Next Article in Journal
Synergistic Effects of Nitrogen Application Enhance Drought Resistance in Machilus yunnanensis Seedlings
Previous Article in Journal
Antibiotic and Copper Sensitivity in Erwinia amylovora Isolates from Northern Saudi Arabia, and the Induction of Fire Blight Suppression by Salicylic Acid
Previous Article in Special Issue
Do Oxytetracycline and Ciprofloxacin Affect Growth Phenotype, Leaf Photosynthetic Enzyme Activity, Nitrogen Metabolism, and Endogenous Hormone Homeostasis in Maize Seedlings?
 
 
Font Type:
Arial Georgia Verdana
Font Size:
Aa Aa Aa
Line Spacing:
Column Width:
Background:
Article

Boosting Maize Yield and Mitigating Greenhouse Gas Emissions Through Synergistic Nitrogen and Chemical Regulation by Optimizing Roots and Developing Grains Under High-Density Planting in Northeast China

1
College of Agronomy, Northeast Agricultural University, Harbin 150030, China
2
College of Biology and Agriculture, Jiamusi University, Jiamusi 154007, China
3
Scientific Research Management Department, Heilongjiang Academy of Land Reclamation Sciences, Harbin 150038, China
4
Crop Development Research Institute, Heilongjiang Academy of Land Reclamation Sciences, Harbin 150038, China
5
Institute of Crop Cultivation and Tillage, Heilongjiang Academy of Agricultural Sciences, Harbin 150086, China
*
Author to whom correspondence should be addressed.
Plants 2025, 14(20), 3193; https://doi.org/10.3390/plants14203193
Submission received: 24 September 2025 / Revised: 8 October 2025 / Accepted: 15 October 2025 / Published: 17 October 2025
(This article belongs to the Special Issue Physiological Ecology and Regulation of High-Yield Maize Cultivation)

Abstract

Increasing planting density is an effective strategy for enhancing maize (Zea mays L.) yield. However, high density often inhibits plant growth and dry matter accumulation. Synergistic nitrogen management and chemical regulation offer an effective approach to overcoming yield limitations under high-density conditions. A two-year field experiment with two maize cultivars under high density (90,000 plants ha−1), involving four nitrogen rates combined with PGR, explored their effects on root growth, yield formation, and greenhouse gas emissions. Results showed that 240 kg N ha−1 significantly improved root morphological characteristics (root dry weight, root volume, root surface, root length) and physiological traits (bleeding sap rate, etc.), with chemical regulation providing additional enhancements. Additionally, nitrogen application increased the maximum grain-filling rate (Vmax) and enzyme activity in grains, thereby enhancing grain weight; chemical regulation increased dry matter accumulation and its contribution to grains. Reduced nitrogen application combined with chemical regulation effectively decreased greenhouse gas emission. The highest maize yield was obtained under the application of 240 kg N ha−1 combined with chemical regulation, which promoted root growth and grain formation, thereby improving yield and reducing emissions. This study indicates that the cultivation practice combining nitrogen application with chemical regulation provides an optimized approach for environmentally friendly and high-yield maize cultivation under high planting density.

1. Introduction

Maize (Zea mays L.) is a globally crucial food crop essential for food security. Global maize demand is projected to increase steadily, driven by population growth and rising biofuel requirements [1]. In this context, high-density planting is widely adopted in major maize-producing regions as an effective strategy to improve yield [2,3]. However, excessively high planting density often negatively impacts plant growth and limits yield enhancement [4]. High planting density increases interplant competition, resulting in root growth inhibition that restricts both nutrient uptake and shoot growth [5]. Additionally, photosynthate synthesis and allocation are impaired, leading to preferential dry matter accumulation in vegetative organs at the expense of grain development [6]. These constraints ultimately limit maize yield potential. Therefore, developing optimized cultivation practices is essential to maintain maize productivity under high planting density.
Nitrogen fertilizer plays a vital role in regulating maize growth and yield under high planting density [7]. Its application strategy directly affects root growth, dry matter accumulation, and yield formation [8]. As the primary organ of water and nutrient uptake, root morphological characteristics (e.g., root length density, root distribution), and physiological traits (e.g., bleeding sap rate) that are directly regulated by nitrogen availability [9], nitrogen fertilizer can optimize root morphology and physiology, enhancing plant dry weight and nitrogen uptake efficiency [10]. Specifically, optimal nitrogen application increases root length density, root surface area, and root volume, thereby improving root growth [11]. Studies indicate that nitrogen application significantly improves root bleeding sap rate and photosynthate translocation, thereby promoting shoot growth [12]. Furthermore, nitrogen management is a key factor regulating maize yield formation. Grain formation primarily depends on concurrent photosynthate supply [13]. Consequently, grain yield is strongly correlated with biomass accumulation during the grain-filling period [14]. Studies indicate that nitrogen application at 160–320 kg ha−1 increases maize biomass by 24–28% relative to control plots, significantly enhancing grain yield [15]. Thus, nitrogen fertilizer represents a critical agronomic practice for maize yield improvement. However, inappropriate nitrogen management reduces nitrogen use efficiency, increases greenhouse gas emissions, and constrains yield improvement, thereby threatening agricultural sustainability [16]. Therefore, developing cultivation strategies that enhance yield and resource use efficiency is crucial for maximizing fertilizer productivity and achieving high-yielding, efficient, and environmentally sustainable crop production.
Plant growth regulators (PGRs) are effective substances for regulating plant growth in agricultural production [17]. They are artificially synthesized regulatory substances that exhibit physiological activities similar to those of plant endogenous hormones. By regulating endogenous phytohormone systems, PGRs enhance maize growth and metabolic efficiency, thereby improving stress resistance and yield potential [18,19]. In China, ethephon has been widely employed in maize production systems characterized by high planting density and nitrogen input, serving as a crucial measure to enhance lodging resistance [20,21]. Studies indicate that ethephon significantly improves post-silking nitrogen remobilization and nitrogen utilization efficiency [22]. Diethyl aminoethyl hexanoate (DA-6), a plant growth promoter, exerts a facilitative effect on plant growth, metabolism, and dry matter accumulation [23,24]. In recent years, the compound formulation comprising 30% DA-6 and ethephon integrates the advantages of the two components and has been widely applied in Chinese maize production [25]. Studies have shown that the 30% DA-6·ethephon formulation enhances root spatial distribution, promotes photosynthate accumulation and root nutrient supply, and coordinates root–shoot relationships, thereby playing a pivotal role in increasing maize yield [26]. Currently, most research on the 30% DA-6·ethephon formulation has focused on aboveground plant parts. The effects of plant growth regulator and nitrogen fertilizer on root growth characteristics under high planting density, as well as their subsequent impacts on yield formation and greenhouse gas emissions, remain unclear. Therefore, developing a robust root to enhance nutrient uptake capacity and coordinate dry matter partitioning is essential for improving crop yield and optimizing soil nutrient utilization, which is of great significance for establishing high-yield and high-efficiency cultivation systems under high planting density.
Therefore, a two-year field experiment was conducted under high planting density, involving varied nitrogen rates and chemical regulation treatments. The study focused on the following: (1) effects of nitrogen fertilizer and chemical regulation on maize root morphology and root bleeding sap; (2) their regulatory roles in grain formation and dry matter accumulation; and (3) their impacts on yield and greenhouse gas emissions. We hypothesized that moderate nitrogen reduction combined with chemical regulation can optimize root morphology, enhance root bleeding sap, improve the efficiency of dry matter partitioning to grains, and reduce greenhouse gas emissions, thereby realizing the synergy between high yield and ecological sustainability. The findings are expected to provide theoretical support for optimizing nitrogen management and chemical regulation technology in high-density maize production, thereby facilitating the environmentally friendly and sustainable development of maize cultivation.

2. Results

2.1. Root Morphology

The root system serves as a vital absorption organ in plants, significantly influencing shoot growth and playing a crucial role in yield formation. As shown in Figure 1, both nitrogen rates and chemical regulation significantly affected root system size under high planting density. Root development initially increased then decreased with elevated nitrogen application, reaching maximum values at 240 kg N ha−1 (N240) treatment. Chemical regulation markedly enhanced root system expansion and promoted root growth.
From jointing stage to maturity stage during both 2021 and 2022, root morphological parameters (including root dry weight, root surface area, root volume, and root length) increased initially and then decreased, with maximum values occurring at either the tasseling stage or early grain-filling stage (Figure 2). Nitrogen application and chemical regulation significantly enhanced maize root growth at different growth stages under high planting density. Root dry weight, surface area, volume, and length initially increased and then decreased with increasing nitrogen application rates, reaching maximum values at the N240 treatment. Taking root dry weight at early filling stage as an example, compared with 0 kg N ha−1 (N0), Jingnongke (JNK728) and Saide 5 (SD5) showed root dry weight increases of 11.9%, 23.2%, and 15.5% and 10.9%, 20.3%, and 13.1% under 120 kg N ha−1 (N120), 240 kg N ha−1 (N240), and 360 kg N ha−1 (N360) treatments, respectively. These results indicate that moderate nitrogen application increases root dry weight, while excessive nitrogen input (N360 treatment) leads to significant reduction. Compared with the non-application of chemical regulators (CK), chemical regulation significantly increased root dry weight, root surface area, root volume, and root length by 12.8%, 12.1%, 11.6%, and 17.3%, respectively. Compared with CK, plant growth regulator (PGR) significantly increased root dry weight, root surface area, root volume, and root length by 12.8%, 12.1%, 11.6%, and 17.3%, respectively.

2.2. Root Bleeding Sap

2.2.1. Bleeding Sap Rate

Root bleeding sap serves as a reliable indicator of root system vitality and physiological activity to a certain extent. The root bleeding sap rate exhibited a unimodal pattern during maize growth, peaking at the tasseling stage (Table 1). Nitrogen application significantly enhanced root bleeding sap rate, which reached its maximum under the N240 treatment, while further nitrogen input (N360) resulted in a significant reduction. PGR significantly enhanced root bleeding sap rate. Between the two cultivars, JNK728 exhibited higher bleeding sap rate than SD5. These results indicate that appropriate nitrogen application combined with chemical regulation significantly enhances root bleeding sap rate, improves root system vitality, and promotes soil nutrient absorption and utilization in maize under high planting density.

2.2.2. Mineral Nutrient and Amino Acid Concentrations in Root Bleeding Sap

Mineral nutrient and amino acid concentrations in root bleeding sap indicated consistent decreasing trends from the jointing stage to milk stage in two years (Table 2, Table 3, Table 4 and Table 5). Nitrogen application and chemical regulation significantly affected mineral element and amino acid concentrations in root bleeding sap. With increasing nitrogen application rates, the mineral element and amino acid concentrations showed an increasing trend, reaching maximum values under the N240 treatment. PGR significantly enhanced mineral element and amino acid concentrations. These results indicate that appropriate nitrogen application combined with chemical regulation enhances root uptake capacity under high planting density, increases nutrient concentrations in root bleeding sap, and thereby provides physiological foundation for yield improvement.

2.3. Grain Formation

2.3.1. Grain-Filling Parameters

The grain-filling process was modeled using the Logistic equation with days after anthesis as the independent variable and grain weight as the dependent variable. Grain-filling parameters for different treatments are shown in Table 6. Nitrogen application and chemical regulation significantly affected grain-filling characteristics of maize under high planting density. Nitrogen application significantly increased the maximum grain-filling rate (Vmax), mean grain-filling rate (Vm), and active grain-filling period (P), whereas excessive nitrogen input (N360 treatment) failed to further enhance these grain-filling parameters. Chemical regulation significantly enhanced Vmax and Vm, showing respective increases of 5.3% and 6.2% in 2021, and 5.4% and 5.5% in 2022, compared to CK. Between the two cultivars, SD5 exhibited significantly higher Vmax and Vm values than JNK728, whereas JNK728 required more days to reach maximum grain-filling rate (Tmax) compared to SD5. These results indicate that appropriate nitrogen application combined with chemical regulation significantly enhances grain-filling rate under high planting density, thereby improving the grain-filling process and ultimately promoting grain formation and grain weight increase.

