Functional Analysis of Naturally Integrated Rol Genes in Sweet Potato via CRISPR/Cas9 Genome Editing
Abstract
1. Introduction
2. Results
2.1. Evaluation of Mutation Efficiency in CRISPR/Cas9-Transformed Callus Cultures of Ipomoea batatas
2.2. Cas9/gRNA-Mediated Genome Editing in Sweet Potato Callus Culture
2.3. Impact of Ib-rolB/C and Ib-rolD-like Gene Mutations on the Growth of Ipomoea batatas Callus Cultures
2.4. Effect of Ib-rolB/C and Ib-rolD-like Gene Mutations on Secondary Metabolite Levels in Ipomoea batatas Callus Cultures
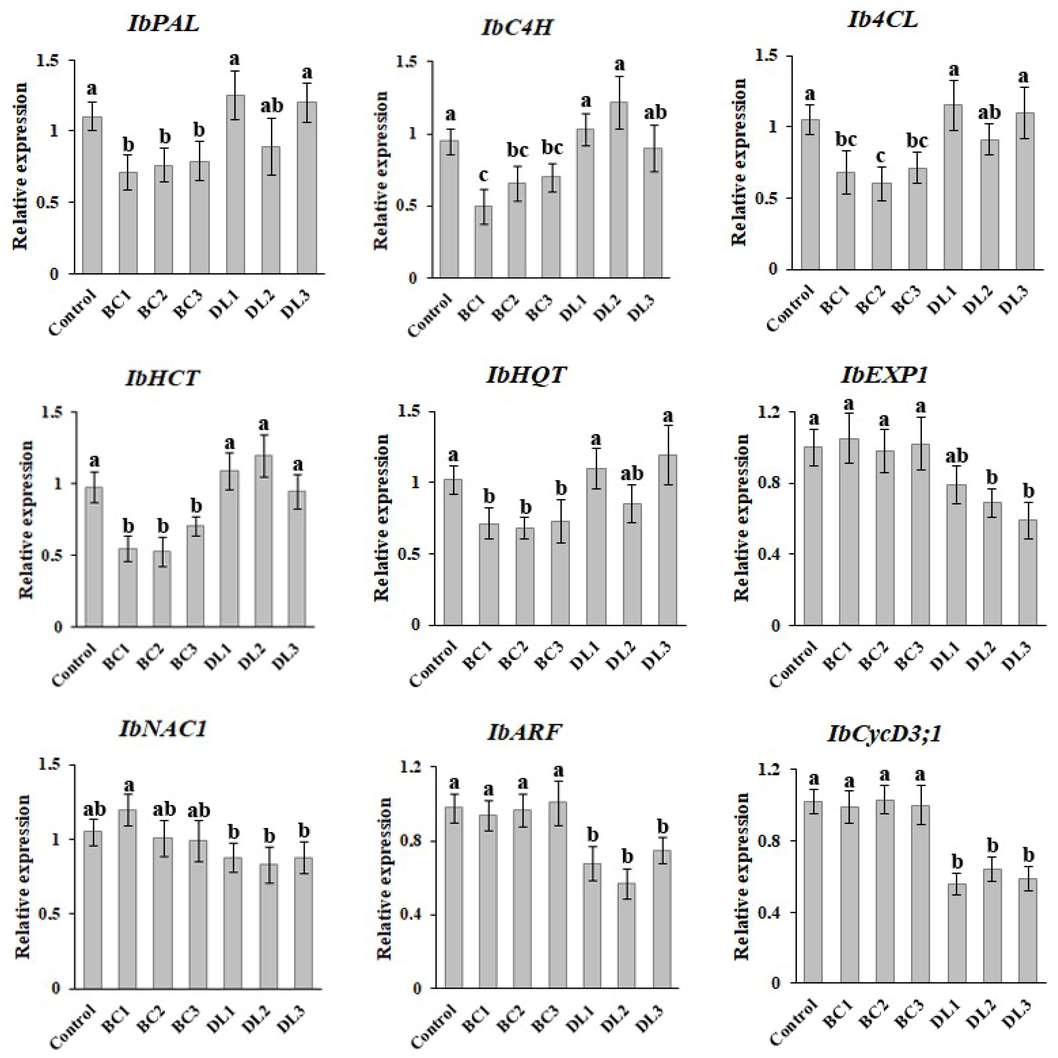
2.5. Expression Profiles of Key Biosynthetic and Growth-Related Genes in Mutant Ipomoea batatas Calli
2.6. Effect of Ib-rolB/C and Ib-rolD-like Gene Mutations on Phenolic Compound Accumulation in Planta
3. Discussion
4. Materials and Methods
4.1. Plant Cell Culture
4.2. sgRNA Design and Plasmid Construction
4.3. Transformation of I. batatas Callus Culture
4.4. Transient Transformation of I. batatas Leaves
4.5. Genotyping and Sequencing of the Gene Mutations
4.6. Gene Expression Analysis
4.7. Estimation of Secondary Metabolite Content
4.8. Statistical Analysis
5. Conclusions
Supplementary Materials
Author Contributions
Funding
Data Availability Statement
Acknowledgments
Conflicts of Interest
References
- Lacroix, B.; Citovsky, V. Transfer of DNA from bacteria to eukaryotes. mBio 2016, 7, e00863-16. [Google Scholar] [CrossRef]
- Tiwari, M.; Mishra, A.K.; Chakrabarty, D. Agrobacterium-mediated gene transfer: Recent advancements and layered immunity in plants. Planta 2022, 256, 37. [Google Scholar] [CrossRef] [PubMed]
- Matveeva, T.; Lutova, L. Horizontal gene transfer from Agrobacterium to plants. Front. Plant Sci. 2014, 5, 326. [Google Scholar] [CrossRef]
- Chen, K.; Dorlhac de Borne, F.; Szegedi, E.; Otten, L. Deep sequencing of the ancestral tobacco species Nicotiana tomentosiformis reveals multiple T-DNA inserts and a complex evolutionary history of natural transformation in the genus Nicotiana. Plant J. 2014, 80, 669–682. [Google Scholar] [CrossRef]
- Behera, S.; Chauhan, V.B.S.; Pati, K.; Bansode, V.; Nedunchezhiyan, M.; Verma, A.K.; Monalisa, K.; Naik, P.K.; Naik, S.K. Biology and biotechnological aspect of sweet potato (Ipomoea batatas L.): A commercially important tuber crop. Planta 2022, 256, 40. [Google Scholar] [CrossRef]
- Kyndt, T.; Quispe, D.; Zhai, H.; Jarret, R.; Ghislain, M.; Liu, Q.; Gheysen, G.; Kreuze, J. The genome of cultivated sweet potato contains Agrobacterium T-DNAs with expressed genes: An example of a naturally transgenic food crop. Proc. Natl. Acad. Sci. USA 2015, 112, 5844–5849. [Google Scholar] [CrossRef] [PubMed]
