Next Article in Journal
Transcriptomic Profiling Unravels the Molecular Mechanisms of GmCML-Mediated Resistance to Fusarium oxysporum in Soybean
Previous Article in Journal
Enhanced Detection of Algal Leaf Spot, Tea Brown Blight, and Tea Grey Blight Diseases Using YOLOv5 Bi-HIC Model with Instance and Context Information
Previous Article in Special Issue
Regulatory Mechanisms of Tannins on the Decomposition Rate of Mixed Leaf Litter in Submerged Environments
 
 
Font Type:
Arial Georgia Verdana
Font Size:
Aa Aa Aa
Line Spacing:
Column Width:
Background:
Systematic Review

Responses and Controlling Factors of the Litter Decay Rate to Nitrogen Addition Across Global Forests: A Meta-Analysis

1
China West Normal University, Nanchong 637009, China
2
Sichuan Provincial Engineering Laboratory of Monitoring and Control for Soil Erosion in Dry Valleys, School of Geographical Sciences, China West Normal University, Nanchong 637009, China
3
Key Laboratory of Plant-Soil Interactions, College of Resources and Environmental Sciences, National Academy of Agriculture Green Development, Ministry of Education, National Observation and Research Station of Agriculture Green Development (Quzhou, Hebei), China Agricultural University, Beijing 100193, China
*
Author to whom correspondence should be addressed.
Plants 2025, 14(20), 3221; https://doi.org/10.3390/plants14203221
Submission received: 11 September 2025 / Revised: 5 October 2025 / Accepted: 16 October 2025 / Published: 20 October 2025

Abstract

Plant litter decay is an essential process for recycling C and nutrients in natural ecosystems. However, the impacts of N addition on litter decay are not well understood in global forest ecosystems. Therefore, a meta-analysis was used to examine how N addition affects the litter decay rate through three kinds of litter decay traits (i.e., common litter trait (litter collected from control plot is decomposed in N addition plots); common site trait (litter collected from N addition plots is decomposed in control plot); and in situ trait (litter collected from control and N addition plots is decomposed in situ)), based on 1145 field observations from 166 published studies on global forests. Nitrogen addition significantly reduced the litter decay rate by 3.92% across the three kinds of decay traits. However, there were different responses of the litter decay rate to N addition among the decay traits. The N addition notably inhibited litter decay by 5.99% for the common litter trait but consistently promoted it by 8.37% and 7.48% for common soil and situ traits, respectively. The magnitude and direction of such effects varied with the N addition amount, form and duration. The effect size of the litter decay rate due to N addition was negatively related to the initial N concentration and C:N ratio for the common litter trait. The N concentration in litter was raised by N addition, resulting in an increase in the litter decay rate for the common situ trait. For the situ trait, N addition increased N concentration and reduced C:N and lignin/N in litter, resulting in an increase in the decay rate, and the responses of the litter decay rate to N addition were also influenced by the humidity index. Overall, our results showed that the responses of the litter decay rate to N addition were different among the three kinds of decay traits and were controlled by environmental and experimental factors. These findings help us to better understand the effects of N addition on biogeochemical cycling in global forest ecosystems.

1. Introduction

Litter decay is pivotal in the primary supply of nutrients for plants in terrestrial ecosystems [1,2]. As well-proven in numerous studies, litter quality and soil decomposers regulate this process locally [3,4,5]. Nitrogen (N) addition significantly altered litter quality [6], soil microbe and enzyme activities [7,8,9], and soil fauna [10,11,12], and these changes would have a substantive impact on litter decay [13]. In the past century, human activity has significantly altered the Earth’s N cycle and accelerated reactive N emissions up to 92.7 Tg of N in 2020 [14]. Therefore, a comprehensive understanding of N addition effects on litter decay is vital for forecasting the influences of increments in N deposition on forest ecosystem structure and function.
Despite numerous studies of N effects on forest litter decay, the results vary greatly. Some studies found that N addition repressed the litter decay rate [15,16,17,18], while some reported negligible effects [16,19] or increases in the decay rate under N addition [20] in forest ecosystems. These contrasting responses of litter decay to N addition may result from differences in measuring decay traits. There are three common ways to examine the influence of N addition on litter decay [18]. Firstly, litter collected from the plots without N addition is decomposed into those with N addition (i.e., common litter trait), mainly used to explore N addition effects on litter decay via the impact on soil microbial characteristics or the soil environment [18]. Secondly, control plots are utilized to decompose litter acquired from N addition plots (i.e., common situ trait), which mainly examines the N addition effect on litter decay via effects on litter quality [18]. Thirdly, litter from each N addition plot was decomposed in the soil from the same treatment plot (also known as situ trait), which examines the effect of N addition on litter decay by means of the comprehensive effect on litter quality and soil microbial properties [18].
Litter decay is a complex procedure involving both biotic and abiotic processes [5]. On a global scale, there is a significant positive correlation between the rate of leaf litter and the annual mean temperature (MAT) as well as the annual mean precipitation (MAP) [21,22]. Therefore, MAP and MAT could influence the N effect on the litter decay rate. Studies have shown that N addition effects on soil microbial biomass, soil enzyme activity, and the composition of soil microbes and fauna are correlated with the amount, form, and duration of N addition [7,8,9,10]. Therefore, for the common litter trait, N addition is likely to exert variable effects on the litter decay rate with N addition amount [23], as well as the form and duration of N addition [24]. In addition, the decay rate is affected by N addition altering litter quality [18]. Generally, N addition enhances litter N concentrations while reducing litter C:N and lignin/N ratios [13,18], thereby potentially promoting decay because of the positive correlation between the litter decay rate and N and C:N in litter [22,25]. Therefore, we infer that N addition could promote litter decay due to improved litter quality for the common soil trait [18,26]. Nevertheless, the two traits may not truly reflect the effect of N addition on litter decay because it affected both litter quality and decomposers. Hence, the situ trait could be more realistic, which means that the N addition effects on litter decay are more complex and increases the uncertainties due to interactions among litter quality, soil nutrients, and decomposers [27,28]. The net effect of N on decay depends on the trade-offs among soil organism activity, soil nutrient conditions, and litter quality improvement [18,29]. Several meta-analyses have examined the effect of N addition on forest litter decay, showing both negative [23,24,25,30] and positive results [23,25], but they have not separated the three kinds of litter decay traits, increasing the uncertainty of the assessment results. Despite Wu et al. (2023) [13] reporting that N addition differently influenced the decay rate in the three kinds of litter decay traits, its effects on global forest litter decay rates remain unclear. Therefore, it is necessary to separate these three traits to evaluate N addition for its performance in influencing litter decay separately using a particular ecosystem.
The global forest area is approximately 4.06 billion hectares, accounting for 30.8% of the land area and representing a carbon stock of 870 ± 61 Pg C in 2020 [31]. It is highly sensitive to atmospheric N deposition, and even a slight change in the rate of organic matter decay could have a profound impact on global C balance and cycling [32]. Such ecosystems offer a unique platform to quantify the impact of N on litter decay because this has been examined in numerous studies using multiple N-level traits [15,16,19]. In this paper, we aimed to clarify the role of N addition on litter decay considering both direction (i.e., increase or decrease) and magnitude and to explore the factors influencing the litter decay rate in response to N addition among the three litter decay traits. We had the following three hypotheses: (I) N addition would inhibit the litter decay rate due to N-induced reductions in microbial biomass and activity in the common litter trait [7]; (II) N addition would promote the litter decay rate due to N-induced improvements in litter quality in the common soil trait [13]; and (III) N addition would have a minor impact on the litter decay rate in situ trait because it depends on the trade-off between the improvement of litter quality promoting decay and the decrease in microbial activity inhibiting decay. To test these hypotheses, a database of 166 publications including 1145 observations was compiled on litter decay in global forests. In addition, we focused on experimental (amount, form, duration of N addition, decay time, and litter quality) and environmental factors (MAT and MAP) affecting litter decay with N addition.

