Species- and Age-Dependent Prenyllipid Accumulation in Hypericum Species’ Leaves
Abstract
1. Introduction
2. Materials and Methods
2.1. Reagents
2.2. Plant Material
2.3. Tocochromanol and Carotenoid Extraction
2.4. Tocopherol and Tocotrienol Analysis with RP-HPLC-FLD
2.5. Carotenoid Content Semi-Quantitative Analysis
2.6. Chlorophyll Extraction and Content Analysis
2.7. Statistical Analysis
3. Results and Discussion
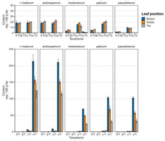
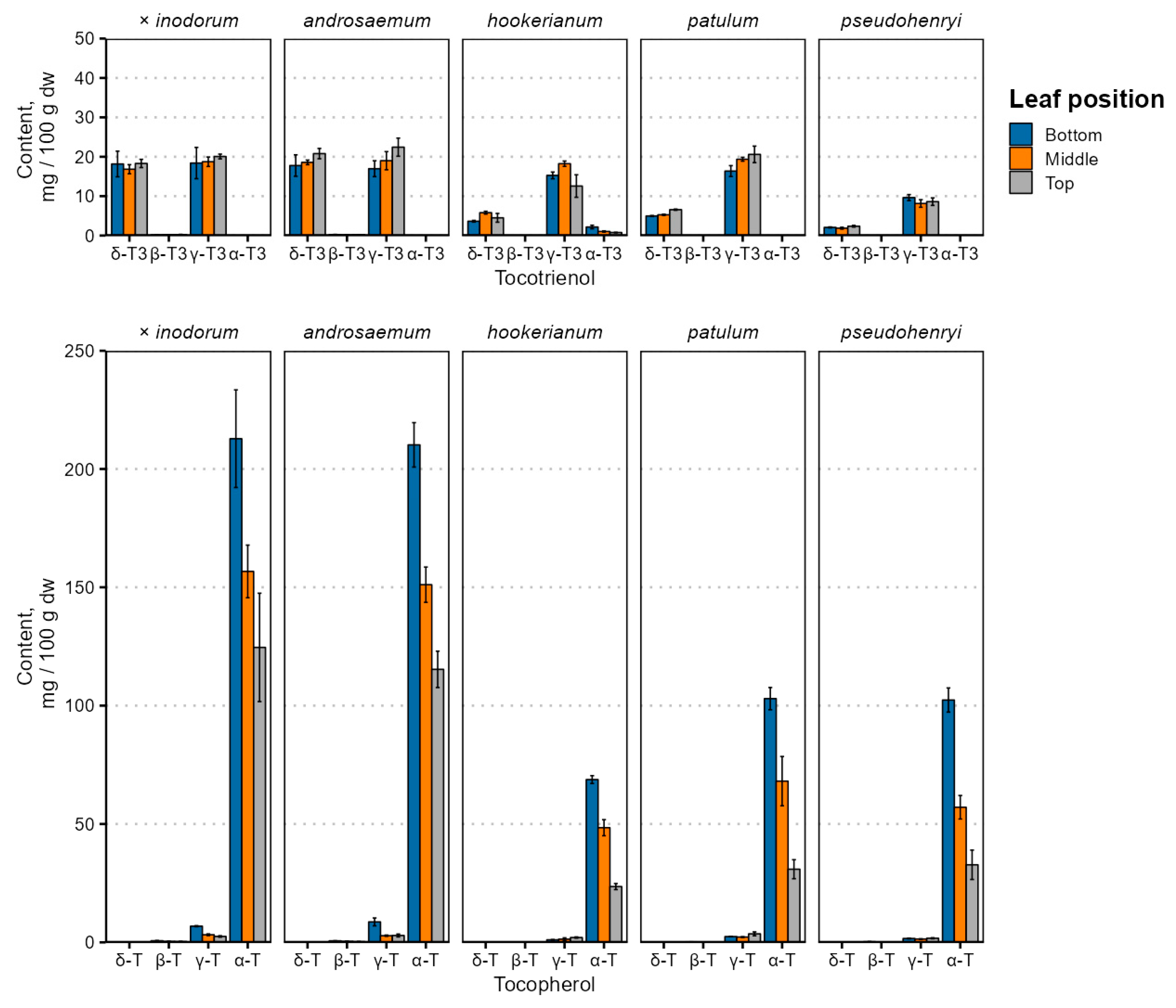
3.1. Tocochromanols
3.2. Chlorophylls
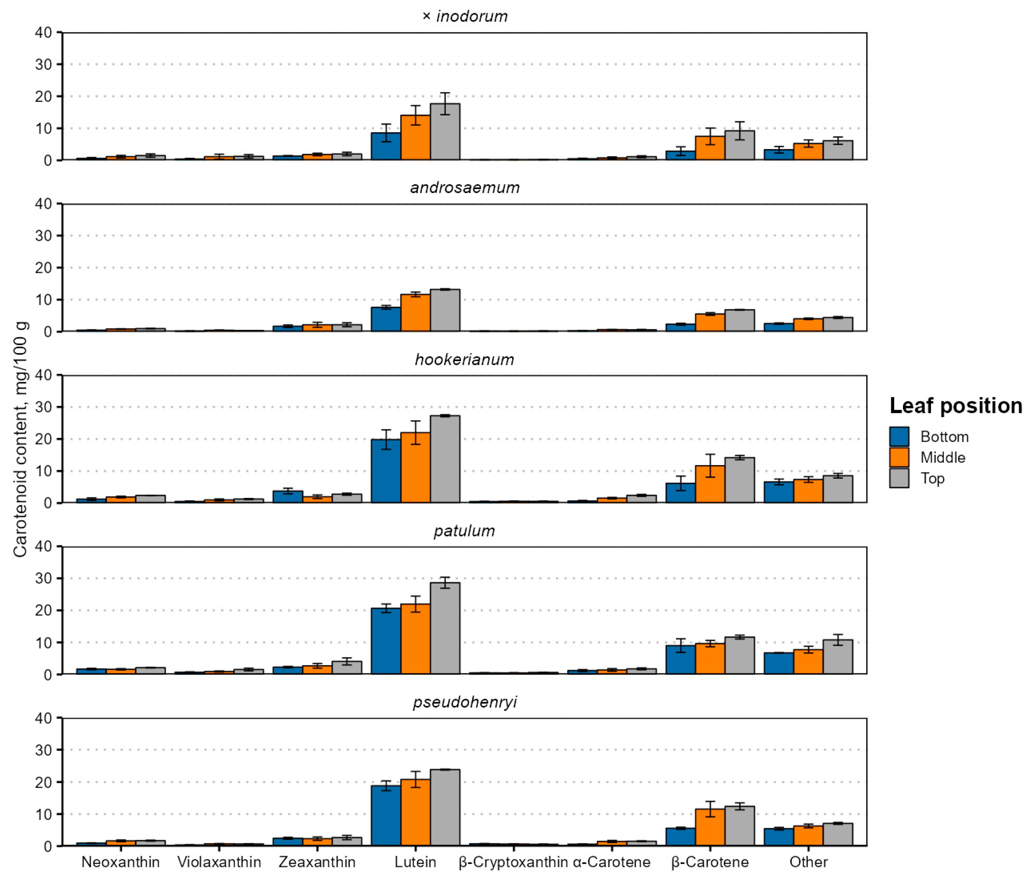
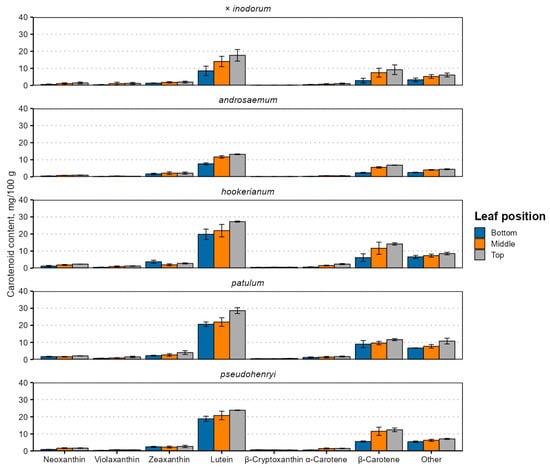
3.3. Carotenoids
3.4. Relationship Between Tocochromanol, Carotenoid and Chlorophyll Contents
4. Conclusions
Supplementary Materials
Author Contributions
Funding
Data Availability Statement
Conflicts of Interest
References
- Group, T.A.P. An update of the Angiosperm Phylogeny Group classification for the orders and families of flowering plants: APG II. Bot. J. Linn. Soc. 2003, 141, 399–436. [Google Scholar] [CrossRef]
- Ion, V.; Ielciu, I.; Cârje, A.-G.; Muntean, D.L.; Crişan, G.; Păltinean, R. Hypericum spp.—An Overview of the Extraction Methods and Analysis of Compounds. Separations 2022, 9, 17. [Google Scholar] [CrossRef]
- Mišina, I.; Perkons, I.; Siger, A.; Soliven, A.; Górnaś, P. Residues of St. John’s wort (Hypericum perforatum) tea infusions/water extracts as a valuable source of tocotrienols: An extraction study. Appl. Sci. 2025, 15, 2047. [Google Scholar] [CrossRef]
- Heinrich, M.; Vikuk, V.; Daniels, R.; Stintzing, F.C.; Kammerer, D.R. Characterization of Hypericum perforatum L. (St. John’s wort) macerates prepared with different fatty oils upon processing and storage. Phytochem. Lett. 2017, 20, 470–480. [Google Scholar] [CrossRef]
- Napoli, E.; Siracusa, L.; Ruberto, G.; Carrubba, A.; Lazzara, S.; Speciale, A.; Cimino, F.; Saija, A.; Cristani, M. Phytochemical profiles, phototoxic and antioxidant properties of eleven Hypericum species–A comparative study. Phytochemistry 2018, 152, 162–173. [Google Scholar] [CrossRef] [PubMed]
- Mène-Saffrané, L.; DellaPenna, D. Biosynthesis, regulation and functions of tocochromanols in plants. Plant Physiol. Biochem. 2010, 48, 301–309. [Google Scholar] [CrossRef] [PubMed]
- Mène-Saffrané, L. Vitamin E biosynthesis and its regulation in plants. Antioxidants 2018, 7, 2. [Google Scholar] [CrossRef] [PubMed]
- Rey, F.; Zacarias, L.; Rodrigo, M.J. Regulation of tocopherol biosynthesis during fruit maturation of different Citrus species. Front. Plant Sci. 2021, 12, 743993. [Google Scholar] [CrossRef] [PubMed]