- Quispe-Huamanquispe, D.G.; Gheysen, G.; Yang, J.; Jarret, R.; Rossel, G.; Kreuze, J. The horizontal gene transfer of Agrobacterium T-DNAs into the series Batatas (genus Ipomoea) genome is not confined to hexaploid sweetpotato. Sci. Rep. 2019, 9, 12584. [Google Scholar] [CrossRef] [PubMed]
- Yugay, Y.; Rusapetova, T.; Vasyutkina, E.; Sorokina, M.; Grigorchuk, V.; Degtyareva, V.; Rudenko, D.; Alaverdov, E.; Bulgakov, V.; Shkryl, Y. A naturally integrated rolD-like gene in sweet potato mediates stress-responsive pathways. Plant Physiol. Biochem. 2025, 223, 109875. [Google Scholar] [CrossRef] [PubMed]
- Wu, S.; Sun, H.; Zhao, X.; Hamilton, J.P.; Mollinari, M.; Gesteira, G.S.; Kitavi, M.; Yan, M.; Wang, H.; Yang, J.; et al. Phased chromosome-level assembly provides insight into the genome architecture of hexaploid sweetpotato. Nat. Plants 2025, 11, 1951–1959. [Google Scholar] [CrossRef]
- Bulgakov, V.P. Functions of rol genes in plant secondary metabolism. Biotechnol. Adv. 2008, 26, 318–324. [Google Scholar] [CrossRef]
- Shvets, D.Y.; Berezhneva, Z.A.; Musin, K.G.; Kuluev, B.R. Effect of rol genes of the A4, 15834, and K599 strains of Agrobacterium rhizogenes on root growth and states of the antioxidant systems of transgenic tobacco plants subjected to abiotic stress. Russ. J. Plant Physiol. 2024, 71, 165. [Google Scholar] [CrossRef]
- Trovato, M.; Maras, B.; Linhares, F.; Costantino, P. The plant oncogene rolD encodes a functional ornithine cyclodeaminase. Proc. Natl. Acad. Sci. USA 2001, 98, 13449–13453. [Google Scholar] [CrossRef]
- Bettini, P.; Michelotti, S.; Bindi, D.; Giannini, R.; Capuana, M.; Buiatti, M. Pleiotropic effect of the insertion of the Agrobacterium rhizogenes rolD gene in tomato (Lycopersicon esculentum Mill.). Theor. Appl. Genet. 2003, 107, 750–756. [Google Scholar] [CrossRef] [PubMed]
- Shkryl, Y.; Yugay, Y.; Vasyutkina, E.; Chukhlomina, E.; Rusapetova, T.; Bulgakov, V. The RolB/RolC homolog from sweet potato promotes early flowering and triggers premature leaf senescence in transgenic Arabidopsis thaliana plants. Plant Physiol. Biochem. 2022, 193, 50–60. [Google Scholar] [CrossRef] [PubMed]
- Shkryl, Y.; Vasyutkina, E.; Gorpenchenko, T.; Mironova, A.; Rusapetova, T.; Velansky, P.V.; Bulgakov, V.; Yugay, Y. Salicylic acid and jasmonic acid biosynthetic pathways are simultaneously activated in transgenic Arabidopsis expressing the rolB/C gene from Ipomoea batatas. Plant Physiol. Biochem. 2024, 208, 108521. [Google Scholar] [CrossRef] [PubMed]
- Vasyutkina, E.A.; Yugay, Y.A.; Grigorchuk, V.P.; Grishchenko, O.V.; Sorokina, M.R.; Yaroshenko, Y.L.; Kudinova, O.D.; Stepochkina, V.D.; Bulgakov, V.P.; Shkryl, Y.N. Effect of stress signals and Ib-rolB/C overexpression on secondary metabolite biosynthesis in cell cultures of Ipomoea batatas. Int. J. Mol. Sci. 2022, 23, 15100. [Google Scholar] [CrossRef]
