Interspecific and Environmental Influence on the Foliar Metabolomes of Mitragyna Species Through Recursive OPLSDA Modeling
Abstract
1. Introduction
2. Results
2.1. Statistical Analysis of Secondary Metabolites
2.2. Characterization of Mitragyna Foliar Metabolome Using Binary OPLSDA
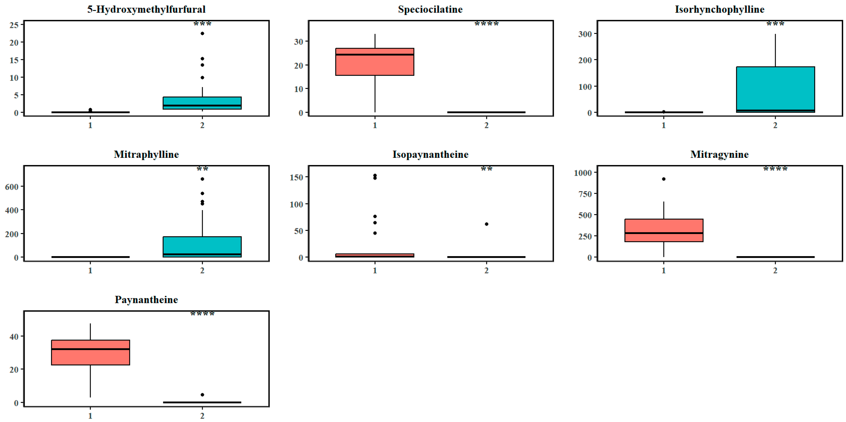
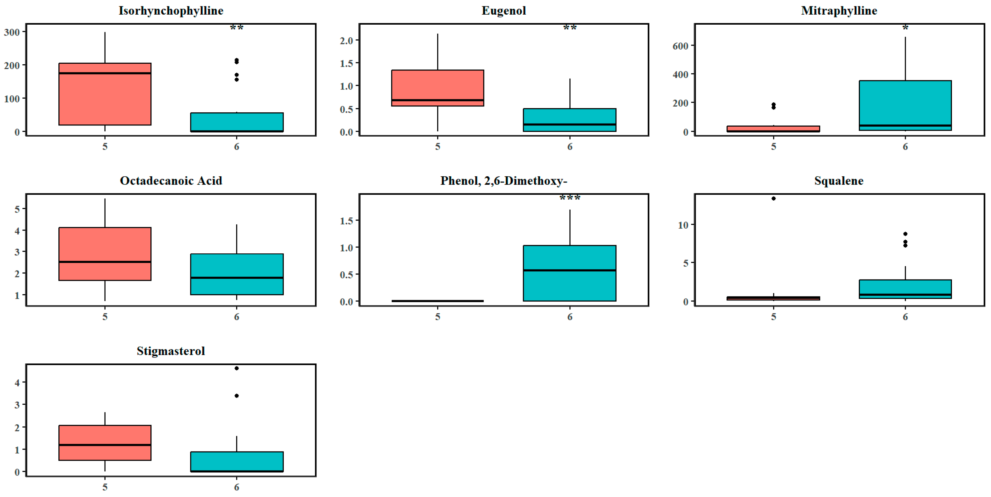
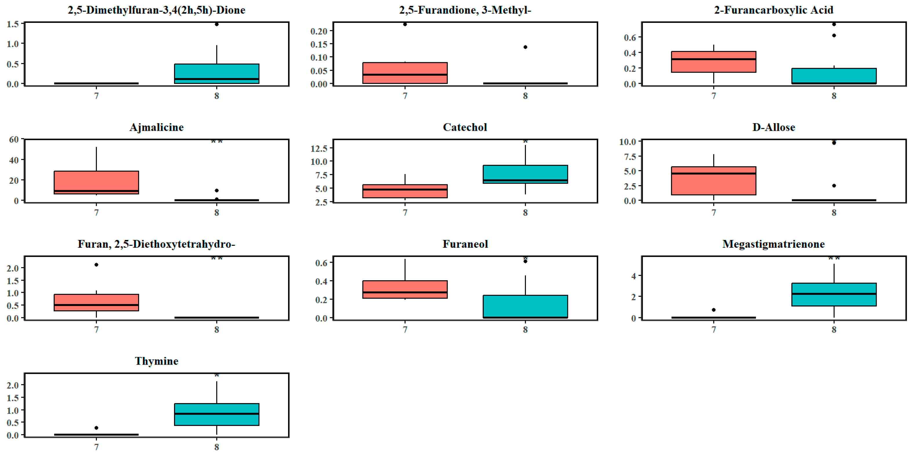
2.3. Characterization of Mitragyna Foliar Metabolome Using Recursive OPLSDA
3. Discussion
4. Materials and Methods
4.1. Sample Collection and Metabolite Profiling
4.2. Statistical Analysis
4.3. Hierarchal Classification on Foliar Metabolome
5. Conclusions
Supplementary Materials
Author Contributions
Funding
Data Availability Statement
Acknowledgments
Conflicts of Interest
Abbreviations
References
- León, F.; Habib, E.; Adkins, J.E.; Furr, E.B.; McCurdy, C.R.; Cutler, S.J. Phytochemical Characterization of the Leaves of Mitragyna Speciosa Grown in USA. Nat. Prod. Commun. 2009, 4, 1934578X0900400705. [Google Scholar] [CrossRef]
- Brown, P.N.; Lund, J.A.; Murch, S.J. A Botanical, Phytochemical and Ethnomedicinal Review of the Genus Mitragyna Korth: Implications for Products Sold as Kratom. J. Ethnopharmacol. 2017, 202, 302–325. [Google Scholar] [CrossRef] [PubMed]
- Taneja, S.B.; Callahan, T.J.; Paine, M.F.; Kane-Gill, S.L.; Kilicoglu, H.; Joachimiak, M.P.; Boyce, R.D. Developing a Knowledge Graph for Pharmacokinetic Natural Product-Drug Interactions. J. Biomed. Inform. 2023, 140, 104341. [Google Scholar] [CrossRef] [PubMed]
- Zhang, P.; Wei, W.; Zhang, X.; Wen, C.; Ovatlarnporn, C.; Olatunji, O.J. Antidiabetic and Antioxidant Activities of Mitragyna Speciosa (Kratom) Leaf Extract in Type 2 Diabetic Rats. Biomed. Pharmacother. 2023, 162, 114689. [Google Scholar] [CrossRef] [PubMed]
- Lu, J.; Wang, H.; Chen, X.; Zhang, K.; Zhao, X.; Xiao, Y.; Yang, F.; Han, M.; Yuan, W.; Guo, Y.; et al. Exploration of Potential Antidiabetic and Antioxidant Components from the Branches of Mitragyna Diversifolia and Possible Mechanism. Biomed. Pharmacother. 2024, 180, 117450. [Google Scholar] [CrossRef]
- Razafimandimbison, S.G.; Bremer, B. Phylogeny and Classification of Naucleeae Sl (Rubiaceae) Inferred from Molecular (ITS, RbcL, and TrnT-F) and Morphological Data. Am. J. Bot. 2002, 89, 1027–1041. [Google Scholar] [CrossRef]