- Horvath, G.; Wessjohann, L.; Bigirimana, J.; Jansen, M.; Guisez, Y.; Caubergs, R.; Horemans, N. Differential distribution of tocopherols and tocotrienols in photosynthetic and non-photosynthetic tissues. Phytochemistry 2006, 67, 1185–1195. [Google Scholar] [CrossRef] [PubMed]
- Siger, A.; Górnaś, P. Free tocopherols and tocotrienols in 82 plant species’ oil: Chemotaxonomic relation as demonstrated by PCA and HCA. Food Res. Int. 2023, 164, 112386. [Google Scholar] [CrossRef] [PubMed]
- Górnaś, P.; Baškirovs, G.; Siger, A. Free and esterified tocopherols, tocotrienols and other extractable and non-extractable tocochromanol-related molecules: Compendium of knowledge, future perspectives and recommendations for chromatographic techniques, tools, and approaches used for tocochromanol determination. Molecules 2022, 27, 6560. [Google Scholar] [PubMed]
- Siles, L.; Cela, J.; Munné-Bosch, S. Vitamin E analyses in seeds reveal a dominant presence of tocotrienols over tocopherols in the Arecaceae family. Phytochemistry 2013, 95, 207–214. [Google Scholar] [CrossRef] [PubMed]
- Bagci, E. Fatty acids and tocochromanol patterns of some Turkish Apiaceae (Umbelliferae) plants; a chemotaxonomic approach. Acta Bot. Gallica 2007, 154, 143–151. [Google Scholar] [CrossRef]
- Ivanov, S.A.; Aitzetmüller, K. Untersuchungen über die tocopherol-und tocotrienolzusammensetzung der samenöle einiger vertreter der familie Apiaceae. Lipid/Fett 1995, 97, 24–29. [Google Scholar] [CrossRef]
- Yang, B.; Ahotupa, M.; Määttä, P.; Kallio, H. Composition and antioxidative activities of supercritical CO2-extracted oils from seeds and soft parts of northern berries. Food Res. Int. 2011, 44, 2009–2017. [Google Scholar] [CrossRef]
- Mišina, I.; Lazdiņa, D.; Górnaś, P. Tocochromanols in the leaves of plants in the Hypericum and Clusia genera. Molecules 2025, 30, 709. [Google Scholar] [CrossRef] [PubMed]
- Lazdiņa, D.; Mišina, I.; Górnaś, P. Tocotrienols in eleven species of Hypericum genus leaves. Molecules 2025, 30, 662. [Google Scholar] [CrossRef] [PubMed]
- Miķelsone, I.; Sipeniece, E.; Mišina, I.; Bondarenko, E.; Segliņa, D.; Górnaś, P. Impact of soil on biomass yield and accumulation of lipophilic secondary metabolites in four Hypericum species. Agriculture 2025, 15, 526. [Google Scholar] [CrossRef]
- Miķelsone, I.; Sipeniece, E.; Segliņa, D.; Górnaś, P. Tocopherol and tocotrienol content in the leaves of the genus Hypericum: Impact of species and drying technique. Plants 2025, 14, 1079. [Google Scholar] [CrossRef] [PubMed]
- Górnaś, P.; Mišina, I.; Soliven, A.; Segliņa, D. Tocopherol and tocotrienol profile in wild St. John’s wort populations in Latvia: Impact of the plant’s aerial parts. Nat. Prod. Res. 2025, 1–8. [Google Scholar] [CrossRef] [PubMed]
