Melatonin Improves Drought Stress Tolerance by Remodeling Lipid Metabolism in Setaria italica L.
Abstract
1. Introduction
2. Results
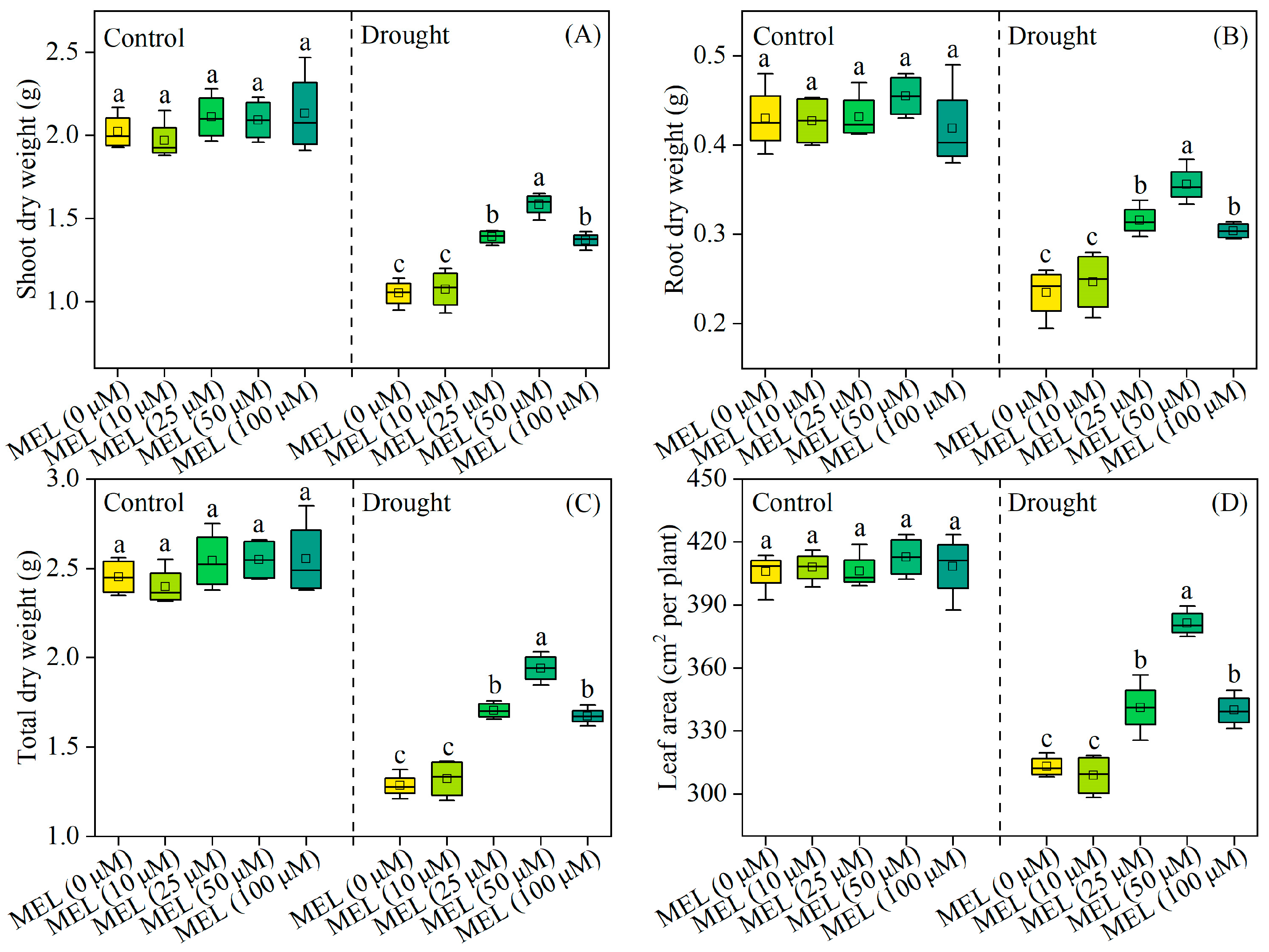
2.1. Melatonin Promoted Plant Growth Under Drought Stress
2.2. Effects of Drought and Melatonin Treatment on Endogenous Melatonin Contents
2.3. Melatonin Alleviated the Inhibition of Photosynthesis in Drought-Stressed Foxtail Millet Seedlings
2.4. Melatonin Alleviated Oxidative Stress in Drought-Stressed Foxtail Millet Seedlings
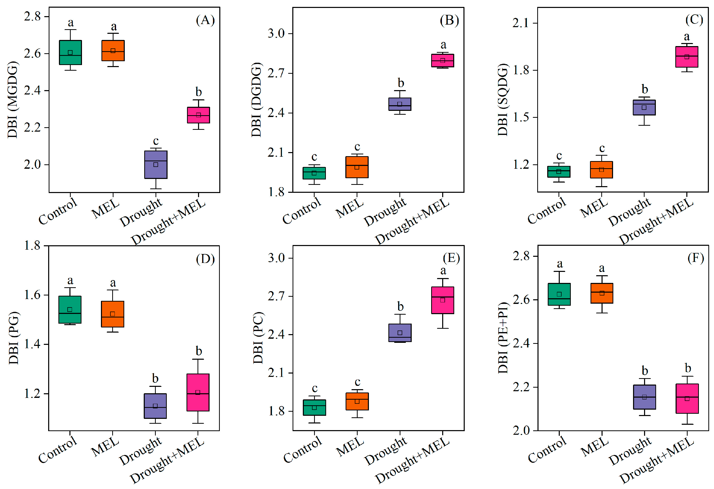
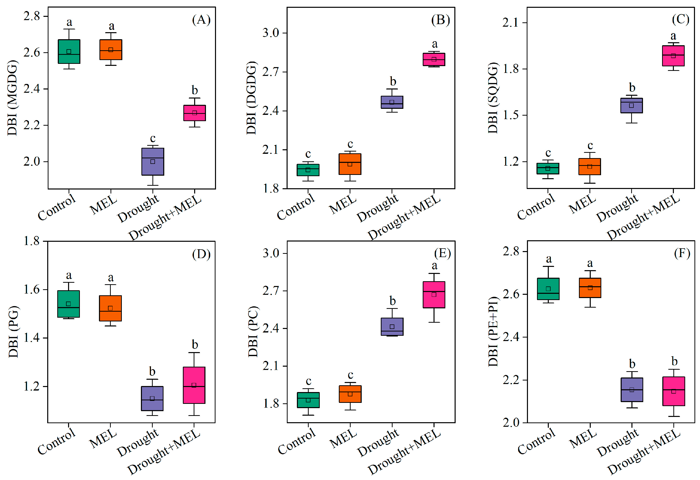
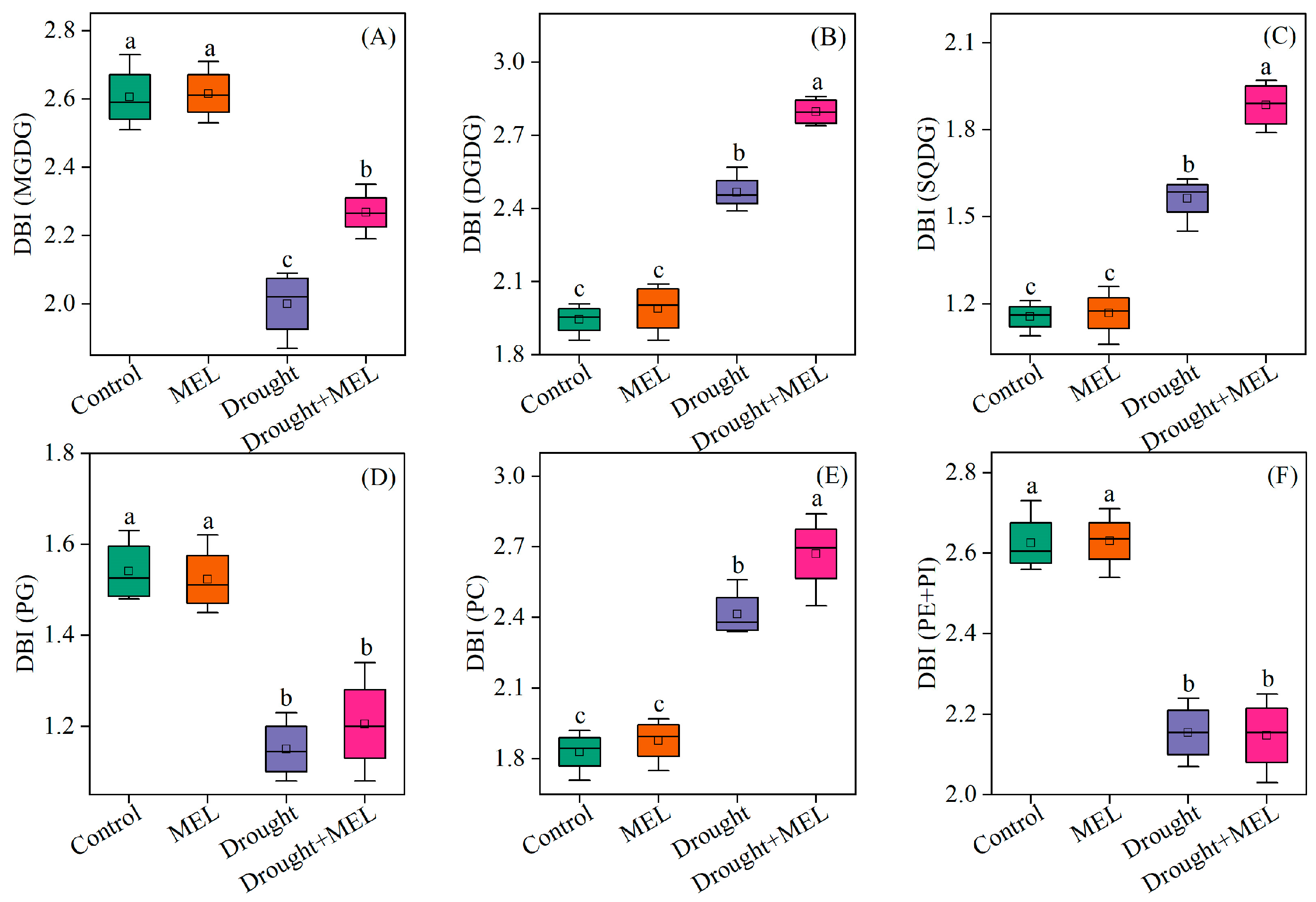
2.5. Melatonin Induces Changes in Lipid and Fatty Acid Compositions in Foxtail Millet Seedlings Under Drought Stress
2.6. Differentially Expressed Genes Associated with Lipid Metabolism Under Drought Stress
3. Discussion
4. Materials and Methods
4.1. Plant Growth Conditions and Drought Treatments
4.2. Measurement of Dry Weight and Leaf Area
4.3. Determination of Endogenous Melatonin Content
4.4. Determination of Chlorophyll Content, Gas Exchange Parameters, and Chlorophyll Fluorescence Parameters
4.5. ROS and Oxidative Damage Assays
4.6. Determination of Lipid and Fatty Acid Contents
4.7. RNA Extraction and qRT-PCR
4.8. Statistical Analysis
5. Conclusions
Author Contributions
Funding
Data Availability Statement
Conflicts of Interest
Abbreviations
| MGDG | Monogalactosyldiacylglycerol |
| DGDG | Digalactosyldiacylglycerol |
| SQDG | Sulfoquinovosyldiacylglycerol |
| PG | Phosphatidylglycerol |
| PC | Phosphatidylcholine |
| PE | phosphatidylethanolamine |
| PI | Phosphatidylinositol |
| O2−· | Superoxide anion |
| H2O2 | Hydrogen peroxide |
| MDA | Malondialdehyde |
| EL | Electrolyte leakage rate |
| ROS | Reactive Oxygen Species |
References
- Zahedi, S.M.; Karimi, M.; Venditti, A. Plants adapted to arid areas: Specialized metabolites. Nat. Prod. Res. 2021, 35, 3314–3331. [Google Scholar] [CrossRef]
- Heinemann, B.; Hildebrandt, T.M. The role of amino acid metabolism in signaling and metabolic adaptation to stress-induced energy deficiency in plants. J. Exp. Bot. 2021, 72, 4634–4645. [Google Scholar] [CrossRef]
- Salvi, P.; Manna, M.; Kaur, H.; Thakur, T.; Gandass, N.; Bhatt, D.; Muthamilarasan, M. Phytohormone signaling and crosstalk in regulating drought stress response in plants. Plant Cell Rep. 2021, 40, 1305–1329. [Google Scholar] [CrossRef]
- Arnao, M.B.; Hernández–Ruiz, J. Melatonin: A new plant hormone and/or a plant master regulator? Trends Plant Sci. 2019, 24, 38–48. [Google Scholar] [CrossRef] [PubMed]