- Quispe-Huamanquispe, D.G.; Gheysen, G.; Kreuze, J. Horizontal gene transfer contributes to plant evolution: The case of Agrobacterium T-DNAs. Front. Plant Sci. 2017, 8, 2015. [Google Scholar] [CrossRef]
- Ma, X.; Zhu, Q.; Chen, Y.; Liu, Y. CRISPR/Cas9 platforms for genome editing in plants: Developments and applications. Mol. Plant 2016, 9, 961–974. [Google Scholar] [CrossRef]
- Permyakova, N.; Marenkova, T.; Belavin, P.; Zagorskaya, A.; Sidorchuk, Y.; Deineko, E. CRISPR/Cas9-mediated targeted DNA integration: Rearrangements at the junction of plant and plasmid DNA. Int. J. Mol. Sci. 2022, 23, 8636. [Google Scholar] [CrossRef]
- Arora, L.; Narula, A. Gene editing and crop improvement using CRISPR-Cas9 system. Front. Plant Sci. 2017, 8, 1932. [Google Scholar] [CrossRef]
- Liu, X.; Wu, S.; Xu, J.; Sui, C.; Wei, J. Application of CRISPR/Cas9 in plant biology. Acta Pharm. Sin. B 2017, 7, 292–302. [Google Scholar] [CrossRef]
- Gan, W.C.; Ling, A.P. CRISPR/Cas9 in plant biotechnology: Applications and challenges. Biotechnol. Agron. Soc. Environ. 2022, 26, 81–93. [Google Scholar] [CrossRef]
- Dilshad, E.; Noor, H.; Nosheen, N.; Gilani, S.R.; Ali, U.; Khan, M.A. Influence of rol genes for enhanced biosynthesis of potent natural products. In Natural Bio-Active Compounds: Volume 1: Production and Applications; Malik, S., Ed.; Wiley-Blackwell: Hoboken, NJ, USA, 2020; pp. 259–281. [Google Scholar] [CrossRef]
- Chandra, S. Natural plant genetic engineer Agrobacterium rhizogenes: Role of T-DNA in plant secondary metabolism. Biotechnol. Lett. 2012, 34, 407–415. [Google Scholar] [CrossRef]
- Azizi-Dargahlou, S.; Pouresmaeil, M. Agrobacterium tumefaciens-mediated plant transformation: A review. Mol. Biotechnol. 2024, 66, 1563–1580. [Google Scholar] [CrossRef]
- Kumar, R.; Mamrutha, H.M.; Kaur, A.; Venkatesh, K.; Sharma, D.; Singh, G.P. Optimization of Agrobacterium-mediated transformation in spring bread wheat using mature and immature embryos. Mol. Biol. Rep. 2019, 46, 1845–1853. [Google Scholar] [CrossRef]
- Anirudh, N.; Haritha, P.K.; Sreedhar, R.V. Agrobacterium-mediated genetic transformation of chia (Salvia hispanica L.), a rich source of omega-3 fatty acid. Transgenic Res. 2025, 34, 31. [Google Scholar] [CrossRef] [PubMed]
- Burman, N.; Chandran, D.; Khurana, J.P. A rapid and highly efficient method for transient gene expression in rice plants. Front. Plant Sci. 2020, 11, 584011. [Google Scholar] [CrossRef]
- Karami, O.; Esna-Ashari, M.; Karimi Kurdistani, G.; Aghavaisi, B. Agrobacterium-mediated genetic transformation of plants: The role of host. Biol. Plant. 2009, 53, 201–212. [Google Scholar] [CrossRef]
- Kwiatkowska, A.; Żebrowski, J.; Oklejewicz, B.; Czarnik, J.; Halibart-Puzio, J.; Wnuk, M. The age-dependent epigenetic and physiological changes in an Arabidopsis T87 cell suspension culture during long-term cultivation. Biochem. Biophys. Res. Commun. 2014, 447, 285–291. [Google Scholar] [CrossRef] [PubMed]
