CsCBDAS2-Driven Enhancement of Cannabinoid Biosynthetic Genes Using a High-Efficiency Transient Transformation System in Cannabis sativa ‘Cheungsam’
Abstract
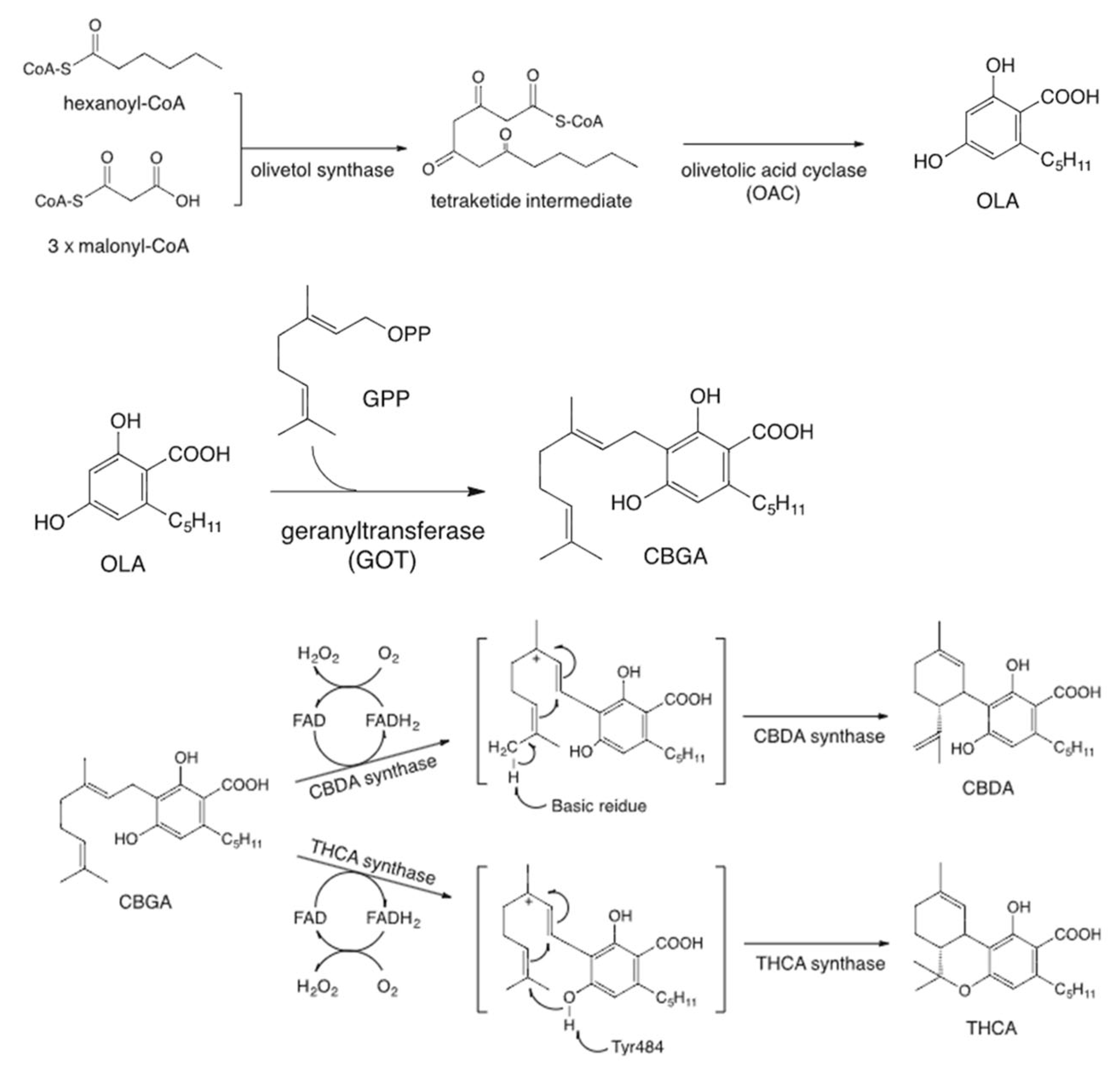
1. Introduction
2. Results
2.1. Optimized Transient Transformation Protocol for Cannabis sativa ‘Cheungsam’
2.1.1. Developmental Stage
2.1.2. Light Condition
2.1.3. Agrobacterium Strains
2.1.4. Plant Tissue
2.1.5. Application of Sonication and Vacuum Infiltration
2.2. Gene Expression Analysis of CBD Biosynthesis and TF Gene Following Transient Transformation
3. Discussion
4. Materials and Methods
4.1. Seed Sterilization and Germination
4.2. Vector Construction and Transformation by Agrovacterium
4.3. Agrobacterium Cell Culture and Preparation
4.4. Co-Cultivation
4.5. Histochemical Detection of GUS Activity
4.6. Quantification of GUS-Stained Area Using ImageJ
4.7. Expression Analysis of Genes Related to GUS, CBD Biosynthesis, and TF Genes
4.8. Statistical Analysis
5. Conclusions
Supplementary Materials
Author Contributions
Funding
Data Availability Statement
Acknowledgments
Conflicts of Interest
Abbreviations
| CBD | Cannabidiol |
| TF | Transcription factor |
| THC | ∆9-tetrahydrocannabinol |
| CBDA | Cannabidiolic acid |
| CBGA | Cannabigerolic acid |
| THCA | Tetrahydrocannabinolic acid |
| CBDAS | CBDA synthase |
| THCAS | THCA synthase |
| OA | Olivetolic acid |
| GPP | Geranylpyrophosphate |
| FAD | Flavin adenine dinucleotide |
| T-DNA | Transfer DNA |
| VIGS | Virus-induced gene silencing |
| TMV | Tobacco mosaic virus |
| PCR | Polymerase chain reaction |
| cDNA | Complementary DNA |
| OAC | Olivetolic acid cyclase |
| GOT | Geranylpyrophosphate:olivatolate geranyltransferase |
| PT1 | Prenyltransferase 1 |
| PT4 | Prenyltransferase 4 |
| CBDAS1 | Cannabidiolic acid synthase 1 |
| CBDAS2 | Cannabidiolic acid synthase 2 |
| qPCR | Quantitative real-time |
| PP2Aq | Protein Phosphatase 2A |
| SEM | Standard error of the mean |
| Acetosyringone | 3′,5′-Dimethoxy-4′-hydroxyacetophenone |
References
- Andre, C.M.; Hausman, J.-F.; Guerriero, G. Cannabis sativa: The plant of the thousand and one molecules. Front. Plant Sci. 2016, 7, 19. [Google Scholar] [CrossRef] [PubMed]
- Booth, J.K.; Bohlmann, J. Terpenes in Cannabis sativa–From plant genome to humans. Plant Sci. 2019, 284, 67–72. [Google Scholar] [CrossRef] [PubMed]
- Kisková, T.; Mungenast, F.; Suváková, M.; Jäger, W.; Thalhammer, T. Future aspects for cannabinoids in breast cancer therapy. Int. J. Mol. Sci. 2019, 20, 1673. [Google Scholar] [CrossRef]
