The Application of Fulvic Acid Can Enhance the Performance of Rice Seedlings Under Low-Nitrogen Stress
Abstract
1. Introduction
2. Results
2.1. The Effect of Fulvic Acid on Rice Growth Under Low-Nitrogen Stress
2.2. The Effect of Fulvic Acid on Chlorophyll Content in Rice Leaves Under Low-Nitrogen Stress
2.3. The Effect of Fulvic Acid on Photosynthetic Parameters of Rice Leaves Under Low-Nitrogen Stress
2.4. The Effect of Fulvic Acid on Nitrogen Metabolism Enzyme Activities in Rice Leaves Under Low-Nitrogen Stress
2.5. The Effect of Fulvic Acid on the Antioxidant Characteristics of Rice Leaves Under Low-Nitrogen Stress
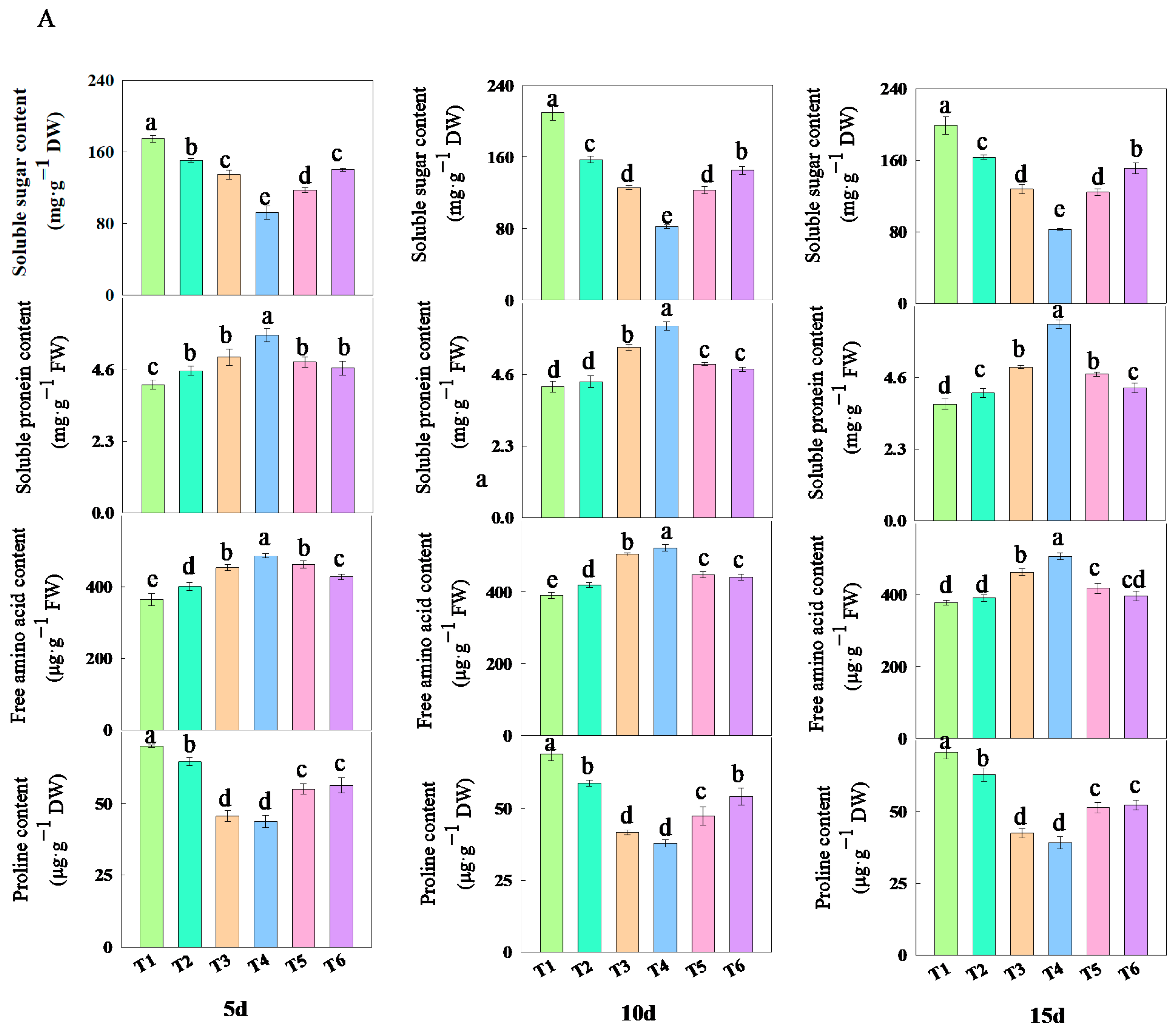
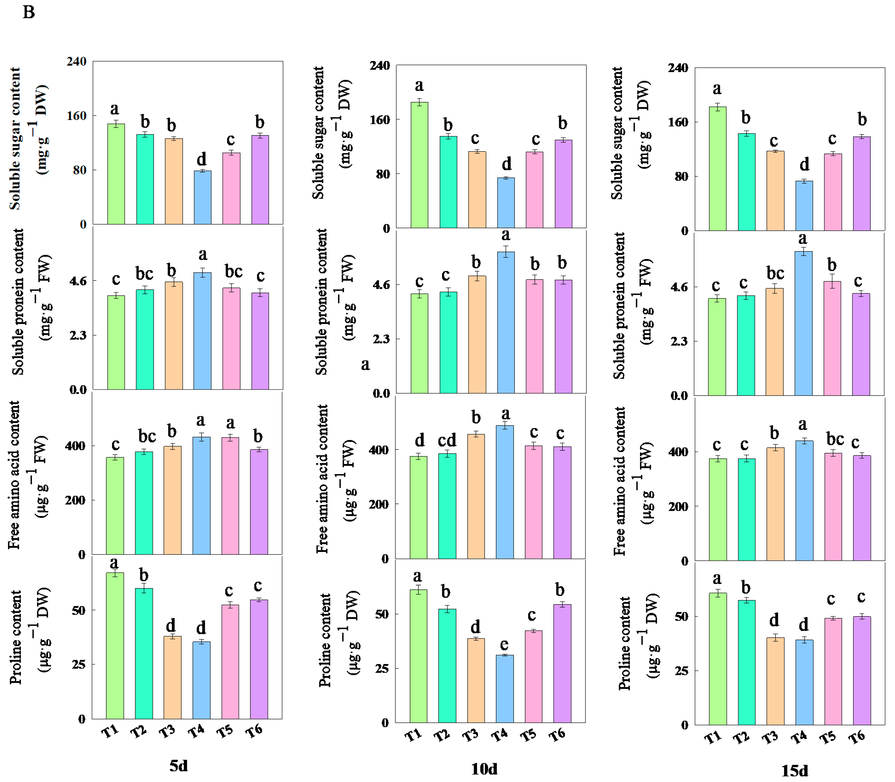
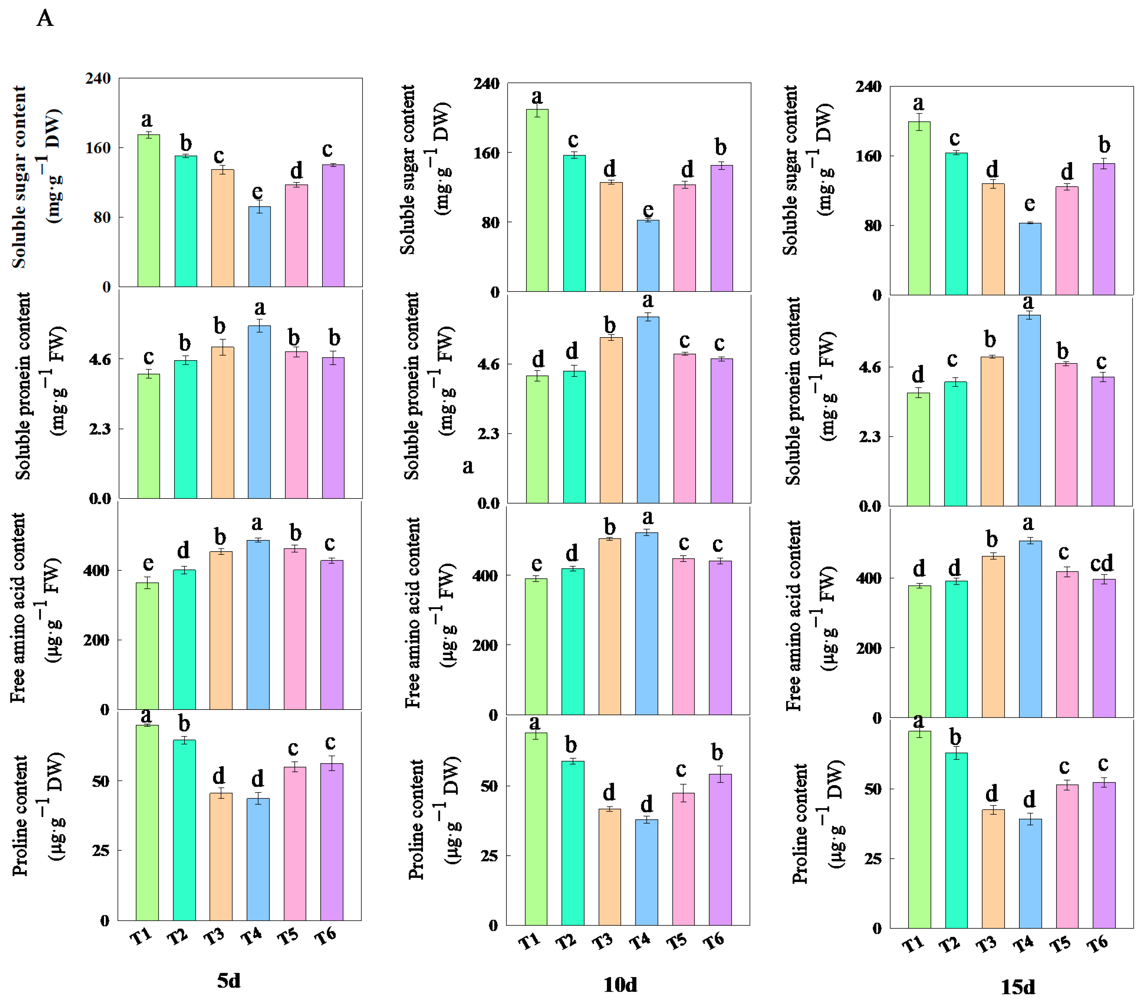
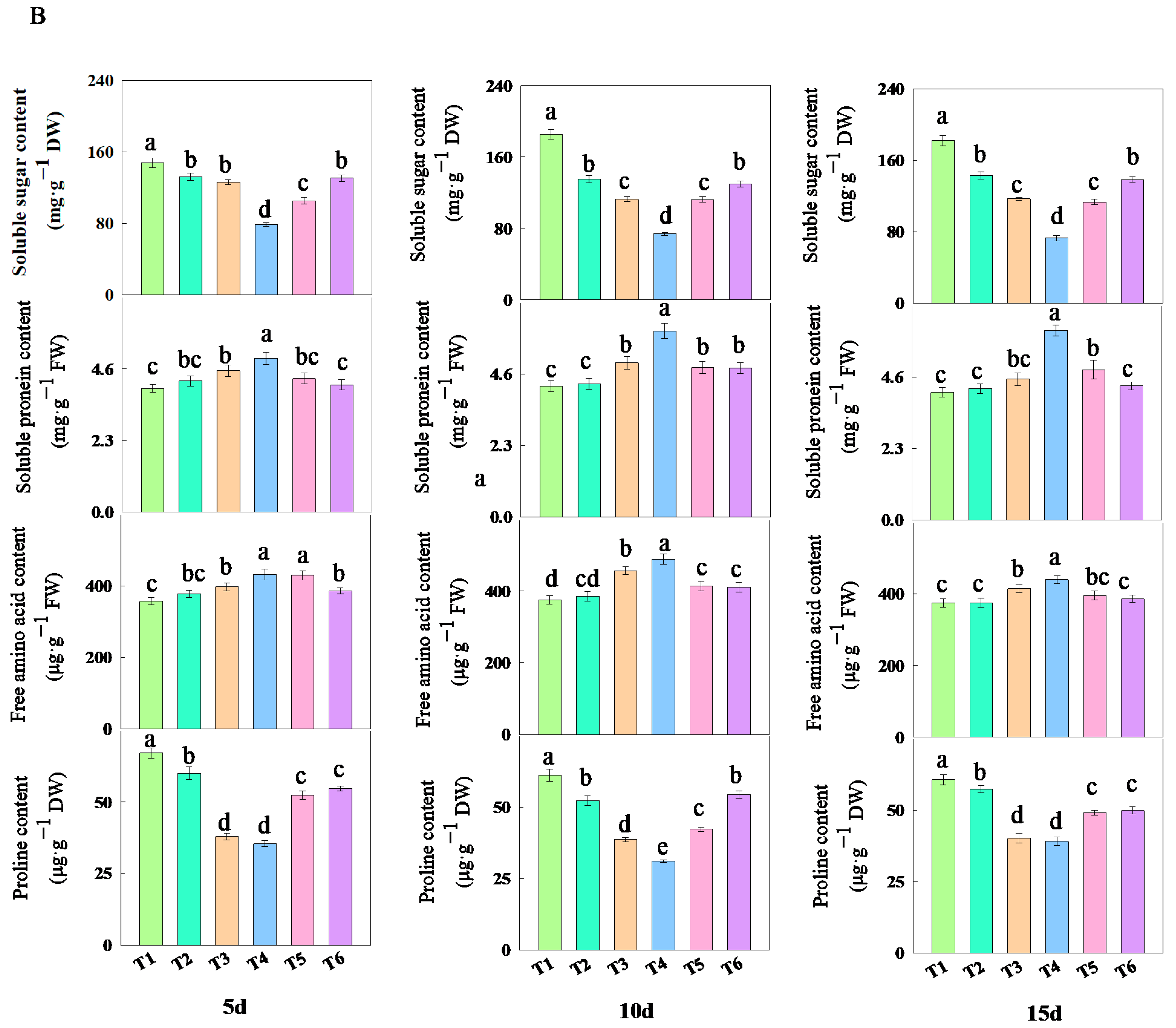
2.6. The Effect of Fulvic Acid on Osmotic Adjustment Substances in Rice Leaves Under Low-Nitrogen Stress
2.7. Principal Component Analysis
2.8. Correlation Analysis
3. Discussion
4. Materials and Methods
4.1. Test Materials
4.2. Experimental Design
4.3. Measurement Indicators and Methods
- Agronomic traits
- Chlorophyll content
- Photosynthesis-related parameters
- Activity of nitrogen metabolism-related enzymes
- Antioxidant enzyme activity and substance content
4.4. Statistical Analysis
5. Conclusions
Supplementary Materials
Author Contributions
Funding
Institutional Review Board Statement
Informed Consent Statement
Data Availability Statement
Acknowledgments
Conflicts of Interest
References
- Ye, T.; Zhang, J.; Li, J.; Lu, J.; Ren, T.; Cong, R.; Lu, Z.; Li, X. Nitrogen/potassium interactions increase rice yield by improving canopy performance. Food Energy Secur. 2021, 10, e295. [Google Scholar] [CrossRef]
