Transpiration and Water Use Efficiency of Mediterranean Eucalyptus Genotypes Under Contrasting Irrigation Regimes
Abstract
1. Introduction
2. Results
2.1. Effects of Genotype, Irrigation Regime, and Age
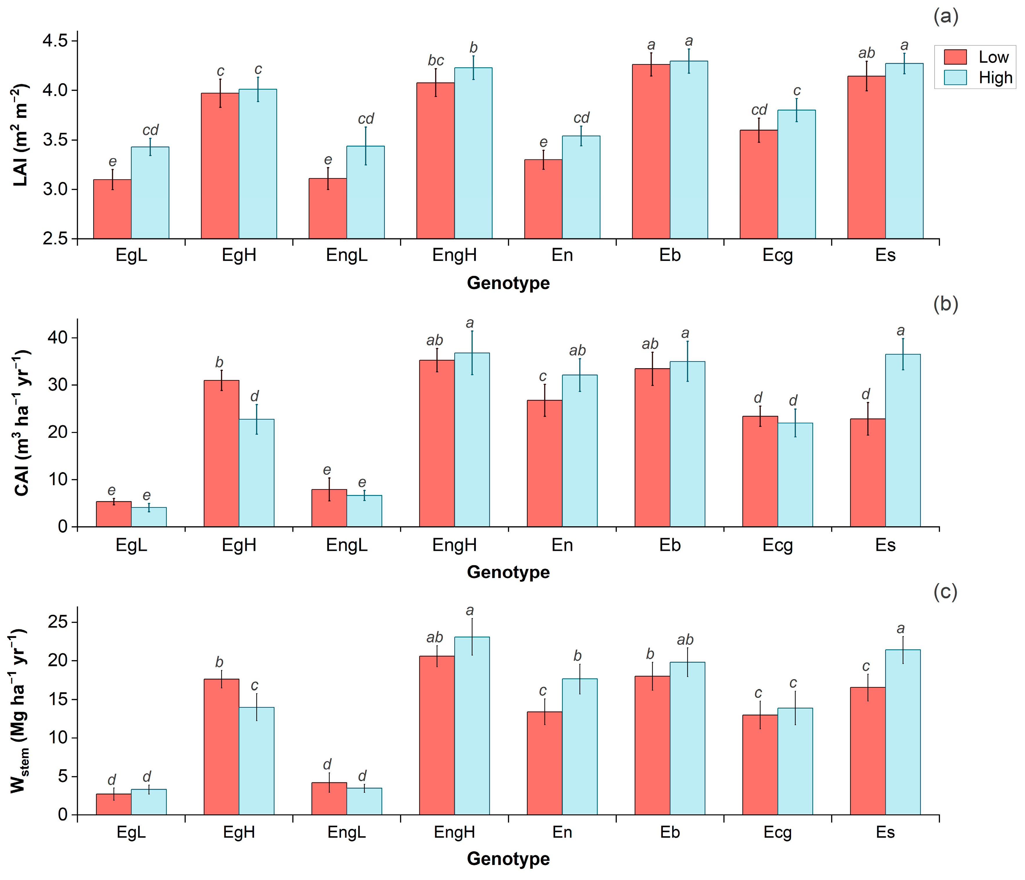
2.2. Stand Productivity
2.3. Transpiration and Water Use Efficiently
2.4. Stability in Transpiration and Water Use Efficiency
2.5. Relationship Between Transpiration and Productivity
3. Discussion
3.1. Genotypic Responses to Contrasting Irrigation Regimes
3.2. Correlation Between Water Use and Productivity
3.3. Implications for Forest Management
4. Materials and Methods
4.1. Study Site
4.2. Experimental Design
4.3. Stand Growth
4.4. Transpiration and Water Use Efficiency
4.5. Statistical Analysis
5. Conclusions
Author Contributions
Funding
Data Availability Statement
Acknowledgments
Conflicts of Interest
References
- Albaugh, J.M.; Dye, P.J.; King, J.S. Eucalyptus and water use in South Africa. Int. J. For. Res. 2013, 2013, 2–4. [Google Scholar] [CrossRef]
- Dye, P. A review of changing perspectives on Eucalyptus water-use in South Africa. For. Ecol. Manag. 2013, 301, 51–57. [Google Scholar] [CrossRef]
- Dvorak, W. Water use in plantations of eucalypts and pines: A discussion paper from a tree breeding perspective. Int. For. Rev. 2012, 14, 110–119. [Google Scholar] [CrossRef]
- de Bastos, F.; de Deus Júnior, J.C.; Ebling, É.D.; Neumann, M.; Reichert, J.M. Efficiency of water use by Eucalyptus spp. for water conservation and sustainable forest production. Hydrol. Sci. J. 2024, 69, 844–860. [Google Scholar] [CrossRef]
- Valverde, J.C.; Rubilar, R.; Barrientos, G.; Medina, A.; Pincheira, M.; Emhart, V.; Zapata, Á.; Bozo, D.; Espinoza, Y.; Campoe, O.C. Differences in rainfall interception among Eucalyptus genotypes. Trees 2023, 37, 1189–1200. [Google Scholar] [CrossRef]
- Reichert, J.M.; Prevedello, J.; Gubiani, P.I.; Vogelmann, E.S.; Reinert, D.J.; Consensa, C.O.B.; Soares, J.C.W.; Srinivasan, R. Eucalyptus tree stockings effect on water balance and use efficiency in subtropical sandy soil. For. Ecol. Manag. 2021, 497, 119473. [Google Scholar] [CrossRef]
- Hubbard, R.M.; Ryan, M.G.; Giardina, C.P.; Barnard, H. The effect of fertilization on sap flux and canopy conductance in a Eucalyptus saligna experimental forest. Glob. Change Biol. 2004, 10, 427–436. [Google Scholar] [CrossRef]
- Kaptein, N.D.; Toucher, M.L.; Clulow, A.D.; Everson, C.S.; Germishuizen, I. Water use and potential hydrological implications of fast-growing Eucalyptus grandis x Eucalyptus urophylla hybrid in northern Zululand, South Africa. Water SA 2024, 50, 57–68. [Google Scholar] [CrossRef]
- Torres, R.R.; Benassi, R.B.; Martins, F.B.; Lapola, D.M. Projected impacts of 1.5 and 2 °C global warming on temperature and precipitation patterns in South America. Int. J. Climatol. 2022, 42, 1597–1611. [Google Scholar] [CrossRef]
- Martins, F.B.; Benassi, R.B.; Torres, R.R.; de Brito Neto, F.A. Impacts of 1.5 degrees C and 2 degrees C global warming on Eucalyptus plantations in South America. Sci. Total Environ. 2022, 825, 153820. [Google Scholar] [CrossRef]
