Effects of Subsurface Drip Irrigation Depth on Growth Characteristics and Yield Quality of Apples (Malus pumila Mill.) in Northwest China
Abstract
1. Introduction
2. Materials and Methods
2.1. Overview of the Experimental Area
2.2. Experimental Characteristics
2.3. Measurements of Soil and Plant
- (1)
- Soil water content
- (2)
- Leaf nitrogen (N), phosphorus (P), and potassium (K) contents
- (3)
- New shoot tip abscisic acid (ABA), indoleacetic acid (IAA), total gibberellin (GA), and zeatin riboside (ZRs) contents
- (4)
- Plant water potential
- (5)
- Leaf SPAD
- (6)
- Photosynthetic data
- (7)
- Yield
- (8)
- Fruit quality
2.4. Data Processing
3. Results
3.1. Soil Water Content
3.2. New Shoot Endogenous Hormone Contents
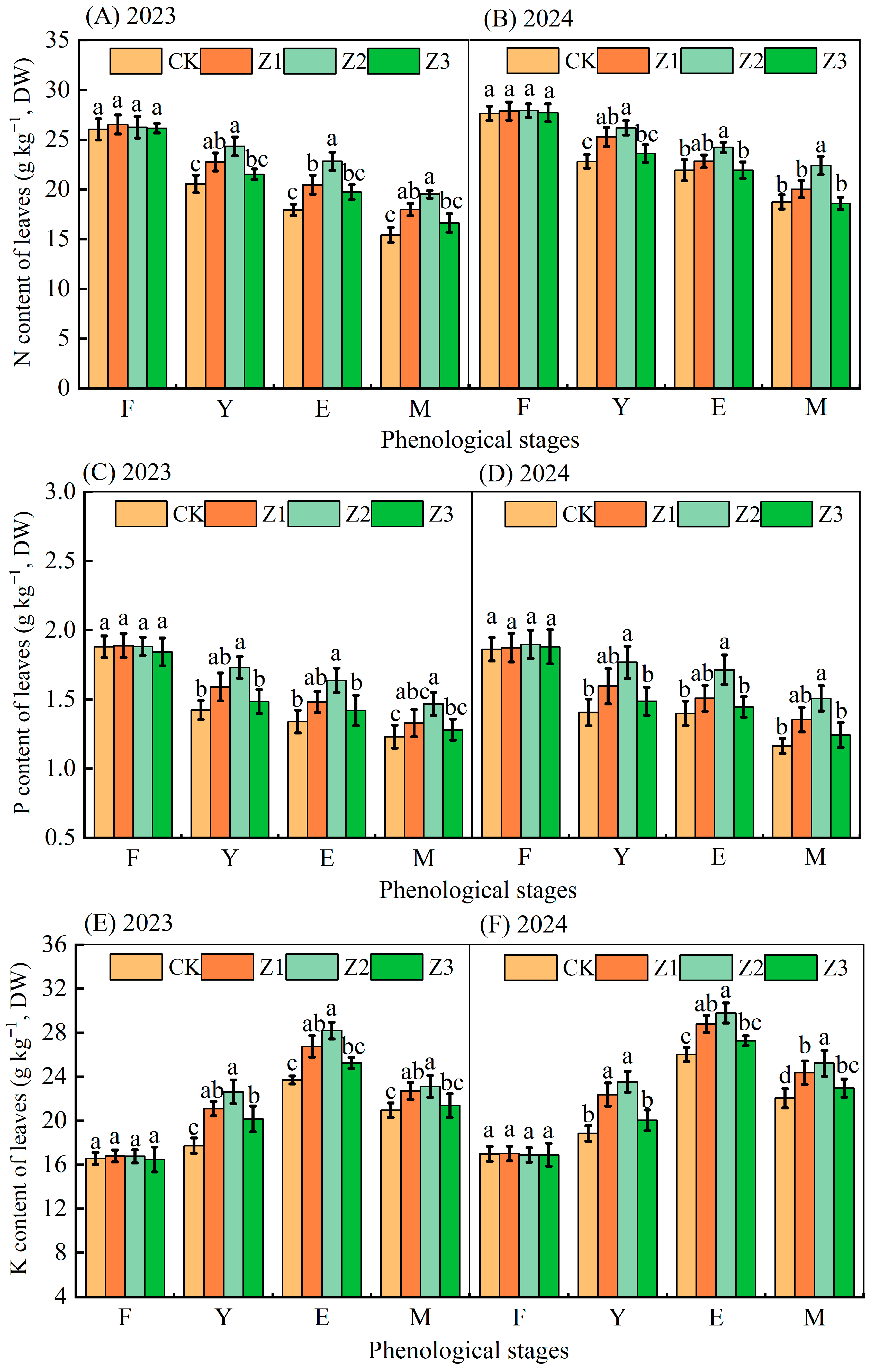
3.3. Leaf Nutrient Contents
3.4. Plant Water Potential
3.5. Apple Leaf SPAD and Light Response Characteristics
3.5.1. Leaf SPAD Values During the Reproductive Period
3.5.2. Leaf Light Response During the Fruit-Expansion Stage
3.6. Apple Yield, Quality, and Correlation Analysis
3.6.1. Apple Yield and Quality
3.6.2. Correlation Analysis of Apple Yield and Quality
3.7. Principal Component Analysis of Yield and Quality Indicators
3.7.1. Correlation Between Yield and Quality Indicators
3.7.2. Evaluating the Effects of Subsurface Oxygenated Drip Irrigation on Yield and Quality Indicators
4. Discussion
- (1)
- Effect of subsurface oxygenated drip irrigation on soil water and oxygen distribution
- (2)
- The effect of subsurface oxygenated drip irrigation on hormone and nutrient uptake in apples
- (3)
- Effects of subsurface oxygenated drip irrigation on SPAD, leaf photosynthetic characteristics and plant water potential in apple
- (4)
- Pathway analysis of subsurface oxygenated drip irrigation on apple yield increase and quality improvement
5. Conclusions
Author Contributions
Funding
Data Availability Statement
Conflicts of Interest
References
- Lei, H.J.; Xiao, Z.Y.; Zhang, Z.H.; Yang, H.G.; Liu, X.; Pan, H.W. Integrating Drip Fertigation with Soil Aeration to Improve Water and Nitrogen Use Efficiency of Greenhouse Tomato. J. Irrig. Drain. 2020, 39, 8–16. [Google Scholar]
- Ma, M.J.; Yang, J.G.; Li, D.M.; Yang, W.X.; Yang, S.C.; Wang, K.X.; Zhao, J.H.; Li, C.; Yuan, R.X. The Effects of Irrigation Methods on Yield and Quality of Alfalfa. J. Irrig. Drain. 2023, 42, 24–30. [Google Scholar] [CrossRef]
- Liu, R.L. Effects of Different Irrigation Methods on the Growth and Quality of Cherry Tomato. Heilongjiang Sci. 2024, 15, 25–27. [Google Scholar]
- Li, R.C.; Wan, S.Q.; Li, X.B.; Kang, Y.H. Effects of Matric Potential Threhold Used for Control of Shallow Drip Irrigaion on Growth and Yield of Alfalfa. J. Irrig. Drain. 2023, 42, 25–31. [Google Scholar] [CrossRef]