- Antoniou, C.; Chatzimichail, G.; Xenofontos, R.; Pavlou, J.J.; Panagiotou, E.; Christou, A.; Fotopoulos, V. Melatonin systemically ameliorates drought stress-induced damage in Medicago sativa plants by modulating nitro–oxidative homeostasis and proline metabolism. J. Pineal Res. 2017, 62, e12401. [Google Scholar] [CrossRef]
- Menhas, S.; Lin, D.; Zhu, S.; Hayat, S.; Aftab, T.; Liu, W.; Hayat, K. Melatonin as a multifaceted stress protector in rice: Mechanisms, synergies, and knowledge gaps. J. Plant Physiol. 2025, 312, 154577. [Google Scholar] [CrossRef]
- Colombage, R.; Singh, M.B.; Bhalla, P.L. Melatonin and abiotic stress tolerance in crop plants. Int. J. Mol. Sci. 2023, 24, 7447. [Google Scholar] [CrossRef]
- Gao, Y.; Chen, H.; Chen, D.; Hao, G. Genetic and evolutionary dissection of melatonin response signaling facilitates the regulation of plant growth and stress responses. J. Pineal Res. 2023, 74, e12850. [Google Scholar] [CrossRef] [PubMed]
- Ahammed, G.J.; Li, Z.; Chen, J.; Dong, Y.; Qu, K.; Guo, T.; Wang, F.; Liu, A.; Chen, S.; Li, X. Reactive oxygen species signaling in melatonin-mediated plant stress response. Plant Physiol. Biochem. 2024, 207, 108398. [Google Scholar] [CrossRef]
- Dzinyela, R.; Manda, T.; Hwarari, D.; Ramakrishnan, M.; Ahmad, Z.; Agassin, R.H.; Yang, L.M.; Movahedi, A. Melatonin-mediated phytohormonal crosstalk improves salt stress tolerance in plants. Planta 2025, 262, 86. [Google Scholar] [CrossRef] [PubMed]
- Hao, X.; Ren, J.; Xu, M.; Sun, B.; Li, R.; Yang, S.; Xu, W. Melatonin in plant pathogen defense: A review of its role in horticultural crops. Hortic. Res. 2025, 12, uhaf150. [Google Scholar] [CrossRef]
- Liu, X.; Chen, A.; Wei, Q.; Wang, C.; Zhao, Q.; Wang, Q.; Zheng, X.; He, T.; Qi, J.; Yin, Y.; et al. Exogenous melatonin inhibits the expression of GmABI5 and enhances drought resistance in fodder soybean through an ABA-independent pathway. Plant Cell Environ. 2025, 48, 8341–8355. [Google Scholar] [CrossRef]
- Mao, C.; Wang, L.; Mao, Y.; Li, Y.; Peng, Y.; Fan, Y.; Li, J.; Zhu, Y.; Xu, X.; Li, P. Melatonin integrates multiple biological and phytohormonal pathways to enhance drought tolerance in rice. Planta 2025, 262, 13. [Google Scholar] [CrossRef] [PubMed]
- Li, X.; Zhao, Y.; Gao, C.; Li, X.; Wu, K.; Lin, M.; Sun, W. Integrated analysis of physiological responses and transcriptome of cotton seedlings under drought stress. Int. J. Mol. Sci. 2025, 26, 7824. [Google Scholar] [CrossRef]
- Yu, L.; Zhou, C.; Fan, J.; Shanklin, J.; Xu, C. Mechanisms and functions of membrane lipid remodeling in plants. Plant J. 2021, 107, 37–53. [Google Scholar] [CrossRef]
- Sharma, P.; Lakra, N.; Goyal, A.; Ahlawat, Y.K.; Zaid, A.; Siddique, K.H.M. Drought and heat stress mediated activation of lipid signaling in plants: A critical review. Front. Plant Sci. 2023, 14, 1216835. [Google Scholar] [CrossRef]
