The Potency of Essential Oils in Combating Stored-Product Pests: From Nature to Nemesis
Abstract
1. Introduction
2. Results
2.1. EO Chemical Compositions
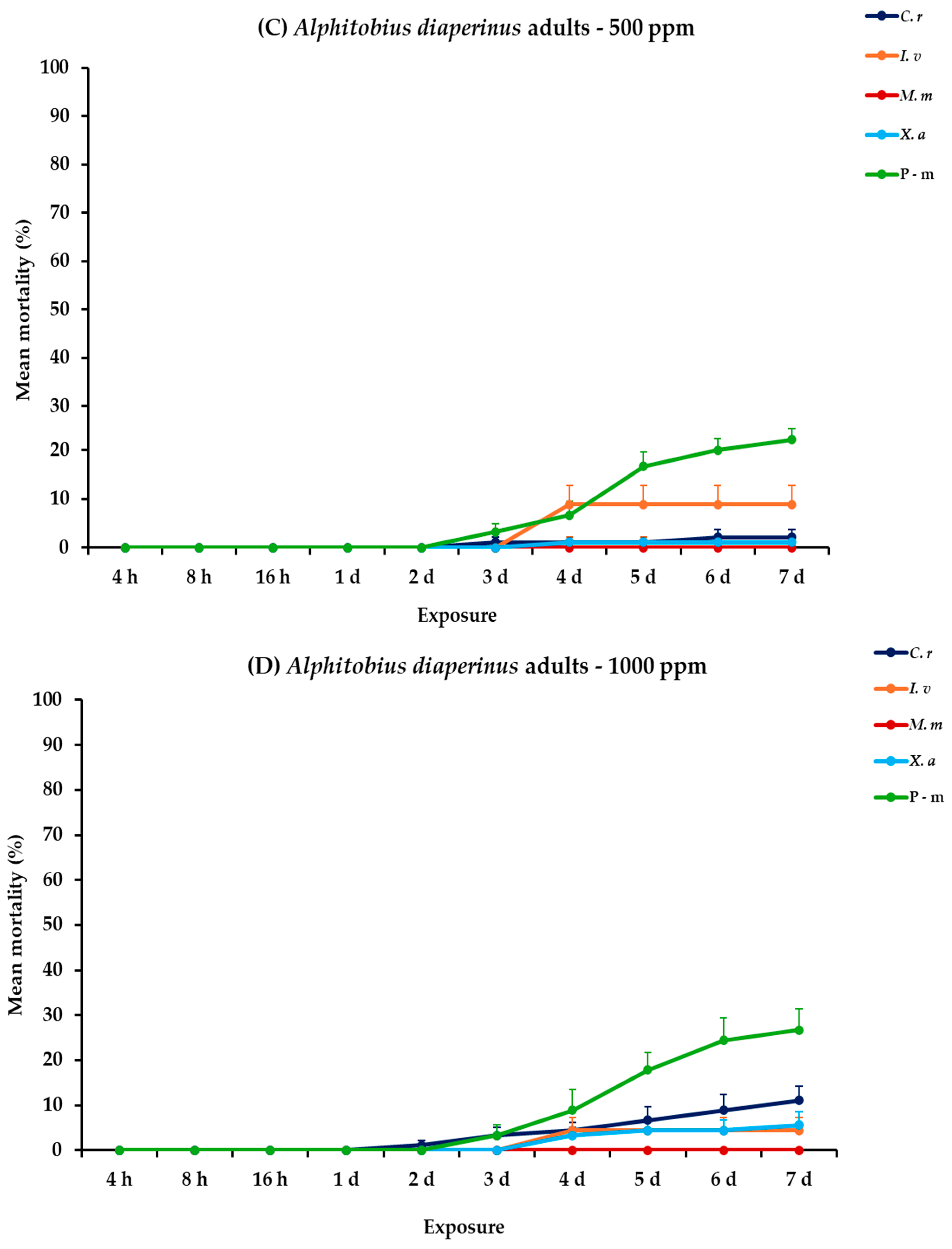
2.2. Effectiveness Against A. diaperinus Adults and Larvae
2.3. Effectiveness Against T. castaneum Adults and Larvae
2.4. Effectiveness Against T. confusum Adults and Larvae
2.5. Effectiveness Against T. molitor Adults and Larvae
2.6. Effectiveness Against T. granarium Adults and Larvae
2.7. Effectiveness Against O. surinamensis Adults and Larvae
2.8. Effectiveness Against R. dominica Adults
2.9. Effectiveness Against S. oryzae Adults
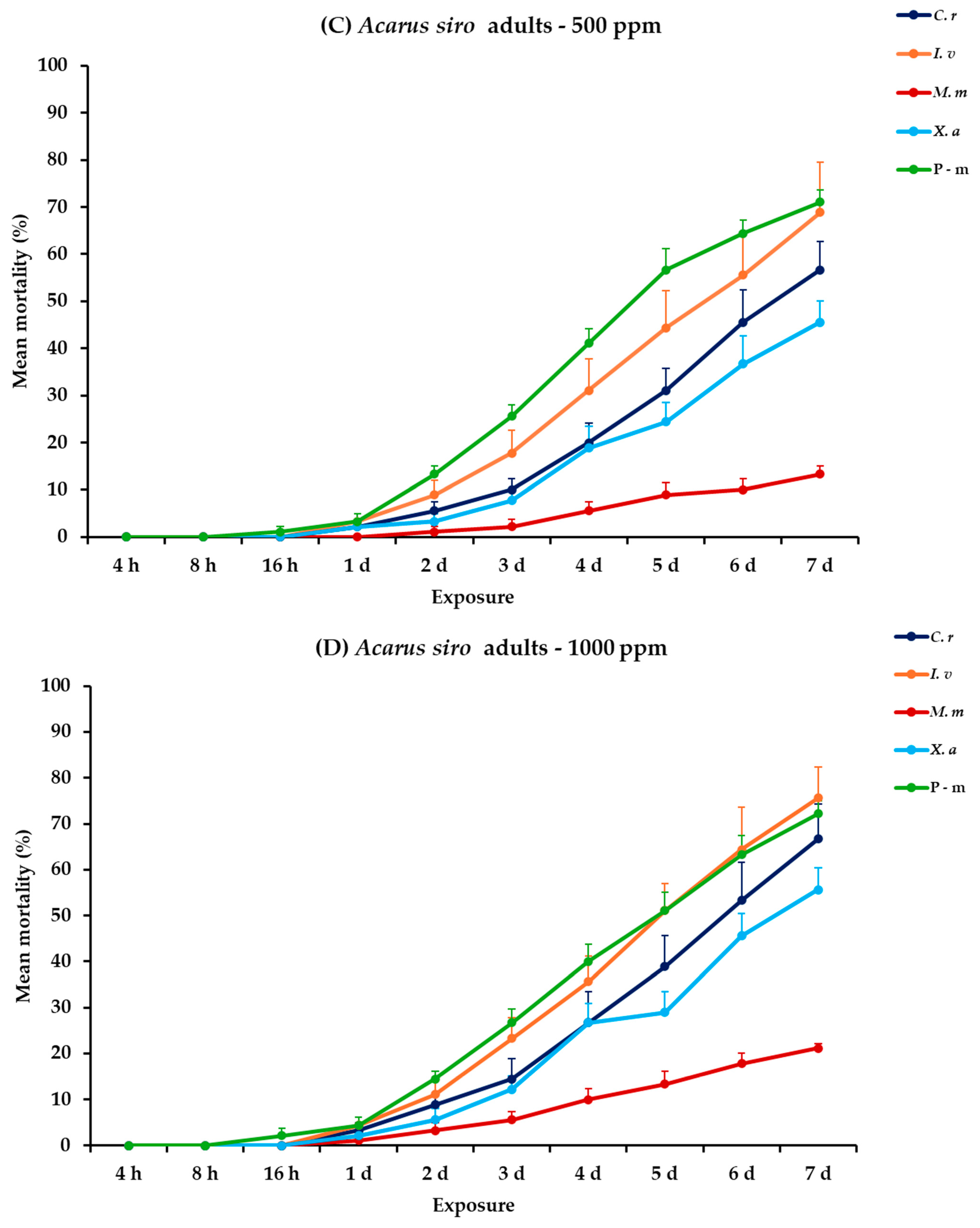
2.10. Effectiveness Against A. siro Adults and Nymphs
3. Discussion
4. Materials and Methods
4.1. Essential Oils (EOs) and Their Chemical Analysis in GC-MS
4.2. Commodity
4.3. Arthropod Species and Rearing Media
4.4. Experimental Procedure and Arthropod Selection
4.5. Data Analysis
Supplementary Materials
Author Contributions
Funding
Data Availability Statement
Conflicts of Interest
References
- Kumar, R. Insect Pests of Stored Grain: Biology, Behavior, and Management Strategies; Apple Academic Press: Waretown, MJ, USA, 2017. [Google Scholar]
- Nayak, M.K.; Daglish, G.J. Importance of stored product insects. In Recent Advances in Stored Product Protection; Springer: Berlin/Heidelberg, Germany, 2018; pp. 1–17. [Google Scholar]
- Hagstrum, D.; Subramanyam, B. Stored-Product Insect Resource; AACC International: Saint Paul, MN, USA, 2009. [Google Scholar]
- Stejskal, V.; Hubert, J. Arthropods as sources of contaminants of stored products: An overview. In Proceedings of the 9th International Working Conference on Stored Product Protection, São Paulo, Brazil, 15–18 October 2006; pp. 15–18. [Google Scholar]
- Langer, K.; Breuer, K.; Kapp, A.; Werfel, T. Staphylococcus aureus-derived enterotoxins enhance house dust mite-induced patch test reactions in atopic dermatitis. Exp. Dermatol. 2007, 16, 124–129. [Google Scholar] [CrossRef]
- Zurek, L.; Gorham, J.R. Insects as vectors of foodborne pathogens. In Handbook of Science and Technology for Homeland Security; Voeller, J.G., Ed.; John Wiley & Sons: Hoboken, NJ, USA, 2008; pp. 1–16. [Google Scholar]
- Zheng, L.; Crippen, T.L.; Sheffield, C.L.; Poole, T.L.; Yu, Z.; Tomberlin, J.K. Evaluation of Salmonella movement through the gut of the lesser mealworm, Alphitobius diaperinus (Coleoptera: Tenebrionidae). Vector Borne Zoonotic Dis. 2012, 12, 287–292. [Google Scholar] [CrossRef] [PubMed]
- Lambkin, T.A.; Rice, S.J.; Furlong, M. Responses of susceptible and cyfluthrin-resistant broiler house populations of lesser mealworm (Coleoptera: Tenebrionidae) to γ-cyhalothrin. J. Econ. Entomol. 2010, 103, 2155–2163. [Google Scholar] [CrossRef]
- Riaz, T.; Shakoori, F.R.; Ali, S.S. Toxicity of phosphine against tolerant and susceptible populations of Trogoderma granarium collected from Punjab, Pakistan. Punjab Univ. J. Zool. 2016, 31, 2530. [Google Scholar]
- Drummond, J.B.; Chapman, R.B. A comparison of two methods to determine the susceptibility of sawtoothed grain beetle (Oryzaephilus surinamensis) populations to pirimiphos-methyl from Canterbury, New Zealand. N. Z. Plant Prot. 2019, 72, 245–252. [Google Scholar] [CrossRef]
- Kavallieratos, N.G.; Boukouvala, M.C.; Ntalaka, C.T.; Skourti, A.; Nika, E.P.; Maggi, F.; Spinozzi, E.; Mazzara, E.; Petrelli, R.; Lupidi, G.; et al. Efficacy of 12 commercial essential oils as wheat protectants against stored-product beetles, and their acetylcholinesterase inhibitory activity. Entomol. Gen. 2021, 41, 385–414. [Google Scholar] [CrossRef]
- Kavallieratos, N.G.; Boukouvala, M.C.; Skourti, A.; Filintas, C.S.; Eleftheriadou, N.; Gidari, D.L.S.; Spinozzi, E.; Ferrati, M.; Petrelli, R.; Cianfaglione, K.; et al. Essential oils from three Cupressaceae species as stored wheat protectants: Will they kill different developmental stages of nine noxious arthropods? J. Stored Prod. Res. 2024, 105, 102232. [Google Scholar] [CrossRef]
- Kavallieratos, N.G.; Eleftheriadou, N.; Boukouvala, M.C.; Skourti, A.; Filintas, C.S.; Gidari, D.L.S.; Maggi, F.; Rossi, P.; Drenaggi, E.; Morshedloo, M.R.; et al. Exploring the efficacy of four Apiaceae essential oils against nine stored-product pests in wheat protection. Plants 2024, 13, 533. [Google Scholar] [CrossRef] [PubMed]
