Phytochemical Profile, Toxicity Evaluation and Antinociceptive Effect of the n-Butanolic Fraction from the Leaves of Calotropis procera (Aiton) W.T Aiton (Apocynaceae)
Abstract
1. Introduction
2. Results
2.1. Phytochemical Characterization by HPLC-ESI-MS/MS
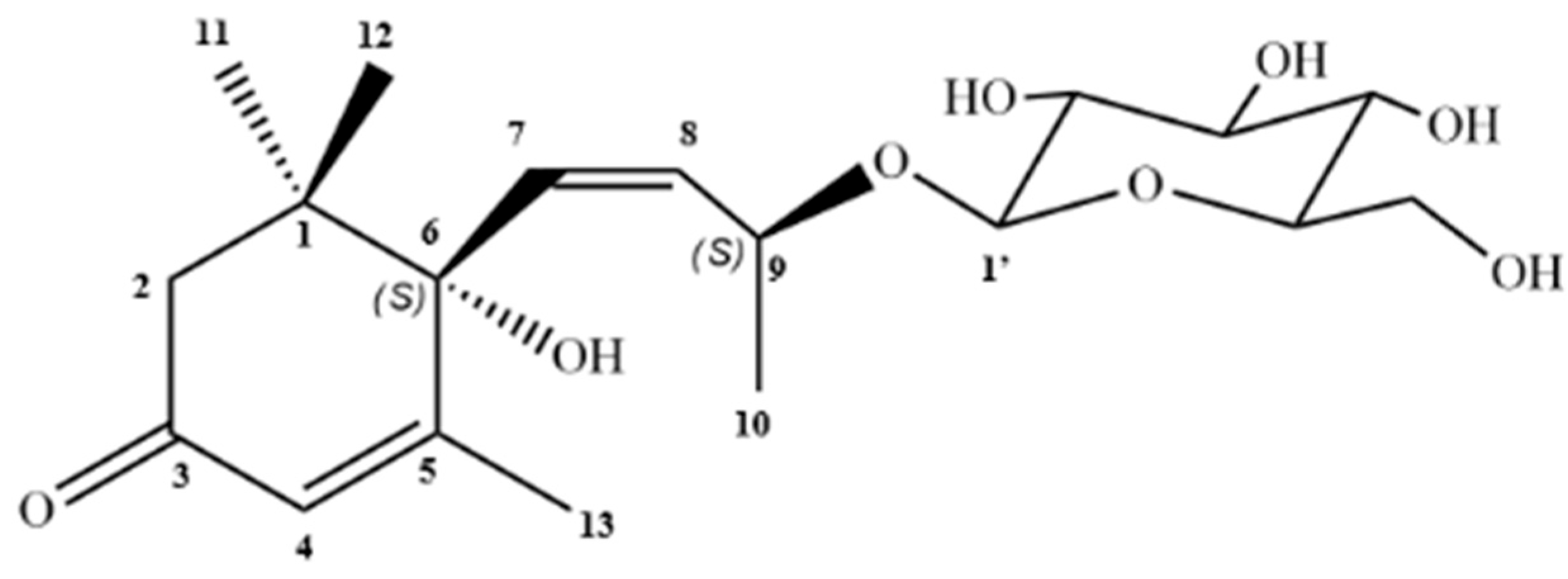
2.2. Isolation and Characterization of Compounds
2.3. Hemolytic Activity
2.4. Acute Oral Toxicity Test
2.5. Antinociceptive Evaluation
2.5.1. Acetic Acid Induced Writhing Test
2.5.2. Formalin Test
3. Discussion
4. Materials and Methods
4.1. Herbal Material
4.2. Obtaining the Crude Ethanolic Extract (CEE)
4.3. CEE Fractionation by Partitioning
4.4. Solid Phase Extraction (SPE)
4.5. Phytochemical Characterization by HPLC-ESI-MS/MS
4.6. Isolation and Characterization of Compounds
4.7. Preparing the Substances
4.8. Ethical Procedures and Vivarium Conditions
4.9. Hemolytic Activity Test
4.10. Acute Oral Toxicity Assay
4.10.1. Evaluation of Hematological Parameters
4.10.2. Evaluation of Biochemical Parameters
4.11. Assessment of Antinociceptive Activity
4.11.1. Acetic Acid Induced Writhing Test
4.11.2. Formalin Test
4.12. Data Analysis
5. Conclusions
Supplementary Materials
Author Contributions
Funding
Institutional Review Board Statement
Data Availability Statement
Acknowledgments
Conflicts of Interest
References
- Al-Rowaily, S.L.; Abd-ElGawad, A.M.; Assaeed, A.M.; Elgamal, A.M.; Gendy, A.E.-N.G.E.; Mohamed, T.A.; Dar, B.A.; Mohamed, T.K.; Elshamy, A.I. Essential Oil of Calotropis procera: Comparative Chemical Profiles, Antimicrobial Activity, and Allelopathic Potential on Weeds. Molecules 2020, 25, 5203. [Google Scholar] [CrossRef] [PubMed]
- Newman, D.J.; Cragg, G.M. Natural Products as Sources of New Drugs over the Nearly Four Decades from 01/1981 to 09/2019. J. Nat. Prod. 2020, 83, 770–803. [Google Scholar] [CrossRef]
- Farag, M.A.; Porzel, A.; Wessjohann, L.A. Comparative Metabolite Profiling and Fingerprinting of Medicinal Licorice Roots Using a Multiplex Approach of GC–MS, LC–MS and 1D NMR Techniques. Phytochemistry 2012, 76, 60–72. [Google Scholar] [CrossRef]
- de Souza, T.A.; Lins, F.S.V.; da Silva Lins, J.; Alves, A.F.; Cibulski, S.P.; Brito, T.d.A.M.; Abreu, L.S.; Scotti, L.; Scotti, M.T.; da Silva, M.S.; et al. Asclepiadoideae Subfamily (Apocynaceae): Ethnopharmacology, Biological Activities and Chemophenetics Based on Pregnane Glycosides. Phyto Rev. 2024, 23, 1027–1063. [Google Scholar] [CrossRef]
- Sudesh, G.B.G. Ethnopharmacological Potential of Calotropis procera: An Overview. Int. Res. J. Pharm. 2012, 3, 12–19. [Google Scholar]
- Mukhtar Dirir, A.; Jaleel Cheruth, A.; Saleh Ksiksi, T. Ethnomedicine, Phytochemistry and Pharmacology of Calotropis procera and Tribulus Terrestris. J. Nat. Remedies 2017, 17, 38–47. [Google Scholar] [CrossRef]
- Mali, R.P.; Rao, P.S.; Jadhav, R.S. A Review on Pharmacological Activities of Calotropis procera. J. Drug Deliv. Ther. 2019, 9, 947–951. [Google Scholar] [CrossRef]
