Growth, Gas Exchange, and Phytochemical Quality of Nasturtium (Tropaeolum majus L.) Subjected to Proline Concentrations and Salinity
Abstract
1. Introduction
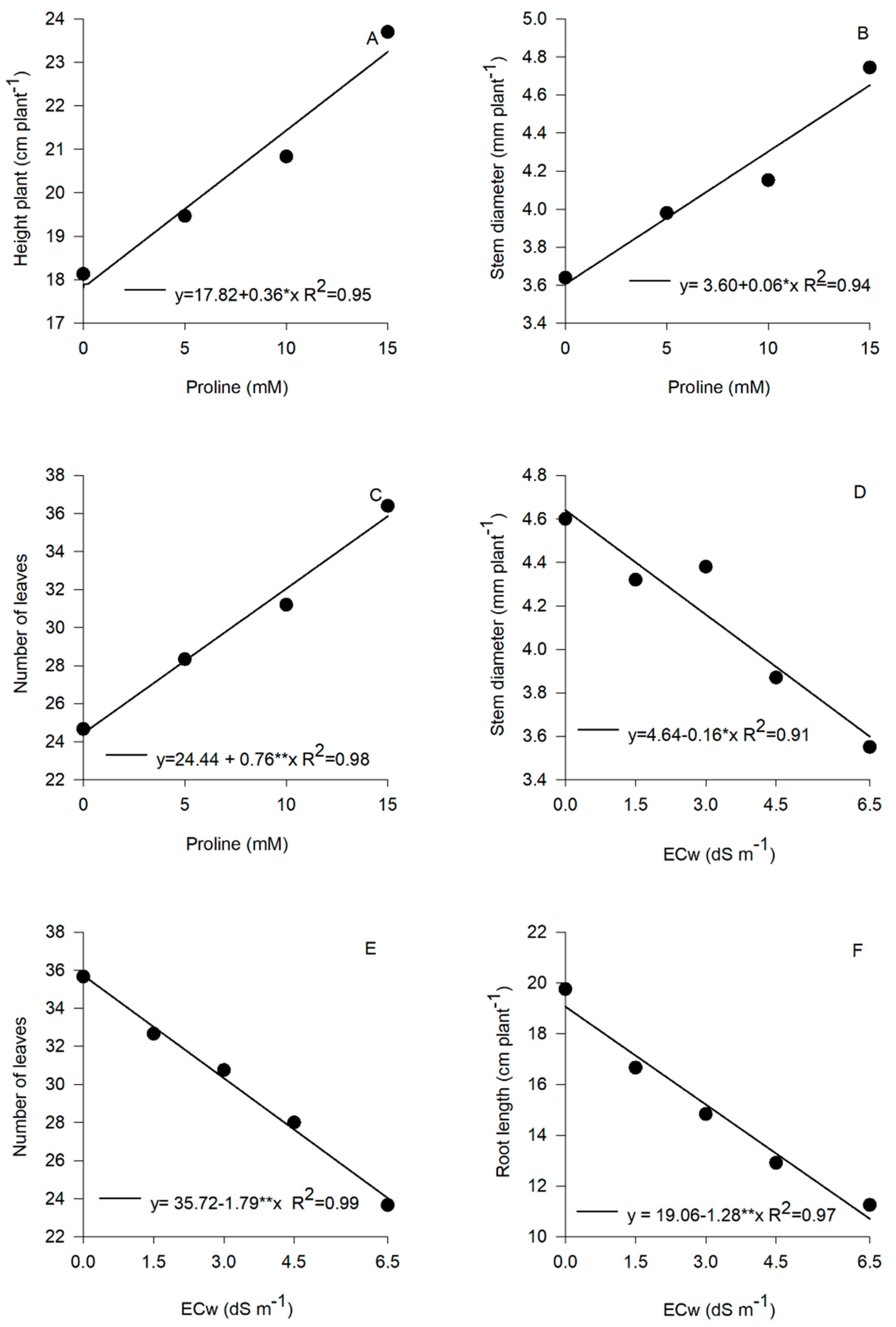
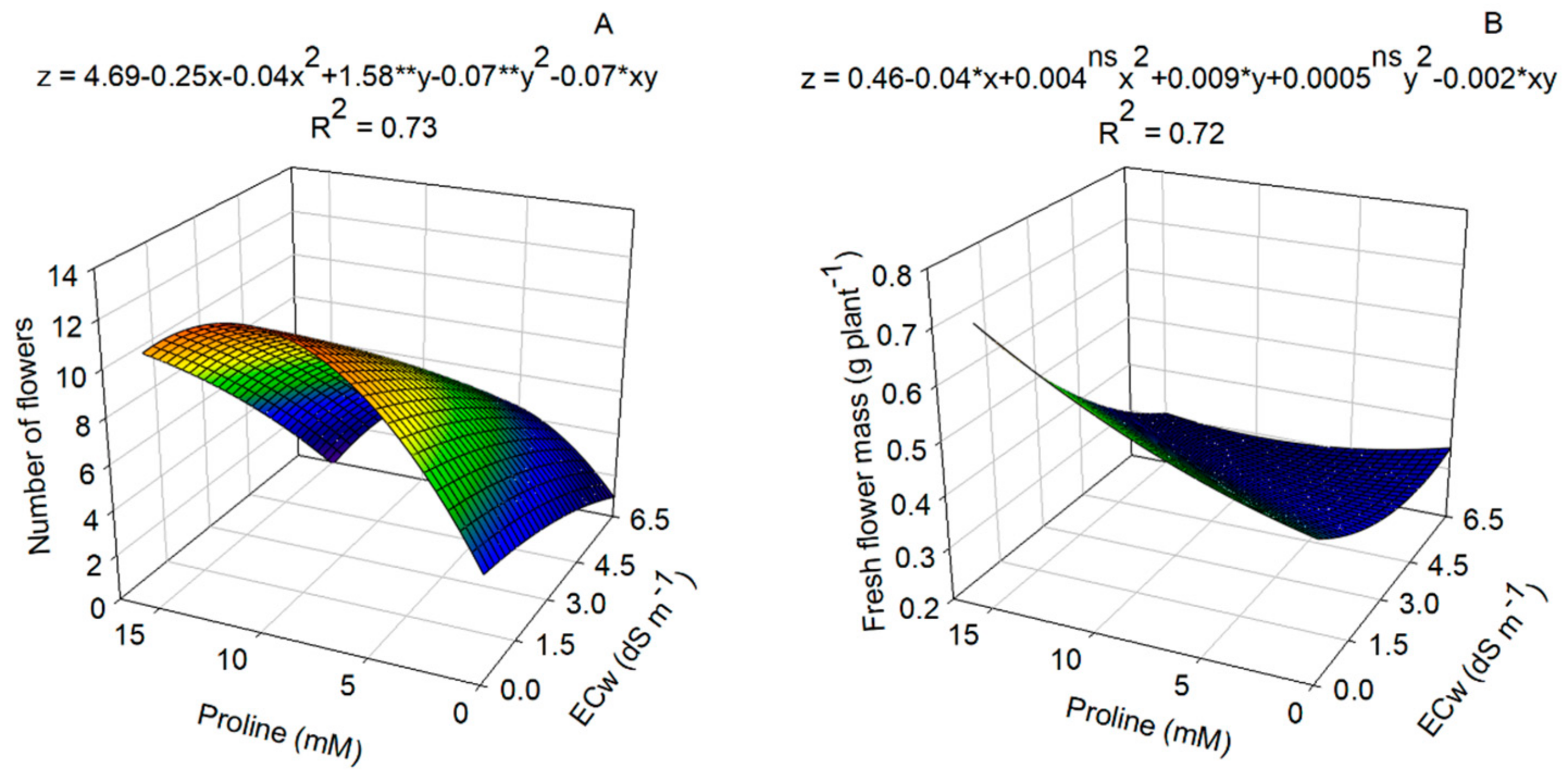
2. Results
3. Discussion
4. Materials and Methods
4.1. Experimental Location
4.2. Experimental Design and Conduction
4.3. Plant Growth
4.4. Gas Exchange
4.5. Relative Water Content
4.6. Physicochemical Analyses
4.7. Statistical Analyses
5. Conclusions
Author Contributions
Funding
Data Availability Statement
Acknowledgments
Conflicts of Interest
References
- Mahajan, M.; Kuiry, R.; Pal, P.K. Understanding the consequence of environmental stress for accumulation of secondary metabolites in medicinal and aromatic plants. J. Appl. Res. Med. Aromat. Plants 2020, 18, 100255. [Google Scholar] [CrossRef]
- Melo, A.C.; Costa, S.C.; Castro, A.F.; Souza, A.N.; Sato, S.W.; Lívero, F.A.; Lovato, E.C. Hydroethanolic Extract of Tropaeolum majus Promotes Anxiolytic Effects on Rats. Rev. Bras. Farmacogn. 2018, 28, 589–593. [Google Scholar] [CrossRef]
- Koike, A.; Barreira, J.C.; Barros, L.; Santos-Buelga, C.; Villavicencio, A.L.; Ferreira, I.C. Irradiation as A Novel Approach to Improve Quality of Tropaeolum majus L. Flowers: Benefits in Phenolic Profiles and Antioxidant Activity. Innov. Food Sci. Emerg. Technol. 2015, 30, 138–144. [Google Scholar] [CrossRef]
- Bazylko, A.; Granica, S.; Filipe, K.A.; Piwowarski, J.; Stefánska, J.; Osinska, E.; Kiss, A.K. Comparison of Antioxidant, Anti-Inflammatory, Antimicrobial Activity and Chemical Composition of Aqueous and Hydroethanolic Extracts of The Herb of Tropaeolum majus L. Ind. Crops Prod. 2013, 50, 88–94. [Google Scholar] [CrossRef]
- Valsalam, S.; Agastian, P.; Arasu, M.V.; Al-Dhabi, N.A.; Ghilan, A.K.M.; Kaviyarasu, K.; Ravindran, B.; Chang, S.W.; Arokiyaraj, S. Rapid Biosynthesis and Characterization of Silver Nanoparticles from The Leaf Extract of Tropaeolum majus L. and Its Enhanced In-Vitro Antibacterial, Antifungal, Antioxidant and Anticancer Properties. J. Photochem. Photobiol. B Biol. 2019, 191, 65–74. [Google Scholar] [CrossRef] [PubMed]