- Hou, W.; Xue, X.; Li, X.; Khan, M.R.; Yan, J.; Ren, T.; Cong, R.; Lu, J. Interactive effects of nitrogen and potassium on: Grain yield, nitrogen uptake and nitrogen use efficiency of rice in low potassium fertility soil in China. Field Crops Res. 2019, 236, 14–23. [Google Scholar] [CrossRef]
- Yamano, T.; Arouna, A.; Labarta, R.A.; Huelgas, Z.M.; Mohanty, S. Adoption and impacts of international rice research technologies. Glob. Food Secur. 2016, 8, 1–8. [Google Scholar] [CrossRef]
- Bandumula, N. Rice production in Asia: Key to global food security. Proc. Natl. Acad. Sci. India Sect. B Biol. Sci. 2018, 88, 1323–1328. [Google Scholar] [CrossRef]
- Bley, H.; Gianello, C.; Santos, L.D.S.; Selau, L.P.R. Nutrient release, plant nutrition, and potassium leaching from polymer-coated fertilizer. Rev. Bras. Ciênc. Solo 2017, 41, e0160142. [Google Scholar] [CrossRef]
- Yuan, L. Progress in super-hybrid rice breeding. Crop J. 2017, 5, 100–102. [Google Scholar] [CrossRef]
- Tang, Y.; Li, X.; Shen, W.; Duan, Z. Effect of the slow-release nitrogen fertilizer oxamide on ammonia volatilization and nitrogen use efficiency in paddy soil. Agronomy 2018, 8, 53. [Google Scholar] [CrossRef]
- Wang, M.; Fu, Y.; Wang, Y.; Li, Y.; Shen, J.; Liu, X.; Wu, J. Pathways and mechanisms by which biochar application reduces nitrogen and phosphorus runoff losses from a rice agroecosystem. Sci. Total Environ. 2021, 797, 149193. [Google Scholar] [CrossRef]
- Wang, C.; Sun, H.; Zhang, J.; Zhang, X.; Lu, L.; Shi, L.; Zhou, S. Effects of different fertilization methods on ammonia volatilization from rice paddies. J. Clean. Prod. 2021, 295, 126299. [Google Scholar] [CrossRef]
- Zhang, A.; Liu, R.; Gao, J.; Yang, S.; Chen, Z. Regulating N Application for Rice Yield and Sustainable Eco-Agro Development in the Upper Reaches of Yellow River Basin, China. Sci. World J. 2014, 2014, 239279. [Google Scholar] [CrossRef][Green Version]