- Wang, G.W.; Hu, W.T.; Huang, B.K.; Qin, L.P. Illicium verum: A review on its botany, traditional use, chemistry and pharmacology. J. Ethnopharmacol. 2011, 136, 10–20. [Google Scholar] [CrossRef]
- Sharafan, M.; Jafernik, K.; Ekiert, H.; Kubica, P.; Kocjan, R.; Blicharska, E.; Szopa, A. Illicium verum (star anise) and trans-anethole as valuable raw materials for medicinal and cosmetic applications. Molecules 2022, 27, 650. [Google Scholar] [CrossRef] [PubMed]
- Patra, J.K.; Das, G.; Bose, S.; Banerjee, S.; Vishnuprasad, C.N.; del Pilar Rodriguez-Torres, M.; Shin, H.S. Star anise (Illicium verum): Chemical compounds, antiviral properties, and clinical relevance. Phytother. Res. 2020, 34, 1248–1267. [Google Scholar] [CrossRef] [PubMed]
- Zou, Q.; Huang, Y.; Zhang, W.; Lu, C.; Yuan, J. A comprehensive review of the pharmacology, chemistry, traditional uses and quality control of star anise (Illicium verum Hook. F.): An aromatic medicinal plant. Molecules 2023, 28, 7378. [Google Scholar] [CrossRef]
- Fetse, J.; Kofie, W.; Adosraku, R. Ethnopharmacological importance of Xylopia aethiopica (Dunal) A. Rich (Annonaceae)—A review. J. Pharm. Res. Int. 2016, 11, 1–21. [Google Scholar] [CrossRef]
- Fleischer, T. Xylopia aethiopica A Rich: A chemical and biological perspective. J. Univ. Sci. Technol. 2003, 23, 24–31. [Google Scholar]
- Obiri, D.D.; Osafo, N. Aqueous ethanol extract of the fruit of Xylopia aethiopica (Annonaceae) exhibits anti-anaphylactic and anti-inflammatory actions in mice. J. Ethnopharmacol. 2013, 148, 940–945. [Google Scholar] [CrossRef] [PubMed]
- Alolga, R.N.; Chávez León, M.A.; Osei-Adjei, G.; Onoja, V. GC-MS-based metabolomics, antibacterial and anti-inflammatory investigations to characterize the quality of essential oil obtained from dried Xylopia aethiopica fruits from Ghana and Nigeria. J. Pharm. Pharmacol. 2019, 71, 1544–1552. [Google Scholar] [CrossRef]
- Asekun, O.T.; Adeniyi, B.A. Antimicrobial and cytotoxic activities of the fruit essential oil of Xylopia aethiopica from Nigeria. Fitoterapia 2004, 75, 368–370. [Google Scholar] [CrossRef] [PubMed]
- Anyamele, T.; Ugbogu, E.A.; Nwankwo, V.C.; Ibe, C. A review of the traditional uses, phytochemistry and toxicological profile of Xylopia aethiopica A. Rich. Pharmacol. Res.-Nat. Prod. 2023, 1, 100001. [Google Scholar]
- Owokotomo, I.A.; Jabar, J.M.; Alabi, O.O. Composition and radical scavenging activity of essential oil from Xylopia aethiopica: A new chemotype grown in Nigeria. Eur. J. Adv. Chem. Res. 2021, 2, 25–30. [Google Scholar] [CrossRef]
- Burubai, W.; Akor, A.J.; Igoni, A.H.; Puyate, Y.T. Fracture resistance of African nutmeg (Monodora myristica) to compressive loading. Am. Eurasian J. Agric. Environ. Sci. 2008, 3, 15–18. [Google Scholar]
- Couvreur, T.L.P.; Dagallier, L.P.M.J.; Crozier, F.; Ghogue, J.P.; Hoekstra, P.H.; Kamdem, N.G.; Johnson, D.M.; Murray, N.A.; Sonke, B. Flora of Cameroon—Annonaceae. PhytoKeys 2022, 207, 1–532. [Google Scholar] [CrossRef] [PubMed]
- Omobuwajo, T.O.; Omobuwajo, O.R.; Sanni, L.A. Physical properties of calabash nutmeg (Monodora myristica) seeds. J. Food Eng. 2003, 57, 375–381. [Google Scholar] [CrossRef]
- Ezeuko, A.S.; Bamgboye, O.A.; Jonathan, H.; Uchenna, D. Extraction, physicochemical, phytochemical analysis and identification of some important compounds of Monodora myristica (African nutmeg) seed oil. Int. J. Innov. Res. Sci. Stud. 2017, 4, 406–410. [Google Scholar]
- Isiogugu, O.N.; Ezike, A.C.; Peter, I.E.; Onwuka, A.M.; Obi, B.C.; Abonyi, U.C. Effects of Monodora myristica (Gaertn, Dunal.) (Annonaceae) root bark on acute and chronic inflammation. In Proceedings of the 9th Sub-Regional Scientific Meeting of WANNPRES, Nsukka, Enugu State, Nigeria, 30 May–2 June 2018. [Google Scholar]
- Okechukwu, Q.N.; Ugwuona, F.U.; Ofoedu, C.E.; Juchniewicz, S.; Okpala, C.O.R. Chemical composition, antibacterial efficacy, and antioxidant capacity of essential oil and oleoresin from Monodora myristica and Tetrapleura tetraptera in Southeast Nigeria. Sci. Rep. 2022, 12, 19861. [Google Scholar] [CrossRef]