2.3.2. Grain Weight and Starch Content

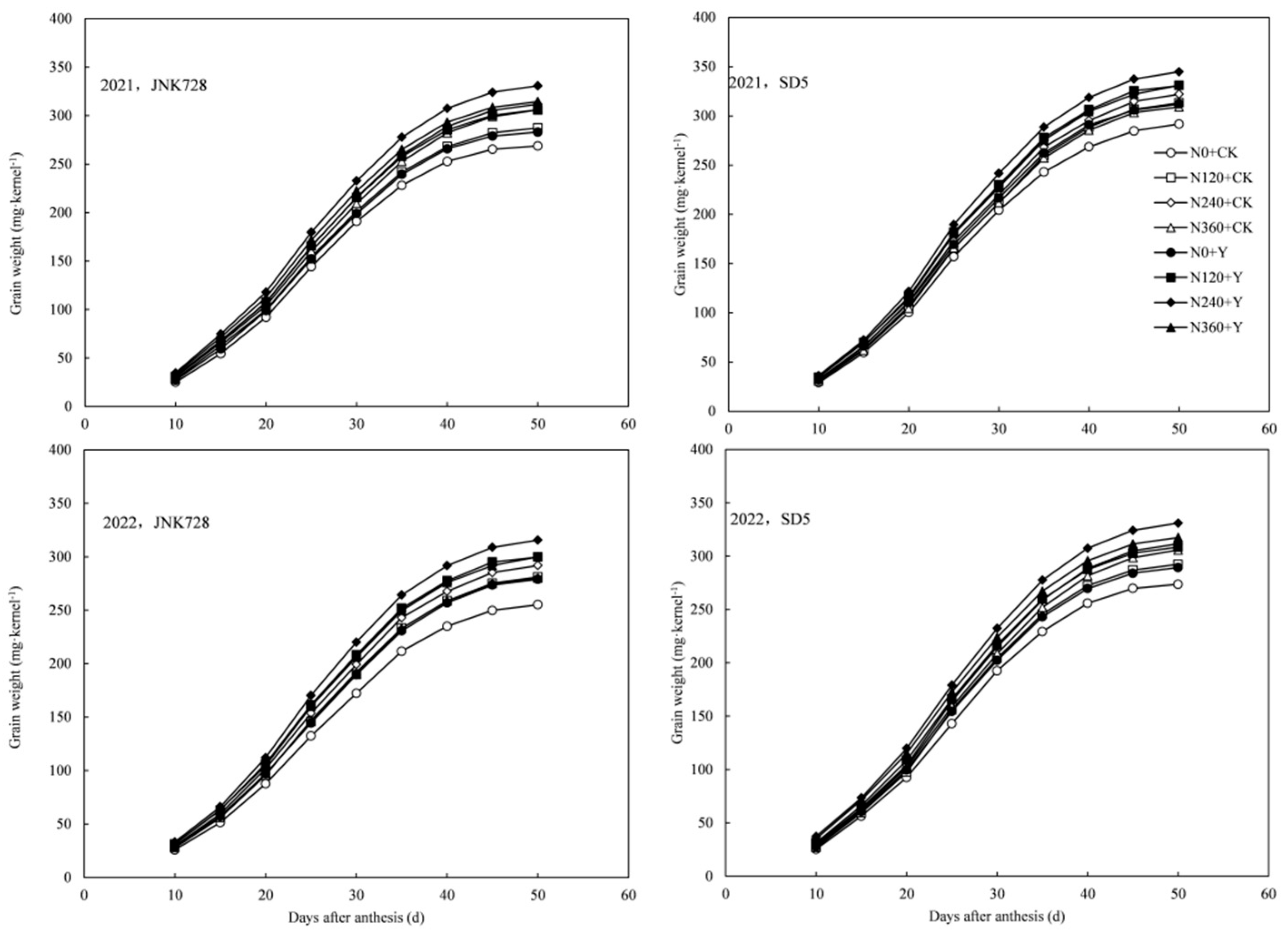
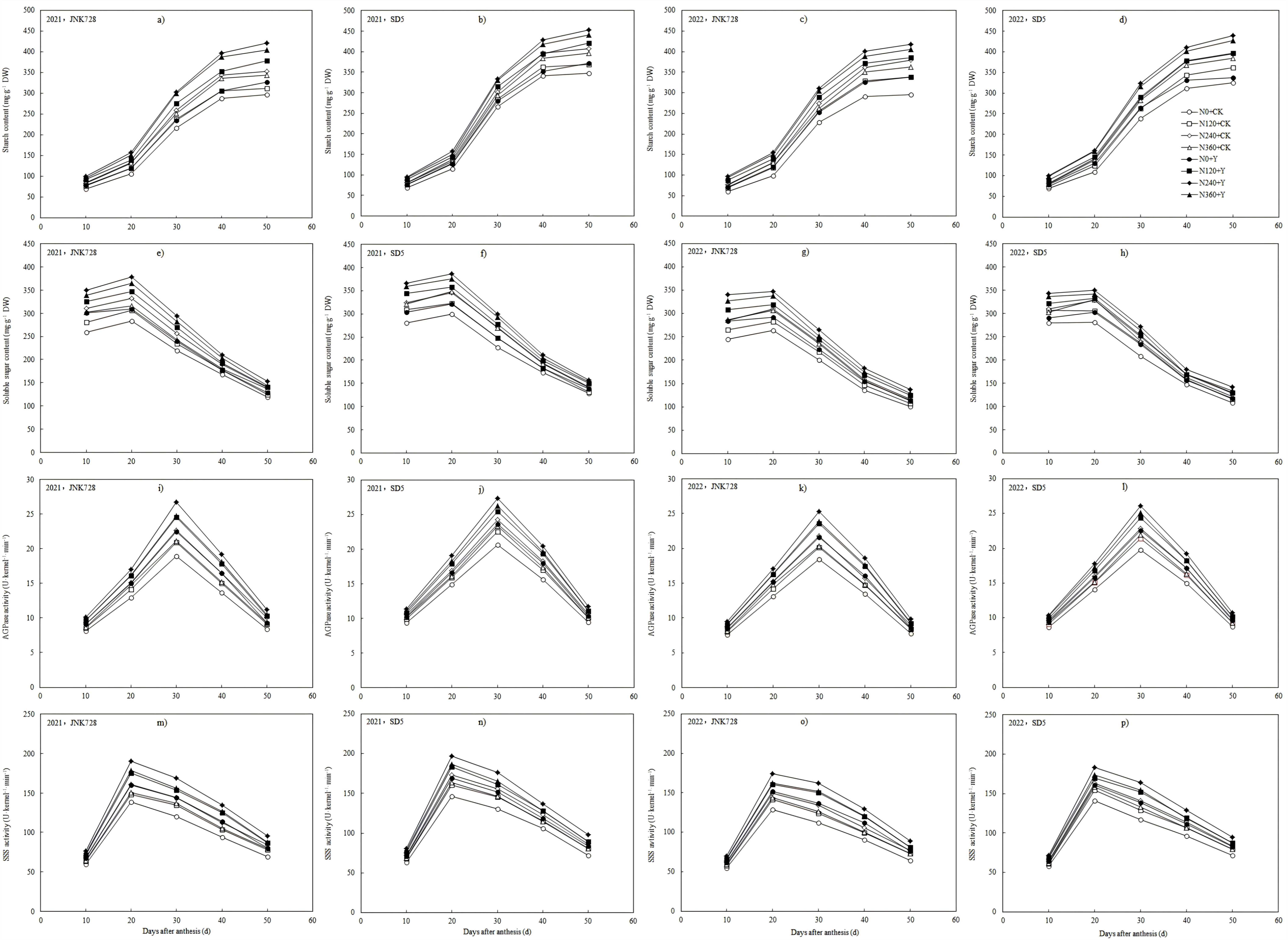
Grain weight and starch content exhibited sigmoidal growth patterns during the grain-filling process (Figure 3 and Figure 4a–d). Grain weight and starch accumulation increased slowly during the early filling stage, exhibited rapid growth from 20 d to 40 d after anthesis, and then gradually stabilized. Nitrogen application significantly increased grain weight and starch content during grain-filling stages, whereas excessive nitrogen input (N360) adversely affected dry matter accumulation in grains. Chemical regulation further enhanced dry matter accumulation in maize grains across all nitrogen rates. Compared with CK, PGR increased grain weight and starch content at 50 d after anthesis by 6.4% and 6.0% for JNK728, and 14.7% and 10.2% for SD5, respectively. Between the two cultivars, SD5 exhibited significantly higher grain weight and starch content than JNK728. These results indicate that appropriate nitrogen application combined with chemical regulation promotes dry matter accumulation in grains under high planting density and consequently enhances grain yield formation.

2.3.3. Soluble Sugar Content in Grain

Grain soluble sugar content exhibited a unimodal pattern during grain filling, peaking at 20 days after anthesis (Figure 4e–h). Nitrogen application and chemical regulation significantly increased soluble sugar content in grains under high planting density. Grain soluble sugar content increased with elevated nitrogen application rates, whereas excessive nitrogen input (N360) significantly suppressed its accumulation. Compared with CK, PGR increased soluble sugar content by 11.9% and 10.3% in JNK728 and SD5, respectively, at 50 d anthesis. SD5 exhibited significantly higher grain soluble sugar content than JNK728 at 50 d after anthesis. These results indicate that appropriate nitrogen application combined with chemical regulation significantly enhances grain soluble sugar content under high planting density and consequently facilitates starch biosynthesis in developing grains.

2.3.4. ADP-Glucose Pyrophosphorylase (AGPase) and Soluble Starch Synthase (SSS) Activities in Grain

AGPase and SSS activities in grain exhibited unimodal patterns during grain filling, peaking at 30 d and 20 d after anthesis, respectively (Figure 4i–p). AGPase and SSS activities increased with elevated nitrogen application rates, whereas excessive nitrogen input (N360) significantly suppressed both enzymatic activities. Compared with CK, PGR increased AGPase and SSS activities in JNK728 and SD5 by 10.9% and 9.6%, and 13.2% and 12.5%, respectively, at 50 d after anthesis. Between the two cultivars, SD5 exhibited significantly higher AGPase and SSS activities than JNK728. These results indicate that appropriate nitrogen application combined with chemical regulation significantly enhances AGPase and SSS activities in grain under high planting density, thereby promoting starch biosynthesis and accumulation, which ultimately improves the grain-filling process.

2.4. Dry Matter Accumulation

2.4.1. Dry Matter Accumulation per Plant

Dry matter accumulation per plant showed rapid increase from jointing stage to milk stage, followed by gradual stabilization until reaching maximum values at maturity stage (Table 7 and Table 8). Nitrogen application significantly increased dry matter accumulation per plant, amount of dry matter per plant after anthesis (ADMA), and contribution proportion of the dry matter after anthesis (CPDMA). In 2021 and 2022, N120, N240, and N360 increased dry matter accumulation per plant at maturity stage by 15.8%, 27.0%, and 22.7% versus 11.8%, 22.0%, and 21.4%; increased ADMA by 23.2%, 38.7%, and 30.5% versus 18.1%, 31.8%, and 29.1%; and increased CPDMA by 6.3%, 9.3%, and 6.4% versus 5.6%, 8.0%, and 6.3%, respectively, compared with N0. Chemical regulation significantly reduced dry matter accumulation per plant from jointing stage to tasseling stage while markedly enhancing it from the milk stage to maturity stage. Compared with CK, PGR increased ADMA and CPDMA by 21.5% and 12.8% in 2021, and by 24.4% and 15.6% in 2022, respectively. JNK728 exhibited higher ADMA than SD5. These results indicate that nitrogen application combined with chemical regulation enhances dry matter accumulation during late growth stages under high planting density, improves post-anthesis assimilate production capacity and its contribution to grains, thereby establishing a physiological foundation for ultimate yield improvement in maize.

2.4.2. Dry Matter Distribution in Different Organs at Maturity Stage

Dry matter allocation (both quantity and proportion) at maturity stage among different organs followed the order: grains > stems + sheaths > leaves > cobs + husks (Figure 5). Nitrogen application significantly increased dry matter allocation across different organs. Additionally, nitrogen application reduced the dry matter allocation proportion in leaves and stems + sheaths while increasing that in cobs + husks and grains, though these differences were not significant. Compared with CK, PGR increased dry matter allocation at maturity stage by 6.7% in stems + sheaths, 5.3% in cobs + husks, and 10.4% in grains, while also enhancing the dry matter allocation proportion to grains, though this increase was not significant. These results indicate that nitrogen application combined with chemical regulation enhances both the quantity and proportion of dry matter allocated to grains at maturity stage under high planting density, thereby promoting dry matter partitioning to grains and establishing a physiological foundation for ultimate yield improvement.

2.5. Yield and Greenhouse Gas Emissions

2.5.1. Yield

Nitrogen application promoted maize ear growth, increasing ear length and diameter while reducing tip barrenness, with optimal ear growth observed under the N240 treatment (Figure 6). PGR effectively reduced tip barrenness while increasing ear length and diameter, thereby significantly promoting ear growth in maize. N240 combined with PGR significantly enhanced maize yield and its components under high planting density (Table 9). N240 increased yield, grain number per ear, and 1000-grain weight by 18.4%, 9.9%, and 6.2%, respectively, compared to N0. PGR increased grain yield, grain number per ear, and 1000-grain weight by 11.4%, 9.6%, and 4.6%, respectively, compared to CK. Between the two cultivars, JNK728 exhibited significantly higher yield and grain number per ear than SD5, whereas SD5 showed greater 1000-grain weight than JNK728, though this difference was not significant.

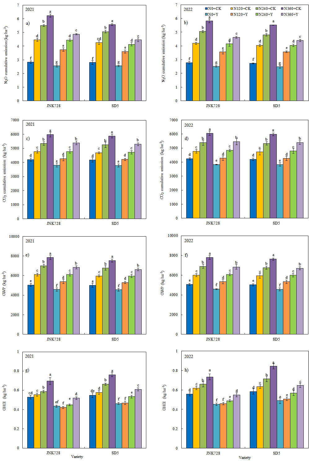
2.5.2. N2O and CO2 Cumulative Emission, Global Warming Potential (GWP), Greenhouse Gas Intensity (GHGI)

Nitrogen application significantly increased cumulative emissions of N2O and CO2, as well as GWP and GHGI, during the growing season (Figure 7). The maximum values were observed under N360, with the N2O cumulative emissions, CO2 cumulative emissions, GWP, and GHGI being 95.6%, 41.6%, 50.6%, and 31.9% higher than those under N0, respectively. Compared with CK, PGR reduced cumulative N2O emissions, CO2 emissions, GWP, and GHGI by 20.1%, 11.0%, 12.8%, and 27.4%, respectively. These findings indicate that reduced nitrogen application combined with chemical regulation under high planting density effectively mitigates greenhouse gas emissions.