- Jurca, T.; Baldea, I.; Filip, G.A.; Olteanu, D.; Clichici, S.; Pallag, A.; Pallag, A.; Vicas, L.; Marian, E.; Micle, O.; et al. The Effect of Tropaeolum majus L. on Bacterial infections and In Vitro Efficacy on Apoptosis and DNA Lesions in Hyperosmotic Stress. J. Physiol. Pharmacol. 2018, 69, 391–401. [Google Scholar] [CrossRef]
- Alavi, S.A.; Ghehsareh, A.M.; Soleymani, A.; Panahpour, E.; Mozafari, M. Pepermint (Mentha piperita L.) Growth and Biochemical Properties Affected by Magnetized Saline Water. Ecotoxicol. Environ. Saf. 2020, 201, 775. [Google Scholar] [CrossRef] [PubMed]
- Faghih, S.; Zarei, A.; Ghobadi, C. Positive Effects of Plant Growth Regulators on Physiology Responses of Fragaria × Ananassa cv. ‘Camarosa’ Under Salt Stress. Int. J. Fruit Sci. 2019, 19, 104–114. [Google Scholar] [CrossRef]
- Silva, T.I.; Gonçalvez, A.C.M.; Melo Filho, J.S.; Alves, W.S.; Basilio, A.G.S.; Figueiredo, F.R.A.; Dias, T.J.; Blanck, A.F. Echophysiological Aspects of Ocimum basilicum Under Saline Stress and Salicylic Acid. Rev. Bras. De Ciências Agrárias 2019, 14, 5633. [Google Scholar] [CrossRef]
- Silva, T.I.; Lopes, A.S.; Silva, R.J.E.; Nobrega, J.S.; Melo, G.A.C.; Melo Filho, J.S.; Dias, T.J. Salicylic Acid Decreases Salt Stress Damage on Photosynthetic Processes and Increases Essential Oil Content in Basil ‘Cinnamon’. J. Soil Sci. Plant Nutr. 2023, 23, 4318–4327. [Google Scholar] [CrossRef]
- Silva, J.H.D.; Silva, A.J.D.; Silva, T.I.D.; Henschel, J.M.; Lopes, A.S.; Alves, J.C.; Dias, T.J. Salicylic acid reduces harmful effects of salt stress in Tropaeolum majus. Rev. Bras. Eng. Agrícola Ambient. 2024, 28, e278566. [Google Scholar] [CrossRef]
- Barbosa, L.B.; Silva, T.I.; Dias, M.G.; Pereira, E.D.; Cruz, R.P.; Silva, J.S.; Costa, F.B.; Grossi, J.A.S. Application of phytohormones reduces damage caused by salt stress in Tropaeolum majus. South Afr. J. Bot. 2024, 166, 69–78. [Google Scholar] [CrossRef]
- Godoy, F.; Olivos-Hernández, K.; Stange, C.; Handford, M. Abiotic Stress in Crop Species: Improving Tolerance by Applying Plant Metabolites. Plants 2021, 10, 186. [Google Scholar] [CrossRef]