- Nwaoguikpe, R.N.; Uwakwe, A.A. In vitro antisickling effects of Xylopia aethiopica and Monodora myristica. J. Med. Plant Res. 2005, 2, 119–125. [Google Scholar]
- Bakarnga-Via, I.; Hzounda, J.B.; Fokou, P.V.T.; Tchokouaha, L.R.Y.; Gary-Bobo, M.; Gallud, A.; Garcia, M.; Walbadet, L.; Secka, Y.; Dongmo, P.M.J.; et al. Composition and cytotoxic activity of essential oils from Xylopia aethiopica (Dunal) A. Rich, Xylopia parviflora (A. Rich) Benth.) and Monodora myristica (Gaertn) growing in Chad and Cameroon. BMC Complement. Altern. Med. 2014, 14, 125. [Google Scholar] [CrossRef]
- Awojide, S.H.; Akinlade, B.; Oyewole, K.A.; Adeyemo, A.G.; Adeniyi, E.O.; Fadunmade, O.E.; Anifowose, A.J. Synergistic and antagonistic medicinal activities of essential oil of Monodora myristica. CTU J. Innov. Sustain. Dev. 2023, 15, 1–11. [Google Scholar] [CrossRef]
- Héritier, V.N.V.; Arthur, D.N.; Augustin, M.M.; Nadège, N.K.; Roger, K.V.; Jude-Thaddée, M.N. Antibacterial and antiplasmodial potentials of essential oils from two plants of Tangawisi products: Zingiber officinalis Roscoe and Monodora myristica (Gaertn) Dunal. J. Pharmacogn. Phytochem. 2018, 7, 643–648. [Google Scholar]
- Li, S.; Lo, C.Y.; Ho, C.T. Hydroxylated polymethoxyflavones and methylated flavonoids in sweet orange (Citrus sinensis) peel. J. Agric. Food Chem. 2006, 54, 4176–4185. [Google Scholar] [CrossRef] [PubMed]
- Wang, Y.; Qian, J.; Cao, J.; Wang, D.; Liu, C.; Yang, R.; Li, X.; Sun, C. Antioxidant capacity, anticancer ability and flavonoids composition of 35 citrus (Citrus reticulata Blanco) varieties. Molecules 2017, 22, 1114. [Google Scholar] [CrossRef]
- Shorbagi, M.; Fayek, N.M.; Shao, P.; Farag, M.A. Citrus reticulata Blanco (the common mandarin) fruit: An updated review of its bioactive, extraction types, food quality, therapeutic merits, and bio-waste valorization practices to maximize its economic value. Food Biosci. 2022, 47, 101699. [Google Scholar] [CrossRef]
- Goldenberg, L.; Yaniv, Y.; Porat, R.; Carmi, N. Mandarin fruit quality: A review. J. Sci. Food Agric. 2018, 98, 18–26. [Google Scholar] [CrossRef] [PubMed]
- Wang, F.; Chen, L.; Chen, H.; Chen, S.; Liu, Y. Analysis of flavonoid metabolites in citrus peels (Citrus reticulata “Dahongpao”) using UPLC-ESI-MS/MS. Molecules 2019, 24, 2680. [Google Scholar] [CrossRef] [PubMed]
- Zhang, Y.; Sun, Y.; Xi, W.; Shen, Y.; Qiao, L.; Zhong, L.; Ye, X.; Zhou, Z. Phenolic compositions and antioxidant capacities of Chinese wild mandarin (Citrus reticulata Blanco) fruits. Food Chem. 2014, 145, 674–680. [Google Scholar] [CrossRef] [PubMed]
- Ho, S.C.; Lin, C.C. Investigation of heat treating conditions for enhancing the anti-inflammatory activity of citrus fruit (Citrus reticulata) peels. J. Agric. Food Chem. 2008, 56, 7976–7982. [Google Scholar] [CrossRef]
- Ali, A.M.; Gabbar, M.A.; Abdel-Twab, S.M.; Fahmy, E.M.; Ebaid, H.; Alhazza, I.M.; Ahmed, O.M. Antidiabetic potency, antioxidant effects, and mode of actions of Citrus reticulata fruit peel hydroethanolic extract, hesperidin, and quercetin in nicotinamide/streptozotocin-induced wistar diabetic rats. Oxid. Med. Cell. Longev. 2020, 2020, 730492. [Google Scholar] [CrossRef] [PubMed]
- Ho, S.H.; Ma, Y.; Goh, P.M.; Sim, K.Y. Star anise, Illicium verum Hook f. as a potential grain protectant against Tribolium castaneum (Herbst) and Sitophilus zeamais Motsch. Postharvest Biol. Technol. 1995, 6, 341–347. [Google Scholar] [CrossRef]
- Babarinde, S.A.; Adeyemo, Y.A. Toxic and repellent properties of Xylopia aethiopica (Dunal) A. Richard on Tribolium castaneum Herbst infesting stored millets, Pennisetum glaucum (L.) R. Br. Arch. Phytopathol. Plant Prot. 2010, 43, 810–816. [Google Scholar] [CrossRef]
- Wandjou, J.G.N.; Baldassarri, C.; Ferrati, M.; Maggi, F.; Pavela, R.; Tsabang, N.; Petrelli, R.; Ricciardi, R.; Desneux, N.; Benelli, G. Essential oils from Cameroonian aromatic plants as effective insecticides against mosquitoes, houseflies, and moths. Plants 2022, 11, 2353. [Google Scholar] [CrossRef] [PubMed]
- Adams, R.P. Identification of Essential Oil Components by Gas Chromatography/Mass Spectrometry; Allured Publishing Corp.: Carol Stream, IL, USA, 2007. [Google Scholar]
- Mass Spectral Library (NIST/EPA/NIH MS/MS); National Institute of Standards and Technology: Gaithersburg, MD, USA, 2017.