- Xu, X.; Zhang, J.; Yan, B.; Wei, Y.; Ge, S.; Li, J.; Han, Y.; Li, Z.; Zhao, C.; Xu, J. The adjustment of membrane lipid metabolism pathways in maize roots under saline-alkaline stress. Front. Plant Sci. 2021, 12, 635327. [Google Scholar] [CrossRef]
- Zheng, Y.; Xia, Z.; Wu, J.; Ma, H. Effects of repeated drought stress on the physiological characteristics and lipid metabolism of Bombax ceiba L. during subsequent drought and heat stresses. BMC Plant Biol. 2021, 21, 467. [Google Scholar] [CrossRef] [PubMed]
- Olmedo, P.; Núñez-Lillo, G.; Toro, G.; Opazo, I.; Salvatierra, A.; Meneses, C.; Pedreschi, R.; Pimentel, P. Integration of lipidomics and transcriptomics provides new insights into lipid metabolism in response to water deficit in Prunus spp. rootstock leaves. Environ. Exp. Bot. 2025, 237, 106185. [Google Scholar] [CrossRef]
- Okazaki, Y.; Saito, K. Roles of lipids as signaling molecules and mitigators during stress response in plants. Plant J. 2014, 79, 584–596. [Google Scholar] [CrossRef]
- Xu, D.; Ni, Y.; Zhang, X.; Guo, Y. Multiomic analyses of two sorghum cultivars reveals the change of membrane lipids in their responses to water deficit. Plant Physiol. Biochem. 2022, 176, 44–56. [Google Scholar] [CrossRef]
- Chen, D.; Wang, S.; Qi, L.; Yin, L.; Deng, X. Galactolipid remodeling is involved in drought-induced leaf senescence in maize. Environ. Exp. Bot. 2018, 150, 57–68. [Google Scholar] [CrossRef]
- Zhang, D.; Li, J.; Li, M.; Cheng, Z.; Xu, Q.; Song, X.; Shang, X.; Guo, W. Overexpression of a cotton nonspecific lipid transfer protein gene, GhLTP4, enhances drought tolerance by remodeling lipid profiles, regulating abscisic acid homeostasis and improving tricarboxylic acid cycle in cotton. Environ. Exp. Bot. 2022, 201, 104991. [Google Scholar] [CrossRef]
- Yang, Z.; Zhang, H.; Li, X.; Shen, H.; Gao, J.; Hou, S.; Zhang, B.; Mayes, S.; Bennett, M.; Ma, J.; et al. A mini foxtail millet with an Arabidopsis-like life cycle as a C4 model system. Nat. Plants 2020, 6, 1167–1178. [Google Scholar] [CrossRef]
- Han, Y.; Yi, H. Sulfate enhances drought tolerance in foxtail millet seedlings by promoting ABA biosynthesis and inducing stomatal closure. J. Plant Growth Regul. 2025, 44, 6190–6199. [Google Scholar] [CrossRef]
- Farooq, M.; Gogoi, N.; Barthakur, S.; Baroowa, B.; Bharadwaj, N.; Alghamdi, S.S.; Siddique, K.H.M. Drought stress in grain legumes during reproduction and grain filling. J. Agron. Crop Sci. 2017, 203, 81–102. [Google Scholar] [CrossRef]