- Hamoud, Y.A.; Shaghaleh, H.; Guo, X.; Zhang, K. pH-responsive/sustained release nitrogen fertilizer hydrogel improves yield, nitrogen metabolism, and nitrogen use efficiency of rice under alternative wetting and moderate drying irrigation. Environ. Exp. Bot. 2023, 211, 105376. [Google Scholar] [CrossRef]
- Rosa, L.; Chiarelli, D.D.; Rulli, M.C.; Dell’Angelo, J.; D’Odorico, P. Global agricultural economic water scarcity. Sci. Adv. 2020, 6, eaaz6031. [Google Scholar] [CrossRef]
- Peng, S.; Buresh, R.J.; Huang, J.; Zhong, X.; Zou, Y.; Yang, J.; Wang, G.; Liu, Y.; Hu, R.; Tang, Q. Improving nitrogen fertilization in rice by sitespecific N management. A review. Agron. Sustain. Dev. 2010, 30, 649–656. [Google Scholar] [CrossRef]
- Zhou, T.; Wang, Y.; Huang, S.; Zhao, Y. Synthesis composite hydrogels from inorganic-organic hybrids based on leftover rice for environment-friendly controlled-release urea fertilizers. Sci. Total Environ. 2018, 615, 422–430. [Google Scholar] [CrossRef] [PubMed]
- Chen, X.; Kou, M.; Tang, Z.; Zhang, A.; Li, H.; Wei, M. Responses of root physiological characteristics and yield of sweet potato to humic acid urea fertilizer. PLoS ONE 2017, 12, e0189715. [Google Scholar] [CrossRef]
- Yuan, Y.; Gai, S.; Tang, C.; Jin, Y.; Cheng, K.; Antonietti, M.; Yang, F. Artificial humic acid improves maize growth and soil phosphorus utilization efficiency. Appl. Soil Ecol. 2022, 179, 104587. [Google Scholar] [CrossRef]
- Salman, S.; Abou-Hussein, S.; Abdel-Mawgoud, A.; El-Nemr, M. Fruit yield and quality of watermelon as affected by hybrids and humic acid application. J. Appl. Sci. Res. 2005, 1, 51–58. [Google Scholar]
- Schellekens, J.; Buurman, P.; Kalbitz, K.; Zomeren, A.V.; Vidal-Torrado, P.; Cerli, C.; Comans, R.N.J. Molecular features of humic acids and fulvic acids from contrasting environments. Environ. Sci. Technol. 2017, 51, 1330–1339. [Google Scholar] [CrossRef]