- Mondello, L. Flavour and Fragrance Natural and Synthetic Compounds; Shimadzu Corps: Kyoto, Japan, 2012. [Google Scholar]
- Hanif, M.A.; Al-Maskari, M.Y.; Al-Maskari, A.; Al-Shukaili, A.; Al-Maskari, A.Y.; Al-Sabahi, J.N. Essential oil composition, antimicrobial and antioxidant activities of unexplored Omani basil. J. Med. Plant Res. 2011, 5, 751–757. [Google Scholar]
- Huang, Y.; Zhao, J.; Zhou, L.; Wang, J.; Gong, Y.; Chen, X.; Guo, Z.; Wang, Q.; Jiang, W. Antifungal activity of the essential oil of Illicium verum fruit and its main component trans-anethole. Molecules 2010, 15, 7558–7569. [Google Scholar] [CrossRef]
- Noumi, E.; Ahmad, I.; Adnan, M.; Patel, H.; Merghni, A.; Haddaji, N.; Bouali, N.; Alabbosh, K.F.; Kadri, A.; Caputo, L.; et al. Illicium verum L. (Star anise) essential oil: GC/MS profile, molecular docking study, in silico ADME profiling, quorum sensing, and biofilm-inhibiting effect on foodborne bacteria. Molecules 2023, 28, 7691. [Google Scholar] [CrossRef] [PubMed]
- Rocha, I.U.; Bitencourt, R.D.O.B.; de Moraes Freitas, A.; Moreira, H.V.S.; de Amorim Magalhães, K.L.; de Souza, B.A.; Golo, P.S.; de Almeida Chaves, D.S.; Bittencourt, V.R.E.P.; da Costa Angelo, I. Exploiting the combination of entomopathogenic fungi and Illicium verum essential oil against Aedes aegypti larvae. Biol. Control 2024, 193, 105526. [Google Scholar] [CrossRef]
- Shakya, A.K. Medicinal plants: Future source of new drugs. Int. J. Herb. Med. 2016, 4, 59–64. [Google Scholar]
- Cui, H.; Chen, X.; Wang, L.; An, P.; Zhou, H.; Dong, Y. Essential oils from Citrus reticulata cv. shatangju peel: Optimization of hydrodistillation extraction by response surface methodology and evaluation of their specific adhesive effect to polystyrene. Am. Chem. Soc. Omega 2021, 6, 13695–13703. [Google Scholar] [CrossRef] [PubMed]
- Job, J.T.; Visakh, N.U.; Pathrose, B.; Alfarhan, A.; Rajagopal, R.; Thayyullathil, J.; Thejass, P.; Ramesh, V.; Narayanankutty, A. Chemical composition and biological activities of the essential oil from Citrus reticulata Blanco peels collected from agrowastes. Chem. Biodivers. 2024, 21, e202301223. [Google Scholar] [CrossRef]
- Chaubey, M.K. Insecticidal activities of Cinnamomum tamala (Lauraceae) essential oil against Sitophilus oryzae L. (Coleoptera: Curculionidae). Int. J. Entomol. Res. 2016, 4, 91–98. [Google Scholar]
- Li, S.G.; Li, M.Y.; Huang, Y.Z.; Hua, R.M.; Lin, H.F.; He, Y.J.; Wei, L.L.; Liu, Z.Q. Fumigant activity of Illicium verum fruit extracts and their effects on the acetylcholinesterase and glutathione S-transferase activities in adult Sitophilus zeamais. J. Pest Sci. 2013, 86, 677–683. [Google Scholar] [CrossRef]
- Wei, L.; Hua, R.; Li, M.; Huang, Y.; Li, S.; He, Y.; Shen, Z. Chemical composition and biological activity of star anise Illicium verum extracts against maize weevil, Sitophilus zeamais adults. J. Insect Sci. 2014, 14, 80. [Google Scholar] [CrossRef] [PubMed]
- Wang, Z.; Xie, Y.; Sabier, M.; Zhang, T.; Deng, J.; Song, X.; Liao, Z.; Li, Q.; Yang, S.; Cao, Y.; et al. Trans-anethole is a potent toxic fumigant that partially inhibits rusty grain beetle (Cryptolestes ferrugineus) acetylcholinesterase activity. Ind. Crop. Prod. 2021, 161, 113207. [Google Scholar] [CrossRef]
- Peter, R.; Josende, M.E.; da Silva Barreto, J.; da Costa Silva, D.G.; da Rosa, C.E.; Maciel, F.E. Effect of Illicium verum (Hook) essential oil on cholinesterase and locomotor activity of Alphitobius diaperinus (Panzer). Pestic. Biochem. Physiol. 2022, 181, 105027. [Google Scholar] [CrossRef]
- Matos, L.F.; da Cruz Lima, E.; de Andrade Dutra, K.; Navarro, D.M.D.A.F.; Alves, J.L.R.; Silva, G.N. Chemical composition and insecticidal effect of essential oils from Illicium verum and Eugenia caryophyllus on Callosobruchus maculatus in cowpea. Ind. Crop. Prod. 2020, 145, 112088. [Google Scholar] [CrossRef]
- Fouad, H.A.; da Camara, C.A. Chemical composition and bioactivity of peel oils from Citrus aurantiifolia and Citrus reticulata and enantiomers of their major constituent against Sitophilus zeamais (Coleoptera: Curculionidae). J. Stored Prod. Res. 2017, 73, 30–36. [Google Scholar] [CrossRef]
- Safavi, S.A.; Mobki, M. Fumigant toxicity of essential oils from Citrus reticulata Blanco fruit peels against Tribolium castaneum Herbst (Coleoptera: Tenebrionidae). J. Crop Prot. 2012, 1, 115–120. [Google Scholar]
- Abdelgaleil, S.A.; Mohamed, M.I.; Badawy, M.E.; El-Arami, S.A. Fumigant and contact toxicities of monoterpenes to Sitophilus oryzae (L.) and Tribolium castaneum (Herbst) and their inhibitory effects on acetylcholinesterase activity. J. Chem. Ecol. 2009, 35, 518–525. [Google Scholar] [CrossRef]
- Kim, S.I.; Lee, D.W. Toxicity of basil and orange essential oils and their components against two coleopteran stored products insect pests. J. Asia. Pac. Entomol. 2014, 17, 13–17. [Google Scholar] [CrossRef]