- Gelvin, S.B. Integration of Agrobacterium T-DNA into the plant genome. Annu. Rev. Genet. 2017, 51, 195–217. [Google Scholar] [CrossRef]
- Arias, R.S.; Filichkin, S.A.; Strauss, S.H. Divide and conquer: Development and cell cycle genes in plant transformation. Trends Biotechnol. 2006, 24, 267–273. [Google Scholar] [CrossRef]
- Kuta, D.D.; Tripathi, L. Agrobacterium-induced hypersensitive necrotic reaction in plant cells: A resistance response against Agrobacterium-mediated DNA transfer. Afr. J. Biotechnol. 2005, 4, 752–757. [Google Scholar]
- Pitzschke, A. Agrobacterium infection and plant defense–transformation success hangs by a thread. Front. Plant Sci. 2013, 4, 519. [Google Scholar] [CrossRef]
- Escobar-Puentes, A.A.; Palomo, I.; Rodríguez, L.; Fuentes, E.; Villegas-Ochoa, M.; González-Aguilar, G.; Olivas-Aguirre, F.; Wall-Medrano, A. Sweet potato (Ipomoea batatas L.) phenotypes: From agroindustry to health effects. Foods 2022, 11, 1058. [Google Scholar] [CrossRef]
- Alam, M.K. A comprehensive review of sweet potato (Ipomoea batatas [L.] Lam): Revisiting the associated health benefits. Trends Food Sci. Technol. 2021, 113, 420–432. [Google Scholar] [CrossRef]
- Chen, K.; Zhurbenko, P.; Danilov, L.; Matveeva, T.; Otten, L. Conservation of an Agrobacterium cT-DNA insert in Camellia section Thea reveals the ancient origin of tea plants from a genetically modified ancestor. Front. Plant Sci. 2022, 13, 997762. [Google Scholar] [CrossRef]
- Otten, L.; Liu, H.; Meeprom, N.; Linan, A.; Puglisi, C.; Chen, K. Accumulation of numerous cellular T-DNA sequences in the genus Diospyros by multiple rounds of natural transformation. Plant J. 2025, 122, e70202. [Google Scholar] [CrossRef] [PubMed]
- Matveeva, T.V.; Otten, L. Widespread occurrence of natural genetic transformation of plants by Agrobacterium. Plant Mol. Biol. 2019, 101, 415–437. [Google Scholar] [CrossRef] [PubMed]
- Trovato, M.; Mattioli, R.; Costantino, P. From A. rhizogenes rolD to plant P5CS: Exploiting proline to control plant development. Plants 2018, 7, 108. [Google Scholar] [CrossRef]
- White, F.F.; Taylor, B.H.; Huffman, G.A.; Gordon, M.P.; Nester, E.W. Molecular and genetic analysis of the transferred DNA regions of the root-inducing plasmid of Agrobacterium rhizogenes. J. Bacteriol. 1985, 164, 33–44. [Google Scholar] [CrossRef] [PubMed]
- Ghosh, U.K.; Islam, M.N.; Siddiqui, M.N.; Cao, X.; Khan, M.A.R. Proline, a multifaceted signalling molecule in plant responses to abiotic stress: Understanding the physiological mechanisms. Plant Biol. (Stuttg.) 2022, 24, 227–239. [Google Scholar] [CrossRef]