3. Discussion

As the primary organ for nutrient uptake, roots significantly determine nutrient acquisition efficiency via their morphological and physiological traits, thereby regulating dry matter accumulation and grain yield [27,28]. High planting density frequently suppresses root growth, consequently compromising soil nutrient uptake [29]. As an effective strategy in high planting density, chemical regulation exerts a profound impact on root growth [30]. Studies have shown that under high planting density, chemical regulation can effectively optimize root size and spatial distribution, enhance soil nutrient use efficiency, and thereby improve population density tolerance to achieve high yields [31]. In this study, chemical regulation significantly increased root surface area, root volume, root length, and root dry weight. Furthermore, optimal nitrogen fertilization enhances root growth. Studies have indicated that nitrogen application facilitates root elongation in maize, increases total root length and underground biomass, enhances photosynthate allocation to roots to optimize their spatial distribution, and ultimately improves nutrient uptake capacity, thereby promoting shoot growth [32,33]. In this study, nitrogen fertilizer significantly enhanced root growth under high planting density, with distinct effects observed across different application rates. Specifically, the N240 nitrogen treatment exerted the optimal promotional effect. However, excessive nitrogen application inhibited root growth, which is consistent with previous findings [8,34]. These indicate that appropriate nitrogen application promotes root growth under high planting density, whereas excessive nitrogen application impairs root growth, reduces nutrient uptake capacity, and thereby decreases dry matter accumulation in both root and aboveground plants. This phenomenon partially accounts for the yield plateau observed under high nitrogen input rates [8]. Therefore, this study confirms that optimized nitrogen management combined with chemical regulation effectively alleviates the adverse effects of high planting density on maize roots, enhances root growth and nutrient acquisition, and ultimately improves plant performance and yield formation.
Additionally, the nutrient composition of root bleeding sap can reflect the nutritional status of plants and root nutrient uptake capacity [35]. Specifically, mineral elements and amino acids in bleeding sap act as key mediators in root–shoot communication, exerting significant impacts on plant growth and nutrient utilization [36]. In this study, nitrogen application and chemical regulation increased mineral elements and amino acids concentrations in root bleeding sap, with maximum values observed under N240 and chemical regulation. These results indicate that appropriate nitrogen management combined with chemical regulation enhances root nutrient uptake and assimilation, promotes plant growth, and thereby establishes a physiological foundation for maize yield.
Dry matter accumulation and translocation serve as fundamental determinants of maize yield, providing the essential material basis for grain formation [32,37]. In this study, the combination of N240 and chemical regulation significantly increased dry matter accumulation per plant, ADMA and CPDMA, thereby laying a physiological foundation for grain growth and yield formation. It is generally recognized that photosynthates produced during the late growth stage constitute the primary source for yield formation [38]. Increasing dry matter accumulation and enhancing its allocation to grains constitute a crucial strategy for achieving high yields [39]. Our results indicated that nitrogen fertilizer and chemical regulation increased dry matter partitioning to developing grains. This result may be attributed to the enhanced leaf photosynthetic capacity after anthesis and prolonged photosynthetic duration under high planting density, as mediated by nitrogen fertilizer and chemical regulation. These effects collectively enhanced photosynthate translocation to grains, ultimately providing the physiological basis for yield improvement.
Grain growth status significantly affects final grain weight in maize [40]. Optimizing grain growth and increasing grain weight through appropriate management practices constitute a critical strategy for high-yield maize cultivation [41]. In this study, the combined application of N240 and chemical regulation significantly enhanced grain weight, indicating that these treatments improved assimilate supply to developing grains, thereby promoting grain growth and grain weight. Grain filling constitutes a complex physiological process encompassing the translocation and deposition of photoassimilates, root-absorbed nutrients, and remobilized reserves into developing grains [42]. Grain-filling characteristics, particularly filling rate and duration, are key determinants of final grain weight [43]. Studies have shown that variations in grain weight arise from altered assimilate competition within plants, leading to differences in grain-filling rate and duration [44]. The grain-filling process is strongly influenced by environmental factors, while various agronomic practices (including planting density, nitrogen application, and chemical regulation) significantly affect grain-filling dynamics [19,45,46]. Our results demonstrated that nitrogen fertilizer and chemical regulation significantly increased the maximum grain-filling rate, mean grain-filling rate, and active grain-filling period. This enhancement may be attributed to improved plant productivity and increased dry matter accumulation, which meet grain demand and optimize the grain-filling process.
Starch represents the predominant storage compound in maize grains, comprising approximately 70% of grain weight [47]. Accordingly, the grain-filling process in maize is primarily characterized by starch biosynthesis and accumulation in developing grains. AGPase and SSS are key enzymes catalyzing photosynthates’ conversion into total starch and amylopectin, ultimately determining the final starch content and composition of grains [48,49]. In this study, nitrogen application and chemical regulation enhanced AGPase and SSS activities in grains. This facilitated starch biosynthesis and accumulation, thereby optimizing the grain-filling process, which is consistent with previous studies [50]. During grain filling, translocated photosynthates initially exist as soluble sugars in grains prior to being converted to starch [51]. Therefore, the soluble sugar content in grains is closely correlated with starch accumulation and can reflect the potential for starch synthesis [52]. Our results indicated a unimodal pattern in the soluble sugar content during grain filling, characterized by an initial increase followed by a decrease. This pattern reflects the following: (1) the translocation of assimilates from vegetative organs (leaves, sheaths, stems) to grains during the early grain-filling stage, which results in increased soluble sugar levels; and (2) subsequently soluble sugar is converted to starch as grain-filling progresses, leading to a reduction in soluble sugar content [53]. In this study, nitrogen application and chemical regulation increased soluble sugar content in grains during grain filling, consistent with previous study [54]. It may be attributed to enhanced metabolic activity in leaves, roots, and stems through nitrogen and chemical regulation, thereby improving photosynthate translocation to grains during the filling period [55]. Furthermore, nitrogen fertilizer sustained active carbon metabolism in developing grains, ensuring adequate photoassimilate supply for grain growth requirements [54]. Chemical regulation promoted soluble sugar metabolism in leaves and grains, facilitating assimilate transport to grains [46]. Insufficient soluble sugar can limit starch biosynthesis in grains [56]. However, nitrogen fertilizer and chemical regulation sustained elevated levels of photosynthetic assimilates in grains, thereby sufficiently meeting the growth requirements of grains.
Increasing nitrogen application constitutes a critical strategy for achieving high yields, which has contributed to a rising trend in nitrogen input in recent years. In this study, nitrogen fertilizer and chemical regulation significantly increased grain number per ear, 1000-grain weight, and yield under high planting density. However, once the nitrogen application rate exceeds optimal levels, its positive effects on maize yield and yield component diminished, and it potentially even showed declining trends [57]. Furthermore, our results indicated that elevated nitrogen application significantly increased N2O and CO2 emissions. It may associate with changes in the expression abundance of microorganisms associated with the nitrogen cycle [58]. Notably, N2O serves as the primary form of gaseous nitrogen loss from fertilizers; its emissions reduce nitrogen use efficiency and cause environmental risks [59]. It has been demonstrated that excessive nitrogen fertilizer input fails to promote yield enhancement and induces resource waste and environmental pollution [60,61]. Studies have shown that increasing yield is a crucial approach for improving nitrogen use efficiency. Therefore, to achieve both high yield and efficient nitrogen utilization, it is necessary to explore yield potential rather than overly rely on high nitrogen inputs. In this study, chemical regulation reduced N2O and CO2 emissions while maximizing yield. It may be achieved by enhancing nitrogen utilization efficiency, thereby realizing high-yield and high-efficiency crop production [62,63]. Efficient nitrogen utilization directly contributes to reduced N2O emissions. Dry matter synthesis and yield increase will enhance nitrogen uptake, thereby reducing soil N2O emissions, as well as GWP and GHGI [64]. In this study, the combination of N240 and chemical regulation optimally balanced yield potential with nitrogen loss, demonstrating significant importance for improving maize production and alleviating environmental pressure.

4. Materials and Methods

4.1. Field Sites

This study was carried out at the Minzhu experimental station of Harbin Academy of Agricultural Sciences (45°75′ N, 126°63′ E; 140 m a.s.l.) in Heilongjiang Province during 2021–2022. The site is characterized by a temperate continental monsoon climate, with annual averages of 569.1 mm precipitation (65% in summer), 4.3 °C temperature, 2642.1 h sunshine duration, 1324.3 mm evaporation, and a 140–150-day frost-free period. Meteorological data during the maize growing seasons are obtained from the Harbin Academy of Agricultural Sciences and provided in Table 10. The experiment was conducted on typical chernozem under a continuous maize cropping system. The 0–20 cm soil layer exhibited the following properties: pH 6.75; organic matter 1.773 g kg−1; total nitrogen 0.513 g kg−1; total phosphorus 0.252 g kg−1; total potassium 2.933 g kg−1; available nitrogen 220.38 mg kg−1; available phosphorus 59.85 mg kg−1; and available potassium 131.24 mg kg−1. Soil analysis methods were performed according to reference [65].

4.2. Experimental Design and Field Management

The experiment was conducted using a split-split plot design involving three factors: cultivar as the main plot, chemical regulation as the subplot, and nitrogen application as the sub-subplot. Two maize cultivars, namely JNK728 and SD5, were assigned to the main plots, with two chemical regulation treatments allocated to the subplots and four nitrogen rates to the sub-subplots. Compared with JNK728, SD5 exhibits more compact plant figure with smaller individual plant coverage area. The plant growth regulator used was 30% diethyl aminoethyl hexanoate·ethephon (containing 3% DA-6 and 27% ethephon), commercially named Guoguang Aifeng (Sichuan Runer Technology Co., Ltd., Chengdu, China). For each cultivar treatment, two chemical regulation treatments were established: PGR treatment involved uniform foliar application of 0.83 mL L−1 regulator solution at the seven-leaf stage using a spray volume of 450 L ha−1, while CK treatment received an equivalent volume of water. Four nitrogen rates were assigned under each chemical regulation treatment: 0 (N0), 120 (N120), 240 (N240), and 360 (N360) kg N ha−1, totaling sixteen treatments with three replicates. Seeds were manually sown in late April each year at approximately 5 cm depth, with a planting density of 90,000 plants ha−1. Each plot consisted of 10 rows with 65 cm row spacing and 8 m row length. Nitrogen fertilizer (urea) was applied as 50% basal dressing and 50% topdressing at the jointing stage, while phosphorus (100 kg P2O5 ha−1) and potassium (100 kg K2O ha−1) fertilizers were applied entirely as basal dressing. All plots were harvested on September 25 annually. No irrigation was applied during the maize growing season. Pests, weeds, and diseases were controlled in a timely manner, and tillage management was conducted according to local farmer management.

4.3. Sampling and Measurements

4.3.1. Root Morphology and Root Bleeding Sap

Root sampling was conducted at jointing, tasseling, early filling, milk, and maturity stages, with three consecutive plants excavated during each sampling event. The root system was sampled using the profile method within a 20 cm radius from the plant base (0–40 cm soil depth) [36]. After washing with clean water, roots were scanned using an Epson V700 root scanner (Epson Co., Ltd., Jakarta, Indonesia) and analyzed with WinRHIZO version 5.0 (Regent Instruments Inc., Quebec City, QC, Canada) to determine root length, surface area, and volume. The scanned roots were oven-dried at 80 °C to constant weight for dry weight measurement [36]. Root bleeding sap was collected from 19:00 to 07:00 the next day at each growth stage. A suitable amount of dry absorbent cotton (approximately 2/3 of the tube volume) was placed into test tubes. The stems were then rapidly cut at the third basal internode using scissors, and the tubes were secured to the residual stumps with plastic film for bleeding sap collection. The bleeding rate, mineral elements concentrations, and amino acids concentrations in root bleeding sap were determined following Sun et al. [66].

4.3.2. Grain Filling, Grain Formation and Yield

At the silking stage, five uniform plants were selected. From 10 d to 50 d after anthesis, samples were collected at 5-day intervals. For each sampling, 100 middle-positioned grains were excised from ears, inactivated at 105 °C for 30 min, and then dried at 80 °C to determine grain dry weight. The grain-filling process was fitted using the Logistic equation and parameters were calculated according to Ren et al. [67]. At 10 d, 20 d, 30 d, 40 d, and 50 d after anthesis, three ears per treatment were collected, and middle-positioned grains were sampled for determination. Soluble sugar and starch content were measured following Wang et al. [68], and AGPase and SSS activities were measured following Zhang et al.’s method [69]. At maturity stage, the central three rows of maize plants per plot were harvested for determining yield (adjusted to 14% moisture content), grain number per ear, and 1000-grain weight measurement.

4.3.3. Dry Matter Accumulation

Plants were sampled at the jointing, tasseling, early filling, milking, and maturity stages, with three representative plants of uniform growth selected per treatment. The plants were separated into different organs (leaves, stems + sheaths, cob + husks, and grains), which were then inactivated at 105 °C for 30 min and oven-dried at 80 °C to constant weight for dry weight measurement. ADMA and CPDMA were calculated according to Gao et al. [70]:
ADMA = dry matter accumulation per plant at maturity stage − dry matter accumulation per plant at anthesis;
CPDMA = post-anthesis dry matter accumulation per plant/dry matter accumulation per plant at maturity stage.

4.3.4. Greenhouse Gas Emissions

As this study was conducted under rainfed conditions, only N2O and CO2 emissions were considered, while CH4 emissions were excluded. N2O and CO2 emissions were measured throughout the maize growing season using the static chamber-gas chromatography method according to Dyer et al. [71]. The sampling chamber was constructed of opaque PVC material with dimensions of 60 cm (length) × 25 cm (width) × 30 cm (height). The chamber top was equipped with a three-way valve for gas sampling and contained a small fan to ensure homogeneous gas mixing prior to sampling. The chamber base was inserted 10 cm into the soil, with the chamber body securely fitted into the groove of the base. The groove was water-sealed to ensure airtight conditions. During measurement periods, the chambers remained free of crops and weeds and were positioned between crop rows within each plot. During the entire maize growing season, gas sampling was conducted at 7-day intervals. Additional sampling was performed 1 day after topdressing, followed by resumption of the 7-day interval after one week. All sampling occurred between 09:00 and 11:00 h. Following chamber closure, gas samples were collected by opening the stopcock valve at 0, 15, and 30 min, and withdrawing gas with a syringe. Collected samples were immediately sealed and analyzed on the same day. The concentrations of N2O and CO2 were determined using a gas chromatograph (Agilent 7890B, Agilent Technologies, Inc., Shanghai, China), with calibration and quantification performed using high-purity standards (0.5 mg L−1). The cumulative emissions of N2O and CO2 (kg ha−1) were calculated by linear interpolation between successive sampling dates [72].
GWP was calculated as follows: GWP is used to represent the cumulative radiative forcing of a unit mass of greenhouse gas over a specific time horizon. In the calculation, CO2 was used as the reference gas (GWP = 1 for CO2). For a 100-year time horizon of climate change, the GWP of N2O is 298 times that of CO2. The calculation formula followed Yang et al. [73]: GWP (kg ha−1) = CO2 cumulative emissions (kg ha−1) + N2O cumulative emissions (kg ha−1) × 298.
GHGI was calculated as follows: GHGI is defined as the greenhouse gas emissions per unit of economic output. The calculation formula followed Yang et al. [73]: GHGI = GWP/Y, where Y represents yield (kg ha−1).