- Lee, M.J.; Lee, S.E.; Kang, M.S.; Park, B.; Lee, S.G.; Lee, H.S. Acaricidal and insecticidal properties of Coriandrum sativum oils and their major constituents extracted by three different methods against stored product pests. Appl. Biol. Chem. 2018, 1, 481–488. [Google Scholar] [CrossRef]
- Oyedeji, A.O.; Okunowo, W.O.; Osuntoki, A.A.; Olabode, T.B.; Ayo-Folorunso, F. Insecticidal and biochemical activity of essential oil from Citrus sinensis peel and constituents on Callosobrunchus maculatus and Sitophilus zeamais. Pestic. Biochem. Physiol. 2020, 168, 104643. [Google Scholar] [CrossRef] [PubMed]
- Prates, H.T.; Santos, J.P.; Waquil, J.M.; Fabris, J.D.; Oliveira, A.B.; Foster, J.E. Insecticidal activity of monoterpenes against Rhyzopertha dominica (F.) and Tribolium castaneum (Herbst). J. Stored Prod. Res. 1998, 34, 243–249. [Google Scholar] [CrossRef]
- Tripathi, A.K.; Prajapati, V.; Khanuja, S.P.S.; Kumar, S. Effect of d-limonene on three stored-product beetles. J. Econ. Entomol. 2003, 96, 990–995. [Google Scholar] [CrossRef]
- Menichini, F.; Tundis, R.; Loizzo, M.R.; Bonesi, M.; Marrelli, M.; Statti, G.A.; Menichini, F.; Conforti, F. Acetylcholinesterase and butyrylcholinesterase inhibition of ethanolic extract and monoterpenes from Pimpinella anisoides V Brig. (Apiaceae). Fitoterapia 2009, 80, 297–300. [Google Scholar] [CrossRef] [PubMed]
- Ntalli, N.; Skourti, A.; Nika, E.P.; Boukouvala, M.C.; Kavallieratos, N.G. Five natural compounds of botanical origin as wheat protectants against adults and larvae of Tenebrio molitor L. and Trogoderma granarium Everts. Environ. Sci. Pollut. Res. Int. 2021, 28, 42763–42775. [Google Scholar] [CrossRef]
- Doucet, D.; Retnakaran, A. Targeting cuticular components for pest management. In Extracellular Composite Matrices in Arthropods; Cohen, E., Mousisian, B., Eds.; Springer: Berlin/Heidelberg, Germany, 2016; pp. 369–407. [Google Scholar]
- Ren, Y.; Li, Y.; Ju, Y.; Zhang, W.; Wang, Y. Insect cuticle and insecticide development. Arch. Insect Biochem. Physiol. 2023, 114, e22057. [Google Scholar] [CrossRef] [PubMed]
- Ikbal, C.; Pavela, R. Essential oils as active ingredients of botanical insecticides against aphids. J. Pest Sci. 2019, 92, 971–986. [Google Scholar] [CrossRef]
- Suwannayod, S.; Sukontason, K.L.; Pitasawat, B.; Junkum, A.; Limsopatham, K.; Jones, M.K.; Somboon, P.; Leksomboon, R.; Chareonviriyaphap, T.; Tawatsin, A.; et al. Synergistic toxicity of plant essential oils combined with pyrethroid insecticides against blow flies and the house fly. Insects 2019, 10, 178. [Google Scholar] [CrossRef] [PubMed]
- Demeter, S.; Lebbe, O.; Hecq, F.; Nicolis, S.C.; Kenne Kemene, T.; Martin, H.; Fauconnier, M.L.; Hance, T. Insecticidal activity of 25 essential oils on the stored product pest, Sitophilus granarius. Foods 2021, 10, 200. [Google Scholar] [CrossRef] [PubMed]
- Mossa, A.T.H. Green pesticides: Essential oils as biopesticides in insect-pest management. Int. J. Environ. Sci. Technol. 2016, 9, 354. [Google Scholar] [CrossRef]
- Koul, O.; Walia, S.; Dhaliwal, G.S. Essential oils as green pesticides: Potential and constraints. Biopestic. Int. 2008, 4, 63–84. [Google Scholar]
- Dhifi, W.; Bellili, S.; Jazi, S.; Bahloul, N.; Mnif, W. Essential oils’ chemical characterization and investigation of some biological activities: A critical review. Medicines 2016, 3, 25. [Google Scholar] [CrossRef]
- Arthur, F.H.; Subramanyam, B. Chemical Control in Stored Products; Kansas State University: Manhattan, KS, USA, 2012; pp. 95–100. [Google Scholar]
- Nayak, M.K.; Daglish, G.J.; Phillips, T.W.; Ebert, P.R. Resistance to the fumigant phosphine and its management in insect pests of stored products: A global perspective. Annu. Rev. Entomol. 2020, 65, 333–350. [Google Scholar] [CrossRef] [PubMed]
- Rezende-Teixeira, P.; Dusi, R.G.; Jimenez, P.C.; Espindola, L.S.; Costa-Lotufo, L.V. What can we learn from commercial insecticides? Efficacy, toxicity, environmental impacts, and future developments. Environ. Pollut. 2022, 300, 118983. [Google Scholar] [CrossRef] [PubMed]
- Nayak, M.K.; Holloway, J.C.; Emery, R.N.; Pavic, H.; Bartlet, J.; Collins, P.J. Strong resistance to phosphine in the rusty grain beetle, Cryptolestes ferrugineus (Stephens) (Coleoptera: Laemophloeidae): Its characterisation, a rapid assay for diagnosis and its distribution in Australia. Pest Manag. Sci. 2013, 69, 48–53. [Google Scholar] [CrossRef] [PubMed]
- Singh, N.; Johnson, D. Baseline susceptibility and cross-resistance in adult and larval Alphitobius diaperinus (Coleoptera: Tenebrionidae) collected from poultry farms in Arkansas. J. Econ. Entomol. 2015, 108, 1994–1999. [Google Scholar] [CrossRef] [PubMed]
- Holloway, J.C.; Falk, M.G.; Emery, R.N.; Collins, P.J.; Nayak, M.K. Resistance to phosphine in Sitophilus oryzae in Australia: A national analysis of trends and frequencies over time and geographical spread. J. Stored Prod. Res. 2016, 69, 129–137. [Google Scholar] [CrossRef]
