Antidiabetic Potential of Silybum marianum (L.) Gaertn. and Brachylaena discolor DC (Asteraceae) in the Management of Type 2 Diabetes Mellitus
Abstract
1. Introduction
1.1. Asteraceae Family in the Management of T2DM
1.2. Origin, Morphology, and Biology of Silybum marianum
1.3. Ethnopharmacological Utilization of S. marianum
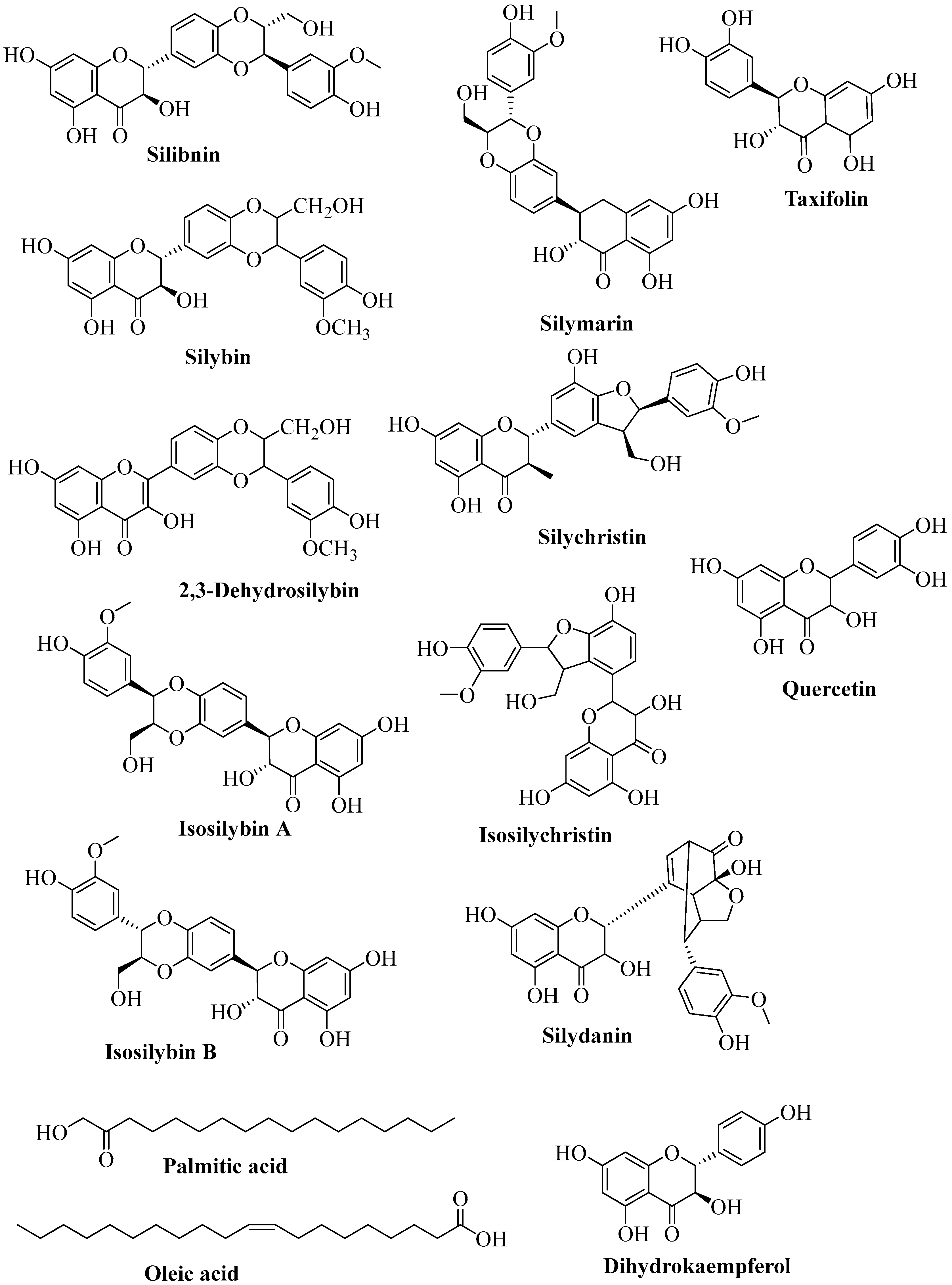
1.4. Chemical Components of Silybum marianum and Their Role in Anti-Diabetic Activity
1.5. Toxicity
1.6. Anti-Diabetic Activity of S. marianum
| Plant Sources | Compound Class | Compound Name | Molecular Weight (g/mol) | Chemical Formula | CAS Number | Biological Activity | References |
|---|---|---|---|---|---|---|---|
| Flavonolignans | |||||||
| Seeds Leaves Root | silymarin | 482.4 | C25H22O10 | 22888-70-6 | anti-diabetic, anti-inflammatory properties, anti-diarrhea, and antioxidant activity. | [27,46] | |
| Seeds Leaves Root | silybin A | 482.4 | C25H22O10 | 22888-70-6 | antioxidant, anti-inflammatory, anti-fibrotic, hepatoprotective, and anti-diabetic activity. | [52,54] | |
| Seeds Leaves Root | silybin B | 482.4 | C25H22O10 | 142797-34-0 | antioxidant, anti-inflammatory, anti-fibrotic, hepatoprotective, and anti-diabetic activity. | [52,54] | |
| Seeds Leaves Root | silydianin | 482.4 | C25H22O10 | 29782-68-1 | antioxidant, anti-inflammatory, anti-fibrotic, hepatoprotective, and anti-diabetic activity. | [64,85] | |
| Seeds Leaves Root | isosilybin A | 482.4 | C25H22O10 | 142796-21-2 | antioxidant, anti-inflammatory, anti-fibrotic, hepatoprotective, and anti-diabetic activity. | [52,54] | |
| Seeds Leaves Root | isosilybin B | 482.4 | C25H22O10 | 142796-22-3 | antioxidant, anti-inflammatory, anti-fibrotic, hepatoprotective, and anti-diabetic activity. | [52,54] | |
| Seeds Leaves Root | silychristin | 482.4 | C25H22O10 | 33889-69-9 | antioxidant, anti-inflammatory, anti-fibrotic, hepatoprotective effects, and anti-diabetic activity | [89,96] | |
| stem | 2,3-dehydrosilybin | 480 | C25H22O10 | 25166-14-7 | shows potential cardioprotective effects, strong antioxidant, anticancer, anti-lipid peroxidation, and cell damage attenuation properties. | [97,98] | |
| Phenylpropanoids | |||||||
| Seeds Leaves Root | mariamide A | 756.3 | C42H46N4O10 | Not known | antioxidant and anti-diabetic activities. | [88] | |
| Seeds Leaves Root | mariamide B | 407.2 | C21H24N2O5 | Not known | antioxidant and anti-diabetic activities. | [88] | |
| Flavonoids | |||||||
| Seeds | 3, 3′, 5, 5′, 7-pentahydroxyflavanone | 305.1 | C15H12O7 | 215257-15-1 | anticancer and antioxidant activities | [99] | |
| Stem | taxifolin | 304.3 | C15H12O7 | 480-18-2 | antioxidant, anti-inflammatory, and anticancer effects, neuroprotective activity, benefits for Alzheimer’s disease, cardioprotectivity, anti-diabetic activity by improving insulin sensitivity, and liver protection. | [100] | |
| Seeds Leaves Root | quercetin | 302.23 | C15H10O7 | 117-39-5 | antioxidant, anti-inflammatory, anti-fibrotic, hepatoprotective effects and anti-diabetic, antioxidant, anti-inflammatory, anti-fibrotic, hepatoprotective and anti-diabetic activities. | [42,43,44] | |
| Seeds Leaves Root | kaempferol | 286.24 | C15H10O6 | 520-18-3 | antioxidant, anti-inflammatory, anti-fibrotic, hepatoprotective effects and anti-diabetic activity. | [42,43,44] | |
| Flavonoid glycosides | |||||||
| Seeds Leaves Root | apigenin 7-O-β-(2″-O-α-rhamnosyl) galacturonide | 592.5 | C27H28O15 | 124167-97-1 | anti-inflammatory and antioxidant effects, cardiovascular disease management, neuroprotection, and anti-diabetic properties by reducing oxidative stress and insulin resistance. | [101] | |
| Seeds Leaves Root | kaempferol 3-O-α-rhamnoside-7-O-β-galacturonide | 608.1 | C27H30O16 | 124167-98-2 | antioxidant, anti-inflammatory, and potential anticancer activity. | [27,46] | |
| Seeds Leaves Root | apigenin 7-O-β-glucuronide | 446.36 | C21H18O11 | 29741-09-1 | anti-diabetic and antioxidant activities | [42,43,44] | |
| Seeds Leaves Root | apigenin 7-O-β-galactoside | 432.4 | C21H20O10 | 578-74-5 | antioxidant, anti-inflammatory, anti-fibrotic, hepatoprotective effects, and anti-diabetic activity. | [42,43,44] | |
| Seeds Leaves Root | kaempferol-3-O-α-rhamnoside | 432.4 | C21H20O10 | 482-39-3 | antioxidant, anti-inflammatory, anti-fibrotic, hepatoprotective effects, and anti-diabetic activity | [42,43,44] | |
| Fatty acids | |||||||
| Seeds | oleic acid | 282.5 | C18H34O2 | 112-80-1 | anti-inflammatory and antioxidant effects, and cardiovascular disease and obesity treatment | [42,43,44] | |
| Seeds | linoleic acid | 280.4 | C18H32O2 | 60-33-3 | potential anti-neoplastic and pro-apoptotic effects against certain cancers and anti-inflammatory activity | [42,43,44] | |
| Seeds | palmitic acid | 256.4 | C16H32O2 | 57-10-3 | anti-inflammatory, anticancer, and anti-viral agent by modulating immune signaling pathways like NF-κB and inducing apoptosis in cancer cells | [42,43,44] |
1.7. Origin, Morphology, and Biology of Brachylaena discolor
1.8. Ethnopharmacological Utilization of Brachylaena discolor
1.9. Chemical Components of Brachylaena discolor and Their Role in Anti-Diabetic Activity
1.10. Anti-Diabetic Activity of Brachylaena discolor
| Plant Sources | Compound Class | Compound Name | Molecular Weight (g/mol) | Chemical Formula | CAS Number | Biological Activity | References |
|---|---|---|---|---|---|---|---|
| Triterpene | |||||||
| Stems Fruits Leaves | α-amyrin | 456.7 | C30H48O3 | 638-95-9 | enhances periodontal inflammation, anti-diabetic effects, neutrophil infiltration, and oxidative stress management | [130,131] | |