- Stape, J.L.; Binkley, D.; Ryan, M.G.; Do Nascimento Gomes, A. Water use, water limitation, and water use efficiency in a Eucalyptus plantation. Bosque 2004, 25, 35–41. [Google Scholar] [CrossRef]
- Pérez, C.; Frangi, J.; Tesón, N.; Arturi, M. Transpiration Rates, Climate and Soil Water Balance of Eucalyptus Grandis Afforestation on Temperate Grasslands in ne Argentina. J. Sustain. For. 2021, 40, 607–621. [Google Scholar] [CrossRef]
- Booth, T.H. Eucalypt plantations and climate change. For. Ecol. Manag. 2013, 301, 28–34. [Google Scholar] [CrossRef]
- Blackman, C.J.; Aspinwall, M.J.; Tissue, D.T.; Rymer, P.D. Genetic adaptation and phenotypic plasticity contribute to greater leaf hydraulic tolerance in response to drought in warmer climates. Tree Physiol. 2017, 37, 583–592. [Google Scholar] [CrossRef]
- Rodrigues, G.G.; Silva, L.D.; Nouvellon, Y. Production and carbon allocation in clonal Eucalyptus plantations under different planting spacings. For. Ecol. Manag. 2021, 493, 119249. [Google Scholar] [CrossRef]
- Zhang, Z.; Zhang, L.; Xu, H.; Creed, I.F.; Blanco, J.A.; Wei, X.; Sun, G.; Asbjornsen, H.; Bishop, K. Forest water-use efficiency: Effects of climate change and management on the coupling of carbon and water processes. For. Ecol. Manag. 2023, 534, 120853. [Google Scholar] [CrossRef]
- Ren, S.; White, D.A.; Xiang, D.; Short, T.M.; Xiao, W.; Chen, J.; Deng, Z.; Yang, Z. Simple model of evapotranspiration by Eucalyptus plantations for data poor areas and tested using water balance data from a small catchment in Guangxi, China. Aust. For. 2019, 82, 66–79. [Google Scholar] [CrossRef]
- Kaptein, N.D.; Clulow, A.D.; Toucher, M.; Everson, C.S.; Dovey, S.B.; Germishuizen, I. Plantation water productivity (PWPWOOD) and not water-use efficiency (WUE) as the measure of commercial plantation yield improvement: A review. South. For. J. For. Sci. 2023, 85, 1–10. [Google Scholar] [CrossRef]
- Bozo, D.; Rubilar, R.; Campoe, O.C.; Alzamora, R.M.; Elissetche, J.P.; Valverde, J.C.; Pizarro, R.; Pincheira, M.; Valencia, J.C.; Sanhueza, C. Soil and Site Productivity Effects on Above and Belowground Radiata Pine Carbon Pools at Harvesting Age. Plants 2024, 13, 3482. [Google Scholar] [CrossRef]
- Hatton, T.; Reece, P.; Taylor, P.; McEwan, K. Does leaf water efficiency vary among eucalypts in water-limited environments? Tree Physiol. 1998, 18, 529–536. [Google Scholar] [CrossRef]
- Dye, P.J. Water use efficiency in South African Eucalyptus plantations: A review. S. Afr. For. J. 2000, 189, 17–26. [Google Scholar]
- Morgan, H.D.; Barton, C.V.M. Forest-scale sap flux responses to rainfall in a dryland eucalyptus plantation. Plant Soil 2008, 310, 271. [Google Scholar] [CrossRef]
- Hubbard, R.M.; Carneiro, R.L.; Campoe, O.; Alvares, C.A.; Figura, M.A.; Moreira, G.G. Contrasting water use of two Eucalyptus clones across a precipitation and temperature gradient in Brazil. For. Ecol. Manag. 2020, 475, 118407. [Google Scholar] [CrossRef]