- Lyons, B.N.; Crippen, T.L.; Zheng, L.; Teel, P.D.; Swiger, S.L.; Tomberlin, J.K. Susceptibility of Alphitobius diaperinus in Texas to permethrin-and β-cyfluthrin-treated surfaces. Pest Manag. Sci. 2017, 73, 562–567. [Google Scholar] [CrossRef]
- Andrić, G.G.; Golić, M.P.; Kljajić, P. Toxicity of several contact insecticides to Tribolium castaneum (Herbst) populations after selection with pirimiphos-methyl and deltamethrin. Pestic. Fitomed. 2015, 30, 209–216. [Google Scholar] [CrossRef]
- Attia, M.A.; Wahba, T.F.; Shaarawy, N.; Moustafa, F.I.; Guedes, R.N.C.; Dewer, Y. Stored grain pest prevalence and insecticide resistance in Egyptian populations of the red flour beetle Tribolium castaneum (Herbst) and the rice weevil Sitophilus oryzae (L.). J. Stored Prod. Res. 2020, 87, 101611. [Google Scholar] [CrossRef]
- Wakil, W.; Kavallieratos, N.G.; Usman, M.; Gulzar, S.; El-Shafie, H.A. Detection of phosphine resistance in field populations of four key stored-grain insect pests in Pakistan. Insects 2021, 12, 288. [Google Scholar] [CrossRef] [PubMed]
- Khan, T.; Khan, H.A.A.; Haider, M.S.; Anwar, W.; Akhter, A. Selection for resistance to pirimiphos-methyl, permethrin and spinosad in a field strain of Sitophilus oryzae: Resistance risk assessment, cross-resistance potential and synergism of insecticides. Environ. Sci. Pollut. Res. Int. 2023, 30, 29921–29928. [Google Scholar] [CrossRef] [PubMed]
- Mukhtar, M.M.; Mustapha, M.A.; Aliyu, M.; Ibrahim, S.S. Multiple pesticide resistance in rust-red flour beetle (Tribolium castaneum, Herbst 1797) from northern Nigeria is probably driven by metabolic mechanisms. Agrochemicals 2023, 2, 170–180. [Google Scholar] [CrossRef]
- Szlendak, E.; Conyers, C.; Muggleton, J.; Thind, B.B. Pirimiphos-methyl resistance in two stored product mites, Acarus siro and Acarus farris, as detected by impregnated paper bioassay and esterase activity assays. Exp. Appl. Acarol. 2000, 24, 45–54. [Google Scholar] [CrossRef]
- Hubert, J.; Navratilova, B.; Sopko, B.; Nesvorna, M.; Phillips, T.W. Pesticide residue exposure provides different responses of the microbiomes of distinct cultures of the stored product pest mite Acarus siro. BMC Microbiol. 2022, 22, 252. [Google Scholar] [CrossRef] [PubMed]
- Kavallieratos, N.G.; Nika, E.P.; Skourti, A.; Spinozzi, E.; Ferrati, M.; Petrelli, R.; Maggi, F.; Benelli, G. Carlina acaulis essential oil: A candidate product for agrochemical industry due to its pesticidal capacity. Ind. Crops Prod. 2022, 188, 115572. [Google Scholar] [CrossRef]
- Rossi, E.; Cosimi, S. Insecticide resistance in Italian populations of Tribolium flour beetles. Bull. Insectol. 2010, 63, 251–258. [Google Scholar]
- Dukić, N.; Andrić, G.; Ninkovic, V.; Golić, M.P.; Kljajić, P.; Radonjić, A. Behavioural responses of Tribolium castaneum (Herbst) to different types of uninfested and infested feed. Bull. Entomol. Res. 2020, 110, 550–557. [Google Scholar] [CrossRef]
- Korunić, Z.; Liška, A.; Lucić, P.; Hamel, D.; Rozman, V. Evaluation of diatomaceous earth formulations enhanced with natural products against stored product insects. J. Stored Prod. Res. 2020, 86, 101565. [Google Scholar] [CrossRef]
- Kavallieratos, N.G.; Nika, E.P.; Skourti, A.; Perinelli, D.R.; Spinozzi, E.; Bonacucina, G.; Cappellacci, L.; Morshedloo, M.R.; Canale, A.; Benelli, G.; et al. Apiaceae essential oil nanoemulsions as effective wheat protectants against five arthropod pests. Ind. Crops Prod. 2022, 186, 115001. [Google Scholar] [CrossRef]
- Zar, J.H. Biostatistical Analysis, 5th ed.; Pearson: Essex, UK, 2014. [Google Scholar]
- Sall, J.; Lehman, A.; Creighton, L. JMP Start Statistics. A Guide to Statistics and Data Analysis Using JMP and JMP IN Software; Duxbury Press: Belmont, CA, USA, 2001. [Google Scholar]
- SAS Institute Inc. Using JMP 16.2; SAS Institute Inc.: Cary, NC, USA, 2021. [Google Scholar]
- Sokal, R.R.; Rohlf, F.J. Biometry: The Principles and Practice of Statistics in Biological Research; Freeman & Company: New York, NY, USA, 1995. [Google Scholar]

















| Component b | RI c | RI Lit. d | Monodora myristica e | Xylopia aethiopica e | Ilicium verum | Citrus reticulata | ID f |
|---|---|---|---|---|---|---|---|
| Area % ± SD a | |||||||
| α-thujene | 920 | 924 | 3.1 ± 0.6 | 1.9 ± 0.4 | - | - | RI f, MS f |
| α-pinene | 925 | 932 | 7.6 ± 1.2 | 9.6 ± 1.6 | 0.6 ± 0.17 | 0.5 ± 0.0 | Std |
| camphene | 938 | 946 | - | 0.1 ± 0.0 | - | - | Std |
| thuja-2,4(10)-diene | 944 | 953 | - | tr g | - | - | RI, MS |
| sabinene | 966 | 969 | 0.1 ± 0.0 | 26.1 ± 3.1 | - | - | Std |
| β-pinene | 968 | 974 | 0.3 ± 0.0 | 17.4 ± 1.9 | - | 0.2 ± 0.0 | Std |
| myrcene | 988 | 988 | 4.3 ± 0.8 | 0.2 ± 0.0 | - | 1.0 ± 0.0 | Std |