- Xuan, H.; Huang, Y.; Zhou, L.; Deng, S.; Wang, C.; Xu, J.; Wang, H.; Zhao, J.; Guo, N.; Xing, H. Key soybean seedlings drought-responsive genes and pathways revealed by comparative transcriptome analyses of two cultivars. Int. J. Mol. Sci. 2022, 23, 2893. [Google Scholar] [CrossRef]
- Ren, J.; Yang, X.; Ma, C.; Wang, Y.; Zhao, J. Melatonin enhances drought stress tolerance in maize through coordinated regulation of carbon and nitrogen assimilation. Plant Physiol. Biochem. 2021, 167, 958–969. [Google Scholar] [CrossRef] [PubMed]
- Zhang, Y.; Li, Y.; Liu, J.; Suo, L.; Li, D.; He, L.; Duan, J.; Wang, Y.; Feng, W.; Guo, T. Exogenous melatonin alleviates drought stress in wheat by enhancing photosynthesis and carbon metabolism to promote floret development and grain yield. Plant Stress 2025, 16, 100885. [Google Scholar] [CrossRef]
- He, J.; Hu, W.; Li, Y.; Zhu, H.; Zou, J.; Wang, Y.; Meng, Y.; Chen, B.; Zhao, W.; Wang, S.; et al. Prolonged drought affects the interaction of carbon and nitrogen metabolism in root and shoot of cotton. Environ. Exp. Bot. 2022, 197, 104839. [Google Scholar] [CrossRef]
- Wang, Y.; Zhou, W.; Wang, Z.; Gao, S.; Zhang, R. Integrated metabolome, transcriptome and physiological analyses of melatonin-induced drought responses in maize roots and leaves. Plant Growth Regul. 2025, 105, 229–244. [Google Scholar] [CrossRef]
- Zahra, N.; Hafeez, M.B.; Kausar, A.; Al Zeidi, M.; Asekova, S.; Siddique, K.H.; Farooq, M. Plant photosynthetic responses under drought stress: Effects and management. J. Agron. Crop Sci. 2023, 209, 651–672. [Google Scholar] [CrossRef]
- Zhang, Z.; Cao, B.; Gao, S.; Xu, K. Grafting improves tomato drought tolerance through enhancing photosynthetic capacity and reducing ROS accumulation. Protoplasma 2019, 256, 1013–1024. [Google Scholar] [CrossRef] [PubMed]
- Altaf, M.A.; Shahid, R.; Ren, M.X.; Naz, S.; Altaf, M.M.; Khan, L.U.; Tiwari, R.K.; Lal, M.K.; Shahid, M.A.; Kumar, R.; et al. Melatonin improves drought stress tolerance of tomato by modulating plant growth, root architecture, photosynthesis, and antioxidant defense system. Antioxidants 2022, 11, 309. [Google Scholar] [CrossRef] [PubMed]
- Ren, J.; Yang, X.; Zhang, N.; Feng, L.; Ma, C.; Wang, Y.; Yang, Z.; Zhao, J. Melatonin alleviates aluminum-induced growth inhibition by modulating carbon and nitrogen metabolism, and reestablishing redox homeostasis in Zea mays L. J. Hazard. Mater. 2022, 423, 127159. [Google Scholar] [CrossRef]
- Li, Y.K.; Zhang, Y.M.; Dai, G.Y.; Chen, Y.L.; Chen, D.K.; Yao, N. Sphingolipid remodeling in the plasma membrane is essential for osmotic stress tolerance in Arabidopsis. Plant Physiol. 2025, 197, kiaf031. [Google Scholar] [CrossRef]