| Stems Fruits Leaves | β-amyrin | 426.0 | C30H50O | 559-70-6 | anti-inflammatory, antibacterial, antinociceptive (pain-relieving), hepatoprotective (liver-protective), and anti-diabetic effects, neuroprotective agent, antifungal agent, and antioxidant properties. | [131] | |
| Stems Fruits Leaves | α-amyrin palmitate | 665.1 | C46H80O2 | 22255-10-3 | anti-inflammatory activity, improves brain neuronal hormones, anti-diabetic activity, neutrophil infiltration, and helps in managing oxidative stress | [131] | |
| Stems Fruits Leaves | β-amyrin palmitate | 665.1 | C46H80O2 | 5973-06-8 | antidepressant, hypoactive, anti-diabetic, and hypolipidemic activities | [122] | |
| Stems Fruits Leaves | α-amyrin acetate | 468.0 | C32H52O2 | 863-76-3. | anti-inflammatory, antihyperglycemic, hepatoprotective, and antifungal effects | [131] | |
| Stems Fruits Leaves | ψ-taraxasterol acetate | 469.4 | C32H53O2 | 4586-65-6 | neuroprotective, anticancer, and anti-diabetic properties, inhibiting pro-inflammatory cytokines and reducing oxidative stress | [132,133] | |
| Stems Fruits Leaves | taraxasterol acetate | 468.8 | C32H52O2 | 6426-43-3 | anti-inflammatory, anticancer, antioxidant, and neuroprotective activities. | [132,133] | |
| Stems Fruits Leaves | taraxasterol | 426.7 | C30H50O | 1059-14-9 | anti-inflammatory, anticancer, antioxidant, and neuroprotective activities. | [132,133] | |
| Stems Fruits Leaves | lupeol acetate | 468 | C32H53O2 | 1617-68-1 | acts as an anti-inflammatory agent, has anti-diabetic activity, suppresses pro-inflammatory cytokines, has antioxidant and neutralizing anti-venom components and improves antioxidant status of cells. | [128] | |
| Stems Fruits Leaves | lupeol palmitate | 663.6 | C46H80O2 | 32214-80-5 | reduces blood glucose levels, improves antioxidant levels, and reduces inflammatory markers. | [134] | |
| Stems Fruits Leaves | lupeol | 409.4 | C30H49 | 545-47-1 | reduces blood glucose levels, improves antioxidant levels, and reduces inflammatory markers | [134] | |
| Stems Fruits Leaves | luteolin | 286.2 | C15H10O6 | 491-70-3 | improves glucose and lipid metabolism by reducing insulin resistance, enhancing glucose uptake, inhibiting inflammatory pathways, and scavenging free radicals. | [135] | |
| Sesquiterpene | |||||||
| Leaves Stem Fruits | onopordopicrin | 349.1651 | C19H24O6 | 19889-00-0 | antioxidant, anti-inflammatory, and cytotoxic activities. | [103,114,136] | |
| Organic acids | |||||||
| Stems Fruits Leaves | dihydroxysinapic acid | 180.2 | C9H8O | 331-39-5 | potent antioxidant, anti-inflammatory, and anticancer properties, along with antiviral, anti-diabetic, antimicrobial, cardioprotective, immune-stimulatory, and neuroprotective effects. | [137,138] | |
| Stems Fruits Leaves | salonitelonide-8-O-,3-isobutyrate | 348.1570 | C19H24O6 | Not known | anti-leishmanicidal activity and treats stomach pain, tuberculosis, and diabetes. | [103,114,136] | |
| Flavonoids | |||||||
| Stems Fruits Leaves | hydroxytyrosol | 154.2 | C8H10O3 | 10597-60-1 | strong antioxidant and anti-inflammatory effects and neuroprotective, cardioprotective, and anticancer properties by inhibiting tumor cell growth, inducing apoptosis, and improving cardiovascular health markers. | [137,139] | |
| Stems Fruits Leaves | eupafolin | 316.3 | C16H12O7 | 520-11-6 | increases glucose metabolism and antioxidant and anti-inflammatory activity. | [140] | |
| Stems Fruits Leaves | 3′-hydroxygenkwanin | 300.3 | C16H12O6 | 20243-59-8 | offers cardiovascular protection, inhibits cancer cell growth, and reverses drug-induced DNA damage repair inhibition in liver cancer cells | [141] | |
| Flavonoid glycosides | |||||||
| Stems Fruits Leaves | quercetin 3-O-glucoside-7,3′,4′-trimethyl ether | 622.5 | C27H30O17 | Not known | anti-diabetic, antibacterial, anti-inflammatory, and antioxidant effects | [142] | |
| Stems Fruits Leaves | quercetin-3-O-β-D-galactopyranoside | 464.4 | C21H20O12 | 482-36-0 | anti-diabetic, antibacterial, anti-inflammatory, and antioxidant effects | [143] | |
| Stems Fruits Leaves | quercetin-7-galactopyranoside | 464.4 | C21H20O12 | 482-36-0 | antioxidant, anti-inflammatory, anti-diabetic, and cytoprotective effects and manages oxidative stress. | [143] |
2. Conclusions
Author Contributions
Funding
Data Availability Statement
Conflicts of Interest
References
- Galicia-Garcia, U.; Benito-Vicente, A.; Jebari, S.; Larrea-Sebal, A.; Siddiqi, H.; Uribe, K.B.; Ostolaza, H.; Martín, C. Pathophysiology of Type 2 Diabetes Mellitus. Int. J. Mol. Sci. 2020, 21, 6275. [Google Scholar] [CrossRef] [PubMed]
- Ojo, O.A.; Ibrahim, H.S.; Rotimi, D.E.; Ogunlakin, A.D.; Ojo, A.B. Diabetes Mellitus: From Molecular Mechanism to Pathophysiology and Pharmacology. Med. Nov. Technol. Devices 2023, 19, 100247. [Google Scholar] [CrossRef]
- International Diabetes Federation. IDF Diabetes Atlas; International Diabetes Federation: Brussels, Belgium, 2025. [Google Scholar]
- Saeedi, P.; Petersohn, I.; Salpea, P.; Malanda, B.; Karuranga, S.; Unwin, N.; Colagiuri, S.; Guariguata, L.; Motala, A.A.; Ogurtsova, K.; et al. Global and Regional Diabetes Prevalence Estimates for 2019 and Projections for 2030 and 2045: Results from the International Diabetes Federation Diabetes Atlas, 9th Edition. Diabetes Res. Clin. Pract. 2019, 157, 107843. [Google Scholar] [CrossRef] [PubMed]
- Nyakudya, T.T.; Tshabalala, T.; Dangarembizi, R.; Erlwanger, K.H.; Ndhlala, A.R. The Potential Therapeutic Value of Medicinal Plants in the Management of Metabolic Disorders. Molecules 2020, 25, 2669. [Google Scholar] [CrossRef] [PubMed]
- Newman, D.J.; Cragg, G.M. Natural Products as Sources of New Drugs from 1981 to 2014. J. Nat. Prod. 2016, 79, 629–661. [Google Scholar] [CrossRef]