- Kishor, P.B.K.; Hima Kumari, P.; Sunita, M.S.; Sreenivasulu, N. Role of proline in cell wall synthesis and plant development and its implications in plant ontogeny. Front. Plant Sci. 2015, 6, 544. [Google Scholar] [CrossRef]
- Showalter, A.M.; Basu, D. Extensin and arabinogalactan-protein biosynthesis: Glycosyltransferases, research challenges, and biosensors. Front. Plant Sci. 2016, 7, 814. [Google Scholar] [CrossRef] [PubMed]
- Menges, M.; Samland, A.K.; Planchais, S.; Murray, J.A. The D-type cyclin CYCD3;1 is limiting for the G1-to-S-phase transition in Arabidopsis. Plant Cell 2006, 18, 893–906. [Google Scholar] [CrossRef] [PubMed]
- Rademacher, E.H.; Möller, B.; Lokerse, A.S.; Llavata-Peris, C.I.; van den Berg, W.; Weijers, D. A cellular expression map of the Arabidopsis AUXIN RESPONSE FACTOR gene family. Plant J. 2011, 68, 597–606. [Google Scholar] [CrossRef] [PubMed]
- Zenoni, S.; Reale, L.; Tornielli, G.B.; Lanfaloni, L.; Porceddu, A.; Ferrarini, A.; Moretti, C.; Zamboni, A.; Speghini, A.; Ferranti, F.; et al. Downregulation of the Petunia hybrida α-expansin gene PhEXP1 reduces the amount of crystalline cellulose in cell walls and leads to phenotypic changes in petal limbs. Plant Cell 2004, 16, 295–308. [Google Scholar] [CrossRef]
- Kundu, A.; Vadassery, J. Chlorogenic acid-mediated chemical defence of plants against insect herbivores. Plant Biol. (Stuttg.) 2019, 21, 185–189. [Google Scholar] [CrossRef]
- Ngadze, E.; Icishahayo, D.; Coutinho, T.A.; van der Waals, J.E. Role of polyphenol oxidase, peroxidase, phenylalanine ammonia lyase, chlorogenic acid, and total soluble phenols in resistance of potatoes to soft rot. Plant Dis. 2012, 96, 186–192. [Google Scholar] [CrossRef]
- Sultana, T.; Islam, S.; Azad, M.A.K.; Akanda, M.J.H.; Rahman, A.; Rahman, M.S. Phytochemical profiling and antimicrobial properties of various sweet potato (Ipomoea batatas L.) leaves assessed by RP-HPLC-DAD. Foods 2024, 13, 2787. [Google Scholar] [CrossRef]
- Zhang, C.; Liu, D.; Wu, L.; Zhang, J.; Li, X.; Wu, W. Chemical characterization and antioxidant properties of ethanolic extract and its fractions from sweet potato (Ipomoea batatas L.) leaves. Foods 2019, 9, 15. [Google Scholar] [CrossRef]
- Taira, J.; Uehara, M.; Tsuchida, E.; Ohmine, W. Inhibition of the β-Catenin/Tcf signaling by caffeoylquinic acids in sweet potato leaf through downregulation of the Tcf-4 transcription. J. Agric. Food Chem. 2014, 62, 167–172. [Google Scholar] [CrossRef]
- Sasaki, K.; Han, J.; Shimozono, H.; Villareal, M.O.; Isoda, H. Caffeoylquinic acid-rich purple sweet potato extract, with or without anthocyanin, imparts neuroprotection and contributes to the improvement of spatial learning and memory of SAMP8 mouse. J. Agric. Food Chem. 2013, 61, 5037–5045. [Google Scholar] [CrossRef]