- Rodriguez-Concepcion, M.; Avalos, J.; Bonet, M.L.; Boronat, A.; Gomez-Gomez, L.; Hornero-Mendez, D.; Limon, M.C.; Meléndez-Martínez, A.J.; Olmedilla-Alonso, B.; Palou, A. A global perspective on carotenoids: Metabolism, biotechnology, and benefits for nutrition and health. Prog. Lipid Res. 2018, 70, 62–93. [Google Scholar] [CrossRef] [PubMed]
- Lichtenthaler, H.K. Biosynthesis, accumulation and emission of carotenoids, α-tocopherol, plastoquinone, and isoprene in leaves under high photosynthetic irradiance. Photosynth. Res. 2007, 92, 163–179. [Google Scholar] [CrossRef] [PubMed]
- Meléndez-Martínez, A.J. An overview of carotenoids, apocarotenoids, and vitamin A in agro-food, nutrition, health, and disease. Mol. Nutr. Food Res. 2019, 63, 1801045. [Google Scholar] [CrossRef] [PubMed]
- Meléndez-Martínez, A.J.; Böhm, V.; Borge, G.I.A.; Cano, M.P.; Fikselová, M.; Gruskiene, R.; Lavelli, V.; Loizzo, M.R.; Mandić, A.I.; Brahm, P.M. Carotenoids: Considerations for their use in functional foods, nutraceuticals, nutricosmetics, supplements, botanicals, and novel foods in the context of sustainability, circular economy, and climate change. Annu. Rev. Food Sci. Technol. 2021, 12, 433–460. [Google Scholar] [CrossRef] [PubMed]
- Tanaka, R.; Kobayashi, K.; Masuda, T. Tetrapyrrole metabolism in Arabidopsis thaliana. Arab. Book/Am. Soc. Plant Biol. 2011, 9, e0145. [Google Scholar]
- Lushchak, V.I.; Semchuk, N.M. Tocopherol biosynthesis: Chemistry, regulation and effects of environmental factors. Acta Physiol. Plant. 2012, 34, 1607–1628. [Google Scholar] [CrossRef]
- Sun, T.; Tadmor, Y.; Li, L. Pathways for carotenoid biosynthesis, degradation, and storage. In Plant and Food Carotenoids; Springer: Berlin/Heidelberg, Germany, 2020; pp. 3–23. [Google Scholar]
- Ohmiya, A.; Hirashima, M.; Yagi, M.; Tanase, K.; Yamamizo, C. Identification of genes associated with chlorophyll accumulation in flower petals. PLoS ONE 2014, 9, e113738. [Google Scholar] [CrossRef] [PubMed]
- Durrett, T.P.; Welti, R. The tail of chlorophyll: Fates for phytol. J. Biol. Chem. 2021, 296, 100802. [Google Scholar] [CrossRef] [PubMed]
- Szymańska, R.; Kruk, J. Tocopherol content and isomers’ composition in selected plant species. Plant Physiol. Biochem. 2008, 46, 29–33. [Google Scholar] [CrossRef] [PubMed]
- Szymańska, R.; Kruk, J. γ-Tocopherol dominates in young leaves of runner bean (Phaseolus coccineus) under a variety of growing conditions: The possible functions of γ-tocopherol. Phytochemistry 2008, 69, 2142–2148. [Google Scholar] [CrossRef] [PubMed]