- He, X.L.; Wang, J.X.; Gong, P.; Zhao, L.; Heng, T.; Wang, C.X.; Zhang, J.R. Irrigation modes screening for water saving, high yield and quality of dwarfed and densely planted fragrant pears in South Xinjiang of China. Trans. Chin. Soc. Agric. Eng. (Trans. CSAE) 2024, 40, 249–262. [Google Scholar]
- Zhen, Y.Y.; Xu, L.R.; Gao, H.W. Effect of water-nitrogen coupling on water and nitrogen use efficiency of rotated winter wheat and summer maize under subsurface drip irrigation. J. Irrig. Drain. 2024, 43, 41–49. [Google Scholar] [CrossRef]
- Pisciotta, A.; Di Lorenzo, R.; Santalucia, G.; Barbagallo, M.G. Response of grapevine (Cabernet Sauvignon cv) to above ground and subsurface drip irrigation under arid conditions. Agric. Water Manag. 2018, 197, 122–131. [Google Scholar] [CrossRef]
- Thompson, T.L.; Doerge, T.A.; Godin, R.E. Subsurface drip irrigation and fertigation of broccoli: II. Agronomic, economic, and environmental outcomes. Soil Sci. Soc. Am. J. 2002, 66, 178–185. [Google Scholar] [CrossRef]
- Niu, W.; Guo, Q.; Zhou, X.; Helmers, M.J. Effect of aeration and soil water redistribution on the air permeability under subsurface drip irrigation. Soil Sci. Soc. Am. J. 2012, 76, 815–820. [Google Scholar] [CrossRef]
- Ityel, E.; Ben-Gal, A.; Silberbush, M.; Lazarovitch, N. Increased root zone oxygen by a capillary barrier is beneficial to bell pepper irrigated with brackish water in an arid region. Agric. Water Manag. 2014, 131, 108–114. [Google Scholar] [CrossRef]
- Qiao, J.L.; Zhang, C.; Xu, J.; Wang, C.H.; Zhao, Z.Y.; Xiao, Y.K. Effects of aeration irrigation on photosynthetic physiology of blueberry. J. Chin. Agric. Mech. 2017, 38, 89–93. [Google Scholar] [CrossRef]
- Lei, H.J.; Wang, L.Y.; Pan, H.W.; Hu, S.G. The Efficacy of Oxygenation in Improving Growth and Nutrients Use Efficiency of Greenhouse Purple Eggplant. J. Irrig. Drain. 2019, 38, 8–14. [Google Scholar] [CrossRef]
- Yu, Z.Z.; Wang, C.; Li, J.X.; Liu, S.D.; Wang, H.X. Optimization Design of Aerobic Irrigation System. J. Agric. Mech. Res. 2019, 41, 106–110. [Google Scholar] [CrossRef]
- Lei, H.J.; Hu, S.G.; Pan, H.W.; Zang, M.; Liu, X.; Li, K. Advancement in Research on Soil Aeration and Oxygation. Acta Pedol. Sin. 2017, 54, 297–308. [Google Scholar] [CrossRef]
- Lei, H.J.; Yang, H.G.; Feng, K.; Zang, M.; Pan, H.W. Impact of Continuous Aerating Irrigation on Growth, Water Use Efficiency and Nutrient Uptake of Pak Choi Growing in Different Soils. J. Irrig. Drain. 2017, 36, 13–18. [Google Scholar] [CrossRef]
- Liu, L.; Zeng, D.; Xie, Y.P.; Huang, X.J.; Zhou, D.R.; Wang, W.W.; Zhang, J.H.; Huang, J.S. Selection of Hydroponically Grown Lettuce Cultivar and Effect of Different Airing Treatments on the Yield and Quality of Lettuce. Chin. J. Trop. CROPS 2012, 33, 613–616. [Google Scholar]