- Clarke, R.; Merlin, M. Cannabis: Evolution and Ethnobotany; University of California Press: Oakland, CA, USA, 2016. [Google Scholar]
- Vonapartis, E.; Aubin, M.-P.; Seguin, P.; Mustafa, A.F.; Charron, J.-B. Seed composition of ten industrial hemp cultivars approved for production in Canada. J. Food Compos. Anal. 2015, 39, 8–12. [Google Scholar] [CrossRef]
- Sohn, H.-Y.; Kim, M.-N.; Kim, Y.-M. Current status and prospects for the hemp bioindustry. J. Life Sci. 2021, 31, 677–685. [Google Scholar]
- Sirikantaramas, S.; Taura, F. Cannabinoids: Biosynthesis and biotechnological applications. Cannabis sativa L.-Bot. Biotechnol. 2017, 183–206. [Google Scholar]
- Zuardi, A.W. History of cannabis as a medicine: A review. Braz. J. Psychiatry 2006, 28, 153–157. [Google Scholar] [CrossRef]
- Devinsky, O.; Cross, J.H.; Laux, L.; Marsh, E.; Miller, I.; Nabbout, R.; Scheffer, I.E.; Thiele, E.A.; Wright, S. Trial of cannabidiol for drug-resistant seizures in the Dravet syndrome. N. Engl. J. Med. 2017, 376, 2011–2020. [Google Scholar] [CrossRef]
- Lastres-Becker, I.; Molina-Holgado, F.; Ramos, J.A.; Mechoulam, R.; Fernández-Ruiz, J. Cannabinoids provide neuroprotection against 6-hydroxydopamine toxicity in vivo and in vitro: Relevance to Parkinson’s disease. Neurobiol. Dis. 2005, 19, 96–107. [Google Scholar] [CrossRef]
- Yamauchi, T.; Shoyama, Y.; Aramaki, H.; Azuma, T.; Nishioka, I. Tetrahydrocannabinolic acid, a genuine substance of tetrahydrocannabinol. Chem. Pharm. Bull. 1967, 15, 1075–1076. [Google Scholar] [CrossRef]
- Kimura, M.; Okamoto, K. Distribution of tetrahydrocannabinolic acid in fresh wild cannabis. Experientia 1970, 26, 819–820. [Google Scholar] [CrossRef]
- Fellermeier, M.; Zenk, M.H. Prenylation of olivetolate by a hemp transferase yields cannabigerolic acid, the precursor of tetrahydrocannabinol. FEBS Lett. 1998, 427, 283–285. [Google Scholar] [CrossRef] [PubMed]
- Taura, F.; Sirikantaramas, S.; Shoyama, Y.; Yoshikai, K.; Shoyama, Y.; Morimoto, S. Cannabidiolic-acid synthase, the chemotype-determining enzyme in the fiber-type Cannabis sativa. FEBS Lett. 2007, 581, 2929–2934. [Google Scholar] [CrossRef]
- Laverty, K.U.; Stout, J.M.; Sullivan, M.J.; Shah, H.; Gill, N.; Holbrook, L.; Deikus, G.; Sebra, R.; Hughes, T.R.; Page, J.E. A physical and genetic map of Cannabis sativa identifies extensive rearrangements at the THC/CBD acid synthase loci. Genome Res. 2019, 29, 146–156. [Google Scholar] [CrossRef]
- Onofri, C.; de Meijer, E.P.; Mandolino, G. Sequence heterogeneity of cannabidiolic-and tetrahydrocannabinolic acid-synthase in Cannabis sativa L. and its relationship with chemical phenotype. Phytochemistry 2015, 116, 57–68. [Google Scholar] [CrossRef]