2. Results

2.1. N Addition Overall Effect on Litter Decay Rate

All data in this meta-analysis met the normality criteria (Figure 1a–d). The N addition significantly reduced the rate of global forest litter decay by 3.92% [the data showed positive (434), neutral (14), and negative (697) effects], with 60% of the datasets showing a negative effect on the decay rate (Figure 1a and Figure 2). Specifically, N addition for the common litter trait markedly slowed the decay rate by 5.99% (95% CI: 2.06–2.48%, n = 1014) (Figure 1b and Figure 2). Similarly, for common situ and situ traits, N addition markedly promoted the litter decay rate by 8.37% (95% CI: 5.45–5.75%, n = 25) and 7.48% (95% CI: 7.06–7.11%, n = 105), respectively (Figure 1c,d and Figure 2). The N addition also had different effects on leaf, twig, and root decay rates, with negative effects on leaves and roots and neutral effects on twigs. In addition, comparing the results with the previous meta-analysis, N addition consistently had a negative impact on litter decay across all trait types and for the common litter decay trait but tended to promote litter decay for common soil and situ traits (Figure 3).

2.2. Amount, Form, and Duration of N Addition Effect on Decay Rate

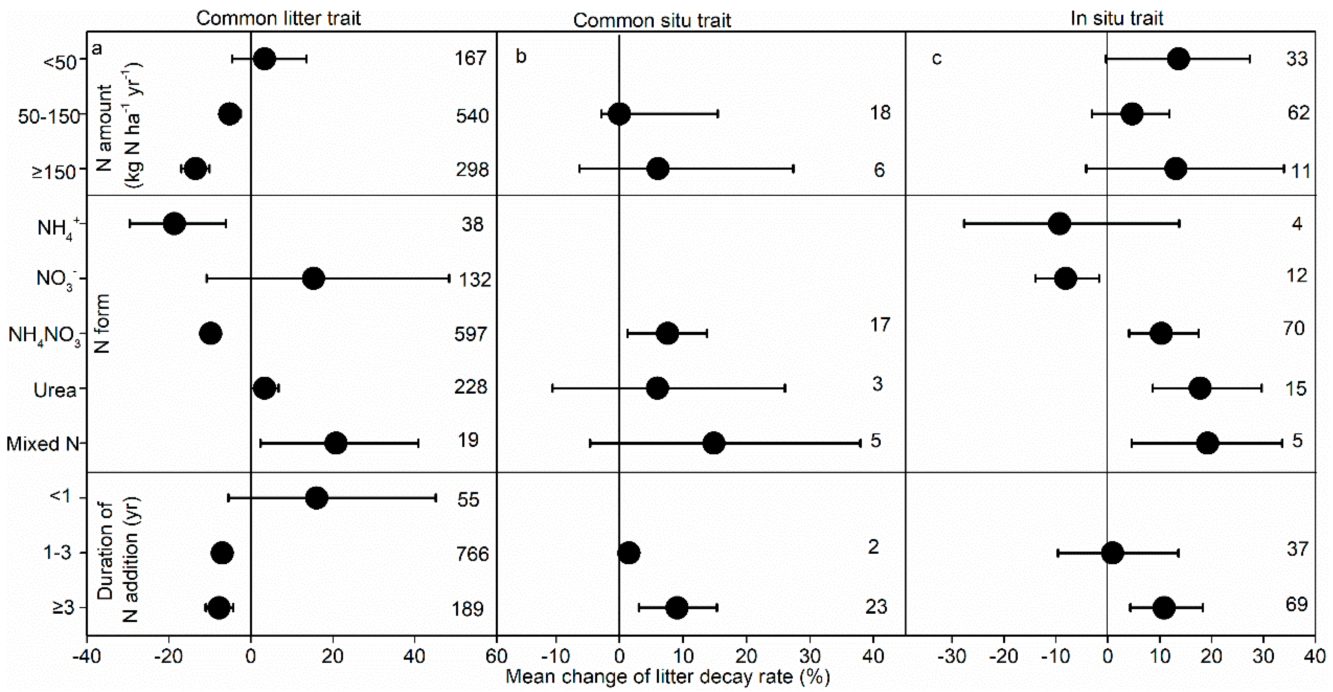
For the common litter trait, increasing the N addition amount inhibited the litter decay rate (Figure 4a). However, raising the N addition amount did not markedly influence the decay rate for the common soil and situ traits (Figure 4b,c). The form of N addition significantly influenced N effects on litter decay. Specifically, NH4+ and NH4NO3 addition notably reduced the litter decay rate, but mixed N addition consistently promoted decay for the common litter trait (Figure 4a). For common soil and situ traits, NH4NO3 addition significantly enhanced the litter decay rate (Figure 4b,c); urea and mixed N addition notably enhanced the litter decay rate for the situ trait but did not significantly affect decay for the common soil trait. Also, the duration of N addition affected the litter decay rate (Figure 4); N addition for more than 1 yr increased the litter decay rate for the common litter trait, but long-term N addition (≥3 yr) consistently decreased decay in common soil and situ traits (Figure 4b,c).

2.3. Decay Time, Mesh Size, and Litter Type Influence N Effects on Litter Decay

The decay time significantly influenced the effect size on the litter decay rate of N addition (Figure 5). Short-term N addition (<1 yr) did not markedly influence litter decay for the three kinds of traits (Figure 5). Specifically, the negative effect of N influencing the decay rate was stronger for decay time ≥1 yr in the common litter trait (Figure 5a). N addition markedly enhanced the litter decay rate for a decay time of 2–3 yr in common soil and situ traits (Figure 5b,c) but notably decreased decay for the in situ trait with decay time ≥3 yr.
The mesh size of litterbags also influenced the N addition effect on decay (Figure 5). The N addition facilitated litter decay in litterbags of small size (<2 mm) only for the common litter trait but increased litter decay for litterbags of large size (≥2 mm) and 1–2 mm for common soil and in situ traits, respectively. In addition, litter type also affected the decay rate for the three traits. N addition consistently reduced the decay rate of leaves, twigs, and roots for the common litter trait (Figure 5a). N addition notably enhanced the leaf decay rate for the common soil trait (Figure 5b) and the twig decay rate for the situ trait (Figure 5c).