- Barickman, T.C.; Ku, K.; Sams, C.E. Differing precision irrigation thresholds for kale (Brassica oleracea L. var. acephala) induces changes in physiological performance, metabolites, and yield. Environ. Exp. Bot. 2020, 180, 104253. [Google Scholar] [CrossRef]
- Abuarab, M.; Mostafa, E.; Ibrahim, M. Effect of air injection under subsurface drip irrigation on yield and water use efficiency of corn in a sandy clay loam soil. J. Adv. Res. 2013, 4, 493–499. [Google Scholar] [CrossRef]
- Hamad, A.; Xu, J.; Wei, Q.; Hamoud, Y.A.; Xu, L. Effect of different irrigation and nitogen management options on growth, yield and water use efficiency of Chinese cabbage in greenhouse cultivation. Pak. J. Agric. Sci. 2021, 58, 341–356. [Google Scholar]
- Bhattarai, S.P.; Huber, S.; Midmore, D.J. Aerated subsurface irrigation water gives growth and yield benefits to Zucchini, vegetable soybean and cotton in heavy clay soils. Ann. Appl. Biol. 2004, 144, 285–298. [Google Scholar] [CrossRef]
- Lei, H.J.; Zang, M.; Zhang, Z.H.; Liu, H.; Liu, Z.Y.; Xu, J.X. Impact of working pressure and surfactant concentration on air-water transmission in drip irrigation tape under cycle aeration. Trans. Chin. Soc. Agric. Eng. (Trans. CSAE) 2014, 30, 63–69. [Google Scholar]
- Ben-Noah, I.; Nitsan, I.; Cohen, B.; Kaplan, G.; Friedman, S.P. Soil aeration using air injection in a citrus orchard with shallow groundwater. Agric. Water Manag. 2021, 245, 106664. [Google Scholar] [CrossRef]
- Kisi, O.; Khosravinia, P.; Heddam, S.; Karimi, B.; Karimi, N. Modeling wetting front redistribution of drip irrigation systems using a new machine learning method: Adaptive neuro-fuzzy system improved by hybrid particle swarm optimization–Gravity search algorithm. Agric. Water Manag. 2021, 256, 107067. [Google Scholar] [CrossRef]
- Yang, M.D.; Zhang, S.Y.; Yang, S.J.; Guan, X.P.; Chen, J.P.; Li, S.J.; Wang, T.C.; Zou, G.Y. Simulation of Soil Moisture and Wet Front Transport and Optimization of Drip Tapes Design Parameters under Subsurface Drip Irrigation in Sandy Loam for Summer Maize. J. Henan Agric. Sci. 2022, 51, 148–161. [Google Scholar] [CrossRef]
- Bhattarai, S.P.; Midmore, D.J.; Pendergast, L. Yield, water-use efficiencies and root distribution of soybean, chickpea and pumpkin under different subsurface drip irrigation depths and oxygation treatments in vertisols. Irrig. Sci. 2008, 26, 439–450. [Google Scholar] [CrossRef]
- Marouelli, W.A.; Silva, W.L. Drip line placement depth for processing tomatoes crop. Hortic. Bras. 2002, 20, 206–210. [Google Scholar] [CrossRef]
