 September 2024).
- Digimizer Image Analysis Software. Available online: https://www.digimizer.com/ (accessed on 20 September 2024).
- Walz, H. Portable Gas Exchange Fluorescence System GFS-3000. Available online: https://www.walz.com/files/downloads/manuals/gfs-3000/GFS-3000_Manual_9.pdf (accessed on 15 November 2024).







| Experimental Groups | Laboratory Experiment | Field Experiment | Laboratory Experiment Using Artificially-Aged Seeds |
|---|---|---|---|
| Control seeds | 100 | 78.2 a ± 2.0 | 83.3 a′ ± 2.1 |
| PAW0.5% seeds | 100 | 83.9 b ± 2.1 | 86.7 b′ ± 1.9 |
| PAW0.75% seeds | 100 | 85.7 b ± 2.1 | 87.3 b′ ± 2.3 |
| PAW1% seeds | 100 | 79.5 a ± 2.0 | 80.0 a′ ± 2.9 |
| KNO3 seeds | 100 | – | 90.9 b′ ± 2.0 |
| PAKNO3 seeds | 100 | – | 88.4 b′ ± 1.8 |
| Experimental Groups | Laboratory Experiment | Field Experiment | |||
|---|---|---|---|---|---|
| Stem Length, cm | Total Root Length, cm | General Root Length, cm | Stem Length, cm | ||
| Without seed soaking | 21.3 a ± 0.9 | 563 a′ ± 137 | 21.8 a″ ± 1.5 | – | |
| After seed soaking | Control plants | 22.1 a ± 1.1 | 588 a′ ± 36 | 21.8 a″ ± 3.2 | 114 a‴ ± 5.9 |
| PAW0.5% plants | 21.4 a ± 0.8 | 573 a′ ± 51 | 23.2 a″ ± 2.9 | 122 a‴, b‴ ± 6.1 | |
| PAW0.75% plants | 22.0 a ± 0.9 | 564 a′ ± 59 | 24.6 a″ ± 2.4 | 129 b‴ ± 6.4 | |
| PAW1% plants | 20.9 a ± 0.5 | 520 a′ ± 75 | 24.7 a″ ± 1.9 | 123 b‴ ± 6.2 | |
| KNO3 plants | 21.3 a ± 1.0 | 490 a′ ± 92 | 22.3 a″ ± 2.8 | – | |
| PAKNO3 plants | 22.6 a ± 1.1 | 527 a′ ± 71 | 23.3 a″ ± 2.7 | – | |
| Experimental Groups | Number of Surviving Plants, Thousands Per One ha | Number of Plants After Thinning, Thousands Per One ha | Raw Cotton Yield, Centners Per | |
|---|---|---|---|---|
| One ha | Per Thousand Plants | |||
| Control plants | 326 a ± 16 | 65.2 a ± 2.8 | 40.8 a ± 2.0 | 0.626 a ± 0.031 |
| PAW0.5% plants | 331 a ± 12 | 66.3 a ± 2.7 | 45.5 b ± 2.1 | 0.686 b ± 0.032 |
| PAW0.75% plants | 357 b ± 17 | 71.4 b ± 3.1 | 50.6 c ± 1.5 | 0.709 c ± 0.021 |
| PAW1% plants | 350 ab ± 15 | 69.9 ab ± 3.1 | 49.9 c ± 2.2 | 0.714 c ± 0.031 |
| Experimental Groups | Stem Length, cm | Total Root Length, cm | General Root Length, cm | |
|---|---|---|---|---|
| Control plants | N | 21.3 a ± 0.9 | 563 a′ ± 137 | 21.8 a″ ± 1.5 |
| D | 13.9 b ± 0.6 | 570 a′ ± 26 | 23.3 a″ ± 0.7 | |
| PAW0.5% plants | N | 21.2 a ± 0.4 | 494 a′ ± 194 | 25.2 a″ ± 4.7 |
| D | 14.0 b ± 0.6 | 541 a′ ± 48 | 19.6 a″ ± 2.8 | |
| PAW0.75% plants | N | 20.8 a ± 0.6 | 516 a′ ± 17 | 18.8 a″ ± 3.7 |
| D | 15.1 c ± 0.3 | 620 a′ ± 81 | 23.1 a″ ± 1.4 | |
| PAW1% plants | N | 21.7 a ± 0.6 | 574 a′ ± 135 | 19.4 a″ ± 2.3 |
| D | 15.3 c ± 0.6 | 541 a′ ± 160 | 25.1 a″ ± 1.6 | |
| KNO3 plants | N | 22.1 a ± 2.7 | 481 a′ ± 42 | 25.8 a″ ± 2.0 |
| D | 13.7 b ± 1.2 | 573 a′ ± 67 | 22.9 a″ ± 3.4 | |
| PAKNO3 plants | N | 19.6 a ± 3.4 | 528 a′ ± 137 | 28.6 a″ ± 1.2 |
| D | 13.7 b ± 1.3 | 667 a″ ± 40 | 25.4 a″ ± 2.2 | |
| Experimental Groups | qN | qE | qI | qT | |
|---|---|---|---|---|---|
| Control plants | N | 0.797 a,b ± 0.023 | 0.675 a′b′ ± 0.031 | 0.350 a″b″ ± 0.032 | 0.038 ± 0.027 |
| D | 0.470 c ± 0.016 | 0. 108 c′ ± 0.020 | 0.376 a″ ± 0.031 | 0.052 ± 0.032 | |