4.4. Data Analysis

Statistical analyses were performed using SPSS Statistics 21.0 (SPSS Inc., Chicago, IL, USA) with two-way analysis of variance (ANOVA) and least significant difference (LSD) test at p < 0.05 to determine treatment effects of nitrogen fertilizer and chemical regulation on the following: (i) root morphological traits, (ii) root bleeding rate, (iii) grain formation, (iv) dry matter accumulation, (v) field greenhouse gas emissions, and (vi) yield parameters. The grain-filling dynamics were fitted using Curve Expert 1.3 software. Figures were prepared using Microsoft Excel 2010.

5. Conclusions

In this study, nitrogen fertilization and chemical regulation exert a positive effect on maize yield formation. Under high planting density, the combination of 240 kg N ha−1 and chemical regulation enhances root growth, optimizes dry matter allocating to grains, reduces greenhouse gas emissions, and increases maize yield (Figure 8). Consequently, this cultivation practice provides a theoretical basis for high-yield and high-efficiency maize production under high planting density.

Author Contributions

Conceptualization, Y.M., Y.H., and W.G.; Data curation, X.L., Y.M., L.X., G.L., Y.J., and Y.Z.; Formal analysis, X.L. and G.L.; Funding acquisition, W.G.; Investigation, Y.M., L.X., Y.Y., G.L., Y.J., and Y.Z.; Methodology, X.L. and C.Q.; Project administration, W.G.; Resources, W.G.; Software, X.L., Y.M., L.X., Y.H., Y.Y., G.L., Y.J., and Y.Z.; Supervision, W.G.; Validation, X.L., L.X., Y.H., Y.Y., Y.J., and C.Q.; Visualization, Y.Z. and C.Q.; Writing—original draft, X.L.; Writing—review and editing, Y.H., Y.Y., and C.Q. All authors have read and agreed to the published version of the manuscript.

Funding

This work was supported by the National Key Research and Development Program of China “Science and Technology Innovation Project for High Yield and Efficiency of Major Crops” (2023YFD2301704), the National Key Research and Development Program of China “Science and Technology Innovation Project for Black Soil Protection and Utilization” (2024YFD1500701), and the Collaborative Innovation and Promotion System for Green and Organic Agriculture in Heilongjiang Province (2025).

Data Availability Statement

Data are contained within the article.

Conflicts of Interest

The authors declare no conflicts of interest.

Abbreviations

The following abbreviations are used in this manuscript:
PGRsPlant growth regulators
DA-6Diethyl aminoethyl hexanoate
AGPaseADP-glucose pyrophosphorylase
SSSSoluble starch synthase
ADMAAmount of dry matter per plant after anthesis
CPDMAContribution proportion of the dry matter after anthesis
GWPGlobal warming potential
GHGIGreenhouse gas intensity