- Obese, E.; Biney, R.P.; Henneh, I.T.; Anokwah, D.; Adakudugu, E.A.; Woode, E.; Ameyaw, E.O. Antinociceptive Effect of the Hydroethanolic Leaf Extract of Calotropis procera (Ait) R. Br. (Apocynaceae): Possible Involvement of Glutamatergic, Cytokines, Opioidergic and Adenosinergic Pathways. J. Ethnopharmacol. 2021, 278, 114261. [Google Scholar] [CrossRef] [PubMed]
- Wadhwani, B.D.; Mali, D.; Vyas, P.; Nair, R.; Khandelwal, P. A Review on Phytochemical Constituents and Pharmacological Potential of Calotropis procera. RSC Adv. 2021, 11, 35854–35878. [Google Scholar] [CrossRef] [PubMed]
- Al-Snafi, A.E. The Constituents and Pharmacological Properties of Calotropis procera-an Overview. Int. J. Pharm. Rev. Res. 2015, 3, 79–89. [Google Scholar]
- Rabelo, A.C.; Borghesi, J.; Carreira, A.C.O.; Hayashi, R.G.; Bessa, F.; Barreto, R.d.S.N.; da Costa, R.P.; Cantanhede Filho, A.J.; Carneiro, F.J.C.; Miglino, M.A. Calotropis procera (Aiton) Dryand (Apocynaceae) as an Anti-Cancer Agent against Canine Mammary Tumor and Osteosarcoma Cells. Res. Vet. Sci. 2021, 138, 79–89. [Google Scholar] [CrossRef]
- Kumar, V.L.; Pandey, A.; Verma, S.; Das, P. Protection Afforded by Methanol Extract of Calotropis procera Latex in Experimental Model of Colitis Is Mediated through Inhibition of Oxidative Stress and pro-Inflammatory Signaling. Biomed. Pharmacother. 2019, 109, 1602–1609. [Google Scholar] [CrossRef]
- Franzotti, E.M.; Santos, C.V.F.; Rodrigues, H.M.S.L.; Mourão, R.H.V.; Andrade, M.R.; Antoniolli, A.R. Anti-Inflammatory, Analgesic Activity and Acute Toxicity of Sida Cordifolia L. (Malva-Branca). J. Ethnopharmacol. 2000, 72, 273–277. [Google Scholar] [CrossRef]
- Pinheiro, B.G.; Silva, A.S.B.; Souza, G.E.P.; Figueiredo, J.G.; Cunha, F.Q.; Lahlou, S.; da Silva, J.K.R.; Maia, J.G.S.; Sousa, P.J.C. Chemical Composition, Antinociceptive and Anti-Inflammatory Effects in Rodents of the Essential Oil of Peperomia serpens (Sw.) Loud. J. Ethnopharmacol. 2011, 138, 479–486. [Google Scholar] [CrossRef]
- Xiao, X.; Wang, X.; Gui, X.; Chen, L.; Huang, B. Natural Flavonoids as Promising Analgesic Candidates: A Systematic Review. Chem. Biodivers. 2016, 13, 1427–1440. [Google Scholar] [CrossRef] [PubMed]
- Vella-Brincat, J.; Macleod, A.D. (Sandy) Haloperidol in Palliative Care. Palliat. Med. 2004, 18, 195–201. [Google Scholar] [CrossRef]
- Andrade, M.L.d.O.; Marinho, P.A.F.; Oliveira, A.M.d.; Souza, T.A.d.; Cibulski, S.P.; Alves, H.d.S. Apodanthera Glaziovii (Cucurbitaceae) Shows Strong Anti-Inflammatory Activity in Murine Models of Acute Inflammation. Pharmaceutics 2024, 16, 1298. [Google Scholar] [CrossRef] [PubMed]
- Wolfe, M.M.; Lichtenstein, D.R.; Singh, G. Gastrointestinal Toxicity of Nonsteroidal Antiinflammatory Drugs. N. Engl. J. Med. 1999, 340, 1888–1899. [Google Scholar] [CrossRef] [PubMed]
- Mishra, B.B.; Tiwari, V.K. Natural Products: An Evolving Role in Future Drug Discovery. Eur. J. Med. Chem. 2011, 46, 4769–4807. [Google Scholar] [CrossRef]
- Li, X.-N.; Sun, J.; Shi, H.; Yu, L.; Ridge, C.D.; Mazzola, E.P.; Okunji, C.; Iwu, M.M.; Michel, T.K.; Chen, P. Profiling Hydroxycinnamic Acid Glycosides, Iridoid Glycosides, and Phenylethanoid Glycosides in Baobab Fruit Pulp (Adansonia Digitata). Food Res. Inte 2017, 99, 755–761. [Google Scholar] [CrossRef]