- Patel, N.; Rajput, T.B.S. Effect of drip tape placement depth and irrigation level on yield of potato. Agric. Water Manag. 2007, 88, 209–223. [Google Scholar] [CrossRef]
- Dai, Y.X.; Jia, H.Z.; Zhang, P.Y.; Shi, J.R.; Yu, J.B.; Wang, L. Characteristics of root distribution and water-transportation tissues of apple rootstocks Malus micromalu and M9T337. J. Shanxi Agric. Univ. (Nat. Sci. Ed.) 2019, 39, 56–60. [Google Scholar] [CrossRef]
- Meng, H.Z.; Jiang, X.; Chen, X.D.; Li, Z.Y.; Xu, J.Z. Effects of SH40 Interstocks and Scion-roots on Apple Root Growth and Content of Endogenous Hormones. Acta Hortic. Sin. 2018, 45, 1193–1203. [Google Scholar] [CrossRef]
- Shen, Z.; Yin, B.Y.; Fu, X.Y.; Zhu, Y.N.; Liang, B.W.; Li, Z.Y.; Xu, J.Z. Effect of dwarfing interstock length on growth of Red Fuji apple seedlings and young trees and preliminary study on physiological mechanism. J. HEBEI Agric. Univ. 2021, 44, 42–47. [Google Scholar] [CrossRef]
- Basunia, M.A.; Nonhebel, H.M. Hormonal regulation of cereal endosperm development with a focus on rice (Oryza sativa). Funct. Plant Biol. 2019, 46, 493–506. [Google Scholar] [CrossRef]
- Zhang, X.F.; Tong, J.H.; Bai, A.N.; Liu, C.M.; Xiao, L.T.; Xue, H.W. Phytohormone dynamics in developing endosperm influence rice grain shape and quality. J. Integr. Plant Biol. 2020, 62, 1625–1637. [Google Scholar] [CrossRef]
- Liang, X.L.; Qiu, K.H.; He, R.; Jin, X.J.; Li, J.Y.; Fang, S.M. Regulation of plant seed formation and cytokinin. Plant Physiol. J. 2020, 56, 635–642. [Google Scholar] [CrossRef]
- Yan, G.H.; Gan, L.J.; Sun, R.H.; Zhang, L.H.; Zhou, X.A. Study on the Mechanisms of Exo-Gibberllins and Cytokinins in the Growth Regulation of Young Apple Fruit. Acta Hortic. Sin. 2000, 27, 11–16. [Google Scholar]
- Ha, S.; Vankova, R.; Yamaguchi-Shinozaki, K.; Tran, L.S.P. Cytokinins: Metabolism and function in plant adaptation to environmental stresses. Trends Plant Sci. 2012, 17, 172–179. [Google Scholar] [CrossRef]
- Horchani, F.; Gallusci, P.; Baldet, P.; Cabasson, C.; Maucourt, M.; Rolin, D.; Aschi-Smiti, S.; Raymond, P. Prolonged root hypoxia induces ammonium accumulation and decreases the nutritional quality of tomato fruits—ScienceDirect. J. Plant Physiol. 2008, 165, 1352–1359. [Google Scholar] [CrossRef]
- Ku, W.Z.; Peng, K.Q.; Zhang, X.Q.; Tong, J.H.; Zhou, H.; Xiao, L.T. Effects of low potassium stress on mineral nutrient ab-sorption andphytohormone contents of rice seedling. J. Plant Nutr. Fertil. 2009, 15, 69–75. [Google Scholar]
- Brenner, W.G.; Romanov, G.A.; Köllmer, I.; Bürkle, L.; Schmülling, T. Immediate-early and delayed cytokinin response genes of Arabidopsis thaliana identified by genome-wide expression profiling reveal novel cytokinin-sensitive processes and suggest cytokinin action through transcriptional cascades. Plant J. 2005, 44, 314–333. [Google Scholar] [CrossRef]