- Liang, Y.; Wang, Z.; Shi, Q.; Li, F.; Zhao, Z.; Han, Y.; Wang, Y. The varying promotion effects of fulvic acid with different molecular weights on the enhancement of grain yield and quality of winter wheat. Plant Soil Environ. 2023, 69, 141–151. [Google Scholar]
- Shah, Z.H.; Rehman, H.M.; Akhtar, T.; Alsamadany, H.; Hamooh, B.T.; Mujtaba, T.; Daur, I.; Al Zahrani, Y.; Alzahrani, H.A.; Ali, S. Humic substances: Determining potential molecular regulatory processes in plants. Front. Plant Sci. 2018, 9, 263. [Google Scholar] [CrossRef] [PubMed]
- Ali, S.; Bharwana, S.A.; Rizwan, M.; Farid, M.; Kanwal, S.; Ali, Q.; Ibrahim, M.; Gill, R.A.; Khan, M.D. Fulvic acid mediates chromium (Cr) tolerance in wheat (Triticum aestivum L.) through lowering of Cr uptake and improved antioxidant defense system. Environ. Sci. Pollut. Res. 2015, 22, 10601–10609. [Google Scholar] [CrossRef]
- Lotfi, R.; Pessarakli, M.; Gharavi-Kouchebagh, P.; Khoshvaghti, H. Physiological responses of Brassica napus to fulvic acid under water stress: Chlorophyll a fluorescence and antioxidant enzyme activity. Crop J. 2015, 3, 434–439. [Google Scholar] [CrossRef]
- Shahid, M.; Dumat, C.; Silvestre, J. Effect of fulvic acids on lead-induced oxidative stress to metal sensitive Vicia faba L. plant. Biol. Fertil. Soils 2012, 48, 689–697. [Google Scholar] [CrossRef]
- Sun, J.; Qiu, C.; Ding, Y.; Wang, Y.; Sun, L.; Fan, K.; Gai, Z.; Dong, G.; Wang, J.; Li, X. Fulvic acid ameliorates drought stress-induced damage in tea plants by regulating the ascorbate metabolism and flavonoids biosynthesis. BMC Genom. 2020, 21, 411. [Google Scholar] [CrossRef]
- Nardi, S.; Pizzeghello, D.; Muscolo, A.; Vianello, A. Physiological effects of humic substances on higher plants. Soil Biol. Biochem. 2002, 34, 1527–1536. [Google Scholar] [CrossRef]