References

  1. Erenstein, O.; Jaleta, M.; Sonder, K.; Mottaleb, K.; Prasanna, B.M. Global maize production, consumption and trade: Trends and R&D implications. Food Secur. 2022, 14, 1295–1319. [Google Scholar] [CrossRef]
  2. Shen, D.; Wang, K.; Zhou, L.; Fang, L.; Wang, Z.; Fu, J.; Zhang, T.; Liang, Z.; Xie, R.; Ming, B.; et al. Increasing planting density and optimizing irrigation to improve maize yield and water-use efficiency in Northeast China. Agronomy 2024, 14, 400. [Google Scholar] [CrossRef]
  3. Tian, J.; Wang, C.; Chen, F.; Qin, W.; Yang, H.; Zhao, S.; Xia, J.; Du, X.; Zhu, Y.; Wu, L.; et al. Maize smart-canopy architecture enhances yield at high densities. Nature 2024, 632, 576–584. [Google Scholar] [CrossRef]
  4. Zhang, G.; Cui, C.; Lv, Y.; Wang, X.; Wang, X.; Zhao, D.; Hu, F.; Wen, X.; Han, J.; Liao, Y. Is it necessary to increase the maize planting density in China? Eur. J. Agron. 2024, 159, 127235. [Google Scholar] [CrossRef]
  5. Gao, Y.; Chen, J.; Wang, G.; Liu, Z.; Sun, W.; Zhang, Y.; Zhang, X. Different responses in root water uptake of summer maize to planting density and nitrogen fertilization. Front. Plant Sci. 2022, 13, 918043. [Google Scholar] [CrossRef]
  6. Saenz, E.; Ruiz, A.; Sciarresi, C.; King, K.; Baum, M.; Ferela, A.; Danalatos, G.J.N.; Gambin, B.; Kalogeropoulos, G.; Thies, A.; et al. Historical increases in plant density increased vegetative maize biomass while breeding increased reproductive biomass and allocation to ear over stem. Field Crops Res. 2025, 322, 109704. [Google Scholar] [CrossRef]
  7. Guo, X.; Liu, W.; Yang, Y.; Liu, G.; Ming, B.; Xie, R.; Wang, K.; Li, S.; Hou, P. Optimal nitrogen distribution in maize canopy can synergistically improve maize yield and nitrogen utilization efficiency while reduce environmental risks. Agric. Ecosyst. Environ. 2025, 383, 109540. [Google Scholar] [CrossRef]
  8. Gao, J.; Liu, Z.; Wang, P.; Huang, S. Drip irrigation coupled with appropriate N input increased maize (Zea mays L.) yield and lodging resistance via optimizing root and stem trait. Eur. J. Agron. 2024, 160, 127298. [Google Scholar] [CrossRef]
  9. Wang, H.; Xu, R.; Li, Y.; Yang, L.; Shi, W.; Liu, Y.; Chang, S.; Hou, F.; Jia, Q. Enhance root-bleeding sap flow and root lodging resistance of maize under a combination of nitrogen strategies and farming practices. Agric. Water Manag. 2019, 224, 105742. [Google Scholar] [CrossRef]
  10. Fang, H.; Li, Y.; Gu, X.; Chen, P.; Li, Y. Root characteristics, utilization of water and nitrogen, and yield of maize under biodegradable film mulching and nitrogen application. Agric. Water Manag. 2022, 262, 107392. [Google Scholar] [CrossRef]
  11. Zhao, B.; Tong, L.; Liu, H.; Hao, M.; Zhang, R. Optimizing root morphology is a key to improving maize yield under nitrogen reduction and densification cultivation. Field Crops Res. 2025, 329, 109958. [Google Scholar] [CrossRef]
  12. Ren, H.; Jiang, Y.; Zhao, M.; Qi, H.; Li, C. Nitrogen supply regulates vascular bundle structure and matter transport characteristics of spring maize under high plant density. Front. Plant Sci. 2021, 11, 602739. [Google Scholar] [CrossRef]
  13. Swank, J.C.; Below, F.E.; Lambert, R.J.; Hageman, R.H. Interaction of carbon and nitrogen-metabolism in the productivity of maize. Plant Physiol. 1982, 70, 1185–1190. [Google Scholar] [CrossRef]
  14. Sun, W.; He, Q.; Zhou, G.; Song, Y. Response of grain quality to plant growth dynamics in summer maize as influenced by sowing dates and weather factors. Ind. Crops Prod. 2025, 231, 121210. [Google Scholar] [CrossRef]
  15. Zhang, H.; Chen, T.; Yu, S.; Zhou, C.; Teng, A.; Lei, L.; Li, F. Optimizing the mulching pattern and nitrogen application rate to improve maize photosynthetic capacity, yield, and nitrogen fertilizer utilization efficiency. Plants 2024, 13, 1241. [Google Scholar] [CrossRef]
  16. Ren, H.; Xu, S.; Zhang, F.; Sun, M.; Zhang, R. Cultivation and nitrogen management practices effect on soil carbon fractions, greenhouse gas emissions, and maize production under dry-land farming system. Land 2023, 12, 1306. [Google Scholar] [CrossRef]
  17. Ren, J.; Jiang, Y.; Han, W.; Shi, L.; Zhang, Y.; Liu, G.; Cui, Y.; Du, X.; Gao, Z.; Liang, X. Simultaneous enhancement of maize yield and lodging resistance via delaying plant growth retardant application. Field Crops Res. 2024, 317, 109530. [Google Scholar] [CrossRef]
  18. Jiang, N.; Zou, T.; Huang, H.; Li, C.; Xia, Y.; Yang, L. Auxin synthesis promotes N metabolism and optimizes root structure enhancing N acquirement in maize (Zea mays L.). Planta 2024, 259, 46. [Google Scholar] [CrossRef]
  19. Wang, X.; Song, G.; Shah, S.; Ren, H.; Ren, B.; Zhang, J.; Liu, P.; Zhao, B. The potential of EDAH in promoting kernel formation and grain yield in summer maize. Field Crops Res. 2024, 319, 109655. [Google Scholar] [CrossRef]
  20. Xu, C.; Gao, Y.; Tian, B.; Ren, J.; Meng, Q.; Wang, P. Effects of EDAH, a novel plant growth regulator, on mechanical strength, stalk vascular bundles and grain yield of summer maize at high densities. Field Crops Res. 2017, 200, 71–79. [Google Scholar] [CrossRef]
  21. Liu, X.; Gu, W.; Li, C.; Li, J.; Wei, S. Effects of nitrogen fertilizer and chemical regulation on spring maize lodging characteristics, grain filling and yield formation under high planting density in Heilongjiang Province, China. J. Integr. Agric. 2021, 20, 511–526. [Google Scholar] [CrossRef]
  22. Zhang, Y.; Wang, Y.; Liu, C.; Zhang, M.; Ren, D.; Li, Z.; Zhang, M. Ethephon reduces maize nitrogen uptake but improves nitrogen utilization in Zea mays L. Front. Plant Sci. 2022, 12, 762736. [Google Scholar] [CrossRef]
  23. Liu, C.; Feng, N.; Zheng, D.; Cui, H.; Sun, F.; Gong, X. Uniconazole and diethyl aminoethyl hexanoate increase soybean pod setting and yield by regulating sucrose and starch content. J. Sci. Food Agric. 2019, 99, 748–758. [Google Scholar] [CrossRef] [PubMed]
  24. Bai, Y.; Dai, Q.; He, Y.; Yan, L.; Niu, J.; Wang, X.; Xie, Y.; Yu, X.; Tang, W.; Li, H.; et al. Exogenous diethyl aminoethyl hexanoate alleviates the damage caused by low-temperature stress in Phaseolus vulgaris L. seedlings through photosynthetic and antioxidant systems. BMC Plant Biol. 2025, 25, 75. [Google Scholar] [CrossRef]
  25. Zhang, Q.; Zhang, L.; Evers, J.; Evers, J.; van der Werf, W.; Zhang, W.; Duan, L. Maize yield and quality in response to plant density and application of a novel plant growth regulator. Field Crops Res. 2014, 164, 82–89. [Google Scholar] [CrossRef]
  26. Sun, N.; Chen, X.; Zhao, H.; Meng, X.; Bian, S. Effects of plant growth regulators and nitrogen management on root lodging resistance and grain yield under high-density maize crops. Agronomy 2022, 12, 2892. [Google Scholar] [CrossRef]
  27. Liu, Z.; Zhu, K.; Dong, S.; Liu, P.; Zhao, B.; Zhang, J. Effects of integrated agronomic practices management on root growth and development of summer maize. Eur. J. Agron. 2017, 84, 140–151. [Google Scholar] [CrossRef]
  28. Ma, L.; Li, Y.; Wu, P.; Zhao, X.; Gao, X.; Chen, X. Recovery growth and water use of intercropped maize following wheat harvest in wheat/maize relay strip intercropping. Field Crops Res. 2020, 256, 107924. [Google Scholar] [CrossRef]
  29. Sun, S.; Chen, Z.; Jiang, H.; Zhang, L. Black film mulching and plant density influencing soil water temperature conditions and maize root growth. Vadose Zone J. 2018, 17, 180104. [Google Scholar] [CrossRef]
  30. Guo, Y.; Huang, G.; Guo, Q.; Peng, C.; Liu, Y.; Zhang, M.; Li, Z.; Zhou, Y.; Duan, L. Increase in root density induced by coronatine improves maize drought resistance in North China. Crop J. 2023, 11, 278–290. [Google Scholar] [CrossRef]
  31. Li, R.; Hu, D.; Ren, H.; Yang, Q.; Dong, S.; Zhang, J.; Zhao, B.; Liu, P. How delaying post-silking senescence in lower leaves of maize plants increases carbon and nitrogen accumulation and grain yield. Crop J. 2022, 10, 853–863. [Google Scholar] [CrossRef]
  32. Yan, S.; Wu, Y.; Fan, J.; Xiang, Y.; Zheng, J.; Guo, J.; Lu, J.; Wu, L.; Qiang, S.; Xiang, Y. Source-sink relationship and yield stability of two maize cultivars in response to water and fertilizer inputs in northwest China. Agric. Water Manag. 2022, 262, 107332. [Google Scholar] [CrossRef]
  33. Shao, Z.; Zheng, C.; Postma, J.A.; Gao, Q.; Zhang, J. More N fertilizer, more maize, and less alfalfa: Maize benefits from its higher N uptake per unit root length. Front. Plant Sci. 2024, 15, 1338521. [Google Scholar] [CrossRef]
  34. Gu, L.; Mu, X.; Qi, J.; Tang, B.; Zhen, W.; Xia, L. Nitrogen reduction combined with ETc irrigation maintained summer maize yield and increased water and nitrogen use efficiency. Front. Plant Sci. 2023, 14, 1180734. [Google Scholar] [CrossRef] [PubMed]
  35. Noguchi, A.; Kageyama, M.; Shinmachi, F.; Schmidhalter, U.; Hasegawa, I. Potential for using plant xylem sap to evaluate inorganic nutrient availability in soil—I. Influence of inorganic nutrients present in the rhizosphere on those in the xylem sap of Luffa cylindrica Roem. Soil Sci. Plant Nutr. 2005, 51, 333–341. [Google Scholar] [CrossRef]
  36. Guan, D.; Al-Kaisi, M.M.; Zhang, Y.; Duan, L.; Tan, W.; Zhang, M.; Li, Z. Tillage practices affect biomass and grain yield through regulating root growth, root bleeding sap and nutrients uptake in summer maize. Field Crops Res. 2014, 157, 89–97. [Google Scholar] [CrossRef]
  37. Yang, T.; Zhao, J.; Hong, M.; Ma, M.; Ma, S.; Yuan, Y. Optimizing water and nitrogen supply can regulate the dynamics of dry matter accumulation in maize, thereby promoting dry matter accumulation and increasing yield. Field Crops Res. 2025, 326, 109837. [Google Scholar] [CrossRef]
  38. Wu, G.; Ling, J.; Liu, Z.; Xu, Y.; Chen, X.; Wen, Y.; Zhou, S. Soil warming and straw return impacts on winter wheat phenology, photosynthesis, root growth, and grain yield in the North China Plain. Field Crops Res. 2022, 283, 108545. [Google Scholar] [CrossRef]
  39. Zhiipao, R.R.; Pooniya, V.; Kumar, D.; Biswakarma, N.; Bainsla, N.K.; Saikia, N.; Duo, H.; Dorjee, L.; Govindasamy, P.; Lakhena, K.K.; et al. Late-sown stress afflict post-anthesis dry matter and nutrient partitioning and their remobilization in aestivum wheat genotypes. J. Agron. Crop Sci. 2024, 210, e12693. [Google Scholar] [CrossRef]
  40. Wu, Y.; Bo, Z.; Li, X.; Liu, Q.; Feng, D.; Lan, T.; Kong, F.; Li, Q.; Yuan, J. Nitrogen application affects maize grain filling by regulating grain water relations. J. Integr. Agric. 2022, 21, 977–994. [Google Scholar] [CrossRef]
  41. Liao, Z.; Zhang, C.; Zhang, Y.; Fan, J.; Yan, S.; Zhang, S.; Li, Z.; Fan, J. Nitrogen application and soil mulching improve grain yield of rainfed maize by optimizing source-sink relationship and grain filling process on the Loess Plateau of China. Eur. J. Agron. 2024, 153, 127060. [Google Scholar] [CrossRef]
  42. Ntanos, D.; Koutroubas, S. Dry matter and N accumulation and translocation for Indica and Japonica rice under Mediterranean conditions. Field Crops Res. 2002, 74, 93–101. [Google Scholar] [CrossRef]
  43. Chen, T.; Zhang, H.; Yu, S.; Zhou, C.; Chen, X.; Teng, A.; Lei, L.; Li, F. Modeling spring maize grain filling under film mulching and nitrogen application in a cold and arid environment. Water 2024, 16, 88. [Google Scholar] [CrossRef]
  44. Zhai, L.; Wang, Z.; Song, S.; Zhang, L.; Zhang, Z.; Jia, X. Tillage practices affects the grain filling of inferior kernel of summer maize by regulating soil water content and photosynthetic capacity. Agric. Water Manag. 2021, 245, 106600. [Google Scholar] [CrossRef]
  45. Li, Q.; Du, L.; Feng, D.; Ren, Y.; Li, Z.; Kong, F.; Yuan, J. Grain-filling characteristics and yield differences of maize cultivars with contrasting nitrogen efficiencies. Crop J. 2021, 8, 990–1001. [Google Scholar] [CrossRef]
  46. Yu, T.; Xin, Y.; Liu, P. Effects of 6-benzyladenine (6-BA) on the filling process of maize grains placed at different ear positions under high planting density. Plants 2023, 12, 3590. [Google Scholar] [CrossRef]
  47. Lu, D.; Sun, X.; Yan, F.; Wang, X.; Xu, R.; Lu, W. Effects of high temperature during grain filling under control conditions on the physicochemical properties of waxy maize flour. Carbohydr. Polym. 2013, 98, 302–310. [Google Scholar] [CrossRef] [PubMed]
  48. Mizuno, K.; Kimura, K.; Arai, Y.; Kawasaki, T.; Shimada, H.; Baba, T. Starch branching enzymes from immature rice seeds. J. Biochem. 1992, 112, 643–651. [Google Scholar] [CrossRef]
  49. Fontaine, T.; D’ Hulst, C.; Maddelein, M.; Routier, F.; Pepin, T.M.; Decq, A.; Wieruszeski, J.M.; Delrue, B.; Van den Koornhuyse, N.; Bossu, J.P. Toward an understanding of the biogenesis of the starch granule, evidence that Chlamydomonas soluble starch synthase II controls the synthesis of intermediate size glucans of amylopectin. J. Biol. Chem. 1993, 268, 16223–16230. [Google Scholar] [CrossRef]
  50. Zhang, W.; Zhao, Y.; Li, L.; Xu, X.; Yang, L.; Luo, Z.; Wang, B.; Ma, S.; Fan, Y.; Huang, Z. The effects of short-term exposure to low temperatures during the booting stage on starch synthesis and yields in wheat grain. Front. Plant Sci. 2021, 12, 684784. [Google Scholar] [CrossRef] [PubMed]
  51. Wang, G.; Li, H.; Feng, L.; Chen, M.; Meng, S.; Ye, N.; Zhang, J. Transcriptomic analysis of grain filling in rice inferior grains under moderate soil drying. J. Exp. Bot. 2019, 70, 1597–1611. [Google Scholar] [CrossRef]
  52. Singh, R.; Juliano, B.O. Free sugars in relation to starch accumulation in developing rice grain. Plant Physiol. 1977, 59, 417–421. [Google Scholar] [CrossRef] [PubMed]
  53. Gao, Y.; Liu, C.; Wang, J.; Liu, X.; Zhang, X.; Zhou, J.; Li, X.; Wang, Y.; Dong, G.; Huang, J.; et al. Modified TAL expression in rice plant regulates yield components and grain quality in a N-rate dependent manner. Field Crops Res. 2024, 306, 109219. [Google Scholar] [CrossRef]
  54. Feng, W.; Xue, W.; Zhao, Z.; Shi, Z.; Wang, W.; Bai, Y.; Wang, H.; Qiu, P.; Xue, J.; Chen, B. Nitrogen fertilizer application rate affects the dynamic metabolism of nitrogen and carbohydrates in kernels of waxy maize. Front. Plant Sci. 2024, 15, 1416397. [Google Scholar] [CrossRef]
  55. Li, G.; Zhang, Y.; Zhou, C.; Xu, K.; Zhu, C.; Ni, C.; Huo, Z.; Dai, Q.; Xu, K. Agronomic and physiological characteristics of high yield and nitrogen use efficient varieties of rice: Comparison between two near-isogenic lines. Food Energy Secur. 2024, 13, e539. [Google Scholar] [CrossRef]
  56. Zhang, K.; Guo, L.; Cheng, W.; Liu, B.; Li, W.; Wang, F.; Xu, C.; Zhao, X.; Ding, Z.; Zhang, K.; et al. SH1-dependent maize seed development and starch synthesis via modulating carbohydrate flow and osmotic potential balance. BMC Plant Biol. 2020, 20, 264. [Google Scholar] [CrossRef]
  57. Yan, F.; Zhang, F.; Fan, X.; Fan, J.; Wang, Y.; Zou, H.; Wang, H.; Li, G. Determining irrigation amount and fertilization rate to simultaneously optimize grain yield, grain nitrogen accumulation and economic benefit of drip-fertigated spring maize in northwest China. Agric. Water Manag. 2021, 243, 106440. [Google Scholar] [CrossRef]
  58. Yu, N.; Alam, S.; Ren, B.; Zhao, B.; Liu, P.; Zhang, J. Long-term integrated soil-crop system management promoted rhizosphere nitrogen cycling and reduced N2O emission of maize. Field Crops Res. 2024, 319, 109641. [Google Scholar] [CrossRef]
  59. Liu, X.; Xu, W.; Du, E.; Tang, A.; Zhang, Y.; Wen, Z.; Hao, T.; Pan, Y.; Zhang, L.; Zhao, Y.; et al. Environmental impacts of nitrogen emissions in China and the role of policies in emission reduction. Philos. Trans. R. Soc. A 2020, 378, 20190324. [Google Scholar] [CrossRef]
  60. Yan, L.; Zhang, Z.; Zhang, J.; Gao, Q.; Feng, G.; Abelrahman, A.M.; Chen, Y. Effects of improving nitrogen management on nitrogen utilization, nitrogen balance, and reactive nitrogen losses in a Mollisol with maize monoculture in Northeast China. Environ. Sci. Pollut. Res. 2016, 23, 4576–4584. [Google Scholar] [CrossRef]
  61. Omonode, R.A.; Halvorson, A.D.; Gagnon, B.; Vyn, T.J. Achieving lower nitrogen balance and higher nitrogen recovery efficiency reduces nitrous oxide emissions in North America’s maize cropping systems. Front. Plant Sci. 2017, 8, 1080. [Google Scholar] [CrossRef]
  62. Dawar, K.; Sardar, K.; Zaman, M.; Müller, C.; Sanz-Cobena, A.; Khan, A.; Borzouei, A.; Pérez-Castillo, A.G. Effects of the nitrification inhibitor nitrapyrin and the plant growth regulator gibberellic acid on yield-scale nitrous oxide emission in maize fields under hot climatic conditions. Pedosphere 2021, 31, 323–331. [Google Scholar] [CrossRef]
  63. Abbasi, N.A.; Madramootoo, C.A.; Zhang, T.; Tan, C. Soil nutrients and plant uptake parameters as related to greenhouse gas emissions. J. Environ. Qual. 2022, 51, 1129–1143. [Google Scholar] [CrossRef]