- Slavin, M.; Yu, L.L. A single extraction and HPLC procedure for simultaneous analysis of phytosterols, tocopherols and lutein in soybeans. Food Chem. 2012, 135, 2789–2795. [Google Scholar] [CrossRef] [PubMed]
- Górnaś, P.; Segliņa, D.; Lācis, G.; Pugajeva, I. Dessert and crab apple seeds as a promising and rich source of all four homologues of tocopherol (a, b, g and d). LWT-Food Sci. Technol. 2014, 59, 211–214. [Google Scholar] [CrossRef]
- Kofler, M.; Sommer, P.F.; Bolliger, H.R.; Schmidli, B.; Vecchi, M. Physicochemical properties and assay of the tocopherols. In Vitamins & Hormones; Elsevier: Amsterdam, The Netherlands, 1962; Volume 20, pp. 407–440. [Google Scholar]
- Rodriguez-Amaya, D.B. A Guide to Carotenoid Analysis in Foods; ILSI Press: Washington, DC, USA, 2001. [Google Scholar]
- Sanz, N.; García-Blanco, A.; Gavalás-Olea, A.; Loures, P.; Garrido, J.L. Phytoplankton pigment biomarkers: HPLC separation using a pentafluorophenyloctadecyl silica column. Methods Ecol. Evol. 2015, 6, 1199–1209. [Google Scholar] [CrossRef]
- Ritchie, R.J. Consistent sets of spectrophotometric chlorophyll equations for acetone, methanol and ethanol solvents. Photosynth. Res. 2006, 89, 27–41. [Google Scholar] [CrossRef] [PubMed]
- Chaiareekitwat, S.; Latif, S.; Mahayothee, B.; Khuwijitjaru, P.; Nagle, M.; Amawan, S.; Müller, J. Protein composition, chlorophyll, carotenoids, and cyanide content of cassava leaves (Manihot esculenta Crantz) as influenced by cultivar, plant age, and leaf position. Food Chem. 2022, 372, 131173. [Google Scholar] [CrossRef] [PubMed]
- Uzelac, B.; Janošević, D.; Simonović, A.; Motyka, V.; Dobrev, P.I.; Budimir, S. Characterization of natural leaf senescence in tobacco (Nicotiana tabacum) plants grown in vitro. Protoplasma 2016, 253, 259–275. [Google Scholar] [CrossRef] [PubMed]
- Dhami, N.; Tissue, D.T.; Cazzonelli, C.I. Leaf-age dependent response of carotenoid accumulation to elevated CO2 in Arabidopsis. Arch. Biochem. Biophys. 2018, 647, 67–75. [Google Scholar] [CrossRef] [PubMed]
- Liu, B.; Zhang, X.; You, X.; Li, Y.; Long, S.; Wen, S.; Liu, Q.; Liu, T.; Guo, H.; Xu, Y. Hydrogen sulfide improves tall fescue photosynthesis response to low-light stress by regulating chlorophyll and carotenoid metabolisms. Plant Physiol. Biochem. 2022, 170, 133–145. [Google Scholar] [CrossRef] [PubMed]
- Doğru, A.; Çakirlar, H. Effects of leaf age on chlorophyll fluorescence and antioxidant enzymes activity in winter rapeseed leaves under cold acclimation conditions. Rev. Bras. Bot. 2020, 43, 11–20. [Google Scholar] [CrossRef]
- Dhami, N.; Cazzonelli, C.I. Environmental impacts on carotenoid metabolism in leaves. Plant Growth Regul. 2020, 92, 455–477. [Google Scholar] [CrossRef]