2.4. Humidity Index and Litter Quality Influence N Effects on Litter Decay

The MAP, MAT, and humidity index altered the effect size of the litter decay rate in regard to N addition (Figure S3 and Figure 6). For the situ trait, there was a positive relationship between the humidity index and the effect size of the decay rate, but effect size did not show any significant correlations with the humidity index in common litter and soil traits (Figure 6). N addition significantly enhanced litter N concentration, reduced C:N and lignin/N ratios (Figure S4), and influenced N effects on the decay rate (Figure 7). Specifically, as litter N concentration and the C:N ratio increased, the Ln RR decreased linearly for the common litter trait (Figure 7a,b). There was no marked correlation between Ln RR and lignin concentration and lignin/N (Figure 7c,d). Conversely, there was a positive relationship between the Ln RR–lignin and Ln RR–lignin/N and the Ln RR of the decay rate for the situ trait (Figure 7k,l) but not for the common soil trait (Figure 7g,h). There was no significant relationship between Ln RR and Ln RR-N (or LnRR-C:N) for common soil and situ traits (Figure 7e,f,i,j).

3. Discussion

Our meta-analysis investigated the impact of N addition on the litter decay rate using three kinds of litter decay traits in global forests. Across the three kinds of litter decay traits, N addition notably slowed the litter decay rate by 3.92%, consistent with previous meta-analysis about N influencing litter decay in regional and global forests [13,24,25]. In addition, our results clearly demonstrated that N addition differently influenced the litter decay rate among three kinds of traits. Specifically, N addition markedly slowed the litter decay rate by 5.99% for the common litter trait but markedly accelerated the litter decay rate by 8.37% and 7.48% for the common situ and situ traits, respectively (Figure 2b). These findings provide a comprehensive understanding of the impacts of N addition on the decay rate of global forest litter.

3.1. N Influencing Litter Decay Rate in Common Litter Trait

The litter decay rate was significantly reduced by N addition for the common litter trait (Figure 1 and Figure 2), supporting our first hypothesis. However, N addition did not always promote the decay rate for the common litter trait. Specifically, low N addition (<50 kg ha−1 yr−1) had a minimal effect on the litter decay rate (Figure 3a), and the low sensitivity of the litter decay rate under the condition of low N addition might be related to the insignificant influence of low N addition on the activity of soil decomposers [12]. However, medium and higher amounts significantly inhibited the litter decay rate, with more negative effects with N addition amounts, which might result from declines in abundance of microbes, which were more evident in studies with higher total amounts of N added [33]. N-induced soil acidification resulted in base cation loss, further leading to restricted microbial base cations as well as increased toxicity to microbes from manganese and aluminum ions (Mn2+ and Al3+) [34,35] and, finally, a decreased soil microbial biomass and decay rate.
The form and duration of N addition had marked impacts on the litter decay rate (Figure 3a). The addition of NH4NO3 and NH4+ consistently decreased the decay rate, while mixed N and urea addition increased it, partly consistent with the meta-analysis by Wu et al. (2023) [13]. Mixed N addition consistently enhanced soil hydrolase and oxidase activities [9], which might increase the litter decay rate. In most cases, soil enzyme activity is not equivalent to soil microbial activity, nor does it reflect the nutrient cycle [36]. The addition of N in mixed forms provided a wider N source growth range for microorganism decay [37], therefore enhancing the decay rate. Additionally, the inhibitory effects became stronger with an increasing duration of N addition and decay time, consistent with previous studies [13,25] because long-term N addition represses lignin-degrading metabolism and reduces litter lignin decay at the later stages [9,38,39], emphasizing the importance of investigating long-term decay traits.
The effect size of the litter decay rate was negatively correlated with initial N and C:N ratios for the common litter trait (Figure 7), which suggested that N addition may have stronger inhibitory effects for high-quality litter. The findings did not support the results of a previous study showing that N addition could stimulate the decay of high-quality litter but inhibit that of low-quality litter from forest ecosystems [38], which is possibly associated with the “microbial N mining” hypothesis [40]. This hypothesis states that some microbes decompose recalcitrant organic matter by virtue of labile C, thereby producing N. The addition of external N met the need for N of microbes and, subsequently, the resources required by the microbes for the decay of recalcitrant organic components would decrease. Under such a condition, it is estimated that N addition would have stronger negative effect on decay, especially for high-quality litter [40]. Zhang et al. (2016) [17] also found that N addition has a more significant negative impact on the decay of high-quality litter. However, our research did not find any correlation between the effect size of the decay rate and initial lignin content and the lignin/N ratio.