- Baharvand-Ahmadi, B.; Bahmani, M.; Tajeddini, P.; Naghdi, N.; Rafieian-Kopaei, M. An Ethno-Medicinal Study of Medicinal Plants Used for the Treatment of Diabetes. J. Nephropathol. 2015, 5, 44–50. [Google Scholar] [CrossRef]
- Sriraman, S.; Sreejith, D.; Andrew, E.; Okello, I.; Willcox, M. Use of Herbal Medicines for the Management of Type 2 Diabetes: A Systematic Review of Qualitative Studies. Complement. Ther. Clin. Pract. 2023, 53, 101808. [Google Scholar] [CrossRef]
- Nurcahyanti, A.D.R.; Jap, A.; Lady, J.; Prismawan, D.; Sharopov, F.; Daoud, R.; Wink, M.; Sobeh, M. Function of Selected Natural Antidiabetic Compounds with Potential against Cancer via Modulation of the PI3K/AKT/MTOR Cascade. Biomed. Pharmacother. 2021, 144, 112138. [Google Scholar] [CrossRef]
- Sagbo, I.J.; Van De Venter, M.; Koekemoer, T.; Bradley, G. In Vitro Antidiabetic Activity and Mechanism of Action of Brachylaena Elliptica (Thunb.) DC. Evid.-Based Complement. Altern. Med. 2018, 2018, 4170372. [Google Scholar] [CrossRef]
- McGaw, L.J.; Eloff, J.N. Ethnoveterinary Use of Southern African Plants and Scientific Evaluation of Their Medicinal Properties. J. Ethnopharmacol. 2008, 119, 559–574. [Google Scholar] [CrossRef]
- Liu, C.; Fan, H.; Li, Y.; Xiao, X. Research Advances on Hepatotoxicity of Herbal Medicines in China. BioMed Res. Int. 2016, 2016, 7150391. [Google Scholar] [CrossRef]
- World Health Organization. WHO Global Report on Traditional and Complementary Medicine 2019; World Health Organization: Geneva, Switzerland, 2019; ISBN 9789241515436. [Google Scholar]
- Banwo, K.; Olojede, A.O.; Adesulu-Dahunsi, A.T.; Verma, D.K.; Thakur, M.; Tripathy, S.; Singh, S.; Patel, A.R.; Gupta, A.K.; Aguilar, C.N.; et al. Functional Importance of Bioactive Compounds of Foods with Potential Health Benefits: A Review on Recent Trends. Food Biosci. 2021, 43, 101320. [Google Scholar] [CrossRef]
- Goyal, S.N.; Prajapati, C.P.; Gore, P.R.; Patil, C.R.; Mahajan, U.B.; Sharma, C.; Talla, S.P.; Ojha, S.K. Therapeutic Potential and Pharmaceutical Development of Thymoquinone: A Multitargeted Molecule of Natural Origin. Front. Pharmacol. 2017, 8, 656. [Google Scholar] [CrossRef] [PubMed]
- Erasto, P.; Adebola, P.O.; Grierson, D.S.; Afolayan, A.J. An Ethnobotanical Study of Plants Used for the Treatment of Diabetes in the Eastern Cape Province, South Africa. Afr. J. Biotechnol. 2005, 4, 1458–1460. [Google Scholar]
- Afolayan, A.J.; Sunmonu, T.O. In Vivo Studies on Antidiabetic Plants Used in South African Herbal Medicine. J. Clin. Biochem. Nutr. 2010, 47, 98–106. [Google Scholar] [CrossRef] [PubMed]
- Deutschlnder, M.S.; Lall, N.; Van De Venter, M. Plant Species Used in the Treatment of Diabetes by South African Traditional Healers: An Inventory. Pharm. Biol. 2009, 47, 348–365. [Google Scholar] [CrossRef]
- Japhet, M.; Mlungisi, N.; Exnevia, G. Mechanisms of Action of Traditional Herbal Medicines Used in the Management of Diabetes Mellitus: A Review of the Literature. Afr. J. Tradit. Complement. Altern. Med. 2017, 14, 156–165. [Google Scholar] [CrossRef][Green Version]
- Sagbo, I.J.; Hussein, A.A. Antidiabetic Medicinal Plants Used in the Eastern Cape Province of South Africa: An Updated Review. Processes 2022, 10, 1817. [Google Scholar] [CrossRef]
- Mohanta, Y.K.; Mishra, A.K.; Nongbet, A.; Chakrabartty, I.; Mahanta, S.; Sarma, B.; Panda, J.; Panda, S.K. Potential Use of the Asteraceae Family as a Cure for Diabetes: A Review of Ethnopharmacology to Modern Day Drug and Nutraceuticals Developments. Front. Pharmacol. 2023, 14, 1153600. [Google Scholar] [CrossRef]
- Ghazal, E.M.A.A. Taxonomic Studies on the Family Asteraceae (Compositae) of Hajjah Governorate, West of Yemen. J. Med. Plants Stud. 2019, 7, 90–100. [Google Scholar]
- Hussain, A. Potential Medicinal Uses of Plants From the Asteraceae (Compositae) Family in Pakistan: A Literature Review Based Meta-Analysis. J. Herb. Med. 2024, 45, 100871. [Google Scholar] [CrossRef]
- Wallace, C.E.; Elston, D.M. Asteraceae Dermatitis: Everyday Plants With Allergenic Potential. Cutis 2024, 114, E18–E21. [Google Scholar] [CrossRef] [PubMed]
- Maroyi, A. Review of Phytochemistry, Biological Activities and Therapeutic Potential of Brachylaena Discolor. Int. J. Res. Pharm. Sci. 2020, 11, 5626–5633. [Google Scholar] [CrossRef]
- Rolnik, A.; Olas, B. The Plants of the Asteraceae Family as Agents in the Protection of Human Health. Int. J. Mol. Sci. 2021, 22, 3009. [Google Scholar] [CrossRef]
- Maaloul, S.; Mahmoudi, M.; Mighri, H.; Ghzaiel, I.; Bouhamda, T.; Boughalleb, F.; El Midaoui, A.; Vejux, A.; Lizard, G.; Abdellaoui, R. Tunisian Silybum Species: Important Sources of Polyphenols, Organic Acids, Minerals, and Proteins across Various Plant Organs. Plants 2024, 13, 989. [Google Scholar] [CrossRef]
- Mahmoud, N.N.; Selim, M.T. Phytochemical Analysis and Antimicrobial Activity of Silybum marianum L. via Multi-Solvent Extraction. AMB Express 2025, 15, 122. [Google Scholar] [CrossRef] [PubMed]
- Javeed, A.; Ahmed, M.; Sajid, A.R.; Sikandar, A.; Aslam, M.; Ul Hassan, T.; Samiullah; Nazir, Z.; Ji, M.; Li, C. Comparative Assessment of Phytoconstituents, Antioxidant Activity and Chemical Analysis of Different Parts of Milk Thistle Silybum marianum L. Molecules 2022, 27, 2641. [Google Scholar] [CrossRef]
- Krystyjan, M.; Gumul, D.; Adamczyk, G. The Effect of Milk Thistle (Silybum marianum L.) Fortification, Rich in Dietary Fibre and Antioxidants, on Structure and Physicochemical Properties of Biscuits. Appl. Sci. 2022, 12, 12501. [Google Scholar] [CrossRef]
- Iraqi, O.; Aouji, M.; Oubihi, A.; Imtara, H.; Noman, O.M.; Mothana, R.A.; Tarayrah, M.; Taboz, Y.; Habsaoui, A. Exploring the Chemical Composition, Antioxidant, and Antibacterial Properties of Milk Thistle (Silybum marianum L.). Front. Sustain. Food Syst. 2025, 9, 1551584. [Google Scholar] [CrossRef]