- Zhao, P.; Lin, K.H.; Zheng, Y. Effect of N and K nutrition on chlorophyll content and endogenous hormones in the process of tobacco senescence. Plant Nutr. Fertil. Sci. 2005, 27, 379–384. [Google Scholar]
- Zhong, C.; Wang, X.J.; Qi, X.X.; Jiang, H.Y. Dynamics of endogenous hormone and nutrient contents during flowering in male and female ginkgo plants. Jiangsu Agric. Sci. 2011, 39, 251–254. [Google Scholar] [CrossRef]
- Zeng, J. Study on the Water and Fertilizer Use Efficiency under Cycle Aerated Subsurface Drip Irrigation on Greenhouse Tomato. Master’s Thesis, Shandong Agricultural University, Taian, China, 2021. [Google Scholar] [CrossRef]
- Muñoz-Rojas, M.; Lewandrowski, W.; Erickson, T.E.; Dixon, K.W.; Merritt, D.J. Soil respiration dynamics in fire affected semi-arid ecosystems: Effects of vegetation type and environmental factors. Sci. Total Environ. 2016, 572, 1385–1394. [Google Scholar] [CrossRef]
- Lahijani, A.D.; Mosavi, A.; Moballeghi, M. The influence of micronutrients foliar application on rice (Oryza sativa L.) yield and yield components. J. Plant Nutr. Fertil. 2021, 27, 909–918. [Google Scholar]
- Wei, Y.X.; Cao, X.Q.; Ji, J.Q.; Zhang, X.W.; Liu, H.; Wu, Y. Effects of Different Irrigation Methods on Photosynthetic Characteristics and Dry Matter Accumulation Dynamics of Dry Direct Seeding Rice. Trans. Chin. Soc. Agric. Mach. 2021, 52, 358–368. [Google Scholar] [CrossRef]
- Xing, H.X.; Wu, J.M.; Chen, J.; Shi, Z.M. Research progress on limiting factors of plant photosynthesis and vegetation productivity. ACTA Ecol. Sin. 2023, 43, 5186–5199. [Google Scholar] [CrossRef]
- Zhang, Y.M.; Zhou, G.S. Advances in leaf maximum carboxylation rate and its response to environmental factors. ACTA Ecol. Sin. 2012, 32, 5907–5917. [Google Scholar] [CrossRef]
- Wang, C.; Yang, A.; Yin, H.; Zhang, J. Influence of water stress on endogenous hormone contents and cell damage of maize seedlings. J. Integr. Plant Biol. 2008, 50, 427–434. [Google Scholar] [CrossRef]
- Ploschuk, R.A.; Miralles, D.J.; Colmer, T.D.; Ploschuk, E.L.; Striker, G.G. Waterlogging of winter crops at early and late stages: Impacts on leaf physiology, growth and yield. Front. Plant Sci. 2018, 9, 1863. [Google Scholar] [CrossRef]
- Han, J.M.; Zhang, W.F.; Xiong, D.L.; Jaume, F.; Zhang, Y.L. Mesophyll conductance and its limiting factors in plant leaves. Chin. J. Plant Ecol. 2017, 41, 914–924. [Google Scholar] [CrossRef]
- Yu, Z.; Wang, C.; Zou, H.; Wang, H.; Li, H.; Sun, H.; Yu, D. The effects of aerated irrigation on soil respiration and the yield of the maize root zone. Sustainability 2022, 14, 4378. [Google Scholar] [CrossRef]