- Li, Z.; Chen, Q.; Gao, F.; Meng, Q.; Li, M.; Zhang, Y.; Zhang, P.; Zhang, M.; Liu, Z. Controlled-release urea combined with fulvic acid enhanced carbon/nitrogen metabolic processes and maize growth. J. Sci. Food Agric. 2022, 102, 3644–3654. [Google Scholar] [CrossRef] [PubMed]
- Anjum, S.; Wang, L.; Farooq, M.; Xue, L.; Ali, S. Fulvic acid application improves the maize performance under well-watered and drought conditions. J. Agron. Crop Sci. 2011, 197, 409–417. [Google Scholar] [CrossRef]
- Lv, X.; Li, Q.; Deng, X.; Ding, S.; Sun, R.; Chen, S.; Yun, W.; Dai, C.; Luo, B. Fulvic acid application increases rice seedlings performance under low phosphorus stress. BMC Plant Biol. 2024, 24, 703. [Google Scholar] [CrossRef]
- Huang, G.T.; Ma, S.L.; Bai, L.P.; Zhang, L.; Ma, H.; Jia, P.; Liu, J.; Zhong, M.; Guo, Z.F. Signal transduction during cold, salt, and drought stresses in plants. Mol. Biol. Rep. 2012, 39, 969–987. [Google Scholar] [CrossRef]
- Zein, F.I.; Gaiza, E.A.; EL-Sanafawy, H.M.; Talha, N.I. Effect of specific ions, salinity and alkalinity on yield and quality of some Egyptian cotton genotypes. Egypt. J. Soil Sci. 2020, 60, 183–194. [Google Scholar] [CrossRef]
- Kapoore, R.V.; Wood, E.E.; Llewellyn, C.A. Algae biostimulants: A critical look at microalgal biostimulants for sustainable agricultural practices. Biotechnol. Adv. 2021, 49, 107754. [Google Scholar] [CrossRef]
- Xu, D.; Deng, Y.; Xi, P.; Yu, G.; Wang, Q.; Zeng, Q.; Jiang, Z.; Gao, L. Fulvic acid-induced disease resistance to Botrytis cinerea in table grapes may be mediated by regulating phenylpropanoid metabolism. Food Chem. 2019, 286, 226–233. [Google Scholar] [CrossRef] [PubMed]
- Chen, L.H.; Xu, M.; Cheng, Z.; Yang, L.T. Effects of nitrogen deficiency on the photosynthesis, chlorophyll a fluorescence, antioxidant system, and sulfur compounds in Oryza sativa. Int. J. Mol. Sci. 2024, 25, 10409. [Google Scholar] [CrossRef]