- Ye, M.; Yang, W.-Z.; Liu, K.-D.; Qiao, X.; Li, B.-J.; Cheng, J.; Feng, J.; Guo, D.-A.; Zhao, Y.-Y. Characterization of Flavonoids in Millettia Nitida Var. Hirsutissima by HPLC/DAD/ESI-MS n. J. Pharm. Anal. 2012, 2, 35–42. [Google Scholar] [CrossRef]
- Panighel, G.; Ferrarese, I.; Lupo, M.G.; Sut, S.; Dall’Acqua, S.; Ferri, N. Investigating the in Vitro Mode of Action of Okra (Abelmoschus esculentus) as Hypocholesterolemic, Anti-Inflammatory, and Antioxidant Food. Food Chem. Mol. Sci. 2022, 5, 100126. [Google Scholar] [CrossRef]
- Liu, T.; Lin, S. Comprehensive Characterization of the Chemical Constituents of Lianhua Qingwen Capsule by Ultra High Performance Liquid Chromatography Coupled with Fourier Transform Ion Cyclotron Resonance Mass Spectrometry. Heliyon 2024, 10, e27352. [Google Scholar] [CrossRef] [PubMed]
- Jiménez-López, J.; Ruiz-Medina, A.; Ortega-Barrales, P.; Llorent-Martínez, E.J. Rosa Rubiginosa and Fraxinus Oxycarpa Herbal Teas: Characterization of Phytochemical Profiles by Liquid Chromatography-Mass Spectrometry, and Evaluation of the Antioxidant Activity. New J. Chem. 2017, 41, 7681–7688. [Google Scholar] [CrossRef]
- Li, Z.-H.; Guo, H.; Xu, W.-B.; Ge, J.; Li, X.; Alimu, M.; He, D.-J. Rapid Identification of Flavonoid Constituents Directly from PTP1B Inhibitive Extract of Raspberry (Rubus idaeus L.) Leaves by HPLC–ESI–QTOF–MS-MS. J. Chromatogr. Sci. 2016, 54, 805–810. [Google Scholar] [CrossRef]
- Kang, J.; Price, W.E.; Ashton, J.; Tapsell, L.C.; Johnson, S. Identification and Characterization of Phenolic Compounds in Hydromethanolic Extracts of Sorghum Wholegrains by LC-ESI-MSn. Food Chem. 2016, 211, 215–226. [Google Scholar] [CrossRef] [PubMed]
- Llorent-Martínez, E.J.; Spínola, V.; Gouveia, S.; Castilho, P.C. HPLC-ESI-MSn Characterization of Phenolic Compounds, Terpenoid Saponins, and Other Minor Compounds in Bituminaria bituminosa. Ind. Crops Prod. 2015, 69, 80–90. [Google Scholar] [CrossRef]
- Spínola, V.; Pinto, J.; Castilho, P.C. Identification and Quantification of Phenolic Compounds of Selected Fruits from Madeira Island by HPLC-DAD–ESI-MSn and Screening for Their Antioxidant Activity. Food Chem. 2015, 173, 14–30. [Google Scholar] [CrossRef]
- Agossou Yao, D.A.R.; Sprycha, Y.; Porembski, S.; Horn, R. AFLP Assessment of the Genetic Diversity of Calotropis procera (Apocynaceae) in the West Africa Region (Benin). Genet. Resour. Crop Evol. 2015, 62, 863–878. [Google Scholar] [CrossRef]
- Mahmoud, A.H.; El-Bery, H.M.; Ali, M.M.; Aldaby, E.S.; Mawad, A.M.M.; Shoreit, A.A. Latex-Bearing Plant (Calotropis procera) as a Biorefinery for Bioethanol Production. Biomass Convers. Biorefin 2023, 13, 4785–4795. [Google Scholar] [CrossRef]
- Pavlíková, N. Caffeic Acid and Diseases—Mechanisms of Action. Int. J. Mol. Sci. 2022, 24, 588. [Google Scholar] [CrossRef]
- Gong, G.; Guan, Y.-Y.; Zhang, Z.-L.; Rahman, K.; Wang, S.-J.; Zhou, S.; Luan, X.; Zhang, H. Isorhamnetin: A Review of Pharmacological Effects. Biomed. Pharmacother. 2020, 128, 110301. [Google Scholar] [CrossRef]
- Tang, S.-M.; Deng, X.-T.; Zhou, J.; Li, Q.-P.; Ge, X.-X.; Miao, L. Pharmacological Basis and New Insights of Quercetin Action in Respect to Its Anti-Cancer Effects. Biomed. Pharmacother. 2020, 121, 109604. [Google Scholar] [CrossRef]