3.2. Influence of N on Litter Decay Rate in Common Situ and Situ Traits

For the common situ trait, N addition markedly increased the litter decay rate (Figure 2, n = 25), supporting our second hypothesis. We performed a thorough reanalysis of the previous results of Wu et al. (2023) [13], and this showed that N addition tended to promote the decay of forest litter for the common soil trait but did not reach a significant level, which was not consistent with our results. This difference might result from inconsistent sample sizes (Figure 3, n = 16). The increased litter decay rate resulted from a better litter quality owing to N addition [13]. Concentrations of litter N climbed with N addition, whereas C:N and lignin/N significantly decreased, so N addition improved litter quality (Figure S2). Generally, litter with high N levels shows more rapid decay than litter with low nutrient contents due to the stimulation of decomposer growth and activity from the high-quality litter [41,42]. However, improved litter quality does not always promote litter decay for the common soil trait [18], because it has been demonstrated that available nutrients in litter [e.g., calcium (Ca) and Mn, except for N] can influence the litter decay rate [43]. Both Ca and Mn are necessary for microorganism metabolism [44] and saprotrophic fungi also require these for generating lignolytic enzymes used in lignin decay [44]. However, due to the limited data, we cannot provide much discussion concerning the common soil decay trait.
Interestingly, N addition notably increased the litter decay rate (in situ trait, n = 106 observations from 24 studies) (Figure 2), which did not support our third hypothesis. For the situ trait, significant amelioration of litter quality was also detected (Figure S2), consistent with a previous meta-analysis showing that N addition markedly enhanced the litter decay rate by 4.66% [13]. Nonetheless, there is a lack of information on N addition affecting soil microbial-related data for situ litter decay traits, because only 6 of the 24 studies reported microbiome-related data, and the detection indicators and methods were inconsistent [18,45,46,47,48]. For example, Wang et al. (2024) found that N addition significantly decreased numbers of soil fauna across all sampling periods, which might have reduced the decay process involving soil fauna [49]. Additionally, N addition reduced lignolytic enzyme activity [18], and these changes would influence the decay process. Liu et al. (2010) [29] discovered that N addition raised the N concentration in litter and hence promoted litter decay through increasing substrate quality. Nevertheless, such an increase was counterbalanced by raised soil N content via its negative effect on soil microbial biomass and activity, so that the enhanced soil N availability had a diminished impact on in situ litter decay. The increased litter quality had positive effects that slightly exceeded the negative impacts of raised soil N, finally causing increased decay. However, Wei et al. (2022) [50] found that for all species and their mixture, the litter decay rate declined persistently with N addition in the situ decay trait in an alpine steppe. Although N addition increased the litter quality, the decreasing decay rate with higher N addition was attributable to attenuation of soil bacterial diversity and of UV radiation. Similarly, van Diepen et al. (2015) [18] found that high internal N, in combination with low Ca and Mn levels, exerted an inhibitory effect on lignolytic enzyme activity, further reinforcing the N-triggered repression for the situ decay trait. The above results suggested that the interactions of N addition, litter quality, and enzyme activity jointly influenced litter decay. Therefore, for the situ decay trait, the influence of N on the litter decay rate depends on the trade-off between the positive impact of N addition on decay due to improvements in litter quality and the negative impact on decay caused by reduced soil biological activity.
The effect size of the litter decay rate to N addition is positively correlated with the effect size of lignin concentration and lignin/N to N addition in the situ decay trait, which also further demonstrated that litter quality plays an important role in influencing the litter decay rate [21,22]. In addition, the humidity index was positively associated with the effect size of the litter decay rate regarding its response to N addition (Figure 6), indicating that the increase in the humidity index magnifies the positive effect of N addition on the litter decay rate. In moisture-limited ecosystems, particularly arid and semi-arid biomes, water constraints may supersede N controls in determining the decay rate due to the critical role of water in mediating microbial metabolic processes [5,51]. Our study suggested that the interaction between water and N plays a vital role in controlling the decay of global forest litter.

3.3. Limitation and Future Studies

Although our meta-analysis showed the influence of N addition on the decay rate of litter across global forest biomes, persistent uncertainties stem from fragmented data of the interactions among the decay rate, substrate quality, and soil biological factors. Firstly, most studies are mainly derived from forest ecosystems in the mid-lower latitudes of the Northern Hemisphere. The current findings require further verification in high-latitude ecosystems of the Northern Hemisphere (e.g., boreal forests or tundra), where distinct climatic and edaphic conditions may alter decay dynamics. Secondly, the compiled dataset included relatively few studies with the duration of N addition and decay exceeding 3 yr, meaning that the stage of complete litter decay was not reached [1,52,53]. Thirdly, despite rigorous data curation efforts, there were limited sample sizes for common soil and situ decay traits and special organs (e.g., root and stem litter). Therefore, it is strongly recommended that future studies should consider in situ decay over longer periods, particularly in the development of more intricate dual-pool models, and further analyses should combine the soil community composition and consider litter substrates of different organs, which are the most important contributors to variation in the decay rate, which will allow for the disentanglement of the mechanisms of the decay process. Furthermore, fine roots and stems in forests represent 11% and 48% of annual litter, respectively [54]. In addition, different factors influence the decay of root, stem, and leaf litter [42], so research on underground parts and stem litter decay should be strengthened. Other than N, it has been corroborated that availability of other nutrients (e.g., Ca, magnesium, and Mn) can influence litter decay [22,43], while N addition markedly affects litter macro- and micro-nutrients of metal ions in forest ecosystems [55,56,57]. Therefore, the influence of changes in these elements on litter decay should be investigated.

4. Materials and Methods

4.1. Collection of Data

The datasets from the China National Knowledge Infrastructure and Web of Science were retrieved using the following keywords to obtain 1145 observations plus 166 publications (Figure S1) (published from January 2000 to March 2025): “N fertilization” OR “N enrichment” OR “N input” OR “N deposition” OR “N addition” and “litter decomposition” OR “litter decay” OR “mass loss”. To avoid bias, we selected the articles using the following criteria: (1) the litterbag method was used to determine the litter decay trait; (2) data collection was conducted only on field N addition traits; (3) the single-pool exponential decay model [58] was utilized for the calculation of the decay rate (k value); (4) if investigations did not directly report the decay rate, reports were made on the percentage remaining or loss of litter mass at different time points (three at least) in the whole period—we used the single-pool exponential decay model to calculate the decay rate; and (5) only treatments with N addition and a control were chosen to acquire data for multifactorial studies for the purpose of preventing other factors from influencing the interaction. Web Plot Digitizer was employed to directly obtain or extract data from tables or graphs, respectively.
Geographical information [latitude and longitude (Figure S2), MAT and MAP], initial litter quality [N, C:N, lignin, and lignin/N], litter type (leaf, twig, and root) and trait type (common litter, common soil, and in situ) were recorded. The duration of N addition (<1, 1–3, and ≥3 yr), decay time (<1, 1–2, 2–3, and ≥3 yr), litterbag mesh size (<1, 1–2, and ≥2 mm), N addition form [ammonium (NH4+), nitrate (NO3), ammonium nitrate (NH4NO3), urea and mixed N (including organic and inorganic N added)], and amount (<50, 50–150, and ≥150 kg N ha−1 yr−1) were grouped mainly based on the work by Wu et al. (2023) [13] and Liu et al. (2024) [25].

4.2. Meta-Analysis

The N influence on the decay rate was examined using effect size determined as the natural log of the response ratio (RR) [59]:
ln R R = ln k t k c
where kt and kc correspond to the decay rate from N addition and without N addition treatments.
The sample size in each trait was selected for calculating a weighting factor (w) [60,61]:
w = n c n t n c + n t
where nc and nt are the sample repetitions for N addition and no N addition treatments, respectively.
If a study contributed multiple observations to the analysis, we proportionally adjusted the weighting factors based on the site-specific observation. The final weight (w′) was used [62]:
w = 1 w n
where n is the number of observations from one study.
The calculation of ln R R as the weighted effect size is as follows:
l n R R = w × ln R R
Finally, the formula below was applied to clarify how N addition influences the decay rate through the weighted effect size (lnRR++):
l n R R + + = l n R R i w i
where l n R R i and w i represent the l n R R and w of the ith observation, respectively.
MetaWin 3.0 was used for calculating the final weighted RR and 95% bootstrap confidence interval (CI) [63]. We used a random-effect model to establish all weighted RR calculations as well as categorical comparisons via MetaWin 3.0. A total of 9999 iterations were conducted to obtain the 95% bootstrap CI. If the condition of 95% bootstrap CI values failed to overlap zero, it was deemed as significant. Given the response of the litter decay rate to N addition relating to experimental and environmental factors (Wu et al., 2023) [13], we adopted a categorical random-effect model to examine the mean effect size of different groups among the environmental and experimental factors, and categorical groups were deemed to be significant differences when the 95% CI did not overlap with each other (Wu et al., 2023) [13]. In order to facilitate comparison, N-induced percentage change was calculated:
c h a n g e ( % ) = e l n R R + + 1 × 100
We used a Gaussian function to reflect variability among individual studies with the following function [64]:
y = α e x p x μ 2 2 σ 2
where x and y show the average RR and corresponding frequency in a single interval, respectively; α is the estimated RR value at x = µ; µ indicates the mean of the ln RR normal distribution; and σ2 denotes the corresponding variance.
Regression analyses were also used to determine the correlations between the effect size of the decay rate, environmental factors [MAP, MAT, and h u m i d i t y i n d e x = ( M A P M A T + 10 ) [24]], and the effect size of litter quality.