- Khalid, M.; Rehman, H.M.; Ahmed, N.; Nawaz, S.; Saleem, F.; Ahmad, S.; Uzair, M.; Rana, I.A.; Atif, R.M.; Zaman, Q.U. Using Exogenous Melatonin, Glutathione, Proline, and Glycine Betaine Treatments to Combat Abiotic Stresses in Crops. Int. J. Mol. Sci. 2022, 23, 129. [Google Scholar] [CrossRef] [PubMed]
- Zouari, M.; Hassena, A.B.; Trabelsi, L.; Rouina, B.B.; Decou, R.; Labrousse, P. Exogenous Proline-Mediated Abiotic Stress Tolerance in Plants: Possible Mechanisms. In Osmoprotectant-Mediated Abiotic Stress Tolerance in Plants; Springer: Berlin/Heidelberg, Germany, 2019; pp. 99–121. [Google Scholar] [CrossRef]
- Ojewumi, A.W.; Junaid, O.E.; Feyibunmi, G.O. Morpho-Physiological Assessment of Water Stress Ameliorative Potential of Some Osmoprotectants on Growth Performance and Chlorophyll Contents of Cayenne Pepper (Capsicum annum). J. Pure Appl. Sci. 2022, 7, 13–20. [Google Scholar]
- Hanif, S.; Saleem, M.F.; Sarwar, M.; Irshad, M.; Shakoor, A.; Wahid, M.A.; Khan, H.Z. Biochemically triggered heat and drought stress tolerance in rice by proline application. J. Plant Growth Regul. 2021, 40, 305–312. [Google Scholar] [CrossRef]
- Sharma, A.; Thakur, S.; Kumar, V.; Kesavan, A.K.; Thukral, A.K.; Bhardwaj, R. 24-Epibrassinolide Stimulates Imidacloprid Detoxification by Modulating the Gene Expression of Brassica juncea L. BMC Plant Biol. 2017, 17, 1–10. [Google Scholar] [CrossRef] [PubMed]
- Batista, M.C.; Nascimento, R.; Maia Júnior, S.O.; Nascimento, E.C.S.; Bezerra, C.V.C.; Lima, R.F. Physiology and Production of Cherry Tomato Cultivars in A Hydroponic System Using Brackish Wate. Rev. Bras. Eng. Agrícola Ambient. 2021, 25, 219–227. [Google Scholar] [CrossRef]
- Nobrega, J.S.; Bezerra, A.C.; Ribeiro, J.E.S.; Silva, E.C.; Silva, T.Y.; Costa, R.N.M.; Silva, A.V.; Lopes, A.S.; Dias, T.J. Growth and Gas Exchange of Purple Basil Submitted To Salinity and Foliar Nitrogen Fertilization. J. Plant Nutr. 2021, 44, 2729–2738. [Google Scholar] [CrossRef]
- Sousa, V.F.O.; Costa, C.C.; Diniz, G.L.; Santos, J.B.; Bonfim, M.P. Physiological Behavior of Melon Cultivars Submitted to Soil Salinity. Pesqui. Agropecuária Trop. 2018, 48, 271–279. [Google Scholar] [CrossRef]