- Yajima, A.; Oono, Y.; Nakagawa, R.; Nukada, T.; Yabuta, G. A Simple Synthesis of Four Stereoisomers of Roseoside and Their Inhibitory Activity on Leukotriene Release from Mice Bone Marrow-Derived Cultured Mast Cells. Bioorg Med. Chem. 2009, 17, 189–194. [Google Scholar] [CrossRef]
- Ahmad Nejhad, A.; Alizadeh Behbahani, B.; Hojjati, M.; Vasiee, A.; Mehrnia, M.A. Identification of Phytochemical, Antioxidant, Anticancer and Antimicrobial Potential of Calotropis procera Leaf Aqueous Extract. Sci. Rep. 2023, 13, 14716. [Google Scholar] [CrossRef] [PubMed]
- Gindri, A.L. Phytochemical Analysis of the Roots and Leaves, and Morpho-Anatomical Analysis of the Stems and Leaves of Urera Baccifera Gaudich. Ph.D. Thesis, Federal University of Santa Maria, Santa Maria, Brazil, 2012. [Google Scholar]
- Kalegari, M. Phytochemical Approach, Pharmacological, Antimicrobial and Toxicological Evaluation of Rourea Induta Planch. (Connaraceae). Ph.D. Thesis, Federal University of Paraná, Curitiba, Brazil, 2014. [Google Scholar]
- Nascimento, Y.M. Do Zornia Brasiliensis: Study of Dereplication, Isolation and Biological Activity of Chemical Constituents. Ph.D. Thesis, Federal University of Paraíba, João Pessoa, Brazil, 2019. [Google Scholar]
- Wang, Y.-F.; He, R.-J.; Li, D.-P.; Huang, Y.-L. Three New Compounds from the Leaves of Castanopsis Tibetana Hance. Nat. Prod. Res. 2022, 36, 4906–4910. [Google Scholar] [CrossRef] [PubMed]
- Silva, A.S.G. Evaluation of Volatile and Phenolic Compounds Throughout Winemaking. Master’s Thesis, University of Aveiro, Aveiro, Portugal, 2012. [Google Scholar]
- Tsopmo, A.; Muir, A.D. Chemical Profiling of Lentil (Lens culinaris Medik.) Cultivars and Isolation of Compounds. J. Agric. Food Chem. 2010, 58, 8715–8721. [Google Scholar] [CrossRef] [PubMed]
- Samra, R.M.; Othman, A.; Elsbaey, M.; Amen, Y.; Shimizu, K. Comprehensive Review on Megastigmane Glycosides: Sources, Bioactivities, and 13C NMR Spectroscopic Data. Phytochem Lett 2024, 60, 19–89. [Google Scholar] [CrossRef]
- Ugbogu, E.A.; Okoro, H.; Emmanuel, O.; Ugbogu, O.C.; Ekweogu, C.N.; Uche, M.; Dike, E.D.; Ijioma, S.N. Phytochemical Characterization, Anti-Diarrhoeal, Analgesic, Anti-Inflammatory Activities and Toxicity Profile of Ananas comosus (L.) Merr (Pineapple) Leaf in Albino Rats. J. Ethnopharmacol. 2024, 319, 117224. [Google Scholar] [CrossRef]
- Greco, I.; Molchanova, N.; Holmedal, E.; Jenssen, H.; Hummel, B.D.; Watts, J.L.; Håkansson, J.; Hansen, P.R.; Svenson, J. Correlation between Hemolytic Activity, Cytotoxicity and Systemic in Vivo Toxicity of Synthetic Antimicrobial Peptides. Sci. Rep. 2020, 10, 13206. [Google Scholar] [CrossRef]
- Danielle, S.P.; Francisco, M.D.; Jacqueline, I.V.C.; Geraldo, G.d.A.F.; Harley, S.A.; Maria, C.d.O.C.; Hilzeth, d.L.F.P. Antibacterial and Hemolytic Activities from Piper Montealegreanum Yuncker (Piperaceae). Antiinfect. Ag. 2012, 10, 1–5. [Google Scholar] [CrossRef]