  64. Zhang, Y.; Liu, D.; Jia, Z.; Zhang, P. Ridge and furrow rainfall harvesting can significantly reduce N2O emissions from spring maize fields in semiarid regions of China. Soil Tillage Res. 2021, 209, 104971. [Google Scholar] [CrossRef]
  65. Shao, W.; Wang, H.; Lu, S.; Wang, X.; Huang, J.; Wang, D.; He, C.; Xu, M. Bacterial-mediated nutrient cycling and yield recovery in high-density cassava-maize intercropping systems enhanced by maize straw return. Field Crops Res. 2025, 328, 109915. [Google Scholar] [CrossRef]
  66. Sun, G.; Meng, Y.; Wang, Y.; Zhao, M.; Wei, S.; Gu, W. Exogenous hemin optimized maize leaf photosynthesis, root development, grain filling, and resource utilization on alleviating cadmium stress under field condition. J. Plant Nutr. Soil Sci. 2022, 22, 631–646. [Google Scholar] [CrossRef]
  67. Ren, B.; Hu, J.; Zhang, J.; Dong, S.; Liu, P.; Zhao, B. Spraying exogenous synthetic cytokinin 6-benzyladenine following the waterlogging improves grain growth of waterlogged maize in the field. J. Agron. Crop Sci. 2019, 205, 616–624. [Google Scholar] [CrossRef]
  68. Wang, L.; Yu, X.; Gao, J.; Ma, D.; He, T.; Hu, S. Effect of subsoiling on the nutritional quality of grains of maize hybrids of different eras. Plants 2024, 13, 1900. [Google Scholar] [CrossRef]
  69. Zhang, R.; Hu, H.; Zhao, Z.; Zhang, R.; Hu, H.; Zhao, Z.; Yang, D.; Zhu, X.; Guo, W.; Zhu, J.; et al. Effects of elevated ozone concentration on starch and starch synthesis enzymes of Yangmai 16 under fully open-air field conditions. J. Integr. Agric. 2013, 12, 2157–2163. [Google Scholar] [CrossRef]
  70. Gao, H.; Zhang, C.; van der Werf, W.; Ning, P.; Zhang, Z.; Wan, S.; Zhang, F. Intercropping modulates the accumulation and translocation of dry matter and nitrogen in maize and peanut. Field Crops Res. 2022, 284, 108561. [Google Scholar] [CrossRef]
  71. Dyer, L.; Oelbermann, M.; Echarte, L. Soil carbon dioxide and nitrous oxide emissions during the growing season from temperate maize-soybean intercrops. J. Plant Nutr. Soil Sci. 2012, 175, 394–400. [Google Scholar] [CrossRef]
  72. Ahmad, I.; Yan, Z.; Kamran, M.; Ikram, K.; Ghani, M.; Hou, F. Nitrogen management and supplemental irrigation affected greenhouse gas emissions, yield and nutritional quality of fodder maize in an arid region. Agric. Water Manag. 2022, 269, 107650. [Google Scholar] [CrossRef]
  73. Yang, X.; Lan, Y.; Meng, J.; Chen, W.; Huang, Y.; Cheng, X.; He, T.; Cao, T.; Liu, Z.; Jiang, L.; et al. Effects of maize stover and its derived biochar on greenhouse gases emissions and C-budget of brown earth in Northeast China. Environ. Sci. Pollut. Res. 2017, 24, 8200–8209. [Google Scholar] [CrossRef] [PubMed]
Figure 1. Effect of nitrogen application rates and chemical regulation on root morphology in early grain-filling stage. JNK728 and SD5 indicate maize varieties Jingnongke 728 and Saide 5, respectively. PGR and CK indicate spraying plant growth regulator and water, respectively. N0, N120, N240, and N360 indicate nitrogen application rates at 0, 120, 240, and 360 kg ha−1, respectively.
Figure 1. Effect of nitrogen application rates and chemical regulation on root morphology in early grain-filling stage. JNK728 and SD5 indicate maize varieties Jingnongke 728 and Saide 5, respectively. PGR and CK indicate spraying plant growth regulator and water, respectively. N0, N120, N240, and N360 indicate nitrogen application rates at 0, 120, 240, and 360 kg ha−1, respectively.
Plants 14 03193 g001
Figure 2. Effect of nitrogen application rates and chemical regulation on root dry weight (ad), root surface area (eh), root volume (il), and root length (mp) in 2021 and 2022. JNK728 and SD5 indicate maize varieties Jingnongke 728 and Saide 5, respectively. N0+CK, N120+CK, N240+CK, and N360+CK indicate nitrogen application rates at 0, 120, 240, and 360 kg ha−1 combined with water, respectively. N0+Y, N120+Y, N240+Y, and N360+Y indicate nitrogen application rates at 0, 120, 240, and 360 kg ha−1 combined with plant growth regulator, respectively. Error bars indicate the value of standard error. Bars within the same growth stage marked with different letters are significantly different based on one-way ANOVA followed by Tukey’s test (p < 0.05).
Figure 2. Effect of nitrogen application rates and chemical regulation on root dry weight (ad), root surface area (eh), root volume (il), and root length (mp) in 2021 and 2022. JNK728 and SD5 indicate maize varieties Jingnongke 728 and Saide 5, respectively. N0+CK, N120+CK, N240+CK, and N360+CK indicate nitrogen application rates at 0, 120, 240, and 360 kg ha−1 combined with water, respectively. N0+Y, N120+Y, N240+Y, and N360+Y indicate nitrogen application rates at 0, 120, 240, and 360 kg ha−1 combined with plant growth regulator, respectively. Error bars indicate the value of standard error. Bars within the same growth stage marked with different letters are significantly different based on one-way ANOVA followed by Tukey’s test (p < 0.05).
Plants 14 03193 g002
Figure 3. Effect of nitrogen application rates and chemical regulation on grain weight in 2021 and 2022. JNK728 and SD5 indicate maize varieties Jingnongke 728 and Saide 5, respectively. N0+CK, N120+CK, N240+CK, and N360+CK indicate nitrogen application rates at 0, 120, 240, and 360 kg ha−1 combined with water, respectively. N0+Y, N120+Y, N240+Y, and N360+Y indicate nitrogen application rates at 0, 120, 240, and 360 kg ha−1 combined with plant growth regulator, respectively.
Figure 3. Effect of nitrogen application rates and chemical regulation on grain weight in 2021 and 2022. JNK728 and SD5 indicate maize varieties Jingnongke 728 and Saide 5, respectively. N0+CK, N120+CK, N240+CK, and N360+CK indicate nitrogen application rates at 0, 120, 240, and 360 kg ha−1 combined with water, respectively. N0+Y, N120+Y, N240+Y, and N360+Y indicate nitrogen application rates at 0, 120, 240, and 360 kg ha−1 combined with plant growth regulator, respectively.
Plants 14 03193 g003
Figure 4. Effect of nitrogen application rates and chemical regulation on starch content (ad), soluble sugar content (eh), AGPase activity (il), and SSS activity (mp) in grain in 2021 and 2022. JNK728 and SD5 indicate maize varieties Jingnongke 728 and Saide 5, respectively. N0+CK, N120+CK, N240+CK, and N360+CK indicate nitrogen application rates at 0, 120, 240, and 360 kg ha−1 combined with water, respectively. N0+Y, N120+Y, N240+Y, and N360+Y indicate nitrogen application rates at 0, 120, 240, and 360 kg ha−1 combined with plant growth regulator, respectively.
Figure 4. Effect of nitrogen application rates and chemical regulation on starch content (ad), soluble sugar content (eh), AGPase activity (il), and SSS activity (mp) in grain in 2021 and 2022. JNK728 and SD5 indicate maize varieties Jingnongke 728 and Saide 5, respectively. N0+CK, N120+CK, N240+CK, and N360+CK indicate nitrogen application rates at 0, 120, 240, and 360 kg ha−1 combined with water, respectively. N0+Y, N120+Y, N240+Y, and N360+Y indicate nitrogen application rates at 0, 120, 240, and 360 kg ha−1 combined with plant growth regulator, respectively.
Plants 14 03193 g004
Figure 5. Effect of nitrogen application rates and chemical regulation on dry matter distribution in different organs at maturity stage in 2021 and 2022. JNK728 and SD5 indicate maize varieties Jingnongke 728 and Saide 5, respectively. N0+CK, N120+CK, N240+CK, and N360+CK indicate nitrogen application rates at 0, 120, 240, and 360 kg ha−1 combined with water, respectively. N0+Y, N120+Y, N240+Y, and N360+Y indicate nitrogen application rates at 0, 120, 240, ane 360 kg ha−1 combined with plant growth regulator, respectively.
Figure 5. Effect of nitrogen application rates and chemical regulation on dry matter distribution in different organs at maturity stage in 2021 and 2022. JNK728 and SD5 indicate maize varieties Jingnongke 728 and Saide 5, respectively. N0+CK, N120+CK, N240+CK, and N360+CK indicate nitrogen application rates at 0, 120, 240, and 360 kg ha−1 combined with water, respectively. N0+Y, N120+Y, N240+Y, and N360+Y indicate nitrogen application rates at 0, 120, 240, ane 360 kg ha−1 combined with plant growth regulator, respectively.
Plants 14 03193 g005
Figure 6. Effect of nitrogen application rates and chemical regulation on ear morphology. JNK728 and SD5 indicate maize varieties Jingnongke 728 and Saide 5, respectively. PGR and CK indicate spraying plant growth regulator and water, respectively. N0, N120, N240, and N360 indicate nitrogen application rates at 0, 120, 240, and 360 kg ha−1, respectively.
Figure 6. Effect of nitrogen application rates and chemical regulation on ear morphology. JNK728 and SD5 indicate maize varieties Jingnongke 728 and Saide 5, respectively. PGR and CK indicate spraying plant growth regulator and water, respectively. N0, N120, N240, and N360 indicate nitrogen application rates at 0, 120, 240, and 360 kg ha−1, respectively.
Plants 14 03193 g006
Figure 7. Effect of nitrogen application rates and chemical regulation on N2O cumulative emission (a,b), CO2 cumulative emission (c,d), GWP (e,f), and GHGI (g,h) in 2021 and 2022. JNK728 and SD5 indicate maize varieties Jingnongke 728 and Saide 5, respectively. N0+CK, N120+CK, N240+CK, and N360+CK indicate nitrogen application rates at 0, 120, 240, and 360 kg ha−1 combined with water, respectively. N0+Y, N120+Y, N240+Y, and N360+Y indicate nitrogen application rates at 0, 120, 240, and 360 kg ha−1 combined with plant growth regulator, respectively.
Figure 7. Effect of nitrogen application rates and chemical regulation on N2O cumulative emission (a,b), CO2 cumulative emission (c,d), GWP (e,f), and GHGI (g,h) in 2021 and 2022. JNK728 and SD5 indicate maize varieties Jingnongke 728 and Saide 5, respectively. N0+CK, N120+CK, N240+CK, and N360+CK indicate nitrogen application rates at 0, 120, 240, and 360 kg ha−1 combined with water, respectively. N0+Y, N120+Y, N240+Y, and N360+Y indicate nitrogen application rates at 0, 120, 240, and 360 kg ha−1 combined with plant growth regulator, respectively.
Plants 14 03193 g007
Figure 8. Effects of nitrogen fertilizer and chemical regulation on root growth, grain filling, dry matter accumulation and greenhouse gas emissions. The red upward arrow represents an increase in its content, and the gray downward arrow represents a decrease in its content.
Figure 8. Effects of nitrogen fertilizer and chemical regulation on root growth, grain filling, dry matter accumulation and greenhouse gas emissions. The red upward arrow represents an increase in its content, and the gray downward arrow represents a decrease in its content.
Plants 14 03193 g008
Table 1. Effect of nitrogen application rates and chemical regulation on root bleeding sap rate (g plant−1 h−1).
Table 1. Effect of nitrogen application rates and chemical regulation on root bleeding sap rate (g plant−1 h−1).
Treatment20212022
Jointing StageTasseling StageEarly Filling StageMilk StageMaturity StageJointing StageTasseling StageEarly Filling StageMilk StageMaturity Stage
Nitrogen application          
N02.48 c2.55 c2.22 c1.96 c0.92 c2.19 c2.23 c1.97 c1.70 c0.72 c
N1202.79 b2.98 b2.63 b2.23 b1.08 b2.47 b2.64 b2.28 b1.99 b0.80 b
N2403.07 a3.39 a2.98 a2.45 a1.21 a2.81 a3.05 a2.54 a2.23 a0.89 a
N3602.85 b3.07 b2.69 b2.27 b1.11 b2.53 b2.77 b2.35 b2.04 b0.82 b
Chemical regulation          
CK2.66 b2.83 b2.52 b2.21 b1.01 b2.33 b2.51 b2.07 b1.66 b0.73 b
PGR2.94 a3.17 a2.74 a2.34 a1.15 a2.67 a2.83 a2.35 a1.92 a0.89 a
Variety          
JNK7282.89 a3.08 a2.70 a2.30 a1.11 a2.63 a2.77 a2.29 a1.86 a0.84 a
SD52.71 b2.92 b2.56 b2.16 b1.05 b2.37 b2.57 b2.13 b1.72 b0.78 b
Sources of variation          
V******************
N********************
C********************
V × NNS***NSNS***NS
V × C*NS*****NS**
N × CNSNSNSNSNSNSNSNSNSNS
V × N × CNSNSNSNSNSNSNSNSNSNS
N0, N120, N240, and N360 indicate nitrogen application rates at 0, 120, 240, and 360 kg ha−1, respectively. PGR and CK indicate spraying plant growth regulator and water, respectively. JNK728 and SD5 indicate maize varieties Jingnongke 728 and Saide 5, respectively. V, N, and C indicate variety, nitrogen application, and chemical regulation, respectively. Values within a column for the same treatment followed by the different letters indicate a significant difference at p < 0.05. * and ** indicate significance at the 0.05 and 0.01 probability levels, respectively, and NS is not significant.
Table 2. Effect of nitrogen application rates and chemical regulation on mineral nutrient concentrations in root bleeding sap (μg plant−1 h−1) (2021).
Table 2. Effect of nitrogen application rates and chemical regulation on mineral nutrient concentrations in root bleeding sap (μg plant−1 h−1) (2021).
TreatmentMineral Elements
FeMnCuZnCaMgKPBSi
Jointing stage          
Nitrogen application          
N01.16 c4.62 c0.348 c11.27 c321.7 c302.2 c1788 c116.6 c1.19 c49.91 c
N1201.31 b5.04 b0.382 b12.14 b348.4 b320.1 b1947 b128.3 b1.32 b53.53 b
N2401.54 a5.46 a0.419 a12.91 a376.9 a339.3 a2109 a139.7 a1.44 a57.32 a
N3601.47 a5.40 a0.410 a12.73 a368.4 a322.4 b2022 a133.3 a1.33 b56.03 a
Chemical regulation          
CK1.25 b4.60 b0.367 b11.60 b334.8 b302.5 b1856 b119.3 b1.24 b51.05 b
PGR1.49 a5.67 a0.412 a12.93 a372.9 a339.4 a2077 a139.6 a1.40 a57.34 a
Variety          
JNK7281.41 a5.29 a0.399 a12.66 a363.9 a329.6 a2029 a133.3 a1.36 a55.59 a
SD51.33 b4.98 b0.380 b11.87 b343.8 b312.4 b1904 b125.6 b1.28 b52.80 b
Sources of variation          
V******************
N********************
C********************
V × NNS*NSNS*NSNS**NS
V × CNSNS**NS****NSNS
N × CNSNSNSNSNSNSNSNSNSNS
V × N × CNSNSNSNSNSNSNSNSNSNS
Tasseling stage          
Nitrogen application          
N00.627 c4.43 c0.502 c9.79 c308.6 c291.8 c1608 c105.4 c1.08 c45.83 c
N1200.755 b4.86 b0.545 b10.57 b332.17 b312.7 b1727 b118.0 b1.23 b49.19 b
N2400.880 a5.32 a0.595 a11.32 a351.46 a330.4 a1847 a130.8 a1.35 a52.72 a
N3600.875 a5.32 a0.590 a11.33 a330.75 b320.0 ab1805 ab122.0 b1.26 b52.81 a
Chemical regulation          
CK0.725 b4.71 b0.519 b10.02 b308.9 b299.1 b1647 b110.9 b1.15 b46.88 b
PGR0.844 a5.25 a0.597 a11.48 a352.6 a328.3 a1846 a127.2 a1.30 a53.39 a
Variety          
JNK7280.805 a5.14 a0.573 a11.04 a340.4 a322.3 a1795 a122.3 a1.26 a51.75 a
SD50.764 b4.82 b0.543 b10.46 b321.1 b305.2 b1698 b115.7 b1.20 b48.52 b
Sources of variation          
V*************
N****************
C********************
V × N***NS**NS**NS
V × CNS*NS*NSNS*NSNS*
N × CNSNSNSNSNS*NSNSNSNS
V × N × CNSNSNSNSNSNSNSNSNSNS
Milk stage          
Nitrogen application          
N00.501 c1.66 c0.149 c3.94 c130.5 c31.37 d534.1 d47.9 c0.275 c18.25 c
N1200.575 b1.89 b0.163 b4.34 b147.0 b37.76 c612.8 c54.8 b0.310 b20.74 b
N2400.660 a2.27 a0.181 a4.69 a163.3 a47.14 a698.7 a61.2 a0.335 a23.47 a
N3600.655 a2.21 a0.172 ab4.73 a157.5 a44.63 b652.0 b56.5 b0.285 c23.34 a
Chemical regulation          
CK0.528 b1.77 b0.149 b4.13 b140.7 b35.03 b580.5 b51.7 b0.272 b19.44 b
PGR0.668 a2.24 a0.183 a4.71 a158.5 a45.42 a668.4 a58.5 a0.331 a23.46 a
Variety          
JNK7280.613 a2.07 a0. 171 a4.57 a153.3 a41.33 a640.6 a56.7 a0.309 a22.17 a
SD50.583 b1.94 b0. 162 b4.28 b145.8 b39.12 b608.3 b53.4 b0.293 b20.73 b
Sources of variation          
V**************
N********************
C********************
V × N***NSNS***NS*
V × CNSNSNSNS****NSNS
N × CNSNS*NSNSNS*NSNSNS
V × N × CNSNSNSNSNSNS*NSNSNS
N0, N120, N240, and N360 indicate nitrogen application rates at 0, 120, 240, and 360 kg ha−1, respectively. PGR and CK indicate spraying plant growth regulator and water, respectively. JNK728 and SD5 indicate maize varieties Jingnongke 728 and Saide 5, respectively. V, N, and C indicate variety, nitrogen application, and chemical regulation, respectively. Values within a column for the same treatment followed by the different letters indicate a significant difference at p < 0.05. * and ** indicate significance at the 0.05 and 0.01 probability levels, respectively, and NS is not significant.
Table 3. Effect of nitrogen application rates and chemical regulation on mineral nutrients concentrations in root bleeding sap (μg plant−1 h−1) (2022).
Table 3. Effect of nitrogen application rates and chemical regulation on mineral nutrients concentrations in root bleeding sap (μg plant−1 h−1) (2022).
TreatmentMineral Elements
FeMnCuZnCaMgKPBSi
Jointing stage          
Nitrogen application          
N01.45 c3.75 c0.291 c9.54 c284.5 c256.5 c1564 c97.5 c0.984 c43.77 c
N1201.68 b4.16 b0.322 b10.51 b310.6 b279.4 b1715 b108.9 b1.075 b47.41 b
N2401.82 a4.60 a0.355 a11.53 a340.2 a302.7 a1861 a119.4 a1.160 a51.14 a
N3601.79 a4.68 a0.345 a11.24 a329.7 a281.6 b1794 ab114.6 a1.055 b49.93 ab
Chemical regulation          
CK1.56 b3.82 b0.310 b10.01 b295.5 b261.9 b1621 b102.3 b0.995 b44.66 b
PGR1.81 a4.77 a0.346 a11.39 a337.0 a298.2 a1846 a118.0 a1.142 a51.46 a
Variety          
JNK7281.74 a4.41 a0.338 a10.97 a324.7 a289.3 a1780 a113.6 a1.095 a49.64 a