- Hakamada, R.E.; Hubbard, R.M.; Moreira, G.G.; Stape, J.L.; Campoe, O.; de Barros Ferraz, S.F. Influence of stand density on growth and water use efficiency in Eucalyptus clones. For. Ecol. Manag. 2020, 466, 118125. [Google Scholar] [CrossRef]
- Pita-Barbosa, A.; Oliveira, L.A.; de Barros, N.F.; Hodecker, B.E.R.; Oliveira, F.S.; Araújo, W.L.; Martins, S.C. Developing a Roadmap to Define a Potential Ideotype for Drought Tolerance in Eucalyptus. For. Sci. 2023, 69, 101–114. [Google Scholar] [CrossRef]
- Rezende, G.D.S.P.; Lima, J.L.; Dias, D.d.C.; Lima, B.M.d.; Aguiar, A.M.; Bertolucci, F.d.L.G.; Ramalho, M.A.P. Clonal composites: An alternative to improve the sustainability of production in eucalypt forests. For. Ecol. Manag. 2019, 449, 117445. [Google Scholar] [CrossRef]
- Forrester, D.I. Transpiration and water-use efficiency in mixed-species forests versus monocultures: Effects of tree size, stand density and season. Tree Physiol. 2015, 35, 289–304. [Google Scholar] [CrossRef]
- Honeysett, J.L.; White, D.A.; Worledge, D.; Beadle, C.L. Growth and water use of Eucalyptus globulus and E. nitens in irrigated and rainfed plantations. Aust. For. 1996, 59, 64–73. [Google Scholar] [CrossRef]
- García, L.Y.; Rubilar, R.; Valverde, J.C.; Emhart, V.; Bascuñán, L.; Medina, A.; Bozo, D. Morphological, physiological and carbon balance response of Eucalyptus genotypes under water stress. New For. 2023, 55, 441–457. [Google Scholar] [CrossRef]
- White, D.A.; Beadle, C.L.; Worledge, D.; Honeysett, J.L. Wood production per evapotranspiration was increased by irrigation in plantations of Eucalyptus globulus and E. nitens. New For. 2016, 47, 303–317. [Google Scholar] [CrossRef]
- Fernandes, P.G.; Alvares, C.A.; Queiroz, T.B.; Pimenta, P.V.; Borges, J.S.; Stahl, J.; Mendes, F.T.; Souza, A.; Silva, G.M.; da Silva, G.G.C.; et al. Contrasting Weather and Stocking Effects on Eucalyptus Initial Coppice Response in Brazil. Plants 2024, 13, 3254. [Google Scholar] [CrossRef] [PubMed]
- Whitehead, D.; Beadle, C.L. Physiological regulation of productivity and water use in Eucalyptus: A review. For. Ecol. Manag. 2004, 193, 113–140. [Google Scholar] [CrossRef]
- Hubbard, R.M.; Stape, J.; Ryan, M.G.; Almeida, A.C.; Rojas, J. Effects of irrigation on water use and water use efficiency in two fast growing Eucalyptus plantations. For. Ecol. Manag. 2010, 259, 1714–1721. [Google Scholar] [CrossRef]
- Christina, M.; Le Maire, G.; Battie-Laclau, P.; Nouvellon, Y.; Bouillet, J.P.; Jourdan, C.; de Moraes Gonçalves, J.L.; Laclau, J.P. Measured and modeled interactive effects of potassium deficiency and water deficit on gross primary productivity and light-use efficiency in E ucalyptus grandis plantations. Glob. Change Biol. 2015, 21, 2022–2039. [Google Scholar] [CrossRef]
- Forrester, D.I.; Collopy, J.J.; Morris, J.D. Transpiration along an age series of Eucalyptus globulus plantations in southeastern Australia. For. Ecol. Manag. 2010, 259, 1754–1760. [Google Scholar] [CrossRef]