| δ-2-carene | 998 | 1001 | 0.9 ± 0.0 | - | - | - | RI, MS |
| α-phellandrene | 1002 | 1002 | 32.3 ± 3.6 | 0.3 ± 0.0 | 0.2 ± 0.0 | - | Std |
| δ-3-carene | 1004 | 1008 | - | - | 0.2 ± 0.0 | - | RI, MS |
| α-terpinene | 1013 | 1014 | 0.1 ± 0.0 | 1.9 ± 0.4 | - | - | Std |
| p-cymene | 1021 | 1020 | 32.8 ± 3.0 | 1.1 ± 0.2 | 0.1 ± 0.0 | - | Std |
| sylvestrene | 1022 | 1025 | - | - | 1.7 ± 0.1 | - | RI, MS |
| limonene | 1024 | 1024 | 4.4 ± 0.9 | - | - | 97.1 ± 0.1 | Std |
| β-phellandrene | 1024 | 1025 | - | 6.2 ± 1.2 | - | - | Std |
| 1,8-cineole | 1026 | 1026 | - | 3.6 ± 0.7 | 0.2 ± 0.0 | - | Std |
| (Z)-β-ocimene | 1036 | 1032 | 0.3 ± 0.0 | 1.2 ± 0.3 | - | - | Std |
| (E)-β-ocimene | 1046 | 1044 | 0.1 ± 0.0 | 0.1 ± 0.0 | - | - | Std |
| α-terpinene | 1054 | 1054 | 0.1 ± 0.0 | 3.2 ± 0.6 | - | - | Std |
| (Z)-sabinene hydrate | 1062 | 1065 | - | 1.3 ± 0.3 | - | - | RI, MS |
| (Z)-linalool oxide | 1069 | 1067 | - | - | - | - | RI, MS |
| terpinolene | 1084 | 1086 | tr | 0.6 ± 0.2 | - | - | Std |
| (E)-sabinene hydrate | 1093 | 1098 | - | 0.8 ± 0.2 | - | - | RI, MS |
| linalool | 1100 | 1095 | 1.9 ± 0.4 | 0.1 ± 0.0 | 0.3 ± 0.0 | 0.2 ± 0.0 | Std |
| (Z)-p-menth-2-en-1-ol | 1117 | 1118 | 0.2 ± 0.0 | 0.3 ± 0.0 | - | - | RI, MS |
| α-campholenal | 1122 | 1122 | tr | 0.1 ± 0.0 | - | - | RI, MS |
| allo-ocimene | 1128 | 1128 | - | 0.1 ± 0.0 | - | - | RI, MS |
| (E)-pinocarveol | 1131 | 1135 | - | 0.4 ± 0.1 | - | - | Std |
| (E)-p-menth-2-en-1-ol | 1135 | 1136 | 0.1 ± 0.0 | 0.2 ± 0.0 | - | - | RI, MS |
| (E)-verbenol | 1140 | 1140 | - | 0.1 ± 0.0 | - | - | RI, MS |
| pinocarvone | 1156 | 1160 | - | 0.2 ± 0.0 | - | - | RI, MS |
| borneol | 1159 | 1165 | 0.1 ± 0.0 | tr | - | - | Std |
| p-mentha-1,5-dien-8-ol | 1164 | 1166 | - | tr | - | - | RI, MS |
| (Z)-pinocamphone | 1167 | 1172 | - | tr | - | - | RI, MS |
| terpinen-4-ol | 1172 | 1174 | - | 6.1 ± 1.1 | - | 0.2 ± 0.1 | Std |
| p-cymen-8-ol | 1183 | 1179 | 0.1 ± 0.0 | - | - | - | RI, MS |
| cryptone | 1181 | 1183 | - | 0.1 ± 0.0 | - | - | RI, MS |
| α-terpineol | 1186 | 1186 | 0.5 ± 0.1 | 1.0 ± 0.2 | - | 0.1 ± 0.0 | RI, MS |
| myrtenal | 1189 | 1195 | - | 0.2 ± 0.0 | - | - | Std |
| myrtenol | 1191 | 1194 | - | 0.4 ± 0.1 | - | - | Std |
| methyl chavicol | 1192 | 1195 | - | - | 3.2 ± 0.0 | - | RI, MS |
| (E)-piperitol | 1203 | 1207 | 0.1 ± 0.0 | - | - | - | RI, MS |
| verbenone | 1204 | 1204 | - | 0.1 ± 0.0 | - | - | RI, MS |
| cuminaldehyde | 1236 | 1238 | - | tr | - | - | RI, MS |
| neral | 1239 | 1235 | - | - | - | - | RI, MS |
| carvotanacetone | 1243 | 1244 | 0.1 ± 0.0 | - | - | - | RI, MS |
| p-anisaldehyde | 1246 | 1247 | - | - | 0.5 ± 0.0 | - | RI, MS |
| geraniol | 1264 | 1249 | - | - | - | - | Std |
| geranial | 1272 | 1264 | - | - | - | - | Std |
| (E)-anethole | 1281 | 1282 | - | - | 92.6 ± 0.1 | - | Std |
| carvacrol | 1303 | 1298 | 0.6 ± 0.2 | - | - | - | Std |
| δ-elemene | 1331 | 1335 | - | 1.8 ± 0.4 | - | - | RI, MS |
| α-cubebene | 1343 | 1345 | - | 0.1 ± 0.0 | - | - | RI, MS |
| α-ylangene | 1362 | 1373 | - | 0.2 ± 0.0 | - | - | RI, MS |
| α-copaene | 1367 | 1374 | 0.1 ± 0.0 | 0.4 ± 0.1 | - | - | RI, MS |
| β-cubebene | 1382 | 1387 | - | 0.1 ± 0.0 | - | - | RI, MS |
| β-elemene | 1385 | 1389 | - | 0.2 ± 0.0 | - | - | Std |
| geranyl acetate | 1385 | 1379 | - | - | - | - | RI, MS |
| cyperene | 1387 | 1398 | - | - | - | - | RI, MS |
| (E)-caryophyllene | 1408 | 1417 | - | - | tr | - | Std |
| (Z)-α-bergamotene | 1408 | 1411 | 0.1 ± 0.0 | - | - | - | RI, MS |
| β-ylangene | 1408 | 1419 | - | 0.2 ± 0.0 | - | - | RI, MS |
| α-santalene | 1412 | 1416 | 0.5 ± 0.1 | - | - | - | RI, MS |
| β-copaene | 1419 | 1430 | - | 0.1 ± 0.0 | - | - | RI, MS |
| γ-elemene | 1426 | 1434 | - | 0.3 ± 0.0 | - | - | RI, MS |
| (E)-α-bergamotene | 1430 | 1432 | tr | - | 0.1 ± 0.0 | - | RI, MS |
| 6,9-guaiadiene | 1434 | 1442 | - | 0.1 ± 0.0 | - | - | RI, MS |
| α-humulene | 1442 | 1452 | tr | 0.1 ± 0.0 | - | - | Std |
| germacrene D | 1471 | 1484 | - | 9.7 ± 1.6 | - | - | RI, MS |
| bicyclogermacrene | 1486 | 1500 | - | 0.5 ± 0.2 | - | - | RI, MS |
| α-muurolene | 1492 | 1500 | 0.1 ± 0.0 | tr | - | - | RI, MS |
| δ-amorphene | 1498 | 1511 | - | 0.1 ± 0.0 | - | - | RI, MS |
| γ-cadinene | 1504 | 1513 | 0.3 ± 0.0 | 0.1 ± 0.0 | - | - | RI, MS |
| δ-cadinene | 1516 | 1522 | 1.2 ± 0.3 | 0.3 ± 0.1 | - | - | RI, MS |
| α-cadinene | 1528 | 1537 | tr | - | - | - | RI, MS |
| germacrene B | 1544 | 1559 | - | 0.3 ± 0.1 | - | - | RI, MS |
| epi-α-cadinol | 1631 | 1638 | 0.1 ± 0.0 | - | - | - | RI, MS |
| epi-α-muurolol | 1645 | 1640 | 0.1 ± 0.0 | - | - | - | RI, MS |
| manool oxide | 1991 | 1987 | - | 0.1 ± 0.0 | - | - | RI, MS |
| Total identified (%) | 92.9 | 99.6 | 99.7 | 99.3 | |||
| Monoterpene hydrocarbons | 86.5 | 69.8 | 2.7 | 98.8 | |||
| Oxygenated monoterpenes | 3.8 | 15.0 | 0.5 | - | |||
| Sesquiterpene hydrocarbons | 2.4 | 14.6 | 0.1 | - | |||