- Djellouli, M.; Moussaoui, A.; Benmehdi, H.; Belabbes, A.; Badraoui, M.; Slimani, N.; Hamidi, N. Ethnopharmacological Study and Phytochemical Screening of Three Plants (Asteraceae Family) from the Region of South West Algeria. Asian J. Nat. Appl. Sci. 2013, 2, 59–65. [Google Scholar]
- Maaloul, S.; Ghzaiel, I.; Mahmoudi, M.; Mighri, H.; Pires, V.; Vejux, A.; Martine, L.; de Barros, J.P.P.; Prost-Camus, E.; Boughalleb, F.; et al. Characterization of Silybum marianum and Silybum eburneum Seed Oils: Phytochemical Profiles and Antioxidant Properties Supporting Important Nutritional Interests. PLoS ONE 2024, 19, e0304021. [Google Scholar] [CrossRef] [PubMed]
- Porwal, O.; Mohammed Ameen, M.S.; Anwer, E.T.; Uthirapathy, S.; Ahamad, J.; Tahsin, A. Silybum marianum (Milk Thistle): Review on Its Chemistry, Morphology, Ethno Medical Uses, Phytochemistry and Pharmacological Activities. J. Drug Deliv. Ther. 2019, 9, 199–206. [Google Scholar] [CrossRef]
- Arshad, A.; Pervaiz, S.; Errum, A.; Mahmood, A.; Asghar, H.; Maqsood, S.; Shamim, S. Evaluation of Antidiabetic Effect of Silybum marianum and Cichorium Intybus Extracts. Pak. J. Med. Health Sci. 2022, 16, 820–823. [Google Scholar] [CrossRef]
- Amjadi, E.; Ganjeali, A.; Shakeri, A.; Lahouti, M.; Tavakoli, S. Ecophysiological and Phytochemical Insights in to Silybum marianum: Geographic Variations in Antioxidant Activity and Silybin Content. Russ. J. Plant Physiol. 2025, 72, 45. [Google Scholar] [CrossRef]
- Marceddu, R.; Dinolfo, L.; Carrubba, A.; Sarno, M.; Di Miceli, G. Milk Thistle (Silybum marianum L.) as a Novel Multipurpose Crop for Agriculture in Marginal Environments: A Review. Agronomy 2022, 12, 729. [Google Scholar] [CrossRef]
- Eldalawy, R.; Al-Ani, W.M.K.; Abdul Kareem, W. Phenotypic, Anatomical and Phytochemical Investigation of Iraqi Silybum marianum. J. Phys. Conf. Ser. 2021, 1879, 022029. [Google Scholar] [CrossRef]
- Zhang, X.; Liu, M.; Wang, Z.; Wang, P.; Kong, L.; Wu, J.; Wu, W.; Ma, L.; Jiang, S.; Ren, W.; et al. A Review of the Botany, Phytochemistry, Pharmacology, Synthetic Biology and Comprehensive Utilization of Silybum marianum. Front. Pharmacol. 2024, 15, 1417655. [Google Scholar] [CrossRef]
- Liu, Y.; Liu, Z.; Zheng, Y. Research Progress of Milk Thistle. J. Ginseng Res. 2016, 28, 55–58. [Google Scholar]
- Bijak, M. Silybin, a Major Bioactive Component of Milk Thistle (Silybum marianum L. Gaernt.)—Chemistry, Bioavailability, and Metabolism. Molecules 2017, 22, 1942. [Google Scholar] [CrossRef]
- Dagli Gul, A.S.; Boyuk Ozcan, G.; Arihan, O. Silibinin as a Promising Treatment for Diabetes: Insights into Behavioral and Metabolic Changes in an Animal Model. Food Sci. Nutr. 2024, 12, 3336–3345. [Google Scholar] [CrossRef] [PubMed]
- Ferysiuk, K.; Wójciak, K.M.; Materska, M. Phytochemical Profile of Silybum marianum (L.) Gaertn. and Graminis Rhizoma and Its Influence on the Bioactivity and Shelf Life of Industrially Produced Pâté. Int. J. Food Sci. Technol. 2020, 55, 1586–1598. [Google Scholar] [CrossRef]
- Marmouzi, I.; Bouyahya, A.; Ezzat, S.M.; El Jemli, M.; Kharbach, M. The Food Plant Silybum marianum (L.) Gaertn.: Phytochemistry, Ethnopharmacology and Clinical Evidence. J. Ethnopharmacol. 2021, 265, 113303. [Google Scholar] [CrossRef]
- Vahabzadeh, M.; Amiri, N.; Karimi, G. Effects of Silymarin on Metabolic Syndrome: A Review. J. Sci. Food Agric. 2018, 98, 4816–4823. [Google Scholar] [CrossRef]
- Tileshova, M.; Yessimsiitova, Z.; Alseitova, F.; Chunetova, Z.; Pravin, N.; Tileubayeva, Z.; Ryskali, T.; Yeltay, G. Phytochemical Study of Milk Thistle, Silybum marianum (L.) Gaertn. Casp. J. Environ. Sci. 2024, 22, 1293–1299. [Google Scholar] [CrossRef]
- Bouderba, S.; Sanchez-Martin, C.; Villanueva, G.R.; Detaille, D.; Koceïr, E.A. Beneficial Effects of Silibinin against the Progression of Metabolic Syndrome, Increased Oxidative Stress, and Liver Steatosis in Psammomys obesus, a Relevant Animal Model of Human Obesity and Diabetes. J. Diabetes 2014, 6, 184–192. [Google Scholar] [CrossRef]
- Awla, N.J.; Naqishbandi, A.M.; Baqi, Y. Preventive and Therapeutic Effects of Silybum marianum Seed Extract Rich in Silydianin and Silychristin in a Rat Model of Metabolic Syndrome. ACS Pharmacol. Transl. Sci. 2023, 6, 1715–1723. [Google Scholar] [CrossRef] [PubMed]
- Abdullaev, A.A.; Inamjanov, D.R.; Abduazimova, D.S.; Omonturdiyev, S.Z.; Gayibov, U.G.; Gayibova, S.N.; Aripov, T.F. Sílybum Mariánum’s Impact On Physiological Alterations and Oxidative Stress In Diabetic Rats. Biomed. Pharmacol. J. 2024, 17, 1291–1300. [Google Scholar] [CrossRef]
- Krepkova, L.V.; Babenko, A.N.; Saybel’, O.L.; Lupanova, I.A.; Kuzina, O.S.; Job, K.M.; Sherwin, C.M.; Enioutina, E.Y. Valuable Hepatoprotective Plants-How Can We Optimize Waste Free Uses of Such Highly Versatile Resources? Front. Pharmacol. 2021, 12, 738504. [Google Scholar] [CrossRef] [PubMed]
- Liu, C. Study on Extraction Technology of Milk Thistle Protein Functional Evaluation and Preparation of Bread. Master’s Thesis, Harbin University of Commerce, Harbin, China, 2021. [Google Scholar]
- Soleimani, V.; Delghandi, P.S.; Moallem, S.A.; Karimi, G. Safety and Toxicity of Silymarin, the Major Constituent of Milk Thistle Extract: An Updated Review. Phyther. Res. 2019, 33, 1627–1638. [Google Scholar] [CrossRef]
- European Medicines Agency (EMA); Committee on Herbal Medicinal Products (HMPC). Final Assessment Report on Silybum marianum (L.) Gaertn., Fructus; Doc. Ref. EMA/HMPC/294188/2013; European Medicines Agency: Amsterdam, The Netherlands, 2018; Available online: https://www.ema.europa.eu/en/documents/herbal-report/final-assessment-report-silybum-marianum-l-gaertn-fructus_en.pdf (accessed on 19 October 2025).