- Moran, E.; Lauder, J.; Musser, C.; Stathos, A.; Shu, M. The genetics of drought tolerance in conifers. New Phytol. 2017, 216, 1034–1048. [Google Scholar] [CrossRef]
- Saadaoui, E.; Yahia, K.B.; Dhahri, S.; Jamaa, M.L.B.; Khouja, M.L. An overview of adaptative responses to drought stress in Eucalyptus spp. For. Stud. 2017, 67, 86–96. [Google Scholar] [CrossRef]
- Merchant, A.; Callister, A.; Arndt, S.; Tausz, M.; Adams, M. Contrasting physiological responses of six eucalyptus species to water deficit. Ann. Bot. 2007, 100, 1507–1515. [Google Scholar] [CrossRef]
- Osakabe, Y.; Osakabe, K.; Shinozaki, K.; Tran, L.-S.P. Response of plants to water stress. Front. Plant Sci. 2014, 5, 86. [Google Scholar] [CrossRef]
- Grossiord, C.; Buckley, T.N.; Cernusak, L.A.; Novick, K.A.; Poulter, B.; Siegwolf, R.T.; Sperry, J.S.; McDowell, N.G. Plant responses to rising vapor pressure deficit. New Phytol. 2020, 226, 1550–1566. [Google Scholar] [CrossRef]
- White, D.A.; McGrath, J.F.; Ryan, M.G.; Battaglia, M.; Mendham, D.S.; Kinal, J.; Downes, G.M.; Crombie, D.S.; Hunt, M.E. Managing for water-use efficient wood production in Eucalyptus globulus plantations. For. Ecol. Manag. 2014, 331, 272–280. [Google Scholar] [CrossRef]
- Silva, M.; McHugh, I.; Neto, A.P.; Pauwels, V.; Cartwright, I.; Daly, E. Trading a little water for substantial carbon gains during the first years of a Eucalyptus globulus plantation. Agric. For. Meteorol. 2022, 318, 108910. [Google Scholar] [CrossRef]
- Hakamada, R.E.; Hubbard, R.M.; Stape, J.L.; de Paula Lima, W.; Moreira, G.G.; de Barros Ferraz, S.F. Stocking effects on seasonal tree transpiration and ecosystem water balance in a fast-growing Eucalyptus plantation in Brazil. For. Ecol. Manag. 2020, 466, 118149. [Google Scholar] [CrossRef]
- Gonçalves, J.L.; Alvares, C.A.; Rocha, J.H.; Brandani, C.B.; Hakamada, R. Eucalypt plantation management in regions with water stress. South. For. J. For. Sci. 2017, 79, 169–183. [Google Scholar] [CrossRef]
- Ryan, M.G.; Binkley, D.; Fownes, J.H.; Giardina, C.P.; Senock, R.S. An Experimental Test of The Causes of Forest Growth Decline with Stand Age. Ecol. Monogr. 2004, 74, 393–414. [Google Scholar] [CrossRef]
- Shi, Z.; Xu, D.; Yang, X.; Jia, Z.; Guo, H.; Zhang, N. Ecohydrological impacts of eucalypt plantations: A review. J. Food Agric. Environ. 2012, 10, 1419–1426. [Google Scholar]
- Valverde, J.C.; Rubilar, R.; Medina, A.; Mardones, O.; Emhart, V.; Bozo, D.; Espinoza, Y.; Campoe, O. Taper and individual tree volume equations of Eucalyptus varieties under contrasting irrigation regimes. N. Z. J. For. Sci. 2022, 52, 15. [Google Scholar] [CrossRef]
- Rubilar, R.; Hubbard, R.; Emhart, V.; Mardones, O.; Quiroga, J.J.; Medina, A.; Valenzuela, H.; Espinoza, J.; Burgos, Y.; Bozo, D. Climate and water availability impacts on early growth and growth efficiency of Eucalyptus genotypes: The importance of GxE interactions. For. Ecol. Manag. 2020, 458, 117763. [Google Scholar] [CrossRef]