- Xie, Z.; Mi, Y.; Kong, L.; Gao, M.; Chen, S.; Chen, W.; Meng, X.; Sun, W.; Chen, S.; Xu, Z. Cannabis sativa: Origin and history, glandular trichome development, and cannabinoid biosynthesis. Hortic. Res. 2023, 10, uhad150. [Google Scholar] [CrossRef]
- Kapila, J.; De Rycke, R.; Van Montagu, M.; Angenon, G. An Agrobacterium-mediated transient gene expression system for intact leaves. Plant Sci. 1997, 122, 101–108. [Google Scholar] [CrossRef]
- Wroblewski, T.; Tomczak, A.; Michelmore, R. Optimization of Agrobacterium-mediated transient assays of gene expression in lettuce, tomato and Arabidopsis. Plant Biotechnol. J. 2005, 3, 259–273. [Google Scholar] [CrossRef]
- Zupan, J.R.; Zambryski, P. Transfer of T-DNA from Agrobacterium to the plant cell. Plant Physiol. 1995, 107, 1041. [Google Scholar] [CrossRef] [PubMed]
- Leuzinger, K.; Dent, M.; Hurtado, J.; Stahnke, J.; Lai, H.; Zhou, X.; Chen, Q. Efficient agroinfiltration of plants for high-level transient expression of recombinant proteins. J. Vis. Exp. JoVE 2013, 77, 50521. [Google Scholar] [CrossRef]
- Gleba, Y.; Klimyuk, V.; Marillonnet, S. Viral vectors for the expression of proteins in plants. Curr. Opin. Biotechnol. 2007, 18, 134–141. [Google Scholar] [CrossRef] [PubMed]
- Peyret, H.; Lomonossoff, G.P. When plant virology met Agrobacterium: The rise of the deconstructed clones. Plant Biotechnol. J. 2015, 13, 1121–1135. [Google Scholar] [CrossRef]
- Zhang, Y.; Zhang, F.; Li, X.; Baller, J.A.; Qi, Y.; Starker, C.G.; Bogdanove, A.J.; Voytas, D.F. Transcription activator-like effector nucleases enable efficient plant genome engineering. Plant Physiol. 2013, 161, 20–27. [Google Scholar] [CrossRef]
- Youn-Ho, M.; Yeon-Sang, S.; Byeong-Choon, J.; Jin-Ki, B. Cluster analysis and growth characteristics of hemp (Cannabis sativa L.) Germplasm. Korean J. Crop Sci. 2006, 51, 483–490. [Google Scholar]
- Beard, K.M.; Boling, A.W.; Bargmann, B.O. Protoplast isolation, transient transformation, and flow-cytometric analysis of reporter-gene activation in Cannabis sativa L. Ind. Crops Prod. 2021, 164, 113360. [Google Scholar] [CrossRef]
- Li, M.; Wu, Q.; Guo, F.; Ouyang, Y.; Ao, D.; You, S.; Liu, Y. A versatile, rapid Agrobacterium-mediated transient expression system for functional genomics studies in cannabis seedling. Planta 2024, 260, 18. [Google Scholar] [CrossRef]
- Sorokin, A.; Yadav, N.S.; Gaudet, D.; Kovalchuk, I. Transient expression of the β-glucuronidase gene in Cannabis sativa varieties. Plant Signal. Behav. 2020, 15, 1780037. [Google Scholar] [CrossRef]