5. Conclusions

Our meta-analysis clearly showed different responses of the litter decay rate to N addition among three kinds of litter decay traits in global forest ecosystems. Nitrogen addition significantly reduced the litter decay rate for the common litter trait but promoted it in common situ and situ traits. Therefore, studies that only considered the effect of N addition on the litter decay rate via its effect on the soil environment or microbial properties and via its effect on litter quality might not be suitable to accurately assess the promoting effect of N on litter decay. The negative effect on the decay rate became stronger with longer durations and amounts of N addition for the common litter trait, while the positive effect on the decay rate became stronger with longer durations of N addition for the common litter and situ traits when decay time was <3 yr; however, the shift from promotion to inhibition occurred when the decay time was ≥3 yr only for the situ decay trait. In addition, the increase in the humidity index significantly amplified the positive impact of N on litter decay only for the situ trait. These findings suggested that experimental (N form, litter decay time, duration, and litter quality) and environmental (MAT, MAP) factors also regulated the effect of N on litter decay. However, due to data limitations for the situ trait, we were unable to analyze the mechanism of N addition by taking advantage of its comprehensive impacts on litter soil microbial properties to influence litter decay. Therefore, long-term situ decay traits are required to accurately evaluate litter decay in response to increasing N deposition.

Supplementary Materials

The following supporting information can be downloaded at: https://www.mdpi.com/article/10.3390/plants14203221/s1, Figure S1. PRISMA 2020 standards for study selection in this meta-analysis. Figure S2. Distribution of N addition traits included in this meta-analysis in global forests. Figure S3. N addition effect on litter quality in common soil traits and in situ decay trait. Figure S4. Relationships between effect size of litter decay rate (ln RR) and MAT (a) and MAP (B) in the three kinds of decay trait.

Author Contributions

Conceptualization, L.F.; methodology, L.F.; software, L.F.; validation, L.F., formal analysis, L.F.; investigation, L.F.; resources, L.F.; data curation, L.F.; writing—original draft preparation, L.F.; writing—review and editing, W.W. and Y.S.; visualization, W.W. and Y.S.; supervision, X.L.; project administration, W.W. and Y.S.; funding acquisition, Y.S. All authors have read and agreed to the published version of the manuscript.

Funding

This study was supported by the National Natural Science Foundation of China (32371670, 42171045), the doctoral research program of China West Normal University (24kE002), and the Basic Research Program of Shanxi Province (202303021212084).

Data Availability Statement

The original contributions presented in this study are included in the article/Supplementary Material. Further inquiries can be directed to the corresponding author.

Acknowledgments

We thank all the researchers whose published data and work were included in this study.

Conflicts of Interest

The authors declare no conflicts of interest.