- Xiao, W.H.; Liao, Q.; Fu, J.J.; Liu, Y.N.; Zhang, C.P.; Zhang, W.P. Effects of micro-nano bubble aerated irrigation and levels of nitrogen fertilizer on nitrogen accumulation and metabolism in super rice. Irrig. Drain. 2023, 72, 138–147. [Google Scholar] [CrossRef]
- Zhang, Q.; Du, Y.; Cui, B.; Sun, J.; Wang, J.; Wu, M.; Niu, W. Aerated irrigation offsets the negative effects of nitrogen reduction on crop growth and water-nitrogen utilization. J. Clean. Prod. 2021, 313, 127917. [Google Scholar] [CrossRef]
- Zhu, L.; Yu, S.; Jin, Q. Effects of aerated irrigation on leaf senescence at late growth stage and grain yield of rice. Rice Sci. 2012, 19, 44–48. [Google Scholar] [CrossRef]
- Sun, S.M.; Wei, Q.P. Grey Relation Anlysis of Factors Influencing Yield and Quality of Fruit Trees. J. Shandong Agric. Univ. 1992, 23, 435–438. [Google Scholar]













| Growing Season | Treatment | α | β | γ | Rd | Pnmax | Isat | Ic |
|---|---|---|---|---|---|---|---|---|
| 2023 | CK | 0.0227 | 0.00032 | 0.00002 | 2.35 ± 0.14 | 15.41 ± 0.78 | 1563.20 ± 112.36 | 107.37 ± 4.59 |
| Z1 | 0.0375 | 0.00021 | 0.00062 | 3.30 ± 0.21 | 16.89 ± 0.52 | 1613.12 ± 129.24 | 94.85 ± 2.78 | |
| Z2 | 0.0444 | 0.00018 | 0.00089 | 3.45 ± 0.18 | 17.52 ± 0.61 | 1632.86 ± 79.67 | 84.88 ± 3.49 | |
| Z3 | 0.0347 | 0.00023 | 0.0005 | 3.26 ± 0.22 | 16.29 ± 0.73 | 1566.17 ± 147.55 | 100.97 ± 3.66 | |
| 2024 | CK | 0.0442 | 0.00017 | 0.00103 | 3.97 ± 0.11 | 15.79 ± 0.37 | 1667.58 ± 124.56 | 100.89 ± 6.42 |
| Z1 | 0.0541 | 0.000126 | 0.0013 | 4.21 ± 0.18 | 17.78 ± 0.76 | 1797.30 ± 99.24 | 88.08 ± 3.79 | |
| Z2 | 0.0653 | 0.000109 | 0.00161 | 4.57 ± 0.24 | 19.58 ± 0.45 | 1836.62 ± 86.58 | 79.69 ± 4.25 | |
| Z3 | 0.0453 | 0.000155 | 0.00103 | 4.04 ± 0.23 | 16.53 ± 0.71 | 1706.67 ± 134.79 | 99.81 ± 3.97 |
| Growing Season | Treatment | FW (g) | FSI | FF (kg cm−2) | L | a | b | SS (Brix) | TA (%) | SAR | VC (mg 100 g−1) | Yield (kg ha−1) |
|---|---|---|---|---|---|---|---|---|---|---|---|---|
| 2023 | CK | 220.33 ± 7.51 b | 0.80 ± 0.05 a | 6.29 ± 0.25 a | 47.55 ± 0.93 d | 24.63 ± 2.71 b | 12.57 ± 1.73 b | 12.13 ± 0.60 b | 0.78 ± 0.02 a | 15.65 ± 0.50c | 1.06 ± 0.12 c | 45,029.86 ± 755.28 b |
| Z1 | 231.80 ± 8.66 ab | 0.89 ± 0.07 a | 6.89 ± 0.71 a | 53.60 ± 1.59 b | 26.51 ± 2.44 ab | 11.67 ± 1.62 ab | 13.50 ± 0.12 a | 0.66 ± 0.04 b | 20.43 ± 1.25a | 1.48 ± 0.10 ab | 47,044.69 ± 866.44 ab | |
| Z2 | 253.03 ± 17.00 a | 0.91 ± 0.03 a | 6.99 ± 0.54 a | 57.57 ± 1.07 a | 29.62 ± 2.34 a | 10.73 ± 1.18 a | 12.93 ± 0.10 a | 0.71 ± 0.02 ab | 18.17 ± 0.66b | 1.55 ± 0.07 a | 49,100.29 ± 1299.62 a | |