SD51.63 b4.18 b0.318 b10.43 b307.8 b270.8 b1687 b106.7 b1.042 b46.48 b
Sources of variation          
V*****************
N********************
C********************
V × NNS**NS*NSNS**NS
V × C**NS*NS***NS*
N × CNSNSNSNSNSNSNSNSNSNS
V × N × CNSNSNSNSNSNSNSNSNSNS
Tasseling stage          
Nitrogen application          
N00.413 c3.75 c0.399 c8.42 c274.5 c260.5 c1399 c96.5 c1.032 c40.88 c
N1200.505 b4.17 b0.441 b9.12 b291.7 b280.0 b1517 b104.6 b1.045 b43.54 b
N2400.646 a4.63 a0.490 a9.75 a311.9 a297.8 a1637 a113.9 a1.140 a46.18 a
N3600.634 a4.64 a0.485 a9.66 a297.5 ab286.9 ab1594 a106.7 b1.075 b45.25 ab
Chemical regulation          
CK0.513 b4.01 b0.415 b8.65 b278.2 b267.3 b1446 b99.6 b1.002 b41.85 b
PGR0.586 a4.59 a0.492 a9.82 a309.6 a295.4 a1628 a111.3 a1.144 a46.07 a
Variety          
JNK7280.564 a4.41 a0.466 a9.51 a302.4 a289.3 a1578 a108.3 a1.105 a45.29 a
SD50.535 b4.18 b0.441 b8.96 b285.4 b273.4 b1496 b102.6 b1.041 b42.63 b
Sources of variation          
V******************
N*******************
C********************
V × N**NS***NS**NS
V × CNS**NSNS***NS*
N × CNSNS*NSNSNSNSNSNSNS
V × N × CNSNSNSNSNSNSNSNSNSNS
Milk stage          
Nitrogen application          
N00.331 c1.07 c0.110 d2.64 c103.4 c16.32 c425.6 c36.39 c0.181 d13.34 c
N1200.390 b1.29 b0.126 c3.03 b115.4 b22.24 b487.2 b41.94 b0.213 c14.83 b
N2400.445 a1.64 a0.143 a3.58 a128.8 a30.10 a552.9 a47.73 a0.245 a16.21 a
N3600.405 b1.69 a0.134 b3.56 a124.2 a28.76 a527.7 a45.60 a0.230 b15.73 a
Chemical regulation          
CK0.350 b1.26 b0.118 b2.97 b110.4 b21.13 b463.8 b40.50 b0.198 b13.34 b
PGR0.436 a1.58 a0.138 a3.43 a125.5 a27.58 a532.9 a45.33 a0.236 a16.71 a
Variety          
JNK7280.405 a1.47 a0.132 a3.29 a121.5 a25.06 a511.8 a44.05 a0.225 a15.42 a
SD50.381 b1.37 b0.124 b3.11 b114.4 b23.65 b484.8 b41.78 b0.210 b14.63 b
Sources of variation          
V******************
N********************
C********************
V × N***NSNS***NS*
V × CNS*NS***NS**NS
N × CNSNSNSNSNSNS*NSNSNS
V × N × CNSNSNSNSNSNSNSNSNSNS
N0, N120, N240, and N360 indicate nitrogen application rates at 0, 120, 240, and 360 kg ha−1, respectively. PGR and CK indicate spraying plant growth regulator and water, respectively. JNK728 and SD5 indicate maize varieties Jingnongke 728 and Saide 5, respectively. V, N, and C indicate variety, nitrogen application, and chemical regulation, respectively. Values within a column for the same treatment followed by the different letters indicate a significant difference at p < 0.05. * and ** indicate significance at the 0.05 and 0.01 probability levels, respectively, and NS is not significant.
Table 4. Effect of nitrogen application rates and chemical regulation on amino acids concentrations in root bleeding sap (μg plant−1 h−1) (2021).
Table 4. Effect of nitrogen application rates and chemical regulation on amino acids concentrations in root bleeding sap (μg plant−1 h−1) (2021).
TreatmentSerGluGlyAlaValLysMetArgLeu
Jointing stage         
Nitrogen application         
N0475.0 c293.6 c1.34 c14.37 c57.78 c97.57 c5.40 c86.09 c17.11 c
N120514.5 b319.6 b1.46 b15.41 b63.60 b103.36 b5.82 b93.99 b19.36 b
N240556.6 a346.3 a1.59 a16.50 a69.24 a109.58 a6.19 a101.88 a22.65 a
N360544.1 a332.0 ab1.58 a16.13 ab66.06 ab104.10 b6.10 ab100.68 a21.71 a
Chemical regulation         
CK496.2 b298.8 b1.39 b14.66 b60.72 b97.88 b5.53 b90.45 b18.92 b
PGR548.9 a347.0 a1.60 a16.54 a67.62 a109.42 a6.23 a100.87 a21.49 a
Variety         
JNK728543.9 a334.4 a1.54 a16.09 a66.29 a107.55 a6.06 a99.29 a20.91 a
SD5501.2 b311.4 b1.45 b15.11 b62.05 b99.75 b5.70 b92.03 b19.50 b
Sources of variation         
V******************
N*****************
C******************
V × NNSNSNSNSNSNSNSNSNS
V × CNSNSNSNSNS*NSNSNS
N × CNS*NSNSNSNSNSNSNS
V × N × CNSNSNSNSNSNSNSNSNS
Tasseling stage         
Nitrogen application         
N0368.8 c232.1 c1.13 c10.44 c51.10 c73.96 c4.24 c75.10 c14.72 c
N120405.4 b248.7 b1.21 b12.57 b55.01 b81.14 b4.75 b80.66 b15.89 b
N240444.7 a262.7 a1.30 a14.66 a58.21 a88.73 a5.26 a86.27 a17.01 a
N360434.6 a254.5 ab1.30 a14.57 a54.78 b88.57 a4.91 b84.29 ab17.03 a
Chemical regulation         
CK390.12 b233.6 b1.16 b12.28 b51.97 b78.45 b4.49 b77.39 b15.34 b
PGR436.63 a265.3 a1.31 a13.84 a57.58 a87.75 a5.09 a85.77 a16.98 a
Variety         
JNK728427.4 a257.3 a1.27 a13.51 a56.36 a85.44 a4.93 a84.22 a16.64 a
SD5399.4 b241.7 b1.20 b12.62 b53.19 b80.76 b4.65 b78.94 b15.68 b
Sources of variation         
V******************
N******************
C******************
V × NNSNSNSNSNSNSNSNSNS
V × CNSNSNS*NSNSNSNSNS
N × CNSNSNSNSNSNSNSNSNS
V × N × CNSNSNSNSNSNSNSNSNS
Milk stage         
Nitrogen application         
N0138.0 d118.5 c0.596 c6.39 d26.18 c44.87 c1.94 c31.32 c4.28 c
N120166.1 c133.6 b0.672 b7.33 c28.78 b49.12 b2.23 b35.60 b4.85 b
N240207.3 a144.4 a0.746 a8.36 a31.13 a54.39 a2.55 a40.28 a5.83 a
N360196.3 b122.8 c0.720 a7.80 b31.36 a51.83 a2.53 a40.06 a5.68 a
Chemical regulation         
CK164.2 b119.3 b0.636 b6.90 b27.15 b46.36 b2.12 b33.86 b4.74 b
PGR189.6 a140.3 a0.731 a8.04 a31.58 a53.75 a2.51 a39.77 a5.58 a
Variety         
JNK728183.6 a133.3 a0.707 a7.71 a30.36 a51.44 a2.84 a38.02 a5.33 a
SD5170.5 b126.4 b0.660 b7.24 b28.37 b48.67 b1.79 b35.61 b4.99 b
Sources of variation         
V*****************
N******************
C******************
V × NNSNSNSNSNSNSNSNSNS
V × CNSNSNSNSNSNSNSNSNS
N × CNSNSNSNSNSNSNSNSNS
V × N × CNSNSNSNSNSNSNSNSNS
N0, N120, N240, and N360 indicate nitrogen application rates at 0, 120, 240, and 360 kg ha−1, respectively. PGR and CK indicate spraying plant growth regulator and water, respectively. JNK728 and SD5 indicate maize varieties Jingnongke 728 and Saide 5, respectively. V, N, and C indicate variety, nitrogen application, and chemical regulation, respectively. Values within a column for the same treatment followed by the different letters indicate a significant difference at p < 0.05. * and ** indicate significance at the 0.05 and 0.01 probability levels, respectively, and NS is not significant.
Table 5. Effect of nitrogen application rates and chemical regulation on amino acids concentrations in root bleeding sap (μg plant−1 h−1) (2022).
Table 5. Effect of nitrogen application rates and chemical regulation on amino acids concentrations in root bleeding sap (μg plant−1 h−1) (2022).
TreatmentSerGluGlyAlaValLysMetArgLeu
Jointing stage         
Nitrogen application         
N0399.0 d292.6 c1.25 c12.89 d55.13 c89.96 c4.66 c81.42 c15.92 c
N120480.2 c329.8 b1.41 b14.79 c60.59 b98.48 b5.35 b93.03 b18.04 b
N240599 a356.4 a1.57 a16.86 a65.56 a109.1 a6.14 a103.84 a21.67 a
N360567.5 b303.2 c1.51 a15.73 b66.05 a103.9 a6.09 a95.86 b21.15 a
Chemical regulation         
CK486.5 b301.7 b1.36 b14.09 b58.58 b94.95 b5.12 b87.61 b17.81 b
PGR536.6 a339.3 a1.51 a16.04 a65.08 a105.75 a5.99 a99.47 a20.58 a
Variety         
JNK728524 a331.3 a1.48 a15.51 a63.56 a103.44 a5.73 a96.22 a19.84 a
SD5498.7 b309.7 b1.39 b14.63 b60.10 b97.26 b5.38 b90.86 b18.55 b
Sources of variation         
V*****************
N******************
C******************
V × NNSNSNSNSNSNSNSNSNS
V × C*NSNSNSNSNSNSNSNS
N × CNSNSNSNSNSNSNSNSNS
V × N × CNSNSNSNSNSNSNSNSNS
Tasseling stage         
Nitrogen application         
N0368.8 c216.7 c1.03 c11.62 c49.99 c69.28 c3.42 c71.61 c14.39 c
N120396.5 b234.8 b1.14 b12.61 b50.63 b77.03 b4.19 b76.27 b15.30 b
N240421.6 a251.0 a1.25 a13.73 a55.23 a85.44 a5.35 a80.88 a16.36 a
N360406.3 ab248.5 a1.22 a12.85 b52.08 b85.62 a5.27 a79.26 ab15.61 ab
Chemical regulation         
CK376.9 b224.2 b1.11 b11.96 b48.89 b74.94 b4.32 b73.54 b14.65 b
PGR419.6 a251.3 a1.21 a13.44 a55.08 a83.75 a4.79 a80.47 a16.18 a
Variety         
JNK728408.4 a244.3 a1.20 a13.11 a53.56 a81.44 a4.69 a79.02 a15.84 a
SD5388.2 b231.2 b1.12 b12.30 b50.41 b77.25 b4.42 b74.99 b14.99 b
Sources of variation         
V***************
N*****************
C******************
V × NNSNSNSNSNSNSNSNSNS
V × CNSNSNSNSNSNSNSNSNS
N × CNSNSNSNSNSNSNSNSNS
V × N × CNSNSNSNSNSNSNSNSNS
Milk stage         
Nitrogen application         
N0114.5 c111.8 c0.579 c5.82 c23.07 d36.03 c1.78 c28.33 c4.34 d
N120156.0 b124.2 b0.646 b6.68 b26.30 c43.23 b2.09 b32.65 b5.10 c
N240211.1 a135.8 a0.721 a7.88 a29.96 a55.17 a2.39 a37.16 a5.87 a
N360201.7 a131.7 a0.695 a7.84 a28.08 b56.68 a2.17 b35.50 a5.51 b
Chemical regulation         
CK154.0 b116.4 b0.599 b6.67 b23.62 b43.80 b1.92 b31.35 b4.73 b
PGR187.6 a135.3 a0.721 a7.44 a30.08 a51.75 a2.29 a35.47 a5.68 a
Variety         
JNK728176.4 a130.3 a0.677 a7.28 a27.56 a49.14 a2.17 a34.32 a5.39 a
SD5165.3121.50.6436.8426.1446.412.0432.505.02
Sources of variation         
V****************
N******************
C******************
V × NNSNSNSNSNSNSNSNSNS
V × CNSNSNSNSNSNSNSNSNS
N × CNSNSNSNSNSNSNSNSNS
V × N × CNSNSNSNSNSNSNSNSNS
N0, N120, N240, and N360 indicate nitrogen application rates at 0, 120, 240, and 360 kg ha−1, respectively. PGR and CK indicate spraying plant growth regulator and water, respectively. JNK728 and SD5 indicate maize varieties Jingnongke 728 and Saide 5, respectively. V, N, and C indicate variety, nitrogen application, and chemical regulation, respectively. Values within a column for the same treatment followed by the different letters indicate a significant difference at p < 0.05. * and ** indicate significance at the 0.05 and 0.01 probability levels, respectively, and NS is not significant.
Table 6. Effect of nitrogen application rates and chemical regulation on grain-filling parameters.
Table 6. Effect of nitrogen application rates and chemical regulation on grain-filling parameters.
Treatment20212022
Tmax
(d)
Vmax
(g 100-grain−1 d−1)
Vm
(g 100-grain−1 d−1)
P
(d)
Tmax
(d)
Vmax
(g 100-grain−1 d−1)
Vm
(g 100-grain−1 d−1)
P
(d)
Nitrogen application        
N028.64 a1.032 c0.487 c43.63 b28.37 a1.004 c0.471 c43.85 a
N12029.33 a1.097 b0.519 b45.58 ab28.86 a1.065 b0.499 b45.18 a
N24029.69 a1.165 a0.554 a46.95 a29.23 a1.129 a0.530 a45.92 a
N36029.51 a1.151 ab0.545 a46.07 a29.02 a1.112 ab0.522 ab45.56 a
Chemical regulation        
CK29.75 a1.083 b0.511 b45.44 a29.29 a1.049 b0.492 b45.35 a
PGR28.84 a1.14 a0.542 a45.68 a28.45 a1.106 a0.519 a44.91 a
Variety        
JNK72830.42 a1.081 b0.512 b46.32 a29.75 a1.049 b0.493 b45.74 a
SD528.17 b1.142 a0.541 a44.80 a27.99 b1.106 a0.518 a44.52 a
Sources of variation        
V******NS******NS
NNS*****NS****NS
CNS****NSNS****NS
V × NNSNS*NSNSNSNSNS
V × CNS*NSNSNSNS*NS
N × CNSNSNSNSNSNSNSNS
V × N × CNSNSNSNSNSNSNSNS
Tmax: the time reaching the maximum grain-filling rate; Vmax: maximum grain-filling rate; Vm: mean grain-filling rate; P: active grain-filling period. N0, N120, N240, and N360 indicate nitrogen application rates at 0, 120, 240, and 360 kg ha−1, respectively. PGR and CK indicate spraying plant growth regulator and water, respectively. JNK728 and SD5 indicate maize varieties Jingnongke 728 and Saide 5, respectively. V, N, and C indicate variety, nitrogen application, chemical regulation, respectively. Values within a column for the same treatment followed by the different letters indicate a significant difference at p < 0.05. * and ** indicate significance at the 0.05 and 0.01 probability levels, respectively, and NS is not significant.
Table 7. Effect of nitrogen application rates and chemical regulation on dry matter accumulation per plant of maize (2021).
Table 7. Effect of nitrogen application rates and chemical regulation on dry matter accumulation per plant of maize (2021).
TreatmentDry Matter Accumulation per Plant (g plant−1)ADMACPDMA
Jointing StageTasseling StageEarly Filling StageMilk StageMaturity Stage(g plant−1)(%)
Nitrogen application       
N038.6 c143.6 c186.6 c279.0 c285.7 c142.1 d49.7 b
N12043.9 b155.9 b202.0 b306.2 b330.9 b175.0 c52.9 a
N24048.2 a165.6 a218.9 a330.3 a362.8 a197.1 a54.3 a
N36049.7 a165.1 a217.2 a320.6 ab350.4 a185.3 b52.9 a
Chemical regulation       
CK47.0 a161.3 a208.3 a300.3 b320.1 b158.8 b49.6 b
PGR43.1 b151.8 b204.0 a317.8 a344.7 a193.0 a56.0 a
Variety       
JNK72845.7 a159.4 a211.6 a318.3 a342.6 a183.2 a53.5 a
SD544.5 a153.7 a200.6 b299.8 b322.3 b168.6 b52.3 a
Sources of variation       
VNSNS*******NS
N*************
C***NS*******
V × NNSNS**NSNSNS
V × CNSNS*NS**NS
N × CNSNSNSNSNSNSNS
V × N × CNSNSNSNSNSNSNS
N0, N120, N240, and N360 indicate nitrogen application rates at 0, 120, 240 and 360 kg ha−1, respectively. PGR and CK indicate spraying plant growth regulator and water, respectively. JNK728 and SD5 indicate maize varieties Jingnongke 728 and Saide 5, respectively. V, N, and C indicate variety, nitrogen application, and chemical regulation, respectively. Values within a column for the same treatment followed by the different letters indicate a significant difference at p < 0.05. * and ** indicate significance at the 0.05 and 0.01 probability levels, respectively, and NS is not significant.
Table 8. Effect of nitrogen application rates and chemical regulation on dry matter accumulation per plant of maize (2022).
Table 8. Effect of nitrogen application rates and chemical regulation on dry matter accumulation per plant of maize (2022).
TreatmentDry Matter Accumulation per Plant (g plant−1)ADMACPDMA
Jointing StageTasseling StageEarly Filling StageMilk StageMaturity Stage(g plant−1)(%)
Nitrogen application       
N035.1 c132.5 c174.1 c263.5 c271.0 c138.5 c51.1 b
N12039.0 b139.4 b185.7 b281.6 b303.0 b163.5 b54.0 a
N24042.7 a148.1 a197.3 a299.5 a330.6 a182.5 a55.2 a
N36044.3 a150.4 a196.9 a297.3 a329.1 a178.7 a54.3 a
Chemical regulation       
CK46.4 a161.9 a210.3 a277.2 b297.0 b135.2 b45.5 b
PGR42.1 b151.5 b204.0 a293.8 a319.8 a168.2 a52.6 a
Variety       
JNK72844.8 a159.9 a213.0 a325.6 a320.1 a160.1 a50.0 a
SD543.7 a153.5 a201.3 b305.1 b296.7 b143.3 b48.3 a
Sources of variation       
VNSNS********NS
N*************
C****NS********
V × NNSNSNS*NSNSNS
V × CNSNS*NS**NS
N × CNSNS*NSNSNSNS
V × N × CNSNSNSNSNSNSNS
N0, N120, N240, and N360 indicate nitrogen application rates at 0, 120, 240 and 360 kg ha−1, respectively. PGR and CK indicate spraying plant growth regulator and water, respectively. JNK728 and SD5 indicate maize varieties Jingnongke 728 and Saide 5, respectively. V, N, and C indicate variety, nitrogen application, and chemical regulation, respectively. Values within a column for the same treatment followed by the different letters indicate a significant difference at p < 0.05. * and ** indicate significance at the 0.05 and 0.01 probability levels, respectively, and NS is not significant.
Table 9. Effect of nitrogen application rates and chemical regulation on yield and yield components.
Table 9. Effect of nitrogen application rates and chemical regulation on yield and yield components.
Treatment20212022
Yield (kg ha−1)Ears Number (ears ha−1)Grains Number per Ear1000-Grain Weight (g)Yield (kg ha−1)Ears Number (ears ha−1)Grains Number per Ear1000-Grain Weight (g)
Nitrogen application        
N09748 c81,162 a415 c358 b9093 c81,161 a395 b331 b
N12011,350 b81,280 a442 b366 ab10,129 b81,388 a427 a347 a
N24011,724 a81,386 a457 a376 a10,560 a81,413 a433 a355 a
N36011,305 b81,468 a461 a372 ab10,421 a81,444 a428 a351 a
Chemical regulation        
CK10,409 b81,213 a425 b359 b9537 b81,334 a400 b339 b
PGR11,654 a81,434 a463 a377 a10,565 a81,368 a441 a353 a
Variety        
JNK72811,729 a81,760 a511 a362 a10,618 a81,418 a479 a342 a
SD510,334 b80,889 a376 b374 a9484 b81,285 a362 b351 a
Sources of variation        
V**NS**NS**NS**NS
N**NS*****NS****
C**NS******NS****
V × N*NSNSNS**NSNSNS
V × C*NSNSNS*NSNSNS
N × CNSNSNSNS*NSNSNS
V × N × CNSNSNS*NSNSNSNS
N0, N120, N240, and N360 indicate nitrogen application rates at 0, 120, 240, and 360 kg ha−1, respectively. PGR and CK indicate spraying plant growth regulator and water, respectively. JNK728 and SD5 indicate maize varieties Jingnongke 728 and Saide 5, respectively. V, N, and C indicate variety, nitrogen application, and chemical regulation, respectively. Values within a column for the same treatment followed by the different letters indicate a significant difference at p < 0.05. * and ** indicate significance at the 0.05 and 0.01 probability levels, respectively, and NS is not significant.
Table 10. Meteorological data during 2021–2022 growing season of maize.
Table 10. Meteorological data during 2021–2022 growing season of maize.
YearMonthAverage Temperature (°C)Total Rainfall (mm)Average Wind Velocity (m·s−1)
2021May16.0880.776.01
 June20.5779.505.08
 July25.96167.894.55
 August20.96146.815.57
 September16.2063.754.12
2022May14.9765.026.21
 June20.84128.025.44
 July24.6359.444.67
 August20.96187.714.55
 September16.724.575.68
Disclaimer/Publisher’s Note: The statements, opinions and data contained in all publications are solely those of the individual author(s) and contributor(s) and not of MDPI and/or the editor(s). MDPI and/or the editor(s) disclaim responsibility for any injury to people or property resulting from any ideas, methods, instructions or products referred to in the content.