- Sousa, V.F.O.; Costa, C.C.; Diniz, G.L.; Santos, J.B.; Bonfim, M.P.; Lopes, K.P. Growth and Gas Changes of Melon Seedlings Submitted to Water Salinity. Agriambi 2019, 23, 90–96. [Google Scholar] [CrossRef]
- Seleiman, M.F.; Al-Suhaibani, N.; Ali, N.; Akmal, M.; Alotaibi, M.; Refay, Y.; Dindaroglu, T.; Abdul-Wajid, H.H.; Battaglia, M.L. Drought Stress Impacts on Plants and Different Approaches to Alleviate Its Adverse Effects. Plants 2021, 28, 259. [Google Scholar] [CrossRef] [PubMed]
- Yang, X.; Han, Y.; Hao, J.; Qin, X.; Liu, C.; Fan, S. Exogenous spermidine enhances the photosynthesis and ultrastructure of lettuce seedlings under high-temperature stress. Sci. Hortic. 2022, 291, 110570. [Google Scholar] [CrossRef]
- Kalaji, H.M.; Rackovác, L.; Paganovác, V.; Swoczyna, T.; Rusinowski, S.; Sitkof, K. Can Chlorophyll-A Fluorescence Parameters Be Used as Bio-Indicators to Distinguish Between Drought and Salinity Stress in Tilia Cordata Mill? Environ. Exp. Bot. 2018, 152, 149–157. [Google Scholar] [CrossRef]
- Sá, F.V.S.; Gheyi, H.R.; Lima, G.S. Water Salinity, Nitrogen and Phosphorus on Photochemical Efficiency and Growth of West Indian Cherry. Rev. Bras. Eng. Agrícola Ambient. 2018, 22, 158–163. [Google Scholar] [CrossRef]
- Baniasadi, F.; Saffari, V.R.; Mouad, A.A.M. Physiological and Growth Responses of Calendula officinalis L. Plants to The Interaction Effects of Polyamines and Salt Stress. Sci. Hortic. 2018, 234, 312–317. [Google Scholar] [CrossRef]
- Pan, T.; Liu, M.; Kreslavski, V.D.; Zharmukhamedov, S.K.; Nie, C.; Yu, M.; Kuznetsov, V.V.; Allakhverdiev, S.I.; Shabala, S. Non-Stomatal Limitation of Photosynthesis by Soil Salinity. Rev. Environ. Sci. Technol. 2021, 5, 791–825. [Google Scholar] [CrossRef]
- Fernandes, C.S.; Sá, F.V.S.; Ferreira, N.M.; Dias, N.S.; Reges, L.B.L.; Gheyi, H.R.; Paiva, E.P.; Silva, A.A.; Melo, A.S. Ionic Homeostasis, Biochemical Components and Yield of Italian Zucchini Under Nitrogen Forms and Salt Stress. Braz. J. Biol. 2022, 82, 567. [Google Scholar] [CrossRef] [PubMed]
- Severino, L.S.; Mendes, B.S.S.; Saboya, R.C.C.; Barros, L.A.; Marinho, D.R.F. Nutrient Content of Solvent-Extracted Castor Meal Separated in Granulometric Fractions by Dry Sieving and Applied as Organic Fertilizer. Ind. Crops Prod. 2021, 161, 113–178. [Google Scholar] [CrossRef]