| Oxygenated sesquiterpenes | 0.2 | - | - | 0.5 | |||
| Phenylpropanoids | - | - | 95.8 | - | |||
| Others | tr | 0.2 | 0.5 | - |
| Between Exposures | Within Exposures | ||||||||
|---|---|---|---|---|---|---|---|---|---|
| Pest Species | Intercept | Concentration | EO Type | Concentration × EO Type | Exposure | Exposure × Concentration | Exposure × EO Type | Exposure × Concentration × EO Type | |
| df | 1 | 1 | 4 | 4 | 9 | 9 | 36 | 36 | |
| A. diaperinus larvae | F | 2715.4 | 73.8 | 416.2 | 11.1 | 372.9 | 7.8 | 27.4 | 1.6 |
| p | <0.01 | <0.01 | <0.01 | <0.01 | <0.01 | <0.01 | <0.01 | 0.02 | |
| A. diaperinus adults | F | 81.4 | 0.9 | 74.5 | 9.8 | 128.6 | 22.4 | 4.2 | 0.7 |
| p | <0.01 | 0.34 | <0.01 | <0.01 | <0.01 | <0.01 | 0.01 | 0.94 | |
| T. castaneum larvae | F | 5407.0 | 55.1 | 25.3 | 11.2 | 7132.1 | 21.7 | 8.7 | 3.3 |
| p | <0.01 | <0.01 | <0.01 | <0.01 | <0.01 | <0.01 | <0.01 | <0.01 | |
| T. castaneum adults | F | 4.5 | 1.3 | 87.3 | 27.3 | 175.4 | 162.7 | 20.2 | 20.1 |
| p | 0.04 | 0.25 | <0.01 | <0.01 | <0.01 | <0.01 | <0.01 | <0.01 | |
| T. confusum larvae | F | 2671.7 | 82.7 | 47.0 | 14.3 | 1346.7 | 6.2 | 7.9 | 5.1 |
| p | <0.01 | <0.01 | <0.01 | <0.01 | <0.01 | <0.01 | <0.01 | <0.01 | |
| T. confusum adults | F | 35.4 | 18.4 | 7.1 | 2.2 | 10.1 | 6.4 | 3.4 | 2.4 |
| p | <0.01 | <0.01 | <0.01 | 0.08 | <0.01 | <0.01 | <0.01 | <0.01 | |
| T. molitor larvae | F | 134.1 | 13.7 | 75.9 | 2.9 | 40.2 | 1.5 | 5.4 | 0.8 |
| p | <0.01 | <0.01 | <0.01 | 0.03 | <0.01 | 0.16 | <0.01 | 0.82 | |
| T. molitor adults | F | 936.2 | 42.7 | 271.7 | 4.8 | 469.3 | 4.0 | 21.6 | 2.6 |
| p | <0.01 | <0.01 | <0.01 | 0.01 | <0.01 | 0.01 | <0.01 | <0.01 | |
| T. granarium larvae | F | 555.4 | 20.1 | 185.3 | 7.9 | 10.7 | 6.7 | 10.7 | 3.2 |
| p | <0.01 | <0.01 | <0.01 | <0.01 | <0.01 | <0.01 | <0.01 | <0.01 | |
| T. granarium adults | F | 3906.9 | 62.2 | 29.0 | 4.0 | 849.1 | 4.1 | 8.1 | 4.1 |
| p | <0.01 | <0.01 | <0.01 | 0.01 | <0.01 | 0.01 | <0.01 | <0.01 | |
| O. surinamensis larvae | F | 1748.9 | 105.0 | 90.1 | 34.0 | 692.3 | 25.2 | 11.3 | 5.0 |
| p | <0.01 | <0.01 | <0.01 | <0.01 | <0.01 | <0.01 | <0.01 | <0.01 | |
| O. surinamensis adults | F | 1362.6 | 43.5 | 41.5 | 3.2 | 406.0 | 2.8 | 8.5 | 1.1 |
| p | <0.01 | <0.01 | <0.01 | 0.02 | <0.01 | 0.01 | <0.01 | 0.28 | |
| R. dominica adults | F | 923.3 | 31.5 | 28.5 | 29.9 | 818.3 | 37.4 | 10.3 | 6.4 |
| p | <0.01 | <0.01 | <0.01 | <0.01 | <0.01 | <0.01 | <0.01 | <0.01 | |
| S. oryzae adults | F | 1360.4 | 23.7 | 232.2 | 11.7 | 386.8 | 8.2 | 17.5 | 4.1 |
| p | <0.01 | <0.01 | <0.01 | <0.01 | <0.01 | <0.01 | <0.01 | <0.01 | |
| A. siro nymphs | F | 9.9 | 3.9 | 23.3 | 1.9 | 154.1 | 1.8 | 3.4 | 0.6 |
| p | <0.01 | 0.05 | <0.01 | 0.12 | <0.01 | 0.08 | <0.01 | 0.95 | |
| A. siro adults | F | 20.7 | 5.9 | 21.3 | 0.4 | 475.8 | 0.7 | 3.8 | 0.4 |
| p | <0.01 | 0.02 | <0.01 | 0.80 | <0.01 | 0.70 | <0.01 | 1.00 | |
Disclaimer/Publisher’s Note: The statements, opinions and data contained in all publications are solely those of the individual author(s) and contributor(s) and not of MDPI and/or the editor(s). MDPI and/or the editor(s) disclaim responsibility for any injury to people or property resulting from any ideas, methods, instructions or products referred to in the content. |
© 2025 by the authors. Licensee MDPI, Basel, Switzerland. This article is an open access article distributed under the terms and conditions of the Creative Commons Attribution (CC BY) license (https://creativecommons.org/licenses/by/4.0/).
Share and Cite
Kavallieratos, N.G.; Eleftheriadou, N.; Filintas, C.S.; Boukouvala, M.C.; Gidari, D.L.S.; Skourti, A.; Ntinokas, D.; Ferrati, M.; Spinozzi, E.; Petrelli, R.; et al. The Potency of Essential Oils in Combating Stored-Product Pests: From Nature to Nemesis. Plants 2025, 14, 192. https://doi.org/10.3390/plants14020192
Kavallieratos NG, Eleftheriadou N, Filintas CS, Boukouvala MC, Gidari DLS, Skourti A, Ntinokas D, Ferrati M, Spinozzi E, Petrelli R, et al. The Potency of Essential Oils in Combating Stored-Product Pests: From Nature to Nemesis. Plants. 2025; 14(2):192. https://doi.org/10.3390/plants14020192
Chicago/Turabian StyleKavallieratos, Nickolas G., Nikoleta Eleftheriadou, Constantin S. Filintas, Maria C. Boukouvala, Demeter Lorentha S. Gidari, Anna Skourti, Dionysios Ntinokas, Marta Ferrati, Eleonora Spinozzi, Riccardo Petrelli, and et al. 2025. "The Potency of Essential Oils in Combating Stored-Product Pests: From Nature to Nemesis" Plants 14, no. 2: 192. https://doi.org/10.3390/plants14020192
APA StyleKavallieratos, N. G., Eleftheriadou, N., Filintas, C. S., Boukouvala, M. C., Gidari, D. L. S., Skourti, A., Ntinokas, D., Ferrati, M., Spinozzi, E., Petrelli, R., & Maggi, F. (2025). The Potency of Essential Oils in Combating Stored-Product Pests: From Nature to Nemesis. Plants, 14(2), 192. https://doi.org/10.3390/plants14020192