- Islam, S. Some bioactive constituents, antioxidant, and antimutagenic activities in the leaves of Ipomoea batatas Lam. genotypes. Am. J. Food Sci. Technol. 2016, 4, 70–80. [Google Scholar]
- Divya, K.; Thangaraj, M.; Krishna Radhika, N. CRISPR/Cas9: An advanced platform for root and tuber crops improvement. Front. Genome Ed. 2024, 5, 1242510. [Google Scholar] [CrossRef]
- Tussipkan, D.; Manabayeva, S.A. Employing CRISPR/Cas technology for the improvement of potato and other tuber crops. Front. Plant Sci. 2021, 12, 747476. [Google Scholar] [CrossRef]
- Animasaun, D.A.; Adedibu, P.A.; Shkryl, Y.; Emmanuel, F.O.; Tekutyeva, L.; Balabanova, L. Modern plant biotechnology: An antidote against global food insecurity. Agronomy 2023, 13, 2038. [Google Scholar] [CrossRef]
- Yugay, Y.A.; Grishchenko, O.V.; Vasyutkina, E.; Grigorchuk, V.P.; Chukhlomina, E.; Tsydeneshieva, Z.L.; Kudinova, O.D.; Yaroshenko, Y.L.; Degtyarenko, A.I.; Subbotin, E.P.; et al. Influence of growth regulators and different spectra of monochromatic radiation on the growth and biosynthetic characteristics of callus culture of Ipomoea batatas (L.) Lam. Russ. J. Plant Physiol. 2023, 70, 899–908. [Google Scholar] [CrossRef]
- Li, J.F.; Norville, J.; Aach, J.D.; McCormack, M.; Zhang, D.; Bush, J.; Church, G.; Sheen, J. Multiplex and homologous recombination–mediated genome editing in Arabidopsis and Nicotiana benthamiana using guide RNA and Cas9. Nat. Biotechnol. 2013, 31, 688–691. [Google Scholar] [CrossRef] [PubMed]
- Shkryl, Y.; Yugay, Y.; Avramenko, T.; Grigorchuk, V.; Gorpenchenko, T.; Grishchenko, O.; Bulgakov, V. CRISPR/Cas9-mediated knockout of HOS1 reveals its role in the regulation of secondary metabolism in Arabidopsis thaliana. Plants 2021, 10, 104. [Google Scholar] [CrossRef] [PubMed]
- Degtyarenko, A.I.; Gorpenchenko, T.; Grigorchuk, V.; Bulgakov, V.; Shkryl, Y. Optimization of the transient Agrobacterium-mediated transformation of Panax ginseng shoots and its use to change the profile of ginsenoside production. Plant Cell Tissue Organ Cult. 2021, 146, 615–625. [Google Scholar] [CrossRef]
- Shan, Q.; Wang, Y.; Li, J.; Zhang, Y.; Chen, K.; Liang, Z.; Zhang, K.; Liu, J.; Xi, J.; Qiu, J.; et al. Targeted genome modification of crop plants using a CRISPR-Cas system. Nat. Biotechnol. 2013, 31, 686–688. [Google Scholar] [CrossRef] [PubMed]
- Balabanova, L.A.; Shkryl, Y.N.; Slepchenko, L.V.; Yugay, Y.A.; Gorpenchenko, T.Y.; Kirichuk, N.N.; Khudyakova, Y.V.; Bakunina, I.Y.; Podvolotskaya, A.B.; Bulgakov, V.P.; et al. Development of host strains and vector system for an efficient genetic transformation of filamentous fungi. Plasmid 2019, 101, 1–9. [Google Scholar] [CrossRef] [PubMed]
- Xie, F.; Xiao, P.; Chen, D.; Xu, L.; Zhang, B. miRDeepFinder: A miRNA analysis tool for deep sequencing of plant small RNAs. Plant Mol. Biol. 2012, 80, 75–84. [Google Scholar] [CrossRef] [PubMed]