- Sukrong, S.; Zhu, S.; Ruangrungsi, N.; Phadungcharoen, T.; Palanuvej, C.; Komatsu, K. Molecular Analysis of the Genus Mitragyna Existing in Thailand Based on RDNA ITS Sequences and Its Application to Identify a Narcotic Species: Mitragyna Speciosa. Biol. Pharm. Bull. 2007, 30, 1284–1288. [Google Scholar] [CrossRef]
- Leksungnoen, N.; Andriyas, T.; Ku-Or, Y.; Chongdi, S.; Tansawat, R.; Aramrak, A.; Ngernsaengsaruay, C.; Uthairatsamee, S.; Sonjaroon, W.; Thongchot, P.; et al. The Effect of Light Intensity and Polyethylene-Glycol-Induced Water Stress on the Growth, Mitragynine Accumulation, and Total Alkaloid Content of Kratom (Mitragyna Speciosa). Horticulturae 2025, 11, 272. [Google Scholar] [CrossRef]
- Barding, G.A., Jr.; Béni, S.; Fukao, T.; Bailey-Serres, J.; Larive, C.K. Comparison of GC-MS and NMR for Metabolite Profiling of Rice Subjected to Submergence Stress. J. Proteome Res. 2013, 12, 898–909. [Google Scholar] [CrossRef]
- Sparkman, O.D.; Penton, Z.; Kitson, F.G. Gas Chromatography and Mass Spectrometry: A Practical Guide; Academic Press: Cambridge, MA, USA, 2011. [Google Scholar]
- Dunn, W.B.; Ellis, D.I. Metabolomics: Current Analytical Platforms and Methodologies. TrAC Trends Anal. Chem. 2005, 24, 285–294. [Google Scholar] [CrossRef]
- Fiehn, O. Metabolomics—The Link between Genotypes and Phenotypes. Plant Molecular Biology. 2002, 48, 155–171. [Google Scholar] [CrossRef]
- Ren, S.; Hinzman, A.A.; Kang, E.L.; Szczesniak, R.D.; Lu, L.J. Computational and Statistical Analysis of Metabolomics Data. Metabolomics 2015, 11, 1492–1513. [Google Scholar] [CrossRef]
- Worley, B.; Powers, R. Multivariate Analysis in Metabolomics. Curr. Metabolomics 2013, 1, 92–107. [Google Scholar]
- Marchi, L.; Krylov, I.; Roginski, R.T.; Wise, B.; Di Donato, F.; Nieto-Ortega, S.; Pereira, J.F.Q.; Bro, R. Automatic Hierarchical Model Builder. J. Chemom. 2022, 36, e3455. [Google Scholar] [CrossRef]
- Forsgren, E.; Bjorkblom, B.; Trygg, J.; Jonsson, P. OPLS-Based Multiclass Classification and Data-Driven Interclass Relationship Discovery. J. Chem. Inf. Model. 2024, 65, 1762–1770. [Google Scholar] [CrossRef] [PubMed]
- Ngernsaengsaruay, C.; Leksungnoen, N.; Boonthasak, W.; Utharatsamee, S.; Racharak, P.; Leetanasakskul, K.; Pongamorn, P.; Saengbuapuean, A. Additional Knowledge on the Genus Mitragyna (Rubiaceae) in Thailand. Thai For. Bull. 2022, 50, 20–39. [Google Scholar] [CrossRef]
- Smitinand, T. Thai Plant Names, Rev. ed.; The Forest Herbarium, Royal Forest Dept.: Bangkok, Thailand, 2001; 810p. [Google Scholar]