- Xu, P.; Yu, J.; Ma, R.; Ji, Y.; Hu, Q.; Mao, Y.; Ding, C.; Li, Z.; Ge, S.; Deng, W.-W. Chlorophyll and carotenoid metabolism varies with growth temperatures among tea genotypes with different leaf colors in Camellia sinensis. Int. J. Mol. Sci. 2024, 25, 10772. [Google Scholar] [CrossRef] [PubMed]
- Inoue, T.; Tatemori, S.; Muranaka, N.; Hirahara, Y.; Homma, S.; Nakane, T.; Takano, A.; Nomi, Y.; Otsuka, Y. The Identification of Vitamin E Homologues in Medicinal Plant Samples Using ESI (+)-LC-MS3. J. Agric. Food Chem. 2012, 60, 9581–9588. [Google Scholar] [CrossRef] [PubMed]
- Saini, R.K.; Keum, Y.-S.; Rengasamy, K.R. Profiling of nutritionally important metabolites in green/red and green perilla (Perilla frutescens Britt.) cultivars: A comparative study. Ind. Crops Prod. 2020, 151, 112441. [Google Scholar] [CrossRef]
- Miķelsone, I.; Sipeniece, E.; Mišina, I.; Bondarenko, E.; Górnaś, P. Cultivated St. John’s wort flower heads accumulate tocotrienols over tocopherols, regardless of the year of the plant. Plants 2025, 14, 852. [Google Scholar] [CrossRef] [PubMed]
- Jin, X.; Baysal, C.; Drapal, M.; Sheng, Y.; Huang, X.; He, W.; Shi, L.; Capell, T.; Fraser, P.D.; Christou, P. The Coordinated upregulated expression of genes involved in MEP, chlorophyll, carotenoid and tocopherol pathways, mirrored the corresponding metabolite contents in rice leaves during de-etiolation. Plants 2021, 10, 1456. [Google Scholar] [CrossRef] [PubMed]
- Morcillo, F.; Vaissayre, V.; Serret, J.; Avallone, S.; Domonhédo, H.; Jacob, F.; Dussert, S. Natural diversity in the carotene, tocochromanol and fatty acid composition of crude palm oil. Food Chem. 2021, 365, 130638. [Google Scholar] [CrossRef] [PubMed]
- Górnaś, P.; Mišina, I.; Perkons, I.; Segliņa, D.; Czlapka-Matyasik, M. Characterization of tocochromanols in wild Hypericum perforatum populations in Latvia. Horticulturae 2025, 11, 205. [Google Scholar] [CrossRef]
- Górnaś, P.; Symoniuk, E. Tocotrienols in different parts of wild Hypericum perforatum L. populations in Poland. Molecules 2025, 30, 1137. [Google Scholar] [CrossRef] [PubMed]
- Górnaś, P.; Symoniuk, E.; Soliven, A. Reversed phase HPLC with UHPLC benefits for the determination of tocochromanols in the seeds of edible fruits in the Rosaceae family. Food Chem. 2024, 460, 140789. [Google Scholar] [CrossRef] [PubMed]
- Zhao, Y.; Li, J.; Huang, S.; Li, H.; Liu, Y.; Gu, Q.; Guo, X.; Hu, Y. Tocochromanols and chlorophylls accumulation in young pomelo (Citrus maxima) during early fruit development. Foods 2021, 10, 2022. [Google Scholar] [CrossRef] [PubMed]