| Metabolites | Control | Ib-rolB/C Mutants | Ib-rolD-like Mutants | ||||
|---|---|---|---|---|---|---|---|
| BC1 | BC2 | BC3 | DL1 | DL2 | DL3 | ||
| CGA | 0.74 ± 0.05 A | 0.61 ± 0.05 B | 0.73 ± 0.07 A | 0.64 ± 0.05 B | 0.91 ± 0.12 B | 0.79 ± 0.010 A | 0.78 ± 0.09 A |
| 3,4-diCQA | 0.02 ± 0.01 B | 0.02 ± 0.01 B | 0.02 ± 0.01 B | 0.02 ± 0.01 B | 0.04 ± 0.01 A | 0.02 ± 0.01 B | 0.02 ± 0.01 B |
| 3,5-diCQA | 4.72 ± 0.29 A | 3.01 ± 0.20 B | 3.61 ± 0.25 B | 3.15 ± 0.18 B | 4.02 ± 0.50 A | 4.25 ± 0.49 A | 4.24 ± 0.38 A |
| 4,5-diCQA | 0.07 ± 0.01 A | 0.03 ± 0.02 B | 0.04 ± 0.02 B | 0.03 ± 0.02 B | 0.04 ± 0.01 B | 0.04 ± 0.01 B | 0.04 ± 0.01 B |
| 3C-5CoQA | 0.06 ± 0.01 A | 0.02 ± 0.02 B | 0.02 ± 0.02 B | 0.03 ± 0.02 B | 0.03 ± 0.01 B | 0.05 ± 0.01 A | 0.05 ± 0.01 A |
| 3F-5CQA | 0.24 ± 0.02 A | 0.20 ± 0.01 A | 0.11 ± 0.01 B | 0.10 ± 0.02 B | 0.26 ± 0.02 A | 0.22 ± 0.02 A | 0.22 ± 0.01 A |
| 3C-5FQA | 0.20 ± 0.02 A | 0.02 ± 0.01 B | 0.09 ± 0.01 B | 0.08 ± 0.01 B | 0.12 ± 0.02 B | 0.17 ± 0.02 A | 0.17 ± 0.02 A |
| Total CQAs | 6.06 ± 0.51 A | 3.91 ± 0.31 B | 4.62 ± 0.33 B | 4.04 ± 0.32 B | 5.43 ± 0.68 A | 5.53 ± 0.75 A | 5.52 ± 0.69 A |
Disclaimer/Publisher’s Note: The statements, opinions and data contained in all publications are solely those of the individual author(s) and contributor(s) and not of MDPI and/or the editor(s). MDPI and/or the editor(s) disclaim responsibility for any injury to people or property resulting from any ideas, methods, instructions or products referred to in the content. |
© 2025 by the authors. Licensee MDPI, Basel, Switzerland. This article is an open access article distributed under the terms and conditions of the Creative Commons Attribution (CC BY) license (https://creativecommons.org/licenses/by/4.0/).
Share and Cite
Shkryl, Y.; Yaroshenko, Y.; Grigorchuk, V.; Bulgakov, V.; Yugay, Y. Functional Analysis of Naturally Integrated Rol Genes in Sweet Potato via CRISPR/Cas9 Genome Editing. Plants 2025, 14, 3708. https://doi.org/10.3390/plants14243708
Shkryl Y, Yaroshenko Y, Grigorchuk V, Bulgakov V, Yugay Y. Functional Analysis of Naturally Integrated Rol Genes in Sweet Potato via CRISPR/Cas9 Genome Editing. Plants. 2025; 14(24):3708. https://doi.org/10.3390/plants14243708
Chicago/Turabian StyleShkryl, Yury, Yulia Yaroshenko, Valeria Grigorchuk, Victor Bulgakov, and Yulia Yugay. 2025. "Functional Analysis of Naturally Integrated Rol Genes in Sweet Potato via CRISPR/Cas9 Genome Editing" Plants 14, no. 24: 3708. https://doi.org/10.3390/plants14243708
APA StyleShkryl, Y., Yaroshenko, Y., Grigorchuk, V., Bulgakov, V., & Yugay, Y. (2025). Functional Analysis of Naturally Integrated Rol Genes in Sweet Potato via CRISPR/Cas9 Genome Editing. Plants, 14(24), 3708. https://doi.org/10.3390/plants14243708