- Ashraf, M.; Shahzad, S.M.; Imtiaz, M.; Rizwan, M.S. Salinity Effects on Nitrogen Metabolism in Plants—Focusing on The Activities of Nitrogen Metabolizing Enzymes: A Review. J. Plant Nutr. 2018, 41, 1065–1081. [Google Scholar] [CrossRef]
- Ahanger, M.A.; Qin, C.; Begum, N.; Maodong, Q.; Dong, X.; El-Esawi, M.; El-Sheick, M.A.; Alatar, A.; Zhang, L. Nitrogen Availability Prevents Oxidative Effects of Salinity on Wheat Growth and Photosynthesis by Up-Regulating the Antioxidants and Osmolytes Metabolism, and Secondary Metabolite Accumulation. BMC Plant Biol. 2019, 19, 479. [Google Scholar] [CrossRef] [PubMed]
- Silva, T.I.; Dias, M.G.; Araujo, N.O.; Santos, M.N.S.; Cruz, R.R.P.; Dias, T.J.; Ribeiro, W.S.; Grossi, J.A.S.; Barbosa, J.G. Spermine Reduces the Harmful Effects of Salt Stress in Tropaeolum majus. Physiol. Mol. Biol. Plants 2022, 28, 687–696. [Google Scholar] [CrossRef] [PubMed]
- Slama, I.; Abdelly, C.; Bouchereau, A.; Flowers, T.; Savouré, A. Diversity, Distribution and Roles of Osmoprotective Compounds Accumulated in Halophytes Under Abiotic Stress. Ann. Bot. 2015, 115, 433–447. [Google Scholar] [CrossRef]
- Majumdar, R.; Barchi, B.; Turlapati, S.A.; Gagne, M.; Minocha, R.; Long, S.; Minocha, S.C. Glutamate, Ornithine, Arginine, Proline, and Polyamine Metabolic Interactions: The Pathway Is Regulated at the Post-Transcriptional Level. Front. Plant Sci. 2016, 7, 78. [Google Scholar] [CrossRef] [PubMed]
- Minocha, R.; Majumdar, R.; Minocha, S.C. Polyamines and abiotic stress in plants: A complex relationship. Front. Plant Sci. 2014, 5, 175. [Google Scholar] [CrossRef] [PubMed]
- Alharby, H.F.; Al-Zahrani, H.S.; Alzarani, Y.M.; Alsamadany, H.; Hakeem, K.R.; Rady, M.M. Maize Grain Extract Enriched with Polyamines Alleviates Drought Stress in Triticum Aestivum Through Up-Regulation of The Ascorbate-Glutathione Cycle, Glyoxalase System, and Polyamine Gene Expression. Agronomy 2021, 11, 949. [Google Scholar] [CrossRef]
- Abdllah, S.B.; Aung, B.; Amyot, L.; Lalin, I.; Lachal, M.; Karray-Bourani, N.; Hannoufam, A. Salt stress (NaCl) affects plant growth and branch pathways of carotenoid and flavonoid biosyntheses in Solanum nigrum. Acta Physiol. Plant. 2016, 38, 1–13. [Google Scholar] [CrossRef]