- Elizondo-Luevano, J.H.; Quintanilla-Licea, R.; Castillo-Hernández, S.L.; Sánchez-García, E.; Bautista-Villarreal, M.; González-Meza, G.M.; Gloria-Garza, M.A.; Rodríguez-Luis, O.E.; Kluz, M.I.; Kačániová, M. In Vitro Evaluation of Anti-Hemolytic and Cytotoxic Effects of Traditional Mexican Medicinal Plant Extracts on Human Erythrocytes and Cell Cultures. Life 2024, 14, 1176. [Google Scholar] [CrossRef]
- Sharma, K.; Kaur, R.; Kumar, S.; Saini, R.K.; Sharma, S.; Pawde, S.V.; Kumar, V. Saponins: A Concise Review on Food Related Aspects, Applications and Health Implications. Food Chem. Adv. 2023, 2, 100191. [Google Scholar] [CrossRef]
- Mukinda, J.T.; Eagles, P.F.K. Acute and Sub-Chronic Oral Toxicity Profiles of the Aqueous Extract of Polygala Fruticosa in Female Mice and Rats. J. Ethnopharmacol. 2010, 128, 236–240. [Google Scholar] [CrossRef] [PubMed]
- Tourabi, M.; EL Ghouizi, A.; Nouioura, G.; Faiz, K.; Elfatemi, H.; El-yagoubi, K.; Lyoussi, B.; Derwich, E. Phenolic Profile, Acute and Subacute Oral Toxicity of the Aqueous Extract from Moroccan Mentha Longifolia L. Aerial Part in Swiss Albino Mice Model. J. Ethnopharmacol. 2024, 319, 117293. [Google Scholar] [CrossRef] [PubMed]
- Kumar, A.; Kumar, B.; Kumar, R.; Kumar, A.; Singh, M.; Tiwari, V.; Trigunayat, A.; Paul, P.; Singh, P. Acute and Subacute Toxicity Study of Ethanolic Extract of Calotropis procera (Aiton) Dryand Flower in Swiss Albino Mice. Phytomed. Plus. 2022, 2, 100224. [Google Scholar] [CrossRef]
- Jabbari, S.; Zakaria, Z.A.; Mohammadi, S. Antinociceptive and Antineuropathic Effects of Trifolium Resupinatum L. on Formalin-Induced Nociception and Cervical Spinal Cord Hemi-Contusion: Underlying Mechanisms. J. Ethnopharmacol. 2025, 337, 118913. [Google Scholar] [CrossRef]
- Dzoyem, J.P.; McGaw, L.J.; Kuete, V.; Bakowsky, U. Anti-Inflammatory and Anti-Nociceptive Activities of African Medicinal Spices and Vegetables. In Medicinal Spices and Vegetables from Africa; Elsevier: Amsterdam, The Netherlands, 2017; Volume 3, pp. 239–270. [Google Scholar]
- Gawade, S. Acetic Acid Induced Painful Endogenous Infliction in Writhing Test on Mice. J. Pharmacol. Pharmacother. 2012, 3, 348. [Google Scholar] [CrossRef]
- Martins, A.; Correia de Oliveira, M.R.; Alcântara, I.S.; Rodrigues, L.B.; Cesário, F.R.A.S.; da Silva, M.S.A.; Castro, F.F.e.; Nascimento, E.P.d.; Albuquerque, T.R.d.; Quintans Júnior, L.J.; et al. Effect of the Croton Rhamnifolioides Essential Oil and the Inclusion Complex (OEFC/β-CD) in Antinociceptive Animal Models. Macromol 2021, 1, 94–111. [Google Scholar] [CrossRef]
- Yam, M.F.; Loh, Y.C.; Oo, C.W.; Basir, R. Overview of Neurological Mechanism of Pain Profile Used for Animal “Pain-Like” Behavioral Study with Proposed Analgesic Pathways. Int. J. Mol. Sci. 2020, 21, 4355. [Google Scholar] [CrossRef]
- Soares, P.M.; Lima, S.R.; Matos, S.G.; Andrade, M.M.; Patrocínio, M.C.A.; de Freitas, C.D.T.; Ramos, M.V.; Criddle, D.N.; Cardi, B.A.; Carvalho, K.M.; et al. Antinociceptive Activity of Calotropis procera Latex in Mice. J. Ethnopharmacol. 2005, 99, 125–129. [Google Scholar] [CrossRef]
- Maulani, C.; Ramadhan, F.; Suhaeri, S.; Suherlan, E.; Utami, S.P. Pembuatan Dan Pengujian Sistem Aplikasi Pakar Menggunakan Diagnosis Penyakit Periodontal Klasifikasi Tahun 2017 Berbasis Android: Studi Pre-Eksperimental. J. Kedokt. Gihi Univ. Padjadjaran 2023, 35, 119. [Google Scholar] [CrossRef]