- Bijak, M.; Synowiec, E.; Sitarek, P.; Sliwiński, T.; Saluk-Bijak, J. Evaluation of the Cytotoxicity and Genotoxicity of Flavonolignans in Different Cellular Models. Nutrients 2017, 9, 1356. [Google Scholar] [CrossRef]
- Pickova, D.; Ostry, V.; Toman, J.; Malir, F. Presence of Mycotoxins in Milk Thistle (Silybum marianum) Food Supplements: A Review. Toxins 2020, 12, 782. [Google Scholar] [CrossRef]
- Maaliah, M.S.; Haddadin, M.; Abdalla, S. Hypolipidemic and Hypoglycemic Effects of Silybum marianum (L.) Gaertn. (Milk Thistle) Ethanol Seed Extract in Streptozotocin-Induced Diabetes in Rats. Pharmacogn. Mag. 2024, 20, 841–852. [Google Scholar] [CrossRef]
- Kazazis, C.E.; Evangelopoulos, A.A.; Kollas, A.; Vallianou, N.G. The Therapeutic Potential of Milk Thistle in Diabetes. Rev. Diabet. Stud. 2014, 11, 167–174. [Google Scholar] [CrossRef]
- Lekmine, S.; Benslama, O.; Ola, M.S.; Touzout, N.; Moussa, H.; Tahraoui, H.; Hafsa, H.; Zhang, J.; Amrane, A. Preliminary Data on Silybum marianum Metabolites: Comprehensive Characterization, Antioxidant, Antidiabetic, Antimicrobial Activities, LC-MS/MS Profiling, and Predicted ADMET Analysis. Metabolites 2025, 15, 13. [Google Scholar] [CrossRef] [PubMed]
- Rysava, A.; Valentova, K.; Cizkova, K.; Vostalova, J.; Zalesak, B.; Rajnochova Svobodova, A. Potential of Silymarin and Its Polyphenols to Affect Nrf2 Signalling Pathway in Human Skin Cells. Biomed. Pap. Med. Fac. Univ. Palacky Olomouc Czech Repub. 2025, 169, 1–10. [Google Scholar] [CrossRef] [PubMed]
- Xu, F.; Yang, J.; Negishi, H.; Sun, Y.; Li, D.; Zhang, X.; Hayashi, T.; Gao, M.; Ikeda, K.; Ikejima, T. Silibinin Decreases Hepatic Glucose Production through the Activation of Gut-Brain-Liver Axis in Diabetic Rats. Food Funct. 2018, 9, 4926–4935. [Google Scholar] [CrossRef] [PubMed]
- Zhang, Y.; Hai, J.; Cao, M.; Zhang, Y.; Pei, S.; Wang, J.; Zhang, Q. Silibinin Ameliorates Steatosis and Insulin Resistance during Non-Alcoholic Fatty Liver Disease Development Partly through Targeting IRS-1/PI3K/Akt Pathway. Int. Immunopharmacol. 2013, 17, 714–720. [Google Scholar] [CrossRef]
- Gu, M.; Zhao, P.; Huang, J.; Zhao, Y.; Wang, Y.; Li, Y.; Li, Y.; Fan, S.; Ma, Y.M.; Tong, Q.; et al. Silymarin Ameliorates Metabolic Dysfunction Associated with Diet-Induced Obesity via Activation of Farnesyl X Receptor. Front. Pharmacol. 2016, 7, 345. [Google Scholar] [CrossRef]
- Borymska, W.; Zych, M.; Dudek, S.; Kaczmarczyk-Sedlak, I. Silymarin from Milk Thistle Fruits Counteracts Selected Pathological Changes in the Lenses of Type 1 Diabetic Rats. Nutrients 2022, 14, 1450. [Google Scholar] [CrossRef]
- Miranda, L.M.; Agostini, L.; Lima, W.; Camini, F.; Costa, D. Silymarin Attenuates Hepatic and Pancreatic Redox Imbalance Independent of Glycemic Regulation in the Alloxan-Induced Diabetic Rat Model. Biomed. Environ. Sci. 2020, 33, 690–700. [Google Scholar] [CrossRef]
- Wang, Y.; Yuan, A.J.; Wu, Y.J.; Wu, L.M.; Zhang, L. Silymarin in Cancer Therapy: Mechanisms of Action, Protective Roles in Chemotherapy-Induced Toxicity, and Nanoformulations. J. Funct. Foods 2023, 100, 105384. [Google Scholar] [CrossRef]
- Wang, X.; Zhang, Z.; Wu, S.C. Health Benefits of Silybum marianum: Phytochemistry, Pharmacology, and Applications. J. Agric. Food Chem. 2020, 68, 11644–11664. [Google Scholar] [CrossRef]
- Ebrahimpour-koujan, S.; Gargari, B.P.; Mobasseri, M.; Valizadeh, H.; Asghari-Jafarabadi, M. Lower Glycemic Indices and Lipid Profile among Type 2 Diabetes Mellitus Patients Who Received Novel Dose of Silybum marianum (L.) Gaertn. (Silymarin) Extract Supplement: A Triple-Blinded Randomized Controlled Clinical Trial. Phytomedicine 2018, 44, 39–44. [Google Scholar] [CrossRef]
- Tuorkey, M.J.; El-Desouki, N.I.; Kamel, R.A. Cytoprotective Effect of Silymarin against Diabetes-Induced Cardiomyocyte Apoptosis in Diabetic Rats. Biomed. Environ. Sci. 2015, 28, 36–43. [Google Scholar] [CrossRef] [PubMed]
- Rizzo, M.; Colletti, A.; Penson, P.E.; Katsiki, N.; Mikhailidis, D.P.; Toth, P.P.; Gouni-Berthold, I.; Mancini, J.; Marais, D.; Moriarty, P.; et al. Nutraceutical Approaches to Non-Alcoholic Fatty Liver Disease (NAFLD): A Position Paper from the International Lipid Expert Panel (ILEP). Pharmacol. Res. 2023, 189, 106679. [Google Scholar] [CrossRef] [PubMed]
- López-pérez, S.J.; Morales-villagrán, A.; Medina-ceja, L. Effect of Perinatal Asphyxia and Carbamazepine Treatment on Cortical Dopamine and DOPAC Levels. J. Biomed. Sci. 2015, 22, 14. [Google Scholar] [CrossRef]
- Abu-zaiton, A.S. Evaluating the Effect of Silybum marianum Extract on Blood Glucose, Liver and Kidney Functions in Diabetic Rats. Adv. Stud. Biol. 2013, 5, 447–454. [Google Scholar] [CrossRef]
- Lazebnik, L.B.; Golovanova, E.V.; Tarasova, L.V.; Krivosheev, A.B.; Sas, E.I.; Eremina, E.Y.; Trukhan, D.I.; Hlynova, O.V.; Tsyganova, Y.V.; Lazebnik, L.B.; et al. Adult Alcoholic Liver Disease. Exp. Clin. Gastroenterol. 2020, 174, 4–28. [Google Scholar] [CrossRef]
- Aghemo, A.; Alekseeva, O.P.; Angelico, F.; Bakulin, I.G.; Bakulina, N.V.; Bordin, D.; Bueverov, A.O.; Drapkina, O.M.; Gillessen, A.; Kagarmanova, E.M.; et al. Role of Silymarin as Antioxidant in Clinical Management of Chronic Liver Diseases: A Narrative Review. Ann. Med. 2022, 54, 1548–1560. [Google Scholar] [CrossRef]
- Iqbal, T.; Aslam, T.; Zulfiqar, S.; Faisal, N.; Rehman, A.U.; Aslam, S.; Rehman, R. Exploring Silybum marianum L. Seeds from Pakistan for Its Antibacterial, Antioxidant, Antidiabetic Activities, and Phytochemical Analysis. Nat. Prod. Res. 2025, 1–7. [Google Scholar] [CrossRef]
- Maghrani, M.; Zeggwagh, N.-A.; Lemhadri, A.; El Amraoui, M.; Michel, J.-B.; Eddouks, M. Study of the Hypoglycaemic Activity of Fraxinus Excelsior and Silybum marianum in an Animal Model of Type 1 Diabetes Mellitus. J. Ethnopharmacol. 2004, 91, 309–316. [Google Scholar] [CrossRef]