- Morales, M.; Garcia, Q.S.; Siqueira-Silva, A.I.; Silva, M.C.; Munné-Bosch, S. Tocotrienols in Vellozia gigantea leaves: Occurrence and modulation by seasonal and plant size effects. Planta 2014, 240, 437–446. [Google Scholar] [CrossRef] [PubMed]
- Munné-Bosch, S.; Alegre, L. Plant aging increases oxidative stress in chloroplasts. Planta 2002, 214, 608–615. [Google Scholar] [CrossRef] [PubMed]
- Laya, A.; Koubala, B.B. Changes in vitamin e and β-carotene contents in various edible cassava leaves (Manihot esculenta Crantz) of different ages across multiple seasons. Int. J. Agron. 2020, 2020, 4671018. [Google Scholar] [CrossRef]
- Karimi, M.; Ahmadi, N.; Ebrahimi, M. Red LED light promotes biomass, flowering and secondary metabolites accumulation in hydroponically grown Hypericum perforatum L.(cv. Topas). Ind. Crops Prod. 2022, 175, 114239. [Google Scholar] [CrossRef]
- Procházková, D.; Haisel, D.; Wilhelmová, N. Content of carotenoids during ageing and senescence of tobacco leaves with genetically modulated life-span. Photosynthetica 2009, 47, 409–414. [Google Scholar] [CrossRef]
- Bertamini, M.; Nedunchezhian, N. Leaf age effects on chlorophyll, Rubisco, photosynthetic electron transport activities and thylakoid membrane protein in field grown grapevine leaves. J. Plant Physiol. 2002, 159, 799–803. [Google Scholar] [CrossRef]
- He, X.-h.; Si, J.-h.; Zhou, D.-m.; Wang, C.-l.; Zhao, C.-y.; Jia, B.; Qin, J.; Zhu, X.-l. Leaf chlorophyll parameters and photosynthetic characteristic variations with stand age in a typical desert species (Haloxylon ammodendron). Front. Plant Sci. 2022, 13, 967849. [Google Scholar] [CrossRef] [PubMed]
- Zentgraf, U.; Jobst, J.; Kolb, D.; Rentsch, D. Senescence-related gene expression profiles of rosette leaves of Arabidopsis thaliana: Leaf age versus plant age. Plant Biol. 2004, 6, 178–183. [Google Scholar] [CrossRef] [PubMed]
- Paponov, M.; Antonyan, M.; Slimestad, R.; Paponov, I.A. Decoupling of plant growth and accumulation of biologically active compounds in leaves, roots, and root exudates of Hypericum perforatum l. by the combination of jasmonate and far-red lighting. Biomolecules 2021, 11, 1283. [Google Scholar] [CrossRef] [PubMed]
- Omarova, M.A.; Artamonova, N.A. Liposoluble pigments from the herb: Hypericum perforatum. Chem. Nat. Compd. 1997, 33, 691–692. [Google Scholar] [CrossRef]
- Sangeetha, R.K.; Baskaran, V. Carotenoid composition and retinol equivalent in plants of nutritional and medicinal importance: Efficacy of β-carotene from Chenopodium album in retinol-deficient rats. Food Chem. 2010, 119, 1584–1590. [Google Scholar] [CrossRef]