- Makino, A.; Sakuma, H.; Sudo, E.; Mae, T. Differences between maize and rice in N-use efficiency for photosynthesis and protein allocation. Plant Cell Physiol. 2003, 44, 952–956. [Google Scholar] [CrossRef] [PubMed]
- Gao, J.; Luo, Q.; Sun, C.; Hu, H.; Wang, F.; Tian, Z.; Jiang, D.; Cao, W.; Dai, T. Low nitrogen priming enhances photosynthesis adaptation to water-deficit stress in winter wheat (Triticum aestivum L.) seedlings. Front. Plant Sci. 2019, 10, 818. [Google Scholar] [CrossRef]
- Li, Y.; Zhang, Y.; Hu, J.; Shen, Q. Contribution of nitrification happened in rhizospheric soil growing with different rice cultivars to N nutrition. Biol. Fertil. Soils 2007, 43, 417–425. [Google Scholar] [CrossRef]
- Ertani, A.; Pizzeghello, D.; Baglieri, A.; Cadili, V.; Tambone, F.; Gennari, M.; Nardi, S. Humic-like substances from agro-industrial residues affect growth and nitrogen assimilation in maize (Zea mays L.) plantlets. J. Geochem. Explor. 2013, 129, 103–111. [Google Scholar] [CrossRef]
- Gao, F.; Li, Z.; Du, Y.; Duan, J.; Zhang, T.; Wei, Z.; Guo, L.; Gong, W.; Liu, Z.; Zhang, M. The combined application of urea and fulvic acid solution improved maize carbon and nitrogen metabolism. Agronomy 2022, 12, 1400. [Google Scholar] [CrossRef]
- Joshi, V.; Joung, J.G.; Fei, Z.; Jander, G. Interdependence of threonine, methionine and isoleucine metabolism in plants: Accumulation and transcriptional regulation under abiotic stress. Amino Acids 2010, 39, 933–947. [Google Scholar] [CrossRef]
- Ahmed, S.; Nawata, E.; Hosokawa, M.; Domae, Y.; Sakuratani, T. Alterations in photosynthesis and some antioxidant enzymatic activities of mungbean subjected to waterlogging. Plant Sci. 2002, 163, 117–123. [Google Scholar] [CrossRef]