- Villiger, A.; Sala, F.; Suter, A.; Butterweck, V. In Vitro Inhibitory Potential of Cynara scolymus, Silybum marianum, Taraxacum officinale, and Peumus boldus on Key Enzymes Relevant to Metabolic Syndrome. Phytomedicine 2015, 22, 138–144. [Google Scholar] [CrossRef]
- Vessal, G.; Akmali, M.; Najafi, P.; Moein, M.; Sagheb, M. Silymarin and Milk Thistle Extract May Prevent the Progression of Diabetic Nephropathy in Streptozotocin-Induced Diabetic Rats. Ren. Fail. 2010, 32, 733–739. [Google Scholar] [CrossRef]
- Mohammadi, S.M.; Kianbakht, S.; Rezazadeh, S.; Ziaee, M.; Huseini, H.F. Clinical Efficacy of Silybum marianum Seed Extract in Treatment of Type 2 Diabetes Mellitus and Non-Alcoholic Fatty Liver Disease: A Narrative Review. J. Med. Plants 2020, 19, 12–26. [Google Scholar] [CrossRef]
- Khalili, N.; Fereydoonzadeh, R.; Mohtashami, R.; Mehrzadi, S.; Heydari, M.; Huseini, H.F. Silymarin, Olibanum, and Nettle, A Mixed Herbal Formulation in the Treatment of Type II Diabetes: A Randomized, Double-Blind, Placebo-Controlled, Clinical Trial. J. Evid.-Based Complement. Altern. Med. 2017, 22, 603–608. [Google Scholar] [CrossRef]
- Kasote, D.M.; Katyare, S.S.; Hegde, M.V.; Bae, H. Significance of Antioxidant Potential of Plants and Its Relevance to Therapeutic Applications. Int. J. Biol. Sci. 2015, 11, 982–991. [Google Scholar] [CrossRef] [PubMed]
- Surai, P.F. Silymarin as a Natural Antioxidant: An Overview of the Current Evidence and Perspectives. Antioxidants 2015, 4, 204–247. [Google Scholar] [CrossRef]
- Martinelli, T.; Andrzejewska, J.; Salis, M.; Sulas, L. Phenological Growth Stages of Silybum marianum According to the Extended BBCH Scale. Ann. Appl. Biol. 2015, 166, 53–66. [Google Scholar] [CrossRef]
- Oguntibeju, O.O. Type 2 Diabetes Mellitus, Oxidative Stress and Inflammation: Examining the Links. Int. J. Physiol. Pathophysiol. Pharmacol. 2019, 11, 45–63. [Google Scholar] [PubMed]
- Caturano, A.; D’Angelo, M.; Mormone, A.; Russo, V.; Mollica, M.P.; Salvatore, T.; Galiero, R.; Rinaldi, L.; Vetrano, E.; Marfella, R.; et al. Oxidative Stress in Type 2 Diabetes: Impacts from Pathogenesis to Lifestyle Modifications. Curr. Issues Mol. Biol. 2023, 45, 6651–6666. [Google Scholar] [CrossRef]
- Stolf, A.M.; Cardoso, C.C.; Acco, A. Effects of Silymarin on Diabetes Mellitus Complications: A Review. Phyther. Res. 2017, 31, 366–374. [Google Scholar] [CrossRef]
- Nasir, K.; Rubab, S.L.; Fatima, H.; Shamim, F.; Tawab, A.; Arshad, I.; Iqbal, R.; Parveen, S.; Saadia, M.; Abbasi, B.B.K.; et al. Exploring Antidiabetic Potential of Nigella Sativa and Silybum marianum Seed Extracts through Bioassay-Guided Alpha-Amylase Inhibition Activity and Characterization of Bioactive Fractions. Results Chem. 2025, 15, 102183. [Google Scholar] [CrossRef]
- Kumar, J.; Park, K.-C.; Awasthi, A.; Prasad, B. Silymarin Extends Lifespan and Reduces Proteotoxicity in C. Elegans Alzheimer’s Model. CNS Neurol. Disord.-Drug Targets 2015, 14, 295–302. [Google Scholar] [CrossRef]
- Qin, N.-B.; Jia, C.-C.; Xu, J.; Li, D.-H.; Xu, F.-X.; Bai, J.; Li, Z.-L.; Hua, H.-M. New Amides from Seeds of Silybum marianum with Potential Antioxidant and Antidiabetic Activities. Fitoterapia 2017, 119, 83–89. [Google Scholar] [CrossRef]
- Qin, N.; Sasaki, T.; Li, W.; Wang, J.; Zhang, X.; Li, D.; Li, Z.; Cheng, M.; Hua, H.; Koike, K. Identification of Flavonolignans from Silybum marianum Seeds as Allosteric Protein Tyrosine Phosphatase 1B Inhibitors. J. Enzym. Inhib. Med. Chem. 2018, 33, 1283–1291. [Google Scholar] [CrossRef]
- Salamone, F.; Galvano, F.; Marino, A.; Paternostro, C.; Tibullo, D.; Bucchieri, F.; Mangiameli, A.; Parola, M.; Bugianesi, E.; Li Volti, G. Silibinin Improves Hepatic and Myocardial Injury in Mice with Nonalcoholic Steatohepatitis. Dig. Liver Dis. 2012, 44, 334–342. [Google Scholar] [CrossRef] [PubMed]
- Taha, M.N.; Krawinkel, M.B.; Morlock, G.E. High-Performance Thin-Layer Chromatography Linked with (Bio)Assays and Mass Spectrometry-A Suited Method for Discovery and Quantification of Bioactive Components? Exemplarily Shown for Turmeric and Milk Thistle Extracts. J. Chromatogr. A 2015, 1394, 137–147. [Google Scholar] [CrossRef] [PubMed]
- Cheng, B.; Gong, H.; Li, X.; Sun, Y.; Zhang, X.; Chen, H.; Liu, X.; Zheng, L.; Huang, K. Silibinin Inhibits the Toxic Aggregation of Human Islet Amyloid Polypeptide. Biochem. Biophys. Res. Commun. 2012, 419, 495–499. [Google Scholar] [CrossRef] [PubMed]
- El-Sapagh, S.; Allam, N.G.; El-Sayed, M.N.E.D.; El-Hefnawy, A.A.; Korbecka-Glinka, G.; Shala, A.Y. Effects of Silybum marianum L. Seed Extracts on Multi Drug Resistant (MDR) Bacteria. Molecules 2024, 29, 64. [Google Scholar] [CrossRef]
- Amirghofran, Z.; Azadbakht, M.; Karimi, M. Evaluation of the Immunomodulatory Effect of Five Herbal Plants. J. Ethnopharmacol. 2000, 72, 167–172. [Google Scholar] [CrossRef]
- Wilasrusmee, C.; Kittur, S.; Shah, G.; Siddiqui, J.; Bruch, D.; Wilasrusmee, S.; Kittur, D.S. Immunostimulatory Effect of Silybum marianum (Milk Thistle) Extract. Med. Sci. Monit. Int. Med. J. Exp. Clin. Res. 2002, 8, 439–444. [Google Scholar]
- Kurkin, V.A. Antioxidant Activity of Silybin and 2,3-Dehydrosilybin from Silybum marianum (L). Gaertn. Fruits. J. Pharmacogn. Phytochem. 2016, 5, 256–259. [Google Scholar]
- Filippopoulou, K.; Papaevgeniou, N.; Lefaki, M.; Paraskevopoulou, A.; Biedermann, D.; Křen, V.; Chondrogianni, N. 2,3-Dehydrosilybin A/B as a pro-Longevity and Anti-Aggregation Compound. Free Radic. Biol. Med. 2017, 103, 256–267. [Google Scholar] [CrossRef]
- Ung, L.; Le, Q.-U.; Lay, H.-L.; Wu, M.-C.; Kumar Joshi, R.; Ming-Chang Wu, C. Phytoconstituents and Pharmacological Activities of Silybum marianum (Milk Thistle): A Critical Review. Am. J. Essent. Oils Nat. Prod. 2018, 6, 41–47. [Google Scholar]
- Tahmasbi, Z.; Boroughani, M.; Heidari, M.M.; Namvar, E.; Hashempur, M.H.; Faraji, S.N.; Nazarpour-Servak, M.; Heydari, M. Potential Therapeutic Effects of Milk Thistle (Silybum marianum) in Eye Diseases, a Scoping Review. Discov. Appl. Sci. 2025, 7, 17. [Google Scholar] [CrossRef]