- Dye, P.; Olbrich, B.; Everson, C. The Water Use of Plantation Forests and Montane Grassland in Summer Rainfall Forestry Regions of South Africa, Proceedings of the Seventh South African National Hydrological Symposium, Grahamstown, South Africa, 4–6 September 1995; Institute for Water Research: Grahamstown, South Africa, 1995. [Google Scholar]
- Beck, H.E.; Zimmermann, N.E.; McVicar, T.R.; Vergopolan, N.; Berg, A.; Wood, E.F. Present and future Köppen-Geiger climate classification maps at 1-km resolution. Sci. Data 2018, 5, 180214. [Google Scholar] [CrossRef]
- CIREN. Estudio Agrológico VIII Región: Descripciones de Suelos, Materiales y Símbolos; Naturales CdIdR: Santiago, Chile, 1999; Volume 12. [Google Scholar]
- Granier, A. Use nouvelle method pour lamesure duflux desève brute danslatronc desarbres. Ann. Des. Sci. For. 1985, 42, 193–200. [Google Scholar] [CrossRef]
- Granier, A. Evaluation of transpiration in a Douglas-fir stand by means of sap flow measurements. Tree Physiol. 1987, 3, 309–320. [Google Scholar] [CrossRef]
- Lu, P.; Urban, L.; Zhao, P. Granier’s thermal dissipation probe (TDP) method for measuring sap flow in trees: Theory and practice. Acta Bot. Sin 2004, 46, 631–646. [Google Scholar]
- Peters, R.L.; Fonti, P.; Frank, D.C.; Poyatos, R.; Pappas, C.; Kahmen, A.; Carraro, V.; Prendin, A.L.; Schneider, L.; Baltzer, J.L. Quantification of uncertainties in conifer sap flow measured with the thermal dissipation method. New Phytol. 2018, 219, 1283–1299. [Google Scholar] [CrossRef]
- Ford, C.R.; Goranson, C.E.; Mitchell, R.J.; Will, R.E.; Teskey, R.O. Modeling canopy transpiration using time series analysis: A case study illustrating the effect of soil moisture deficit on Pinus taeda. Agric. For. Meteorol. 2005, 130, 163–175. [Google Scholar] [CrossRef]
- Green, S.; Clothier, B.; Jardine, B. Theory and practical application of heat pulse to measure sap flow. Agron. J. 2003, 95, 1371–1379. [Google Scholar] [CrossRef]
- Vandegehuchte, M.W.; Steppe, K. Sap-flux density measurement methods: Working principles and applicability. Funct. Plant Biol. 2013, 40, 1088. [Google Scholar] [PubMed]
- Ford, C.R.; Goranson, C.E.; Mitchell, R.J.; Will, R.E.; Teskey, R.O. Diurnal and seasonal variability in the radial distribution of sap flow: Predicting total stem flow in Pinus taeda trees. Tree Physiol. 2004, 24, 951–960. [Google Scholar] [CrossRef]
- Gebauer, T.; Horna, V.; Leuschner, C. Variability in radial sap flux density patterns and sapwood area among seven co-occurring temperate broad-leaved tree species. Tree Physiol. 2008, 28, 1821–1830. [Google Scholar] [CrossRef]
- R Core Team. R: A Language and Environment for Statistical Computing; R Foundation for Statistical Computing: Vienna, Austria, 2024. [Google Scholar]






| Variable | Factor | ||||||
|---|---|---|---|---|---|---|---|
| Age | Gen | WR | Age × Gen | Age × WR | Gen × WR | Age × Gen × WR | |
| LAI | ns | ˂0.001 | 0.03 | ns | ns | 0.004 | ns |
| CAI | ˂0.001 | ˂0.001 | ns | 0.01 | ns | 0.007 | ns |
| Wstem | ˂0.001 | 0.004 | ns | ns | ns | 0.005 | ns |