- Le, D.; Goggin, M.M.; Janis, G.C. Analysis of Mitragynine and Metabolites in Human Urine for Detecting the Use of the Psychoactive Plant Kratom. J. Anal. Toxicol. 2012, 36, 616–625. [Google Scholar] [CrossRef]
- Basiliere, S.; Bryand, K.; Kerrigan, S. Identification of Five Mitragyna Alkaloids in Urine Using Liquid Chromatography-Quadrupole/Time of Flight Mass Spectrometry. J. Chromatogr. B 2018, 1080, 11–19. [Google Scholar] [CrossRef]
- Tungphatthong, C.; Urumarudappa, S.K.J.; Awachai, S.; Sooksawate, T.; Sukrong, S. Differentiation of Mitragyna Speciosa, a Narcotic Plant, from Allied Mitragyna Species Using DNA Barcoding-High-Resolution Melting (Bar-HRM) Analysis. Sci. Rep. 2021, 11, 6738. [Google Scholar] [CrossRef]
- Sudmoon, R.; Tanee, T.; Wonok, W.; Ameamsri, U.; Liehr, T.; Daduang, S.; Siripiyasing, P.; Chaveerach, A. Discovery of Rhynchophylline and Mitraphylline in Two Thai Mitragyna Species and the Investigation of Their Biological Activity via Opioid Gene Expression Analysis. Sci. Rep. 2025, 15, 5865. [Google Scholar] [CrossRef]
- Sanna, C.; Chiocchio, I.; Mandrone, M.; Bonvicini, F.; Gentilomi, G.A.; Trincia, S.; Poli, F. Metabolomic Analysis and Bioactivities of Arbutus Unedo Leaves Harvested across the Seasons in Different Natural Habitats of Sardinia (Italy). BMC Plant Biol. 2023, 23, 490. [Google Scholar] [CrossRef] [PubMed]
- Kocaçalışkan, I.; Talan, I.; Terzi, I. Antimicrobial Activity of Catechol and Pyrogallol as Allelochemicals. Z. Naturforsch. C 2006, 61, 639–642. [Google Scholar] [CrossRef] [PubMed]
- Qualley, A.V.; Dudareva, N. Aromatic Volatiles and Their Involvement in Plant Defense. In Induced Plant Resistance to Herbivory; Springer: Dordrecht, The Netherlands, 2008; pp. 409–432. [Google Scholar]
- Hama, I.; Vonghirundecha, P.; Wungsintaweekul, B.; Boonsut, R.; Limsuwanchote, S.; Wungsintaweekul, J. Antioxidative Constituents of Mitragyna Diversifolia Plant Extract and Their Protective Effect on H2O2-Induced Oxidative Stress in L6 Myotubes. J. Appl. Pharm. Sci. 2025, 15, 234–243. [Google Scholar] [CrossRef]
- Bhat, M.P.; Rudrappa, M.; Hugar, A.; Gunagambhire, P.V.; Kumar, R.S.; Nayaka, S.; Almansour, A.I.; Perumal, K. In-Vitro Investigation on the Biological Activities of Squalene Derived from the Soil Fungus Talaromyces Pinophilus. Heliyon 2023, 9, e21461. [Google Scholar] [CrossRef]
- Aboobucker, S.I.; Suza, W.P. Why Do Plants Convert Sitosterol to Stigmasterol? Front. Plant Sci. 2019, 10, 354. [Google Scholar] [CrossRef]