- Mohammad, T.; Ghogare, R.; Morton, L.B.; Dhingra, A.; Potlakayala, S.; Rudrabhatla, S.; Dhir, S.K. Evaluation of parameters affecting Agrobacterium-mediated transient gene expression in industrial hemp (Cannabis sativa L.). Plants 2024, 13, 664. [Google Scholar] [CrossRef]
- Kim, A.L.; Yun, Y.J.; Choi, H.W.; Hong, C.-H.; Shim, H.J.; Lee, J.H.; Kim, Y.-C. Establishment of efficient Cannabis (Cannabis sativa L.) protoplast isolation and transient expression condition. Plant Biotechnol. Rep. 2022, 16, 613–619. [Google Scholar] [CrossRef]
- Deguchi, M.; Bogush, D.; Weeden, H.; Spuhler, Z.; Potlakayala, S.; Kondo, T.; Zhang, Z.J.; Rudrabhatla, S. Establishment and optimization of a hemp (Cannabis sativa L.) agroinfiltration system for gene expression and silencing studies. Sci. Rep. 2020, 10, 3504. [Google Scholar] [CrossRef]
- Hoshino, R.; Yoshida, Y.; Tsukaya, H. Multiple steps of leaf thickening during sun-leaf formation in Arabidopsis. Plant J. 2019, 100, 738–753. [Google Scholar] [CrossRef]
- Chincinska, I.A. Leaf infiltration in plant science: Old method, new possibilities. Plant Methods 2021, 17, 83. [Google Scholar] [CrossRef]
- Hwang, H.-H.; Yu, M.; Lai, E.-M. Agrobacterium-mediated plant transformation: Biology and applications. Arab. Book 2017, 15, e0186. [Google Scholar] [CrossRef]
- da Silva, M.L.; Paim Pinto, D.L.; Passos, A.B.; Marcelino-Guimarães, F.C.; Rossi, A.A.B.; Krause, W.; de Carvalho, I.F.; Batista, D.S.; Rocha, D.I.; Otoni, W.C. Novel and efficient transformation of wild passion fruit (Passiflora cincinnata Mast.) using sonication-assisted Agrobacterium-mediated transformation. Vitr. Cell. Dev. Biol.-Plant 2021, 57, 380–386. [Google Scholar] [CrossRef]
- Udayabhanu, J.; Huang, T.; Xin, S.; Cheng, J.; Hua, Y.; Huang, H. Optimization of the transformation protocol for increased efficiency of genetic transformation in Hevea brasiliensis. Plants 2022, 11, 1067. [Google Scholar] [CrossRef]
- Salazar-González, J.A.; Castro-Medina, M.; Bernardino-Rivera, L.E.; Martínez-Terrazas, E.; Casson, S.A.; Urrea-López, R. In-planta transient transformation of avocado (Persea americana) by vacuum agroinfiltration of aerial plant parts. Plant Cell Tissue Organ Cult. (PCTOC) 2023, 152, 635–646. [Google Scholar] [CrossRef]
- Simmons, C.W.; VanderGheynst, J.S.; Upadhyaya, S.K. A model of Agrobacterium tumefaciens vacuum infiltration into harvested leaf tissue and subsequent in planta transgene transient expression. Biotechnol. Bioeng. 2009, 102, 965–970. [Google Scholar] [CrossRef] [PubMed]