| PAW0.5% plants | N | 0.789 a,b ± 0.007 | 0.679 a′b′ ± 0.031 | 0.302 b″ ± 0.002 | 0.057 ± 0.055 |
| D | 0.773 a ± 0.022 | 0.654 a′b′ ± 0.046 | 0.335 a″b″ ± 0.025 | 0.014 ± 0.008 | |
| PAW0.75% plants | N | 0.815 b ± 0.015 | 0.699 a′b′ ± 0.023 | 0.374 a″ ± 0.023 | 0.039 ± 0.021 |
| D | 0.792 a,b ± 0.018 | 0.677 a′b′ ± 0.030 | 0.328 b″ ± 0.015 | 0.040 ± 0.019 | |
| PAW1% plants | N | 0.803 a,b ± 0.116 | 0.678 a′b′ ± 0.170 | 0.322 a″b″ ± 0.084 | 0.098 ± 0.035 |
| D | 0.826 b ± 0.027 | 0.722 a′ ± 0.040 | 0.331 b″ ± 0.002 | 0.063 ± 0.019 | |
| KNO3 plants | N | 0.800 a,b ± 0.022 | 0.657 a′b′ ± 0.058 | 0.364 a″b″ ± 0.036 | 0.080 ± 0.020 |
| D | 0.489 c ± 0.035 | 0.105 c′ ± 0.029 | 0.387 a″b″ ± 0.056 | 0.077 ± 0.034 | |
| PAKNO3 plants | N | 0.816 b ± 0.006 | 0.714 a′ ± 0.019 | 0.324 b″ ± 0.024 | 0.046 ± 0.020 |
| D | 0.784 a,b ± 0.046 | 0.609 b′ ± 0.070 | 0.347 a″b″ ± 0.030 | 0.035 ± 0.039 | |
Disclaimer/Publisher’s Note: The statements, opinions and data contained in all publications are solely those of the individual author(s) and contributor(s) and not of MDPI and/or the editor(s). MDPI and/or the editor(s) disclaim responsibility for any injury to people or property resulting from any ideas, methods, instructions or products referred to in the content. |
© 2025 by the authors. Licensee MDPI, Basel, Switzerland. This article is an open access article distributed under the terms and conditions of the Creative Commons Attribution (CC BY) license (https://creativecommons.org/licenses/by/4.0/).
Share and Cite
Shumeyko, S.A.; Yanykin, D.V.; Paskhin, M.O.; Lukanin, V.I.; Zakharov, D.A.; Astashev, M.E.; Pishchalnikov, R.Y.; Sarimov, R.M.; Ashurov, M.K.; Ashurov, E.M.; et al. The Effect of Liquids Activated by Plasma Generated with a Microwave Plasmatron and High-Frequency Glow Discharge on Cotton Plant Development. Plants 2025, 14, 304. https://doi.org/10.3390/plants14030304
Shumeyko SA, Yanykin DV, Paskhin MO, Lukanin VI, Zakharov DA, Astashev ME, Pishchalnikov RY, Sarimov RM, Ashurov MK, Ashurov EM, et al. The Effect of Liquids Activated by Plasma Generated with a Microwave Plasmatron and High-Frequency Glow Discharge on Cotton Plant Development. Plants. 2025; 14(3):304. https://doi.org/10.3390/plants14030304
Chicago/Turabian StyleShumeyko, Sergey A., Denis V. Yanykin, Mark O. Paskhin, Vladimir I. Lukanin, Dmitry A. Zakharov, Maxim E. Astashev, Roman Y. Pishchalnikov, Ruslan M. Sarimov, Mukhsindjan Kh. Ashurov, Erkindjan M. Ashurov, and et al. 2025. "The Effect of Liquids Activated by Plasma Generated with a Microwave Plasmatron and High-Frequency Glow Discharge on Cotton Plant Development" Plants 14, no. 3: 304. https://doi.org/10.3390/plants14030304
APA StyleShumeyko, S. A., Yanykin, D. V., Paskhin, M. O., Lukanin, V. I., Zakharov, D. A., Astashev, M. E., Pishchalnikov, R. Y., Sarimov, R. M., Ashurov, M. K., Ashurov, E. M., Rashidova, D. K., Yakubov, M. M., Davydov, A. M., Gudkova, V. V., Danileyko, Y. K., Dorokhov, A. S., & Gudkov, S. V. (2025). The Effect of Liquids Activated by Plasma Generated with a Microwave Plasmatron and High-Frequency Glow Discharge on Cotton Plant Development. Plants, 14(3), 304. https://doi.org/10.3390/plants14030304