| Tr | ˂0.001 | ˂0.001 | ˂0.001 | ns | ns | 0.01 | ns |
| WUE | ˂0.001 | ˂0.001 | ˂0.001 | 0.02 | ns | ˂0.001 | ns |
| Genotype | Code | Coefficients | p-Value | R2 | RMSE | AIC | BIC | |||
|---|---|---|---|---|---|---|---|---|---|---|
| β0 | SE | β1 | SE | |||||||
| E. globulus low-yield | EgL | 7.15 × 10−5 | 7.39 × 10−6 | 2.01 | 0.04 | 0.001 | 0.99 | 0.019 | 10.01 | 10.00 |
| E. globulus high-yield | EgH | 5.71 × 10−5 | 5.89 × 10−6 | 2.08 | 0.03 | 0.001 | 0.98 | 0.018 | 9.99 | 8.89 |
| E. nitens × globulus low-yield | EngL | 1.46 × 10−5 | 2.28 × 10−6 | 1.91 | 0.05 | 0.001 | 0.98 | 0.025 | 11.12 | 10.55 |
| E. nitens × globulus high-yield | EngH | 6.87 × 10−5 | 5.28 × 10−6 | 2.02 | 0.02 | 0.002 | 0.97 | 0.033 | 12.22 | 13.01 |
| E. nitens | En | 7.68 × 10−5 | 1.15 × 10−6 | 1.98 | 0.05 | 0.001 | 0.99 | 0.022 | 10.22 | 10.51 |
| E. badjensis | Eb | 8.68 × 10−5 | 4.61 × 10−6 | 1.94 | 0.01 | 0.001 | 0.98 | 0.019 | 12.00 | 12.15 |
| E. camaldulensis × globulus | Ecg | 8.77 × 10−5 | 9.15 × 10−6 | 1.93 | 0.03 | 0.001 | 0.97 | 0.013 | 13.33 | 12.56 |
| E. smithii | Es | 5.73 × 10−5 | 2.07 × 10−6 | 2.08 | 0.03 | 0.001 | 0.99 | 0.011 | 10.01 | 9.88 |
Disclaimer/Publisher’s Note: The statements, opinions and data contained in all publications are solely those of the individual author(s) and contributor(s) and not of MDPI and/or the editor(s). MDPI and/or the editor(s) disclaim responsibility for any injury to people or property resulting from any ideas, methods, instructions or products referred to in the content. |
© 2025 by the authors. Licensee MDPI, Basel, Switzerland. This article is an open access article distributed under the terms and conditions of the Creative Commons Attribution (CC BY) license (https://creativecommons.org/licenses/by/4.0/).
Share and Cite
Valverde, J.C.; Rubilar, R.A.; Medina, A.; Pincheira, M.; Emhart, V.; Espinoza, Y.; Bozo, D.; Campoe, O.C. Transpiration and Water Use Efficiency of Mediterranean Eucalyptus Genotypes Under Contrasting Irrigation Regimes. Plants 2025, 14, 2232. https://doi.org/10.3390/plants14142232
Valverde JC, Rubilar RA, Medina A, Pincheira M, Emhart V, Espinoza Y, Bozo D, Campoe OC. Transpiration and Water Use Efficiency of Mediterranean Eucalyptus Genotypes Under Contrasting Irrigation Regimes. Plants. 2025; 14(14):2232. https://doi.org/10.3390/plants14142232
Chicago/Turabian StyleValverde, Juan C., Rafael A. Rubilar, Alex Medina, Matías Pincheira, Verónica Emhart, Yosselin Espinoza, Daniel Bozo, and Otávio C. Campoe. 2025. "Transpiration and Water Use Efficiency of Mediterranean Eucalyptus Genotypes Under Contrasting Irrigation Regimes" Plants 14, no. 14: 2232. https://doi.org/10.3390/plants14142232
APA StyleValverde, J. C., Rubilar, R. A., Medina, A., Pincheira, M., Emhart, V., Espinoza, Y., Bozo, D., & Campoe, O. C. (2025). Transpiration and Water Use Efficiency of Mediterranean Eucalyptus Genotypes Under Contrasting Irrigation Regimes. Plants, 14(14), 2232. https://doi.org/10.3390/plants14142232