References

  1. Parton, W.; Silver, W.L.; Burke, I.C.; Grassens, L.; Harmon, M.E.; Currie, W.S.; King, J.Y.; Adair, E.C.; Brandt, L.A.; Hart, S.C.; et al. Global-scale similarities in nitrogen release patterns during long-term decomposition. Science 2007, 315, 361–364. [Google Scholar] [CrossRef]
  2. Spohn, M.; Berg, B. Import and release of nutrients during the first five years of plant litter decomposition. Soil Biol. Biochem. 2023, 176, 108878. [Google Scholar] [CrossRef]
  3. Veen, G.F.C.; Freschet, G.T.; Ordonez, A.; Wardle, D.A. Litter quality and environmental controls of home-field advantage effects on litter decomposition. Oikos 2015, 124, 187–195. [Google Scholar] [CrossRef]
  4. Bradford, M.A.; Berg, B.; Maynard, D.S.; Wieder, W.R.; Wood, S.A.; Cornwell, W. Understanding the dominant controls on litter decomposition. J. Ecol. 2016, 104, 229–238. [Google Scholar] [CrossRef]
  5. Zhao, Y.D.; Lu, N.; Shi, H.; Huang, J.B.; Fu, B.J. Patterns and driving factors of litter decomposition rates in global dryland ecosystems. Glob. Change Biol. 2025, 31, e70025. [Google Scholar] [CrossRef]
  6. You, C.M.; Wu, F.Z.; Yang, W.Q.; Xu, Z.F.; Tan, B.; Zhang, L.; Yue, K.; Ni, X.Y.; Li, H.; Chang, C.H.; et al. Does foliar nutrient resorption regulate the coupled relationship between nitrogen and phosphorus in plant leaves in response to nitrogen deposition? Sci. Total Environ. 2018, 645, 733–742. [Google Scholar] [CrossRef]
  7. Jian, S.Y.; Li, J.W.; Chen, J.; Wang, G.S.; Mayes, M.A.; Dzantor, K.E.; Hui, D.F.; Luo, Y.Q. Soil extracellular enzyme activities, soil carbon and nitrogen storage under nitrogen fertilization: A meta-analysis. Soil Biol. Biochem. 2016, 101, 32–43. [Google Scholar] [CrossRef]
  8. Li, T.; Cui, L.Z.; Liu, L.L.; Wang, H.; Dong, J.F.; Wang, F.; Song, X.F.; Che, R.X.; Li, C.J.; Tang, L.; et al. Characteristics of nitrogen deposition research within grassland ecosystems globally and its insight from grassland microbial community changes in China. Front. Plant Sci. 2022, 13, 977279. [Google Scholar] [CrossRef]
  9. Shi, J.B.; Khashi URahman, M.; Ma, R.N.; Li, Q.; Huang, Y.X.; Li, G.D. Effects of nitrogen enrichment upon soil enzyme activities in grassland ecosystems in China: A multilevel meta-analysis. Pedosphere 2025, 35, 84–96. [Google Scholar] [CrossRef]
  10. Hu, J.X.; Zhou, S.X.; Tie, L.H.; Liu, X.; Liu, X.; Zhao, A.J.; Lai, J.M.; Xiao, L.; You, C.M.; Huang, C.D. Effects of nitrogen addition on soil faunal abundance: A global meta-analysis. Glob. Ecol. Biogeogr. 2022, 31, 1655–1666. [Google Scholar] [CrossRef]
  11. Wang, X.D.; Feng, J.G.; Ao, G.K.L.; Qin, W.K.; Han, M.G.; Shen, Y.W.; Liu, M.L.; Chen, Y.; Zhu, B. Globally nitrogen addition alters soil microbial community structure, but has minor effects on soil microbial diversity and richness. Soil Biol. Biochem. 2023, 179, 108982. [Google Scholar] [CrossRef]
  12. Zhou, Z.H.; Wang, C.K.; Zheng, M.H.; Jiang, L.F.; Luo, Y.Q. Patterns and mechanisms of responses by soil microbial communities to nitrogen addition. Soil Biol. Biochem. 2017, 115, 433–441. [Google Scholar] [CrossRef]
  13. Wu, J.J.; Zhang, H.; Cheng, X.L.; Liu, G.H. Nitrogen addition stimulates litter decomposition rate: From the perspective of the combined effect of soil environment and litter quality. Soil Biol. Biochem. 2023, 179, 108992. [Google Scholar] [CrossRef]
  14. Zhu, J.X.; Jia, Y.L.; Yu, G.R.; Wang, Q.F.; He, N.P.; Chen, Z.; He, H.L.; Zhu, X.J.; Li, P.; Zhang, F.S.; et al. Changing patterns of global nitrogen deposition driven by socio-economic development. Nat. Commun. 2025, 16, 46. [Google Scholar] [CrossRef]
  15. Zhou, S.X.; Huang, C.D.; Han, B.H.; Xiao, Y.X.; Tang, J.D.; Xiang, Y.B.; Luo, C. Simulated nitrogen deposition significantly suppresses the decomposition of forest litter in a natural evergreen broad-leaved forest in the Rainy Area of Western China. Plant Soil 2017, 420, 135–145. [Google Scholar] [CrossRef]
  16. Fang, H.; Mo, J.M.; Peng, S.L.; Li, Z.A.; Wang, H. Cumulative effects of nitrogen additions on litter decomposition in three tropical forests in southern China. Plant Soil 2007, 297, 233–242. [Google Scholar] [CrossRef]
  17. Zhang, W.D.; Chao, L.; Yang, Q.P.; Wang, Q.K.; Fang, Y.T.; Wang, S.L. Litter quality mediated nitrogen effect on plant litter decomposition regardless of soil fauna presence. Ecology 2016, 97, 2834–2843. [Google Scholar] [CrossRef]
  18. van Diepen, L.T.A.; Frey, S.D.; Sthultz, C.M.; Morrison, E.W.; Minocha, R.; Pringle, A. Changes in litter quality caused by simulated nitrogen deposition reinforce the N-induced suppression of litter decay. Ecosphere 2015, 6, 205. [Google Scholar] [CrossRef]
  19. Zhang, J.H.; Li, H.; Zhang, H.F.; Zhang, H.; Tang, Z.Y. Responses of Litter Decomposition and Nutrient Dynamics to Nitrogen Addition in Temperate Shrublands of North China. Front. Plant Sci. 2021, 11, 618675. [Google Scholar] [CrossRef]
  20. Li, Q.; Zhang, M.H.; Geng, Q.H.; Jin, C.S.; Zhu, J.Q.; Ruan, H.H.; Xu, X. The roles of initial litter traits in regulating litter decomposition: A “common plot” experiment in a subtropical evergreen broadleaf forest. Plant Soil 2020, 452, 207–216. [Google Scholar] [CrossRef]
  21. Zhang, D.Q.; Hui, D.F.; Luo, Y.Q.; Zhou, G.Y. Rates of litter decomposition in terrestrial ecosystems: Global patterns and controlling factors. J. Plant Ecol. 2008, 1, 85–93. [Google Scholar] [CrossRef]
  22. Zhao, X.X.; Tian, Q.X.; Michelsen, A.; Ren, B.S.; Feng, Z.Y.; Chen, L.; Jiang, Q.H.; Zhao, R.D.; Liu, F. Global pattern in terrestrial leaf litter decomposition: The effects of climate, litter chemistry, life form, growth form and mycorrhizal association. Agric. For. Meteorol. 2025, 362, 110368. [Google Scholar] [CrossRef]
  23. Zhang, T.A.; Luo, Y.Q.; Chen, H.Y.H.; Ruan, H.H. Responses of litter decomposition and nutrient release to N addition: A meta-analysis of terrestrial ecosystems. Appl. Soil Ecol. 2018, 128, 35–42. [Google Scholar] [CrossRef]
  24. Su, Y.; Ma, X.F.; Gong, Y.M.; Li, K.H.; Han, W.X.; Liu, X.J. Contrasting effects of nitrogen addition on litter decomposition in forests and grasslands in China. J. Arid Land 2021, 13, 717–729. [Google Scholar] [CrossRef]
  25. Liu, Y.L.; Zhang, A.L.; Li, X.Y.; Kuang, W.N.; Islam, W. Litter decomposition rate response to multiple global change factors: A meta-analysis. Soil Biol. Biochem. 2024, 195, 109474. [Google Scholar] [CrossRef]
  26. Carreiro, M.M.; Sinsabaugh, R.L.; Repert, D.A.; Parkhurst, D.F.P. Microbial enzyme shifts explain litter decay responses to simulated nitrogen deposition. Ecology 2000, 81, 2359–2365. [Google Scholar] [CrossRef]
  27. Osburn, E.D.; Hoch, P.J.; Lucas, J.M.; McBride, S.G.; Strickland, M.S. Evaluating the roles of microbial functional breadth and home-field advantage in leaf litter decomposition. Funct. Ecol. 2022, 36, 1258–1267. [Google Scholar] [CrossRef]
  28. Mudrák, O.; Angst, Š.; Angst, G.; Veselá, H.; Schnablová, R.; Herben TFrouz, J. Ecological significance of standing dead phytomass: Marcescence as a puzzle piece to the nutrient cycle in temperate ecosystems. J. Ecol. 2023, 111, 2245–2256. [Google Scholar] [CrossRef]
  29. Liu, P.; Huang, J.H.; Sun, O.J.; Han, X.G. Litter decomposition and nutrient release as affected by soil nitrogen availability and litter quality in a semiarid grassland ecosystem. Oecologia 2010, 162, 771–780. [Google Scholar] [CrossRef]
  30. Xi, J.Z.; Wang, J.Y.; Zhu, Y.F.; Xu, M.P. Nitrogen deposition reduces the rate of leaf litter decomposition: A global study. Forests 2024, 15, 1492. [Google Scholar] [CrossRef]
  31. Pan, Y.D.; Birdsey, R.A.; Phillips, O.L.; Houghton, R.A.; Fang, J.Y.; Kauppi, P.E.; Keith, H.; Kurz, W.A.; Ito, A.; Lewis, S.L.; et al. The enduring world forest carbon sink. Nature 2024, 631, 563–569. [Google Scholar] [CrossRef]
  32. Janssens, I.A.; Dieleman, W.; Luyssaert, S.; Subke, J.A.; Reichstein, M.; Ceulemans, R.; Ciais, P.; Dolman, A.J.; Grace, J.; Matteucci, G.; et al. Reduction of forest soil respiration in response to nitrogen deposition. Nat. Geosci. 2010, 3, 315–322. [Google Scholar] [CrossRef]
  33. Treseder, K.K. Nitrogen additions and microbial biomass: A meta-analysis of ecosystem studies. Ecol. Lett. 2008, 11, 1111–1120. [Google Scholar] [CrossRef]
  34. Yang, Y.H.; Li, P.; He, H.L.; Zhao, X.; Datta, A.; Ma, W.H.; Zhang, Y.; Liu, X.J.; Han, W.X.; Wilson, M.C.; et al. Long-term changes in soil pH across major forest ecosystems in China. Geophys. Res. Lett. 2015, 42, 933–940. [Google Scholar] [CrossRef]
  35. Tian, D.S.; Niu, S.L. A global analysis of soil acidification caused by nitrogen addition. Environ. Res. Lett. 2015, 10, 024019. [Google Scholar] [CrossRef]
  36. Nannipieri, P.; Trasar-Cepeda, C.; Dick, R.P. Soil enzyme activity: A brief history and biochemistry as a basis for appropriate interpretations and meta-analysis. Biol. Fertil. Soils 2018, 54, 11–19. [Google Scholar] [CrossRef]