- Dias, M.G.; Borge, G.I.A.; Kljak, K.; Mandić, A.I.; Mapelli-Brahm, P.; Olmedilla-Alonso, B.; Pintea, A.M.; Ravasco, F.; Šaponjac, V.T.; Sereikaitė, J. European database of carotenoid levels in foods. Factors Affect. Carotenoid Content. Foods 2021, 10, 912. [Google Scholar] [PubMed]
- Fanciullino, A.-L.; Dhuique-Mayer, C.; Luro, F.; Morillon, R.; Ollitrault, P. Carotenoid biosynthetic pathway in the Citrus genus: Number of copies and phylogenetic diversity of seven genes. J. Agric. Food Chem. 2007, 55, 7405–7417. [Google Scholar] [CrossRef] [PubMed]
- Yan, H.; Pengfei, W.; Brennan, H.; Ping, Q.; Bingxiang, L.; Feiyan, Z.; Hongbo, C.; Haijiang, C. Diversity of carotenoid composition, sequestering structures and gene transcription in mature fruits of four Prunus species. Plant Physiol. Biochem. 2020, 151, 113–123. [Google Scholar] [CrossRef] [PubMed]
- Meléndez-Martínez, A.J.; Britton, G.; Vicario, I.M.; Heredia, F.J. Relationship between the colour and the chemical structure of carotenoid pigments. Food Chem. 2007, 101, 1145–1150. [Google Scholar] [CrossRef]
- Yuan, H.; Zhang, J.; Nageswaran, D.; Li, L. Carotenoid metabolism and regulation in horticultural crops. Hortic. Res. 2015, 2, 15036. [Google Scholar] [CrossRef] [PubMed]
- Bruňáková, K.; Bálintová, M.; Petijová, L.; Čellárová, E. Does phenotyping of Hypericum secondary metabolism reveal a tolerance to biotic/abiotic stressors? Front. Plant Sci. 2022, 13, 1042375. [Google Scholar] [CrossRef] [PubMed]





| Species | Leaf Age | T3/Chl | T/Chl | TT/Chl | T3/Car | T/Car | TT/Car | Car/Chl |
|---|---|---|---|---|---|---|---|---|
| Androsaemum section | ||||||||
| × inodorum | Bottom | 9.53 ± 5.48 a | 53.72 ± 22.69 a | 63.27 ± 27.68 a | 2.28 ± 0.98 a | 13.14 ± 3.50 a | 15.41 ± 4.32 a | 3.95 ± 0.85 abc |
| Middle | 2.83 ± 0.74 b | 12.64 ± 2.59 b | 15.49 ± 3.30 b | 1.17 ± 0.27 bc | 5.2 ± 0.91 bc | 6.37 ± 1.17 bc | 2.42 ± 0.08 c | |
| Top | 2.43 ± 0.74 b | 8.23 ± 3.45 b | 10.65 ± 4.15 b | 1.02 ± 0.22 bcd | 3.44 ± 1.22 bcde | 4.46 ± 1.44 bcde | 2.35 ± 0.21 c | |
| androsaemum | Bottom | 11.43 ± 1.96 a | 71.99 ± 10.87 a | 83.42 ± 11.95 a | 2.28 ± 0.18 a | 14.42 ± 1.82 a | 16.7 ± 1.79 a | 5.05 ± 1.03 a |
| Middle | 3.93 ± 0.32 b | 16.16 ± 1.58 b | 20.11 ± 1.84 b | 1.48 ± 0.08 ab | 6.09 ± 0.70 b | 7.57 ± 0.77 b | 2.66 ± 0.17 c | |
| Top | 4.17 ± 0.91 b | 11.36 ± 2.37 b | 15.52 ± 3.25 b | 1.51 ± 0.09 ab | 4.12 ± 0.16 bcd | 5.63 ± 0.22 bcd | 2.75 ± 0.46 c | |
| Ascyreia section | ||||||||
| hookerianum | Bottom | 2.60 ± 1.05 b | 8.63 ± 3.19 b | 11.26 ± 4.25 b | 0.55 ± 0.09 cd | 1.81 ± 0.26 de | 2.36 ± 0.35 de | 4.68 ± 1.22 ab |
| Middle | 1.40 ± 0.36 b | 2.80 ± 0.98 b | 4.19 ± 1.35 b | 0.53 ± 0.07 cd | 1.06 ± 0.21 de | 1.59 ± 0.28 e | 2.61 ± 0.44 c | |