- Horchani, F.; Bouallegue, A.; Namsi, A.; Abbes, Z. Simultaneous Application of ascorbic acid and Proline as a smart approach to mitigate the adverse effects of salt stress in wheat (Triticum aestivum). Biol. Bull. 2024, 51, 1346–1363. [Google Scholar] [CrossRef]
- Oliveira, D.S.; Aquino, P.P.; Ribeiro, S.M.R.; Proença, R.P.C.; Santana, H.M.P. Vitamina C, carotenoides, fenólicos totais e atividade antioxidante de goiaba, manga e mamão procedentes da ceasa do Estado de Minas Gerais. Acta Sci. Health Sci. 2011, 33, 89–98. [Google Scholar] [CrossRef]
- Souza, A.G.; Carvalho, J.; Anami, J.M.; Jung, E.A.; Hamerski, P. Refrigeration preservation of Nasturtium Flowers. Agrotrópica 2020, 32, 225–232. [Google Scholar] [CrossRef]
- Fernandes, L.; Casal, S.; Pereira, J.A.; Saraiva, J.A.; Ramalhosa, E. Uma perspectiva nutricional sobre flores comestíveis. Acta Port. Nutr. 2016, 6, 32–37. [Google Scholar] [CrossRef]
- Stefaniak, A.; Grzeszczuk, M. Nutritional and biological value of five edible flower species. Not. Bot. Horti Agrobot. 2019, 47, 128–134. [Google Scholar] [CrossRef]
- Alvarez, C.A.; Stape, J.L.; Sentelhas, P.C.; Gonçalvez, J.L.; De, M.; Sparovek, G. Köppen’s climate classification map for Brazil. Meteorol. Z. 2013, 22, 711–728. [Google Scholar] [CrossRef] [PubMed]
- Sousa, V.F.D.O.; Dias, T.J.; Henschel, J.M.; Júnior, S.D.O.M.; Batista, D.S.; Linné, J.A.; Targino, V.A.; Da Silva, R.F. Castor bean cake increases osmoprotection and oil production in basil (Ocimum basilicum) under saline stress. Sci. Hortic. 2024, 309, 111687. [Google Scholar] [CrossRef]
- Silva, S.T.D.A.; Lima, G.S.D.; Lima, V.L.A.D.; Nóbrega, J.S.; Silva, S.S.; Ferreira, J.T.A.; Sousa, V.F.D.O. Use of Proline to Induce Salt Stress Tolerance in Guava. Plants 2024, 13, 1887. [Google Scholar] [CrossRef] [PubMed]
- Henschel, J.M.; Dantas, E.F.O.; Soares, V.A.; Santos, S.K.D.; Santos, L.W.O.; Dias, T.J.; Batista, D.S. Salicylic Acid Mitigates the Effects of Mild Drought Stress on Radish (Raphanus sativus) Growth. Funct. Plant Biol. 2022, 49, 822–831. [Google Scholar] [CrossRef] [PubMed]