- Akter, N.; Brishty, T.A.; Karim, M.A.; Ahmed, M.J.U.; Islam, M.R. 2023. Leaf water status and biochemical adjustments as a mechanism of drought tolerance in two contrasting wheat (Triticum aestivum L.) varieties. Acta Physiol. Plant. 2023, 45, 50. [Google Scholar] [CrossRef]
- Wang, J.; Zhang, X.; Han, Z.; Feng, H.; Wang, Y.; Kang, J.; Han, X.; Wang, L.; Wang, C.; Li, H.; et al. Analysis of physiological indicators associated with drought tolerance in wheat under drought and re-watering conditions. Antioxidants 2022, 11, 2266. [Google Scholar] [CrossRef]
- Muhammad, I.; Yang, L.; Ahmad, S.; Farooq, S.; Khan, A.; Muhammad, N.; Ullah, S.; Adnan, M.; Ali, S.; Liang, Q.P.; et al. Melatonin-priming enhances maize seedling drought tolerance by regulating the antioxidant defense system. Plant Physiol. 2023, 191, 2301–2315. [Google Scholar] [CrossRef]
- Wang, Y.; Zhang, X.; Huang, G.; Feng, F.; Liu, X.; Guo, R.; Gu, F.; Zhong, X.; Mei, X. Dynamic changes in membrane lipid composition of leaves of winter wheat seedlings in response to PEG-induced water stress. BMC Plant Biol. 2020, 20, 84. [Google Scholar] [CrossRef]
- Larsson, K.E.; Nyström, B.; Liljenberg, C. A phosphatidylserine decarboxylase activity in root cells of oat (Avena sativa) is involved in altering membrane phospholipid composition during drought stress acclimation. Plant Physiol. Biochem. 2006, 44, 211–219. [Google Scholar] [CrossRef]
- Hassan, M.J.; Qi, H.; Cheng, B.; Hussain, S.; Peng, Y.; Liu, W.; Feng, G.Y.; Zhao, J.M.; Li, Z. Enhanced adaptability to limited water supply regulated by diethyl aminoethyl hexanoate (DA-6) associated with lipidomic reprogramming in two white clover genotypes. Front. Plant Sci. 2022, 13, 879331. [Google Scholar] [CrossRef] [PubMed]
- Gao, Y.; Li, M.; Zhang, X.; Yang, Q.; Huang, B. Up-regulation of lipid metabolism and glycine betaine synthesis are associated with choline-induced salt tolerance in halophytic seashore paspalum. Plant Cell Environ. 2020, 43, 159–173. [Google Scholar] [CrossRef]
- Toumi, I.; Gargouri, M.; Nouairi, I.; Moschou, P.N.; Salem-Fnayou, A.B.; Mliki, A.; Zarrouk, M.; Ghorbel, A. Water stress induced changes in the leaf lipid composition of four grapevine genotypes with different drought tolerance. Biol. Plant. 2008, 52, 161–164. [Google Scholar] [CrossRef]
- Narayanan, S.; Tamura, P.J.; Roth, M.R.; Prasad, P.V.; Welti, R. Wheat leaf lipids during heat stress: I. High day and night temperatures result in major lipid alterations. Plant Cell Environ. 2016, 39, 787–803. [Google Scholar] [CrossRef]
- Klaus, D.; Hartel, H.; Fitzpatrick, L.M.; Froehlich, J.E.; Hubert, J.; Benning, C.; Dormann, P. Digalactosyldiacylglycerol synthesis in chloroplasts of the Arabidopsis dgd1 mutant. Plant Physiol. 2002, 128, 885–895. [Google Scholar] [CrossRef] [PubMed]