  37. Dong, L.L.; Sun, T.; Berg, B.; Zhang, L.L.; Zhang, Q.Q.; Wang, Z.W. Effects of different forms of N deposition on leaf litter decomposition and extracellular enzyme activities in a temperate grassland. Soil Biol. Biochem. 2019, 134, 78–80. [Google Scholar] [CrossRef]
  38. Knorr, M.; Frey, S.D.; Curtis, P.S. Nitrogen additions and litter decomposition: A meta-analysis. Ecology 2005, 86, 3252–3257. [Google Scholar] [CrossRef]
  39. Xia, M.X.; Talhelm, A.F.; Pregitzer, K.S. Long-term simulated atmospheric nitrogen deposition alters leaf and fine root decomposition. Ecosystems 2018, 21, 1–14. [Google Scholar] [CrossRef]
  40. Craine, J.M.; Morrow, C.; Fierer, N. Microbial nitrogen limitation increases decomposition. Ecology 2007, 88, 2105–2113. [Google Scholar] [CrossRef]
  41. Berg, B. Decomposition patterns for foliar litter–A theory for influencing factors. Soil Biol. Biochem. 2014, 78, 222–232. [Google Scholar] [CrossRef]
  42. Guo, L.L.; Deng, M.F.; Yang, S.; Liu, W.X.; Wang, X.; Wang, J.; Liu, L.L. The coordination between leaf and fine root litter decomposition and the difference in their controlling factors. Glob. Ecol. Biogeogr. 2021, 30, 2286–2296. [Google Scholar] [CrossRef]
  43. Vivanco, L.; Austin, A.T. The importance of macro- and micro-nutrients over climate for leaf litter decomposition and nutrient release in Patagonian temperate forests. For. Ecol. Manag. 2019, 441, 144–154. [Google Scholar] [CrossRef]
  44. Keiluweit, M.; Nico, P.; Harmon, M.E.; Mao, J.; Pett-Ridge, J.; Kleber, M. Long-term litter decomposition controlled by manganese redox cycling. Proc. Natl. Acad. Sci. USA 2015, 112, 5253–5260. [Google Scholar] [CrossRef] [PubMed]
  45. Jing, H.; Wang, G.L. Temporal dynamics of Pinus tabulaeformis litter decomposition under nitrogen addition on the Loess Plateau of China. For. Ecol. Manag. 2020, 476, 118465. [Google Scholar] [CrossRef]
  46. Liu, J.X.; Fang, X.; Deng, Q.; Han, T.F.; Huang, W.J.; Li, Y.Y. CO2 enrichment and N addition increase nutrient loss from decomposing leaf litter in subtropical model forest ecosystems. Sci. Rep. 2015, 5, 7952. [Google Scholar] [CrossRef]
  47. Wang, Q.; Kwak, J.H.; Choi, W.J.; Chang, S.X. Long-term N and S addition and changed litter chemistry do not affect trembling aspen leaf litter decomposition, elemental composition and enzyme activity in a boreal forest. Environ. Pollut. 2019, 250, 143–154. [Google Scholar] [CrossRef]
  48. Wang, M.; Liu, G.C.; Xing, Y.J.; Yan, G.Y.; Wang, Q.K. Long-Term Nitrogen Addition Accelerates Litter Decomposition in a Larix gmelinii Forest. Forests 2024, 15, 372. [Google Scholar] [CrossRef]
  49. Zeng, X.Y.; Gao, H.L.; Wang, R.X.; Majcher, B.M.; Woon, J.S.; Wenda, C.; Eggleton, P.; Griffiths, H.M.; Ashton, L.A. Global contribution of invertebrates to forest litter decomposition. Ecol. Lett. 2024, 27, e14423. [Google Scholar] [CrossRef]
  50. Wei, B.; Zhang, D.Y.; Kou, D.; Yang, G.B.; Liu, F.T.; Peng, Y.F.; Yang, Y.H. Decreased ultraviolet radiation and decomposer biodiversity inhibit litter decomposition under continuous nitrogen inputs. Funct. Ecol. 2022, 36, 998–1009. [Google Scholar] [CrossRef]
  51. Wang, X.; Xu, Z.W.; Lü, X.T.; Wang, R.Z.; Cai, J.P.; Yang, S.; Li, M.H.; Jiang, Y. Responses of litter decomposition and nutrient release rate to water and nitrogen addition differed among three plant species dominated in a semi-arid grassland. Plant Soil 2017, 418, 241–253. [Google Scholar] [CrossRef]
  52. Sun, T.; Hobbie, S.E.; Berg, B.; Zhang, H.G.; Wang, Q.K.; Wang, Z.W.; Hättenschwiler, S. Contrasting dynamics and trait controls in first-order root compared with leaf litter decomposition. Proc. Natl. Acad. Sci. USA 2018, 115, 10392–10397. [Google Scholar] [CrossRef] [PubMed]
  53. Sun, T.; Dong, L.L.; Zhang, Y.Y.; Hättenschwiler, S.; Schlesinger, W.H.; Zhu, J.J.; Berg, B.; Adair, E.C.; Fang, Y.T.; Hobbie, S.E. General reversal of N-decomposition relationship during long-term decomposition in boreal and temperate forests. Proc. Natl. Acad. Sci. USA 2024, 121, e2401398121. [Google Scholar] [PubMed]
  54. Freschet, G.T.; Cornwell, W.K.; Wardle, D.A.; Elumeeva, T.G.; Liu, W.D.; Jackson, B.G.; Onipchenko, V.G.; Soudzilovskaia, N.A.; Tao, J.P.; Cornelissen, J.H.C. Linking litter decomposition of above- and below-ground organs to plant-soil feedbacks worldwide. J. Ecol. 2013, 101, 943–952. [Google Scholar]
  55. Tian, D.S.; Reich, P.B.; Chen, H.Y.H.; Xiang, Y.Z.; Luo, Y.Q.; Shen, Y.; Meng, C.; Han, W.X.; Niu, S.L. Global changes alter plant multi-element stoichiometric coupling. New Phytol. 2019, 221, 807–817. [Google Scholar] [CrossRef] [PubMed]
  56. Mao, J.H.; Mao, Q.G.; Zheng, M.H.; Mo, J.M. Responses of foliar nutrient status and stoichiometry to nitrogen addition in different ecosystems: A meta-analysis. J. Geophys. Res. Biogeosciences 2020, 125, e2019JG005347. [Google Scholar] [CrossRef]
  57. Su, Y.; Dong, K.H.; Wang, C.H.; Liu, X.J. A meta-analysis of the impacts of nitrogen addition on plant multiple-element contents in natural ecosystems. Plant Ecol. 2024, 226, 111–121. [Google Scholar] [CrossRef]
  58. Olson, J.S. Energy storage and the balance of producers and decomposers in ecological systems. Ecology 1963, 44, 322–331. [Google Scholar] [CrossRef]
  59. Hedges, L.V.; Gurevitch, J.; Curtis, P.S. The meta-analysis of response ratios in experimental ecology. Ecology 1999, 80, 1150–1156. [Google Scholar] [CrossRef]
  60. Meng, C.; Tian, D.S.; Zeng, H.; Li, Z.L.; Chen, H.Y.H.; Niu, S.L. Global meta-analysis on the responses of soil extracellular enzyme activities to warming. Sci. Total Environ. 2020, 705, 135992. [Google Scholar] [PubMed]
  61. Xu, X.; Sun, Y.; Sun, J.J.; Cao, P.H.; Wang, Y.C.; Chen, H.Y.H.; Wang, W.F.; Ruan, H.H. Cellulose dominantly affects soil fauna in the decomposition of forest litter: A meta-analysis. Geoderma 2020, 378, 114620. [Google Scholar] [CrossRef]
  62. Bai, E.; Li, S.L.; Xu, W.H.; Li, W.; Dai, W.W.; Jiang, P. A meta-analysis of experimental warming effects on terrestrial nitrogen pools and dynamics. New Phytol. 2013, 199, 441–451. [Google Scholar]
  63. Rosenberg, M.S.; Adams, D.C.; Gurevitch, J. MetaWin: Statistical Software for Meta-Analysis, Version 3.0; Sinauer Associates, Inc.: Sunderland, MA, USA, 2000. [Google Scholar]
  64. He, M.; Zhou, G.Y.; Yuan, T.F.; Groenigen, K.J.; Shao, J.J.; Zhou, X.H. Grazing intensity significantly changes the C: N: P stoichiometry in grassland ecosystems. Glob. Ecol. Biogeogr. 2019, 29, 355–369. [Google Scholar] [CrossRef]
Figure 1. Frequency distribution of natural log response ratio (Ln RR) in total (a), common litter (b), common soil (c), and in situ (d) traits.
Figure 1. Frequency distribution of natural log response ratio (Ln RR) in total (a), common litter (b), common soil (c), and in situ (d) traits.
Plants 14 03221 g001
Figure 2. Influence of N addition on litter decay rate for different litter decay traits (means and 95% CIs are shown).
Figure 2. Influence of N addition on litter decay rate for different litter decay traits (means and 95% CIs are shown).
Plants 14 03221 g002
Figure 3. Comparison of the impact of N on the litter decay rate among previous meta-analyses in forest ecosystems. The sample sizes are given above the bars.
Figure 3. Comparison of the impact of N on the litter decay rate among previous meta-analyses in forest ecosystems. The sample sizes are given above the bars.
Plants 14 03221 g003
Figure 4. Influence of amount, form, and duration of N addition on litter decay rate.
Figure 4. Influence of amount, form, and duration of N addition on litter decay rate.
Plants 14 03221 g004
Figure 5. The influence of N on the litter decay rate as related to decay time, mesh size of the litterbag, and litter type.
Figure 5. The influence of N on the litter decay rate as related to decay time, mesh size of the litterbag, and litter type.
Plants 14 03221 g005
Figure 6. The influence of N on the litter decay rate as related to the humidity index.
Figure 6. The influence of N on the litter decay rate as related to the humidity index.
Plants 14 03221 g006
Figure 7. The influence of N on the litter decay rate as related to litter quality for common litter (ad), common situ (eh), and in situ (il) traits.
Figure 7. The influence of N on the litter decay rate as related to litter quality for common litter (ad), common situ (eh), and in situ (il) traits.
Plants 14 03221 g007
Disclaimer/Publisher’s Note: The statements, opinions and data contained in all publications are solely those of the individual author(s) and contributor(s) and not of MDPI and/or the editor(s). MDPI and/or the editor(s) disclaim responsibility for any injury to people or property resulting from any ideas, methods, instructions or products referred to in the content.