- Saba, A.B.; Oguntoke, P.C.; Oridupa, O.A. Anti-Inflammatory and Analgesic Activities of Ethanolic Leaf Extract of Calotropis procera. Afr. J. Biomed. Res. 2011, 14, 3, 203–208. [Google Scholar]
- Karale, P.; Dhawale, S.; Karale, M.; Kadam, T. Effect of Calotropis procera Leaf Extracts and Partitioned Fractions on Anti-Inflammatory and Analgesic Activity. Int. J. Bot. Stud. 2021, 6, 862–867. [Google Scholar]
- Maiti, P.P.; Ghosh, N.; Kundu, A.; Panda, S.; Mandal, S. Evaluation of Anti-Inflammatory and Antinociceptive Activity of Methanol Extract of Calotropis Gigantea Root. Int. J. Green Pharm. 2017, 11, 03. [Google Scholar]
- Vyas, A.; Gupta, R.; Jatav, R. In-Vitro Antioxidant, and In-Vivo Analgesics and Anti-Inflammatory Activity of Allamanda Blanchetii Leaf Extract in Rats. Anti-Inflamm. Anti-Allergy Agents Med. Chem. 2024, 24, 2, 114–126. [Google Scholar] [CrossRef]
- Itou, H.; Toyota, R.; Takeda, M. Phytochemical Quercetin Alleviates Hyperexcitability of Trigeminal Nociceptive Neurons Associated with Inflammatory Hyperalgesia Comparable to NSAIDs. Mol. Pain. 2022, 18, 174. [Google Scholar] [CrossRef] [PubMed]
- Coutinho, M.A.S.; Muzitano, M.F.; Costa, S.S. Flavonoides: Potenciais agentes Terapêuticos para o Processo Inflamatório. Virtual Quim. Rev. Virtual Quim. 2009, 1, 241–256. [Google Scholar]
- Boesch-Saadatmandi, C.; Loboda, A.; Wagner, A.E.; Stachurska, A.; Jozkowicz, A.; Dulak, J.; Döring, F.; Wolffram, S.; Rimbach, G. Effect of Quercetin and Its Metabolites Isorhamnetin and Quercetin-3-Glucuronide on Inflammatory Gene Expression: Role of MiR-155. J. Nutr. Biochem. 2011, 22, 293–299. [Google Scholar] [CrossRef]
- Pessoa, R.T.; Santos da Silva, L.Y.; Alcântara, I.S.; Silva, T.M.; Silva, E.d.S.; da Costa, R.H.S.; da Silva, A.B.; Ribeiro-Filho, J.; Pereira Bezerra Martins, A.O.B.; Coutinho, H.D.M.; et al. Antinociceptive Potential of Ximenia Americana L. Bark Extract and Caffeic Acid: Insights into Pain Modulation Pathways. Pharmaceuticals 2024, 17, 1671. [Google Scholar] [CrossRef]
- Zarei, M.M.; Abdolmaleki, Z.; Shahidi, S. Bioflavonoid Exerts Analgesic and Anti-Inflammatory Effects via Transient Receptor Potential 1 Channel in a Rat Model. Arq. Neuropsiquiatr. 2022, 80, 900–907. [Google Scholar] [CrossRef]
- Shaheen, N.; Azam, A.; Ganguly, A.; Anwar, S.; Parvez, M.d.S.A.; Punyamurtula, U.; Hasan, M.d.K. Anti-Inflammatory and Analgesic Activities of Black Cumin (BC, Nigella Sativa L.) Extracts in in Vivo Model Systems. Bull. Natl. Res. Cent. 2022, 46, 26. [Google Scholar] [CrossRef]
- Chen, S.; Wang, X.; Cheng, Y.; Gao, H.; Chen, X. A Review of Classification, Biosynthesis, Biological Activities and Potential Applications of Flavonoids. Molecules 2023, 28, 4982. [Google Scholar] [CrossRef] [PubMed]
- Qiu, L.; Zhao, F.; Liu, H.; Chen, L.; Jiang, Z.; Liu, H.; Wang, N.; Yao, X.; Qiu, F. Two New Megastigmane Glycosides, Physanosides A and B, from Physalis Alkekengi L. Var. Franchetii, and Their Effect on NO Release in Macrophages. Chem. Biodivers. 2008, 5, 758–763. [Google Scholar] [CrossRef]