- Seigneurin-Berny, D.; Rolland, N.; Dorne, A.J.; Joyard, J. Sulfolipid is a potential candidate for annexin binding to the outer surface of chloroplast. Biochem. Biophys. Res. Commun. 2000, 272, 519–524. [Google Scholar] [CrossRef] [PubMed]
- Liu, X.; Ma, D.; Zhang, Z.; Wang, S.; Du, S.; Deng, X.; Yin, L. Plant lipid remodeling in response to abiotic stresses. Environ. Exp. Bot. 2019, 165, 174–184. [Google Scholar] [CrossRef]
- Hori, K.; Nobusawa, T.; Watanabe, T.; Madoka, Y.; Suzuki, H.; Shibata, D.; Shimojima, M.; Ohta, H. Tangled evolutionary processes with commonality and diversity in plastidial glycolipid synthesis in photosynthetic organisms. BBA-Mol. Cell Biol. L. 2016, 1861, 1294–1308. [Google Scholar] [CrossRef]
- Ge, S.; Liu, D.; Chu, M.; Liu, X.; Wei, Y.; Che, X.; Zhu, L.; He, L.; Xu, J. Dynamic and adaptive membrane lipid remodeling in leaves of sorghum under salt stress. Crop J. 2022, 10, 1557–1569. [Google Scholar] [CrossRef]
- Zhang, M.; Barg, R.; Yin, M.; Gueta-Dahan, Y.; Leikin-Frenkel, A.; Salts, Y.; Shabtai, S.; Ben-Hayyim, G. Modulated fatty acid desaturation via overexpression of two distinct ω-3 desaturases differentially alters tolerance to various abiotic stresses in transgenic tobacco cells and plants. Plant J. 2005, 44, 361–371. [Google Scholar] [CrossRef] [PubMed]
- Tovuu, A.; Zulfugarov, I.S.; Wu, G.; Kang, I.S.; Kim, C.; Moon, B.Y.; An, G.; Lee, C.H. Rice mutants deficient in ω-3 fatty acid desaturase (FAD8) fail to acclimate to cold temperatures. Plant Physiol. Biochem. 2016, 109, 525–535. [Google Scholar] [CrossRef] [PubMed]
- Chen, G.; Huo, Y.; Tan, D.X.; Liang, Z.; Zhang, W.; Zhang, Y. Melatonin in Chinese medicinal herbs. Life Sci. 2003, 73, 19–26. [Google Scholar] [CrossRef]
- Sharma, A.; Wang, J.; Xu, D.; Tao, S.; Chong, S.; Yan, D.; Li, Z.; Yuan, H.; Zheng, B.; Zheng, B. Melatonin regulates the functional components of photosynthesis, antioxidant system, gene expression, and metabolic pathways to induce drought resistance in grafted Carya cathayensis plants. Sci. Total Environ. 2020, 713, 136675. [Google Scholar] [CrossRef]
- Jahan, M.S.; Guo, S.; Baloch, A.R.; Sun, J.; Shu, S.; Wang, Y.; Ahammed, G.J.; Kabir, K.; Roy, R. Melatonin alleviates nickel phytotoxicity by improving photosynthesis, secondary metabolism and oxidative stress tolerance in tomato seedlings. Ecotoxicol. Environ. Saf. 2020, 197, 110593. [Google Scholar] [CrossRef]