| Top | 0.77 ± 0.15 b | 1.09 ± 0.08 b | 1.84 ± 0.23 b | 0.3 ± 0.05 d | 0.43 ± 0.01 e | 0.73 ± 0.06 e | 2.52 ± 0.15 c | |
| patulum | Bottom | 1.53 ± 0.15 b | 7.63 ± 1.39 b | 9.15 ± 1.54 b | 0.5 ± 0.03 cd | 2.49 ± 0.26 cde | 2.99 ± 0.28 cde | 3.05 ± 0.23 bc |
| Middle | 1.63 ± 0.21 b | 4.68 ± 1.10 b | 6.31 ± 1.25 b | 0.54 ± 0.07 cd | 1.55 ± 0.43 de | 2.09 ± 0.5 d e | 3.04 ± 0.12 bc | |
| Top | 1.43 ± 0.21 b | 1.85 ± 0.22 b | 3.31 ± 0.41 b | 0.45 ± 0.07 d | 0.57 ± 0.09 e | 1.02 ± 0.15 e | 3.26 ± 0.17 bc | |
| pseudohenryi | Bottom | 1.53 ± 0.12 b | 13.93 ± 1.87 b | 15.49 ± 1.94 b | 0.34 ± 0.04 cd | 2.99 ± 0.26 bcde | 3.33 ± 0.28 cde | 4.69 ± 0.87 ab |
| Middle | 0.60 ± 0.17 b | 3.29 ± 0.79 b | 3.85 ± 0.95 b | 0.23 ± 0.05 d | 1.31 ± 0.26 de | 1.54 ± 0.31 e | 2.49 ± 0.23 c | |
| Top | 0.60 ± 0.00 b | 1.98 ± 0.22 b | 2.61 ± 0.24 b | 0.22 ± 0.02 d | 0.68 ± 0.10 e | 0.90 ± 0.12 e | 2.91 ± 0.18 c | |
Disclaimer/Publisher’s Note: The statements, opinions and data contained in all publications are solely those of the individual author(s) and contributor(s) and not of MDPI and/or the editor(s). MDPI and/or the editor(s) disclaim responsibility for any injury to people or property resulting from any ideas, methods, instructions or products referred to in the content. |
© 2025 by the authors. Licensee MDPI, Basel, Switzerland. This article is an open access article distributed under the terms and conditions of the Creative Commons Attribution (CC BY) license (https://creativecommons.org/licenses/by/4.0/).
Share and Cite
Lazdiņa, D.; Miķelsone, I.; Mišina, I.; Dukurs, K.; Benítez-González, A.M.; Stinco, C.M.; Meléndez-Martínez, A.J.; Górnaś, P. Species- and Age-Dependent Prenyllipid Accumulation in Hypericum Species’ Leaves. Plants 2025, 14, 2239. https://doi.org/10.3390/plants14142239
Lazdiņa D, Miķelsone I, Mišina I, Dukurs K, Benítez-González AM, Stinco CM, Meléndez-Martínez AJ, Górnaś P. Species- and Age-Dependent Prenyllipid Accumulation in Hypericum Species’ Leaves. Plants. 2025; 14(14):2239. https://doi.org/10.3390/plants14142239
Chicago/Turabian StyleLazdiņa, Danija, Ieva Miķelsone, Inga Mišina, Krists Dukurs, Ana M. Benítez-González, Carla M. Stinco, Antonio J. Meléndez-Martínez, and Paweł Górnaś. 2025. "Species- and Age-Dependent Prenyllipid Accumulation in Hypericum Species’ Leaves" Plants 14, no. 14: 2239. https://doi.org/10.3390/plants14142239
APA StyleLazdiņa, D., Miķelsone, I., Mišina, I., Dukurs, K., Benítez-González, A. M., Stinco, C. M., Meléndez-Martínez, A. J., & Górnaś, P. (2025). Species- and Age-Dependent Prenyllipid Accumulation in Hypericum Species’ Leaves. Plants, 14(14), 2239. https://doi.org/10.3390/plants14142239