| Z3 | 231.03 ± 8.92 b | 0.82 ± 0.08 a | 6.55 ± 0.36 a | 50.90 ± 1.43 c | 26.53 ± 1.50 ab | 9.36 ± 0.71 ab | 12.87 ± 0.25 a | 0.74 ± 0.04 a | 17.48 ± 0.75b | 1.33 ± 0.05 b | 45,688.78 ± 1211.51 b | |
| 2024 | CK | 248.06 ± 10.60 b | 0.80 ± 0.06 a | 6.89 ± 0.28 a | 50.43 ± 1.64 b | 22.97 ± 1.93 a | 9.01 ± 0.84 b | 12.67 ± 0.32 c | 0.80 ± 0.02 a | 15.83 ± 0.15c | 1.38 ± 0.05 b | 51,873.62 ± 952.51 c |
| Z1 | 286.18 ± 13.52 a | 0.84 ± 0.03 a | 7.22 ± 0.30 a | 55.58 ± 1.32 a | 24.40 ± 3.50 a | 11.51 ± 1.28 ab | 15.40 ± 0.44 ab | 0.74 ± 0.02 b | 20.83 ± 1.08ab | 1.55 ± 0.03 ab | 54,654.25 ± 1321.74 ab | |
| Z2 | 291.60 ± 19.91 a | 0.87 ± 0.01 a | 7.25 ± 0.17 a | 57.36 ± 3.44 a | 26.70 ± 1.76 a | 13.49 ± 1.34 a | 14.57 ± 0.59 a | 0.76 ± 0.02 b | 19.19 ± 1.25 a | 1.70 ± 0.17 a | 56,257.36 ± 1214.07 a | |
| Z3 | 254.25 ± 12.71 b | 0.84 ± 0.09 a | 7.16 ± 0.36 a | 53.99 ± 2.31 ab | 23.90 ± 3.11 a | 10.39 ± 3.00 ab | 13.70 ± 0.62 b | 0.77 ± 0.01 ab | 17.87 ± 0.79 b | 1.41 ± 0.05 b | 52,569.26 ± 853.95 bc |
Disclaimer/Publisher’s Note: The statements, opinions and data contained in all publications are solely those of the individual author(s) and contributor(s) and not of MDPI and/or the editor(s). MDPI and/or the editor(s) disclaim responsibility for any injury to people or property resulting from any ideas, methods, instructions or products referred to in the content. |
© 2025 by the authors. Licensee MDPI, Basel, Switzerland. This article is an open access article distributed under the terms and conditions of the Creative Commons Attribution (CC BY) license (https://creativecommons.org/licenses/by/4.0/).
Share and Cite
Zheng, M.; Sun, Y.; Mu, W.; Bai, Y.; Wang, Q.; Lu, Z.; Zhang, W. Effects of Subsurface Drip Irrigation Depth on Growth Characteristics and Yield Quality of Apples (Malus pumila Mill.) in Northwest China. Plants 2025, 14, 2702. https://doi.org/10.3390/plants14172702
Zheng M, Sun Y, Mu W, Bai Y, Wang Q, Lu Z, Zhang W. Effects of Subsurface Drip Irrigation Depth on Growth Characteristics and Yield Quality of Apples (Malus pumila Mill.) in Northwest China. Plants. 2025; 14(17):2702. https://doi.org/10.3390/plants14172702
Chicago/Turabian StyleZheng, Ming, Yan Sun, Weiyi Mu, Yungang Bai, Quanjiu Wang, Zhenlin Lu, and Wantong Zhang. 2025. "Effects of Subsurface Drip Irrigation Depth on Growth Characteristics and Yield Quality of Apples (Malus pumila Mill.) in Northwest China" Plants 14, no. 17: 2702. https://doi.org/10.3390/plants14172702
APA StyleZheng, M., Sun, Y., Mu, W., Bai, Y., Wang, Q., Lu, Z., & Zhang, W. (2025). Effects of Subsurface Drip Irrigation Depth on Growth Characteristics and Yield Quality of Apples (Malus pumila Mill.) in Northwest China. Plants, 14(17), 2702. https://doi.org/10.3390/plants14172702