- Sabzi-Nojadeh, M.; Pouresmaeil, M.; Amani, M.; Younessi-Hamzekhanlu, M.; Maggi, F. Colonization of Satureja hortensis L. (Summer savory) with Trichoderma harzianum alleviates salinity stress via improving physio-biochemical traits and biosynthesis of secondary metabolites. Ind. Crop. Prod. 2024, 208, 117831. [Google Scholar] [CrossRef]
- Zheng, Q.; Hu, J.; Dong, C.; Hu, H.; Zhao, C.; Lei, K.; Tian, Z.; Dai, T. Differences in membrane lipid homeostasis confer contrast tolerance to low phosphorus in two wheat (Triticum aestivum L.) cultivars. Environ. Exp. Bot. 2024, 219, 105653. [Google Scholar] [CrossRef]
- Wang, Z.; Benning, C. Arabidopsis thaliana polar glycerolipid profiling by thin layer chromatography (TLC) coupled with gas-liquid chromatography (GLC). J. Vis. Exp. 2011, 18, 2518. [Google Scholar] [CrossRef]









| Lipid Classes | Treatments | Fatty Acid Content (nmol mg−1 DW) | |||||
|---|---|---|---|---|---|---|---|
| 16:0 | 16:1 | 18:0 | 18:1 | 18:2 | 18:3 | ||
| MGDG | C | 4.17 ± 0.37 a | 0.36 ± 0.03 a | 1.94 ± 0.14 a | 1.96 ± 0.17 a | 1.23 ± 0.06 a | 38.31 ± 1.69 a |
| M | 4.29 ± 0.32 a | 0.37 ± 0.03 a | 2.06 ± 0.17 a | 2.08 ± 0.20 a | 1.36 ± 0.13 a | 37.65 ± 1.85 a | |
| D | 4.06 ± 0.29 a | 0.37 ± 0.02 a | 2.04 ± 0.15 a | 2.03 ± 0.17 a | 1.41 ± 0.11 a | 32.18 ± 0.85 c | |
| DM | 4.25 ± 0.33 a | 0.41 ± 0.04 a | 2.03 ± 0.18 a | 2.54 ± 0.24 a | 1.39 ± 0.15 a | 34.94 ± 1.37 b | |
| DGDG | C | 4.68 ± 0.42 a | 0.03 ± 0.00 a | 2.56 ± 0.24 a | 0.46 ± 0.04 a | 0.63 ± 0.05 a | 16.27 ± 0.68 c |
| M | 4.53 ± 0.39 a | 0.03 ± 0.00 a | 2.68 ± 0.27 a | 0.48 ± 0.03 a | 0.67 ± 0.04 a | 15.98 ± 0.92 c | |
| D | 4.72 ± 0.41 a | 0.03 ± 0.00 a | 2.37 ± 0.21 a | 0.51 ± 0.06 a | 0.71 ± 0.03 a | 19.24 ± 0.74 b | |
| DM | 4.89 ± 0.45 a | 0.04 ± 0.00 a | 2.67 ± 0.19 a | 0.54 ± 0.04 a | 0.61 ± 0.07 a | 21.37 ± 1.03 a | |
| SQDG | C | 3.14 ± 0.15 a | 0.12 ± 0.01 a | 1.57 ± 0.12 a | 0.50 ± 0.05 a | 0.49 ± 0.04 a | 3.07 ± 0.31 c |
| M | 3.26 ± 0.20 a | 0.13 ± 0.01 a | 1.68 ± 0.13 a | 0.52 ± 0.03 a | 0.54 ± 0.05 a | 3.15 ± 0.25 c | |
| D | 3.26 ± 0.17 a | 0.14 ± 0.02 a | 1.61 ± 0.15 a | 0.52 ± 0.04 a | 0.58 ± 0.04 a | 3.89 ± 0.28 b | |
| DM | 3.08 ± 0.21 a | 0.13 ± 0.01 a | 1.71 ± 0.13 a | 0.49 ± 0.04 a | 0.59 ± 0.05 a | 4.82 ± 0.26 a | |
| PG | C | 1.18 ± 0.05 a | 0.56 ± 0.05 a | 0.51 ± 0.04 a | 0.10 ± 0.01 a | 0.25 ± 0.01 a | 1.72 ± 0.09 a |
| M | 1.21 ± 0.09 a | 0.57 ± 0.04 a | 0.52 ± 0.04 a | 0.10 ± 0.01 a | 0.28 ± 0.03 a | 1.74 ± 0.10 a | |
| D | 1.05 ± 0.05 b | 0.46 ± 0.07 a | 0.57 ± 0.09 a | 0.10 ± 0.01 a | 0.27 ± 0.02 a | 1.43 ± 0.07 b | |
| DM | 1.28 ± 0.07 a | 0.54 ± 0.04 a | 0.49 ± 0.04 a | 0.10± 0.01 a | 0.27 ± 0.02 a | 1.44 ± 0.08 b | |
| PC | C | 0.83 ± 0.07 a | 0.23 ± 0.01 a | 0.08 ± 0.01 a | 0.09 ± 0.01 a | 0.95 ± 0.07 a | 1.34 ± 0.11 c |