- Fechine, I.M.; Alves, K.d.S.B.; Muniz, R.F.d.S.; Soares, C.L.R.; Alves, H.d.S.; Silva, T.G.d.; Veloso, C.A.G.; Lima, M.d.A.; Souza, E.M.L. de Evaluation of the Cytotoxicity of Products Obtained from Calotropis procera (Apocynaceae). Res. Soc. Dev. 2020, 9, e4391210723. [Google Scholar] [CrossRef]
- de Oliveira, A.M.; de Luna Freire, M.O.; da Silva, W.A.V.; Ferreira, M.R.A.; Paiva, P.M.G.; Soares, L.A.L.; de Medeiros, P.L.; de Melo Carvalho, B.; Napoleão, T.H. Saline Extract of Pilosocereus Gounellei Stem Has Antinociceptive Effect in Mice without Showing Acute Toxicity and Altering Motor Coordination. Regul. Toxicol. Pharmacol. 2018, 95, 289–297. [Google Scholar] [CrossRef]
- de Oliveira, A.M.; da Silva, W.A.V.; Ferreira, M.R.A.; Paiva, P.M.G.; de Medeiros, P.L.; Soares, L.A.L.; Carvalho, B.M.; Napoleão, T.H. Assessment of 28-Day Oral Toxicity and Antipyretic Activity of the Saline Extract from Pilosocereus Gounellei (Cactaceae) Stem in Mice. J. Ethnopharmacol. 2019, 234, 96–105. [Google Scholar] [CrossRef]
- Hunskaar, S.; Hole, K. The Formalin Test in Mice: Dissociation between Inflammatory and Non-Inflammatory Pain. Pain 1987, 30, 103–114. [Google Scholar] [CrossRef] [PubMed]





| Peak | R. T. (min) | UV λmax (nm) | Molecular Weight | [M–H]− m/z | MS2/MS3 | Annotation | Ref. |
|---|---|---|---|---|---|---|---|
| 1 | 4.9 | 258 | 378 | 377 (341-H+Cl) | MS2 [377]: 341 (100)/MS3 [377 → 341]: 281 (11.35); 251 (16.78); 179 (100); 161 (25.79) | Caffeic acid-O-hexoside (Chlorine Adduct) | [20] |
| 2 | 7.8 | - | 268 | 267 | MS2 [267]: 223 (100); 211 (94.92)/MS3 [267 → 223]: 281 (11.35); 251 (16.78); 179 (100); 161 (25.79) | Methyldaidzein | [21] |
| 3 | 8.2 | 237.324 | 432 | 431 (385-H+Formate) | MS2 [431]: 385 (100)/MS3 [431 → 385]: 223 (96.48); 205 (100); 179 (7.08); 153 (73.71) | Roseoside (Formate Adduct) | [22,23,24] |
| 4 | 12.8 | 256.350 | 610 | 609 | MS2 [609]: 343 (8.64); 301 (100); 271 (11.12); 255 (6.81)/MS3 [609 → 301]: 271 (100); 255 (59.75); 243 (10.72); 179 (91.80); 151 (71.09) | Quercetin-O-rutinoside | [25] |
| 5 | 13.0 | - | 180 | 179 | MS2 [179]: 135 (100)/MS3 [179 → 135]: 91 (100) | Caffeic acid | [26] |
| 6 | 14.7 | 255.353 | 594 | 593 | MS2 [593]: 327 (5.23); 285 (100); 257 (6.03); 255 (5.59)/MS3 [593 → 285]: 267 (68.95); 257 (100); 255 (34.03); 241 (34.11); 229 (43.36); 213 (34.12); 197 (29.46); 163 (19.16); 151 (5.33) | Kaempferol-O-rutinoside | [27] |
| 7 | 15.0 | 254.355 | 624 | 623 | MS2 [623]: 315 (100); 300 (40.18); 271 (21.70); 255 (12.45); 243 (3.32)/MS3 [623 → 315]: 301 (20.58); 299 (100); 287 (5.74); 272 (13.35); 255 (5.60) | Isorhamnetin-O-rutinoside | [28] |
| Parameters | Treatment | |
|---|---|---|
| Control | FB (300 mg·kg−1) | |
| Food consumed (g) | 14.93 ± 0.77 | 17.43 ± 0.56 |
| Water consumed (mL) | 24.00 ± 1.00 | 26.57 ± 1.07 |
| Mean weight (g) | 27.98 ± 0.37 | 30.50 ± 0.27 |
| Parameters | Treatment | |
|---|---|---|
| Control | FB (300 mg·kg−1) | |
| RBC | 5.78 ± 0.36 | 5.95 ± 0.48 |
| HCT | 34.19 ± 3.66 | 35.28 ± 3.29 |
| HBG | 13.97 ± 0.42 | 13.67 ± 0.68 |
| MCV | 42.15 ± 4.11 | 45.07 ± 3.73 |