- Biemelt, S.; Keetman, U.; Mock, H.P.; Grimm, B. Expression and activity of isoenzymes of superoxide dismutase in wheat roots in response to hypoxia and anoxia. Plant Cell Environ. 2000, 23, 135–144. [Google Scholar] [CrossRef]
- Verbruggen, N.; Hermans, C. Proline accumulation in plants: A review. Amino Acids 2008, 35, 753–759. [Google Scholar] [CrossRef]
- Mohammadi, M.; Ghassemi-Golezani, K.; Zehtab-Salmasi, S.; Nasrollahzade, S. Assessment of some physiological traits in spring safflower (Carthamus tinctorius L.) cultivars under water stress. Int. J. Life Sci. 2016, 10, 58–64. [Google Scholar] [CrossRef]
- Kant, S.; Bi, Y.M.; Weretilnyk, E.; Barak, S.; Rothstein, S. The Arabidopsis halophytic relative Thellungiella halophila tolerates nitrogen-limiting conditions by maintaining growth, nitrogen uptake, and assimilation. Plant Physiol. 2008, 147, 1168–1180. [Google Scholar] [CrossRef]
- Luo, B.B.; Guang, M.; Yun, W.J.; Ding, S.T.; Ren, S.N.; Gao, H.J. Camellia sinensis chloroplast fluoride efflux gene CsABCB9 is involved in the fluoride tolerance mechanism. Int. J. Mol. Sci. 2022, 23, 7756. [Google Scholar] [CrossRef]
- Hageman, R.H.; Reed, A.J. Nitrate reductase from higher plants. Methods Enzymol. 1980, 69, 270–280. [Google Scholar] [CrossRef]
- Zhang, C.; Peng, S.; Peng, X.; Chavez, A.Q.; Bennett, J. Response of glutamine synthetase isoforms to nitrogen sources in rice (Oryza sativa L.) roots. Plant Sci. 1997, 125, 163–170. [Google Scholar] [CrossRef]
- Wu, L.; Jiang, S.; Tao, Q. The application of colormetric method on the determination of transaminase activity. Chin. J. Soil Sci. 1998, 3, 41–43. [Google Scholar] [CrossRef]
- Li, S.; Jiang, H.; Wang, J.; Wang, Y.; Pan, S.; Tian, H.; Duan, M.; Wang, S.; Tang, X.; Mo, Z. Responses of plant growth, physiological, gas exchange parameters of super and non-super rice to rhizosphere temperature at the tillering stage. Sci. Rep. 2019, 9, 10618. [Google Scholar] [CrossRef] [PubMed]