Share and Cite

MDPI and ACS Style

Liu, X.; Meng, Y.; Xie, L.; Hao, Y.; Yu, Y.; Lv, G.; Jiang, Y.; Zhang, Y.; Qian, C.; Gu, W. Boosting Maize Yield and Mitigating Greenhouse Gas Emissions Through Synergistic Nitrogen and Chemical Regulation by Optimizing Roots and Developing Grains Under High-Density Planting in Northeast China. Plants 2025, 14, 3193. https://doi.org/10.3390/plants14203193

AMA Style

Liu X, Meng Y, Xie L, Hao Y, Yu Y, Lv G, Jiang Y, Zhang Y, Qian C, Gu W. Boosting Maize Yield and Mitigating Greenhouse Gas Emissions Through Synergistic Nitrogen and Chemical Regulation by Optimizing Roots and Developing Grains Under High-Density Planting in Northeast China. Plants. 2025; 14(20):3193. https://doi.org/10.3390/plants14203193

Chicago/Turabian Style

Liu, Xiaoming, Yao Meng, Lihua Xie, Yubo Hao, Yang Yu, Guoyi Lv, Yubo Jiang, Yiteng Zhang, Chunrong Qian, and Wanrong Gu. 2025. "Boosting Maize Yield and Mitigating Greenhouse Gas Emissions Through Synergistic Nitrogen and Chemical Regulation by Optimizing Roots and Developing Grains Under High-Density Planting in Northeast China" Plants 14, no. 20: 3193. https://doi.org/10.3390/plants14203193

APA Style

Liu, X., Meng, Y., Xie, L., Hao, Y., Yu, Y., Lv, G., Jiang, Y., Zhang, Y., Qian, C., & Gu, W. (2025). Boosting Maize Yield and Mitigating Greenhouse Gas Emissions Through Synergistic Nitrogen and Chemical Regulation by Optimizing Roots and Developing Grains Under High-Density Planting in Northeast China. Plants, 14(20), 3193. https://doi.org/10.3390/plants14203193

Note that from the first issue of 2016, this journal uses article numbers instead of page numbers. See further details here.

Article Metrics

Back to TopTop