- Ahmed, A.; Matlint, S.A.; Ohb, U.K. Awed of the Flowers. Phytochemistry 1989, 28, 1751–1753. [Google Scholar] [CrossRef]
- van de Venter, M.; Roux, S.; Bungu, L.C.; Louw, J.; Crouch, N.R.; Grace, O.M.; Maharaj, V.; Pillay, P.; Sewnarian, P.; Bhagwandin, N.; et al. Antidiabetic Screening and Scoring of 11 Plants Traditionally Used in South Africa. J. Ethnopharmacol. 2008, 119, 81–86. [Google Scholar] [CrossRef] [PubMed]
- Venter, F.; Venter, J. Making the Most of Indigenous Trees; Briza Publications: Pretoria, South Africa, 1996. [Google Scholar]
- Maroyi, A. Brachylaena Elliptica and B. Ilicifolia (Asteraceae): A Comparative Analysis of Their Ethnomedicinal Uses, Phytochemistry and Biological Activities. J. Pharm. Nutr. Sci. 2020, 10, 223–229. [Google Scholar] [CrossRef]
- Beentje, H.J. The Genus Brachylaena (Compositae: Mutisieae). Kew Bull. 2000, 55, 1. [Google Scholar] [CrossRef]
- Manning, J.; Goldblatt, P. Hyacinthaceae. In Plants of Southern Africa: An Annotated Checklist [4th Approach to the List of Species of Southern African Plants]; Germishuizen, G., Meyer, N.L., Eds.; National Botanical Institute: Lucknow, India, 2003; Volume 14, pp. 1054–1071. [Google Scholar]
- Van Wyk, B. Field Guide to Trees of Southern Africa; Penguin Random House South Africa: Johannesburg, South Africa, 2013. [Google Scholar]
- Maroyi, A. Traditional Use of Medicinal Plants in South-Central Zimbabwe: Review and Perspectives. J. Ethnobiol. Ethnomed. 2013, 9, 31. [Google Scholar] [CrossRef] [PubMed]
- Schmidt, E.; Lötter, M.C.; McCleland, W. Trees and Shrubs of Mpumalanga and Kruger National Park; Jacana Media: Johannesburg, South Africa, 2002. [Google Scholar]
- Williams, V.L.; Balkwill, K.; Witkowski, E.T.F. A Lexicon of Plants Traded in the Witwatersrand Umuthi Shops, South Africa. Bothalia 2001, 31, 71–98. [Google Scholar] [CrossRef]
- Sabiu, S.; Madende, M.; Ayokun-nun Ajao, A.; Adepemi Ogundeji, O.; Lekena, N.; Adekunle Alayande, K. The Scope of Phytotherapy in Southern African Antidiabetic Healthcare. Trans. R. Soc. S. Afr. 2019, 74, 1–18. [Google Scholar] [CrossRef]
- Strothmann, A.L.; Berne, M.E.A.; Capella, G.d.A.; de Moura, M.Q.; da Silva Terto, W.D.; da Costa, C.M.; Pinheiro, N.B. Antiparasitic Treatment Using Herbs and Spices: A Review of the Literature of the Phytotherapy. Braz. J. Vet. Med. 2022, 44, e004722. [Google Scholar] [CrossRef]
- Odeyemi, S.; Bradley, G. Medicinal Plants Used for the Traditional Management of Diabetes in the Eastern Cape, South Africa: Pharmacology and Toxicology. Molecules 2018, 23, 2759. [Google Scholar] [CrossRef] [PubMed]
- Mellem, J.J.; Baijnath, H.; Odhav, B. Effect of the Methanolic Extract of Brachylaena Discolor in a Streptozotocin-Induced Diabetic Rat Model. Afr. J. Pharm. Pharmacol. 2013, 7, 636–642. [Google Scholar] [CrossRef]
- Monjane, J.A.; Capusiri, D.; Giménez, A.; Sterner, O. Leishmanicidal Activity of Onopordopicrin Isolated from the Leaves of Brachylaena Discolor. Trop. J. Nat. Prod. Res. 2018, 2, 328–331. [Google Scholar] [CrossRef]
- De Wet, H.; Nciki, S.; van Vuuren, S.F. Medicinal Plants Used for the Treatment of Various Skin Disorders by a Rural Community in Northern Maputaland, South Africa. J. Ethnobiol. Ethnomed. 2013, 9, 51. [Google Scholar] [CrossRef] [PubMed]
- Bohlmann, F.; Zdero, C. Sesquiterpene Lactones from Brachylaena Species. Phytochemistry 1982, 21, 647–651. [Google Scholar] [CrossRef]
- Adam, S.A.E. Isolation and Identification of Antidiabetic Compounds from Brachylaena Discolor DC. Ph.D. Thesis, University of KwaZulu-Natal, Pietermaritzburg, South Africa, 2017. [Google Scholar]
- Semenya, S.; Maroyi, A.; Potgieter, M.; Erasmus, L. Herbal Medicines Used by Bapedi Traditional Healers to Treat Reproductive Ailments in the Limpopo Province, South Africa. Afr. J. Tradit. Complement. Altern. Med. 2013, 10, 331–339. [Google Scholar] [CrossRef]
- Nair, S.A.; Sabulal, B.; Radhika, J.; Arunkumar, R.; Subramoniam, A. Promising Anti-Diabetes Mellitus Activity in Rats of β-Amyrin Palmitate Isolated from Hemidesmus Indicus Roots. Eur. J. Pharmacol. 2014, 734, 77–82. [Google Scholar] [CrossRef]
- Santos, F.A.; Frota, J.T.; Arruda, B.R.; De Melo, T.S.; Da Silva, A.A.D.C.A.; Brito, G.A.D.C.; Chaves, M.H.; Rao, V.S. Antihyperglycemic and Hypolipidemic Effects of α,β-Amyrin, a Triterpenoid Mixture from Protium Heptaphyllum in Mice. Lipids Health Dis. 2012, 11, 98. [Google Scholar] [CrossRef]
- Xu, W.; Zhang, H.; Zhang, Q.; Xu, J. β-Amyrin Ameliorates Diabetic Nephropathy in Mice and Regulates the MiR-181b-5p/HMGB2 Axis in High Glucose-Stimulated HK-2 Cells. Environ. Toxicol. 2022, 37, 637–649. [Google Scholar] [CrossRef] [PubMed]
- Duc Viet, T.; Hoang Anh, L.; Dang Xuan, T.; Duy Dong, N. The Pharmaceutical Potential of α- and β-Amyrins. Nutraceuticals 2025, 5, 21. [Google Scholar] [CrossRef]
- Ngenge Tamfu, A.; Mfifen Munvera, A.; Veronica Dediu Botezatu, A.; Talla, E.; Ceylan, O.; Tagatsing Fotsing, M.; Tanyi Mbafor, J.; Shaheen, F.; Mihaela Dinica, R. Synthesis of Benzoyl Esters of β-Amyrin and Lupeol and Evaluation of Their Antibiofilm and Antidiabetic Activities. Results Chem. 2022, 4, 100322. [Google Scholar] [CrossRef]
- Thirupathi, A.; Silveira, P.C.; Nesi, R.T.; Pinho, R.A. β-Amyrin, a Pentacyclic Triterpene, Exhibits Anti-Fibrotic, Anti-Inflammatory, and Anti-Apoptotic Effects on Dimethyl Nitrosamine-Induced Hepatic Fibrosis in Male Rats. Hum. Exp. Toxicol. 2017, 36, 113–122. [Google Scholar] [CrossRef] [PubMed]
- Maroyi, A. Medicinal Uses of the Asteraceae Family in Zimbabwe: A Historical and Ecological Perspective. Ethnobot. Res. Appl. 2023, 25, 1–30. [Google Scholar] [CrossRef]
- Mellem, J.; Baijnath, H.; Odhav, B. Antidiabetic Potential of Brachzylaena Discolor. Afr. J. Tradit. Complement. Altern. Med. 2015, 12, 38–44. [Google Scholar] [CrossRef][Green Version]