| M | 0.84 ± 0.06 a | 0.24 ± 0.02 a | 0.08 ± 0.01 a | 0.10 ± 0.01 a | 0.91 ± 0.07 a | 1.39 ± 0.07 c | |
| D | 0.89 ± 0.07 a | 0.21 ± 0.02 a | 0.08 ± 0.00 a | 0.08 ± 0.01 a | 0.97 ± 0.08 a | 1.67 ± 0.10 b | |
| DM | 0.80 ± 0.05 a | 0.25 ± 0.01 a | 0.09 ± 0.01 a | 0.09 ± 0.01 a | 0.91 ± 0.09 a | 2.03 ± 0.12 a | |
| PE | C | 0.31 ± 0.02 a | 0.01 ± 0.00 a | 0.07 ± 0.01 a | 0.04 ± 0.00 a | 0.27 ± 0.02 a | 0.42 ± 0.03 a |
| M | 0.29 ± 0.04 a | 0.01 ± 0.00 a | 0.08 ± 0.01 a | 0.04 ± 0.01 a | 0.29 ± 0.02 a | 0.46 ± 0.03 a | |
| D | 0.21 ± 0.02 b | 0.01 ± 0.00 a | 0.08 ± 0.01 a | 0.04 ± 0.00 a | 0.22 ± 0.01 b | 0.43 ± 0.04 a | |
| DM | 0.21 ± 0.02 b | 0.01 ± 0.00 a | 0.08 ± 0.01 a | 0.04 ± 0.01 a | 0.22 ± 0.02 b | 0.41 ± 0.04 a | |
| PI | C | 0.54 ± 0.03 a | 0.02 ± 0.00 a | 0.11 ± 0.01 a | 0.10 ± 0.01 a | 0.53 ± 0.03 a | 0.77 ± 0.04 a |
| M | 0.57 ± 0.05 a | 0.02 ± 0.00 a | 0.12 ± 0.01 a | 0.11 ± 0.05 a | 0.57 ± 0.05 a | 0.81 ± 0.06 a | |
| D | 0.42 ± 0.04 b | 0.02 ± 0.00 a | 0.13 ± 0.04 a | 0.11 ± 0.01 a | 0.55 ± 0.07 a | 0.65 ± 0.05 b | |
| DM | 0.44 ± 0.55 b | 0.02 ± 0.00 a | 0.13 ± 0.04 a | 0.11 ± 0.02 a | 0.54 ± 0.04 a | 0.67 ± 0.04 b | |
Disclaimer/Publisher’s Note: The statements, opinions and data contained in all publications are solely those of the individual author(s) and contributor(s) and not of MDPI and/or the editor(s). MDPI and/or the editor(s) disclaim responsibility for any injury to people or property resulting from any ideas, methods, instructions or products referred to in the content. |
© 2025 by the authors. Licensee MDPI, Basel, Switzerland. This article is an open access article distributed under the terms and conditions of the Creative Commons Attribution (CC BY) license (https://creativecommons.org/licenses/by/4.0/).
Share and Cite
Ren, J.; Zhang, T.; Yin, X.; Zhao, Y.; Meng, F.; Yang, X. Melatonin Improves Drought Stress Tolerance by Remodeling Lipid Metabolism in Setaria italica L. Plants 2025, 14, 3314. https://doi.org/10.3390/plants14213314
Ren J, Zhang T, Yin X, Zhao Y, Meng F, Yang X. Melatonin Improves Drought Stress Tolerance by Remodeling Lipid Metabolism in Setaria italica L. Plants. 2025; 14(21):3314. https://doi.org/10.3390/plants14213314
Chicago/Turabian StyleRen, Jianhong, Tao Zhang, Xin Yin, Yijia Zhao, Fanyi Meng, and Xiaoxiao Yang. 2025. "Melatonin Improves Drought Stress Tolerance by Remodeling Lipid Metabolism in Setaria italica L." Plants 14, no. 21: 3314. https://doi.org/10.3390/plants14213314
APA StyleRen, J., Zhang, T., Yin, X., Zhao, Y., Meng, F., & Yang, X. (2025). Melatonin Improves Drought Stress Tolerance by Remodeling Lipid Metabolism in Setaria italica L. Plants, 14(21), 3314. https://doi.org/10.3390/plants14213314