Share and Cite

MDPI and ACS Style

Fan, L.; Wang, W.; Liu, X.; Su, Y. Responses and Controlling Factors of the Litter Decay Rate to Nitrogen Addition Across Global Forests: A Meta-Analysis. Plants 2025, 14, 3221. https://doi.org/10.3390/plants14203221

AMA Style

Fan L, Wang W, Liu X, Su Y. Responses and Controlling Factors of the Litter Decay Rate to Nitrogen Addition Across Global Forests: A Meta-Analysis. Plants. 2025; 14(20):3221. https://doi.org/10.3390/plants14203221

Chicago/Turabian Style

Fan, Lijun, Weiwei Wang, Xuejun Liu, and Yuan Su. 2025. "Responses and Controlling Factors of the Litter Decay Rate to Nitrogen Addition Across Global Forests: A Meta-Analysis" Plants 14, no. 20: 3221. https://doi.org/10.3390/plants14203221

APA Style

Fan, L., Wang, W., Liu, X., & Su, Y. (2025). Responses and Controlling Factors of the Litter Decay Rate to Nitrogen Addition Across Global Forests: A Meta-Analysis. Plants, 14(20), 3221. https://doi.org/10.3390/plants14203221

Note that from the first issue of 2016, this journal uses article numbers instead of page numbers. See further details here.

Article Metrics

Back to TopTop