- Mtshali, S.N. Identification of Triterpenoids in Brachylaena Discolor DC, a Plant with Antidiabetic Activity. Ph.D. Thesis, University of KwaZulu-Natal, Pietermaritzburg, South Africa, 2019. [Google Scholar]
- Dikhoba, P.M.; Mongalo, N.I.; Elgorashi, E.E.; Makhafola, T.J. Antifungal and Anti-Mycotoxigenic Activity of Selected South African Medicinal Plants Species. Heliyon 2019, 5, e02668. [Google Scholar] [CrossRef]
- Khoza, N.; Dukhan, S.; Ramalepe, P.; Risenga, I. Medicinal Plants Used to Treat Maternal and Paediatric Health Related Ailments in the Nkomazi Local Municipality, Mpumalanga Province, South Africa. Ethnobot. Res. Appl. 2023, 26, 1–16. [Google Scholar] [CrossRef]
- Holanda Pinto, S.A.; Pinto, L.M.S.; Cunha, G.M.A.; Chaves, M.H.; Santos, F.A.; Rao, V.S. Anti-Inflammatory Effect of α, β-Amyrin, a Pentacyclic Triterpene from Protium Heptaphyllum in Rat Model of Acute Periodontitis. Inflammopharmacology 2008, 16, 48–52. [Google Scholar] [CrossRef]
- Han, G.; Lee, D.G. Antibacterial Mode of Action of β-Amyrin Promotes Apoptosis-Like Death in Escherichia Coli by Producing Reactive Oxygen Species. J. Microbiol. Biotechnol. 2022, 32, 1547–1552. [Google Scholar] [CrossRef]
- Wu, J.; Sun, J.; Liu, M.; Zhang, X.; Kong, L.; Ma, L.; Jiang, S.; Liu, X.; Ma, W. Botany, Traditional Use, Phytochemistry, Pharmacology and Quality Control of Taraxaci Herba: Comprehensive Review. Pharmaceuticals 2024, 17, 1113. [Google Scholar] [CrossRef] [PubMed]
- Jiao, F.; Tan, Z.; Yu, Z.; Zhou, B.; Meng, L.; Shi, X. The Phytochemical and Pharmacological Profile of Taraxasterol. Front. Pharmacol. 2022, 13, 927365. [Google Scholar] [CrossRef]
- Gupta, R.; Sharma, A.K.; Sharma, M.C.; Dobhal, M.P.; Gupta, R.S. Evaluation of Antidiabetic and Antioxidant Potential of Lupeol in Experimental Hyperglycaemia. Nat. Prod. Res. 2012, 26, 1125–1129. [Google Scholar] [CrossRef] [PubMed]
- Kahksha; Alam, O.; Al-Keridis, L.A.; Khan, J.; Naaz, S.; Alam, A.; Ashraf, S.A.; Alshammari, N.; Adnan, M.; Beg, M.A. Evaluation of Antidiabetic Effect of Luteolin in STZ Induced Diabetic Rats: Molecular Docking, Molecular Dynamics, In Vitro and In Vivo Studies. J. Funct. Biomater. 2023, 14, 126. [Google Scholar] [CrossRef]
- Monjane, J.A. Secondary Metabolites from Mozambican Plants Isolation and Characterization; Lund University: Lund, Sweden, 2017; ISBN 9789174225549. [Google Scholar]
- De Pablos, R.M.; Espinosa-oliva, A.M.; Hornedo-ortega, R.; Cano, M.; Arguelles, S. Hydroxytyrosol Protects from Aging Process via AMPK and Autophagy; a Review of Its Effects on Cancer, Metabolic Syndrome, Osteoporosis, Immune-Mediated and Neurodegenerative Diseases. Pharmacol. Res. 2019, 143, 58–72. [Google Scholar] [CrossRef]
- Espíndola, K.M.M.; Ferreira, R.G.; Narvaez, L.E.M.; Silva Rosario, A.C.R.; da Silva, A.H.M.; Silva, A.G.B.; Vieira, A.P.O.; Monteiro, M.C. Chemical and Pharmacological Aspects of Caffeic Acid and Its Activity in Hepatocarcinoma. Front. Oncol. 2019, 9, 541. [Google Scholar] [CrossRef]
- Bertelli, M.; Kiani, A.K.; Paolacci, S.; Manara, E.; Kurti, D.; Dhuli, K.; Bushati, V.; Miertus, J.; Pangallo, D.; Baglivo, M.; et al. Hydroxytyrosol: A Natural Compound with Promising Pharmacological Activities. J. Biotechnol. 2020, 309, 29–33. [Google Scholar] [CrossRef] [PubMed]
- Wu, S.; Ai, W.; Nie, L.; Lu, X. Antidiabetic Activity of Eupafolin through Peroxisome Proliferator-Activated Receptor-Gamma and PI3K/Akt Signaling in Type 2 Diabetic Rats. J. Biochem. Mol. Toxicol. 2023, 37, e23463. [Google Scholar] [CrossRef]
- El Menyiy, N.; Aboulaghras, S.; Bakrim, S.; Moubachir, R.; Taha, D.; Khalid, A.; Abdalla, A.N.; Algarni, A.S.; Hermansyah, A.; Ming, L.C.; et al. Genkwanin: An Emerging Natural Compound with Multifaceted Pharmacological Effects. Biomed. Pharmacother. 2023, 165, 115159. [Google Scholar] [CrossRef] [PubMed]
- Al-Ishaq, R.K.; Abotaleb, M.; Kubatka, P.; Kajo, K.; Büsselberg, D. Flavonoids and Their Anti-Diabetic Effects: Cellular Mechanisms and Effects to Improve Blood Sugar Levels. Biomolecules 2019, 9, 430. [Google Scholar] [CrossRef] [PubMed]
- Yang, D.; Wang, T.; Long, M.; Li, P. Quercetin: Its Main Pharmacological Activity and Potential Application in Clinical Medicine. Oxidative Med. Cell. Longev. 2020, 2020, 8825387. [Google Scholar] [CrossRef] [PubMed]




Disclaimer/Publisher’s Note: The statements, opinions and data contained in all publications are solely those of the individual author(s) and contributor(s) and not of MDPI and/or the editor(s). MDPI and/or the editor(s) disclaim responsibility for any injury to people or property resulting from any ideas, methods, instructions or products referred to in the content. |
© 2025 by the authors. Licensee MDPI, Basel, Switzerland. This article is an open access article distributed under the terms and conditions of the Creative Commons Attribution (CC BY) license (https://creativecommons.org/licenses/by/4.0/).
Share and Cite
Ayeni, E.A.; Afolayan, A.J. Antidiabetic Potential of Silybum marianum (L.) Gaertn. and Brachylaena discolor DC (Asteraceae) in the Management of Type 2 Diabetes Mellitus. Plants 2025, 14, 3267. https://doi.org/10.3390/plants14213267
Ayeni EA, Afolayan AJ. Antidiabetic Potential of Silybum marianum (L.) Gaertn. and Brachylaena discolor DC (Asteraceae) in the Management of Type 2 Diabetes Mellitus. Plants. 2025; 14(21):3267. https://doi.org/10.3390/plants14213267
Chicago/Turabian StyleAyeni, Emmanuel A., and Anthony J. Afolayan. 2025. "Antidiabetic Potential of Silybum marianum (L.) Gaertn. and Brachylaena discolor DC (Asteraceae) in the Management of Type 2 Diabetes Mellitus" Plants 14, no. 21: 3267. https://doi.org/10.3390/plants14213267
APA StyleAyeni, E. A., & Afolayan, A. J. (2025). Antidiabetic Potential of Silybum marianum (L.) Gaertn. and Brachylaena discolor DC (Asteraceae) in the Management of Type 2 Diabetes Mellitus. Plants, 14(21), 3267. https://doi.org/10.3390/plants14213267