| MCH | 15.03 ± 0.72 | 15.21 ± 0.84 |
| MCHC | 34.16 ± 3.85 | 32.16 ± 3.24 |
| WBC | 7.55 ± 0.92 | 7.15 ± 0.66 |
| SEG | 60.09 ± 5.75 | 57.17 ± 5.54 |
| LIN | 37.10 ± 3.02 | 39.84 ± 3.24 |
| MON | 2.19 ± 0.24 | 2.21 ± 0.26 |
| BASO | 0.16 ± 0.04 | 0.19 ± 0.04 |
| EOS | 0.54 ± 0.07 | 0.59 ± 0.04 |
| Parameters | Treatment | |
|---|---|---|
| Control | FB (300 mg·kg−1) | |
| ALB | 3.09 ± 0.41 | 3.70 ± 0.37 |
| ALP | 67.01 ± 5,55 | 70.24 ± 6.11 |
| AST | 74.05 ± 6.13 | 70.21 ± 7.08 |
| ALT | 44.87 ± 4.01 | 47.05 ± 4.32 |
| BIL | 0.62 ± 0.09 | 0.66 ± 0.05 |
| GGT | 19.04 ± 1.22 | 21.83 ± 1.87 |
| PT | 7.32 ± 0.73 | 6.91 ± 0.84 |
| UR | 35.64 ± 2.14 | 33.77 ± 2.43 |
| CRE | 0.93 ± 0.11 | 0.88 ± 0.14 |
Disclaimer/Publisher’s Note: The statements, opinions and data contained in all publications are solely those of the individual author(s) and contributor(s) and not of MDPI and/or the editor(s). MDPI and/or the editor(s) disclaim responsibility for any injury to people or property resulting from any ideas, methods, instructions or products referred to in the content. |
© 2025 by the authors. Licensee MDPI, Basel, Switzerland. This article is an open access article distributed under the terms and conditions of the Creative Commons Attribution (CC BY) license (https://creativecommons.org/licenses/by/4.0/).
Share and Cite
Araújo, K.L.; Lima, N.T.R.d.; Marinho, P.A.F.; Guedes, D.R.d.S.; Silva, M.S.d.; Nascimento, Y.M.d.; Tavares, J.F.; Barbosa Filho, J.M.; Souza, C.M.P.d.; Santos, V.L.d.; et al. Phytochemical Profile, Toxicity Evaluation and Antinociceptive Effect of the n-Butanolic Fraction from the Leaves of Calotropis procera (Aiton) W.T Aiton (Apocynaceae). Plants 2025, 14, 3622. https://doi.org/10.3390/plants14233622
Araújo KL, Lima NTRd, Marinho PAF, Guedes DRdS, Silva MSd, Nascimento YMd, Tavares JF, Barbosa Filho JM, Souza CMPd, Santos VLd, et al. Phytochemical Profile, Toxicity Evaluation and Antinociceptive Effect of the n-Butanolic Fraction from the Leaves of Calotropis procera (Aiton) W.T Aiton (Apocynaceae). Plants. 2025; 14(23):3622. https://doi.org/10.3390/plants14233622
Chicago/Turabian StyleAraújo, Kailane Lourenço, Natanael Teles Ramos de Lima, Pedro Artur Ferreira Marinho, Dara Rayanne da Silva Guedes, Marcelo Sobral da Silva, Yuri Mangueira do Nascimento, Josean Fechine Tavares, José Maria Barbosa Filho, Cinthya Maria Pereira de Souza, Vanda Lúcia dos Santos, and et al. 2025. "Phytochemical Profile, Toxicity Evaluation and Antinociceptive Effect of the n-Butanolic Fraction from the Leaves of Calotropis procera (Aiton) W.T Aiton (Apocynaceae)" Plants 14, no. 23: 3622. https://doi.org/10.3390/plants14233622
APA StyleAraújo, K. L., Lima, N. T. R. d., Marinho, P. A. F., Guedes, D. R. d. S., Silva, M. S. d., Nascimento, Y. M. d., Tavares, J. F., Barbosa Filho, J. M., Souza, C. M. P. d., Santos, V. L. d., Alves, H. d. S., Fechine, I. M., & Oliveira, A. M. d. (2025). Phytochemical Profile, Toxicity Evaluation and Antinociceptive Effect of the n-Butanolic Fraction from the Leaves of Calotropis procera (Aiton) W.T Aiton (Apocynaceae). Plants, 14(23), 3622. https://doi.org/10.3390/plants14233622