- Zhian, Z.; Chen, Z. Experimental Techniques in Plant Physiology; Jilin University Press: Changchun, China, 2008. [Google Scholar]
- Hesheng, L. Principles and Techniques of Plant Physiology and Biochemistry Experiments; Higher Education Press: Beijing, China, 2000. [Google Scholar]










Disclaimer/Publisher’s Note: The statements, opinions and data contained in all publications are solely those of the individual author(s) and contributor(s) and not of MDPI and/or the editor(s). MDPI and/or the editor(s) disclaim responsibility for any injury to people or property resulting from any ideas, methods, instructions or products referred to in the content. |
© 2025 by the authors. Licensee MDPI, Basel, Switzerland. This article is an open access article distributed under the terms and conditions of the Creative Commons Attribution (CC BY) license (https://creativecommons.org/licenses/by/4.0/).
Share and Cite
Ma, K.; Zhou, Y.; Qi, Z. The Application of Fulvic Acid Can Enhance the Performance of Rice Seedlings Under Low-Nitrogen Stress. Plants 2025, 14, 2892. https://doi.org/10.3390/plants14182892
Ma K, Zhou Y, Qi Z. The Application of Fulvic Acid Can Enhance the Performance of Rice Seedlings Under Low-Nitrogen Stress. Plants. 2025; 14(18):2892. https://doi.org/10.3390/plants14182892
Chicago/Turabian StyleMa, Ke, Yuanyuan Zhou, and Zexin Qi. 2025. "The Application of Fulvic Acid Can Enhance the Performance of Rice Seedlings Under Low-Nitrogen Stress" Plants 14, no. 18: 2892. https://doi.org/10.3390/plants14182892
APA StyleMa, K., Zhou, Y., & Qi, Z. (2025). The Application of Fulvic Acid Can Enhance the Performance of Rice Seedlings Under Low-Nitrogen Stress. Plants, 14(18), 2892. https://doi.org/10.3390/plants14182892