- Martins, D.; Nunez, C.V. Secondary Metabolites from Rubiaceae Species. Molecules 2015, 20, 13422–13495. [Google Scholar] [CrossRef]
- Takayama, H. Chemistry and Pharmacology of Analgesic Indole Alkaloids from the Rubiaceous Plant, Mitragyna Speciosa. Chem. Pharm. Bull. 2004, 52, 916–928. [Google Scholar] [CrossRef]
- Kiewhuo, K.; Gogoi, D.; Mahanta, H.J.; Rawal, R.K.; Das, D.; Vaikundamani, S.; Jamir, E.; Sastry, G.N. OSADHI—An Online Structural and Analytics Based Database for Herbs of India. Comput. Biol. Chem. 2023, 102, 107799. [Google Scholar] [CrossRef]
- Jaleel, C.A.; Gopi, R.; Kishorekumar, A.; Manivannan, P.; Sankar, B.; Panneerselvam, R. Interactive Effects of Triadimefon and Salt Stress on Antioxidative Status and Ajmalicine Accumulation in Catharanthus Roseus. Acta Physiol. Plant. 2008, 30, 287–292. [Google Scholar] [CrossRef]
- Wink, M. Evolution of Secondary Metabolites from an Ecological and Molecular Phylogenetic Perspective. Phytochemistry 2003, 64, 3–19. [Google Scholar] [CrossRef]
- Leksungnoen, N.; Andriyas, T.; Ngernsaengsaruay, C.; Uthairatsamee, S.; Racharak, P.; Sonjaroon, W.; Kjelgren, R.; Pearson, B.J.; McCurdy, C.R.; Sharma, A. Variations in Mitragynine Content in the Naturally Growing Kratom (Mitragyna Speciosa) Population of Thailand. Front. Plant Sci. 2022, 13, 1028547. [Google Scholar] [CrossRef] [PubMed]
- Stein, S.E. An Integrated Method for Spectrum Extraction and Compound Identification from Gas Chromatography/Mass Spectrometry Data. J. Am. Soc. Mass Spectrom. 1999, 10, 770–781. [Google Scholar] [CrossRef]
- Kind, T.; Fiehn, O. Seven Golden Rules for Heuristic Filtering of Molecular Formulas Obtained by Accurate Mass Spectrometry. BMC Bioinform. 2007, 8, 105. [Google Scholar] [CrossRef]
- Summer, L.W.; Amberg, A.; Barrett, D.; Beale, M.H.; Beger, R.; Daykin, C.A.; Fan, T.W.M.; Fiehn, O.; Goodacre, R.; Griffin, J.L.; et al. Proposed Minimum Reporting Standards for Chemical Analysis. Metabolomics 2007, 3, 211–221. [Google Scholar] [CrossRef]
- Benjamini, Y.; Hochberg, Y. Controlling the False Discovery Rate: A Practical and Powerful Approach to Multiple Testing. J. R. Stat. Soc. Ser. B 1995, 57, 289–300. [Google Scholar] [CrossRef]
- Thevenot, E.A. Ropls: PCA, PLS (-DA) and OPLS (-DA) for Multivariate Analysis and Feature Selection of Omics Data. R Packag. Version 2016, 1. Available online: https://bioconductor.org/packages/release/bioc/html/ropls.html (accessed on 29 August 2025).