- Irigoyen, J.J.; Emerich, D.W.; Sanchez-Díaz, M. Water Stress Induced Changes in Concentrations of Proline and Total Soluble Sugars in Nodulated Alfalfa (Medicago sativa) Plants. Physiol Plant 1992, 84, 67–72. [Google Scholar] [CrossRef]
- Henrique, V.A.; Ferreira, L.P.; Nunes, C.R. Análise Físico-Químicas E Antioxidante De Manjericão (Ocimum basilicum L.) Orgânico. Rev. Interdiscip. Pensamento Científico 2018, 3, 2. [Google Scholar] [CrossRef]
- Instituto Adolfo Lutz—Ial. Métodos Físico-Químicos Para Análise De Alimentos, 4th ed.; Instituto Adolfo Lutz: São Paulo, Brazil, 2008; Volume 1, p. 1020. [Google Scholar]
- AOAC—Association of Official Analytical Chemistry. Official Methods of Analysis of the Association of Official Analytical Chemistry, 17th ed.; AOAC: Rockville, MD, USA, 2005; p. 1115. [Google Scholar]
- Terada, M.; Watanabe, Y.; Kunitomo, M.; Hayashi, E. Differential Rapid Analysis of Ascorbic Acid and Ascorbic Acid 2-Sulfate by Dinitrophenylhydrazine Method. Anal. Biochem. 1978, 84, 604–608. [Google Scholar] [CrossRef] [PubMed]
- Miller, G.L. Use of Dinitrosalicylic Acid Reagent for Determination of Reducing Sugars. Anal. Chem. 1959, 31, 228–426. [Google Scholar] [CrossRef]
- Yemn, E.W.; Willis, A.J. The Estimation of Carbohydrate in Plant Extracts by Anthrone. Biochem. J. 1954, 57, 508–514. [Google Scholar] [CrossRef]
- Folin, O.; Ciocateal, V. On Tyrosine and Tryptophane Determinations in Proteins. J. Biol. Chem. 1957, 73, 627–650. [Google Scholar] [CrossRef]
- Santos, R.P.; Cruz, A.C.F.; Iarema, L.; Kuki, K.N.; Otoni, W.C. Protocolo Para Extração De Pigmentos Foliares Em Porta-Enxertos De Videira Micropropagados. Rev. Ceres 2008, 55, 356–364. [Google Scholar]
- Wellburn, A.R. The Spectral Determination of Chlorophylls A and B, As Well As Total Carotenoids, Using Various Solvents with Spectrophotometers of Different Resolution. J. Plant Physiol. 1994, 144, 307–313. [Google Scholar] [CrossRef]
- R Core Team. R: A Language and Environment for Statistical Computing; R Foundation for Statistical Computing: Vienna, Austria, 2022; Available online: http://www.r-project.org/ (accessed on 6 June 2024).







| pH(H2O,1:2.5) | P | Na | H + Al | Al | Ca | Mg | K | C |
|---|---|---|---|---|---|---|---|---|
| mg kg−1 | mg kg−1 | ---------cmolc kg−1--------- | mg kg−1 | g kg−1 | ||||
| 5.00 | 233.27 | 14.69 | 20.62 | 0 | 8.9 | 8.9 | 97.59 | 35.25 |
Disclaimer/Publisher’s Note: The statements, opinions and data contained in all publications are solely those of the individual author(s) and contributor(s) and not of MDPI and/or the editor(s). MDPI and/or the editor(s) disclaim responsibility for any injury to people or property resulting from any ideas, methods, instructions or products referred to in the content. |
© 2025 by the authors. Licensee MDPI, Basel, Switzerland. This article is an open access article distributed under the terms and conditions of the Creative Commons Attribution (CC BY) license (https://creativecommons.org/licenses/by/4.0/).
Share and Cite
Targino, V.A.; Dias, T.J.; Sousa, V.F.d.O.; Silva, M.d.M.; da Silva, A.J.; Ribeiro, J.E.d.S.; da Silva, R.F.; Batista, D.S.; Henschel, J.M.; Rêgo, M.M.d. Growth, Gas Exchange, and Phytochemical Quality of Nasturtium (Tropaeolum majus L.) Subjected to Proline Concentrations and Salinity. Plants 2025, 14, 301. https://doi.org/10.3390/plants14030301
Targino VA, Dias TJ, Sousa VFdO, Silva MdM, da Silva AJ, Ribeiro JEdS, da Silva RF, Batista DS, Henschel JM, Rêgo MMd. Growth, Gas Exchange, and Phytochemical Quality of Nasturtium (Tropaeolum majus L.) Subjected to Proline Concentrations and Salinity. Plants. 2025; 14(3):301. https://doi.org/10.3390/plants14030301
Chicago/Turabian StyleTargino, Vitor Araujo, Thiago Jardelino Dias, Valéria Fernandes de Oliveira Sousa, Mariana de Melo Silva, Adjair José da Silva, João Everthon da Silva Ribeiro, Ramon Freire da Silva, Diego Silva Batista, Juliane Maciel Henschel, and Mailson Monteiro do Rêgo. 2025. "Growth, Gas Exchange, and Phytochemical Quality of Nasturtium (Tropaeolum majus L.) Subjected to Proline Concentrations and Salinity" Plants 14, no. 3: 301. https://doi.org/10.3390/plants14030301
APA StyleTargino, V. A., Dias, T. J., Sousa, V. F. d. O., Silva, M. d. M., da Silva, A. J., Ribeiro, J. E. d. S., da Silva, R. F., Batista, D. S., Henschel, J. M., & Rêgo, M. M. d. (2025). Growth, Gas Exchange, and Phytochemical Quality of Nasturtium (Tropaeolum majus L.) Subjected to Proline Concentrations and Salinity. Plants, 14(3), 301. https://doi.org/10.3390/plants14030301