- Oh, S.-W.; Imran, M.; Kim, E.-H.; Park, S.-Y.; Lee, S.-G.; Park, H.-M.; Jung, J.-W.; Ryu, T.-H. Approach Strategies and Application of Metabolomics to Biotechnology in Plants. Front. Plant Sci. 2023, 14, 1192235. [Google Scholar] [CrossRef]
- Kassambara, A.; Mundt, F. Others Package ‘Factoextra’. Extr. Vis. Results Multivar. Data Anal. 2017, 76, 10–18637. [Google Scholar]
- R Core Team. R: A Language and Environment for Statistical Computing, version 4.1.1; R Foundation for Statistical Computing: Vienna, Austria, 2023. [Google Scholar]
- der Maaten, L.; Hinton, G. Visualizing Data Using T-SNE. J. Mach. Learn. Res. 2008, 9, 2579–2605. [Google Scholar]
- Hartigan, J.A.; Wong, M.A. Algorithm AS 136: A k-Means Clustering Algorithm. J. R. Stat. Soc. Ser. C (Appl. Stat.) 1979, 28, 100–108. [Google Scholar] [CrossRef]
- Dalmaijer, E.S.; Nord, C.L.; Astle, D.E. Statistical Power for Cluster Analysis. BMC Bioinform. 2022, 23, 205. [Google Scholar] [CrossRef] [PubMed]
- Wiklund, S.; Johansson, E.; Sjöström, L.; Mellerowicz, E.J.; Edlund, U.; Shockcor, J.P.; Gottfries, J.; Moritz, T.; Trygg, J. Visualization of GC/TOF-MS-Based Metabolomics Data for Identification of Biochemically Interesting Compounds Using OPLS Class Models. Anal. Chem. 2008, 80, 115–122. [Google Scholar] [CrossRef] [PubMed]
- Lee, J.W.; Ji, S.H.; Lee, M.K.; Kim, G.S.; Ahn, Y.S.; Ko, H.J.; Baek, N.I.; Lee, D.Y. Metabolomics Based on UPLC-QTOF/MS Applied for the Discrimination of Cynanchum Wilfordii and Cynanchum Auriculatum. Metabolomics 2015, 5, 769–2153. [Google Scholar]
- Goulet-Pelletier, J.-C.; Cousineau, D. A Review of Effect Sizes and Their Confidence Intervals, Part I: The Cohen’sd Family. Quant. Methods Psychol. 2018, 14, 242–265. [Google Scholar] [CrossRef]
- Fisher, R.A. The Use of Multiple Measurements in Taxonomic Problems. Ann. Eugen. 1936, 7, 179–188. [Google Scholar] [CrossRef]









| Split Number | Silhouette Score | OPLS-DA p-Value | R2 (Q2) |
|---|---|---|---|
| 1 | 0.57 | <0.0001 | 0.98 (0.85) |
| 2 | 0.82 | <0.0001 | 0.96 (0.76) |
| 3 | 0.54 | <0.0001 | 0.91 (0.61) |
| 4 | 0.58 | 0.002 | 0.90 (0.58) |
Disclaimer/Publisher’s Note: The statements, opinions and data contained in all publications are solely those of the individual author(s) and contributor(s) and not of MDPI and/or the editor(s). MDPI and/or the editor(s) disclaim responsibility for any injury to people or property resulting from any ideas, methods, instructions or products referred to in the content. |
© 2025 by the authors. Licensee MDPI, Basel, Switzerland. This article is an open access article distributed under the terms and conditions of the Creative Commons Attribution (CC BY) license (https://creativecommons.org/licenses/by/4.0/).
Share and Cite
Andriyas, T.; Leksungnoen, N.; Uthairatsamee, S.; Ngernsaengsaruay, C.; Andriyas, S. Interspecific and Environmental Influence on the Foliar Metabolomes of Mitragyna Species Through Recursive OPLSDA Modeling. Plants 2025, 14, 2721. https://doi.org/10.3390/plants14172721
Andriyas T, Leksungnoen N, Uthairatsamee S, Ngernsaengsaruay C, Andriyas S. Interspecific and Environmental Influence on the Foliar Metabolomes of Mitragyna Species Through Recursive OPLSDA Modeling. Plants. 2025; 14(17):2721. https://doi.org/10.3390/plants14172721
Chicago/Turabian StyleAndriyas, Tushar, Nisa Leksungnoen, Suwimon Uthairatsamee, Chatchai Ngernsaengsaruay, and Sanyogita Andriyas. 2025. "Interspecific and Environmental Influence on the Foliar Metabolomes of Mitragyna Species Through Recursive OPLSDA Modeling" Plants 14, no. 17: 2721. https://doi.org/10.3390/plants14172721
APA StyleAndriyas, T., Leksungnoen, N., Uthairatsamee, S., Ngernsaengsaruay, C., & Andriyas, S. (2025). Interspecific and Environmental Influence on the Foliar Metabolomes of Mitragyna Species Through Recursive OPLSDA Modeling. Plants, 14(17), 2721. https://doi.org/10.3390/plants14172721