- Shamloul, M.; Trusa, J.; Mett, V.; Yusibov, V. Optimization and utilization of Agrobacterium-mediated transient protein production in Nicotiana. J. Vis. Exp. JoVE 2014, 86, 51204. [Google Scholar] [CrossRef]
- Chen, X.; He, S.; Jiang, L.; Li, X.; Guo, W.; Chen, B.; Zhou, J.; Skliar, V. An efficient transient transformation system for gene function studies in pumpkin (Cucurbita moschata D.). Sci. Hortic. 2021, 282, 110028. [Google Scholar] [CrossRef]
- Deguchi, M.; Dhir, S.; Potlakayala, S.; Dhir, S.; Curtis, W.R.; Rudrabhatla, S. In planta female flower agroinfiltration alters the cannabinoid composition in industrial hemp (Cannabis sativa L.). Front. Plant Sci. 2022, 13, 921970. [Google Scholar] [CrossRef]
- Gulck, T.; Booth, J.; Carvalho, Â.; Khakimov, B.; Crocoll, C.; Motawia, M.; Møller, B.; Bohlmann, J.; Gallage, N. Synthetic biology of cannabinoids and cannabinoid glucosides in Nicotiana benthamiana and Saccharomyces cerevisiae. J. Nat. Prod. 2020, 83, 2877–2893. [Google Scholar] [CrossRef] [PubMed]
- Islam, M.J.; Ryu, B.R.; Azad, M.O.K.; Rahman, M.H.; Cheong, E.J.; Lim, J.-D.; Lim, Y.-S. Cannabinoids accumulation in hemp (Cannabis sativa L.) plants under LED light spectra and their discrete role as a stress marker. Biology 2021, 10, 710. [Google Scholar] [CrossRef] [PubMed]
- Jiang, J.; Ma, S.; Ye, N.; Jiang, M.; Cao, J.; Zhang, J. WRKY transcription factors in plant responses to stresses. J. Integr. Plant Biol. 2017, 59, 86–101. [Google Scholar] [CrossRef]
- Baek, S.-C.; Jeon, S.-Y.; Choi, Y.-J.; Byun, B.-H.; Kim, D.-H.; Yu, G.-R.; Kim, H.; Lim, D.-W. Establishment of an In Vitro Micropropagation System for Cannabis sativa ‘Cheungsam’. Horticulturae 2024, 10, 1060. [Google Scholar] [CrossRef]
- Jyothishwaran, G.; Kotresha, D.; Selvaraj, T.; Srideshikan, S.; Rajvanshi, P.; Jayabaskaran, C. A modified freeze–thaw method for efficient transformation of Agrobacterium tumefaciens. Curr. Sci. 2007, 93, 770–772. [Google Scholar]
- Livak, K.J.; Schmittgen, T.D. Analysis of relative gene expression data using real-time quantitative PCR and the 2−ΔΔCT method. Methods 2001, 25, 402–408. [Google Scholar] [CrossRef]









| Vector | Antibiotics | |||
|---|---|---|---|---|
| Rifampicin | Spectinomycin | Streptomycin | Gentamicin | |
| 25 µg/mL | 50 µg/mL | 50 µg/mL | 25 µg/mL | |
| GV3101/pGWB502 | Resistant | Resistant | Sensitive | Resistant |
| LBA4404/pGWB502 | Resistant | Resistant | Resistant | Sensitive |
| EHA105/pGWB502 | Resistant | Resistant | Resistant | Sensitive |
| Gene | Forward Primer (5′ to 3′) | Reverse Primer (5′ to 3′) |
|---|---|---|
| GUS | TCAGCAAGCGCACTTACA | ATAACGGTTCAGGCACAGC |
| CsOAC | CACAGAAGCCCAAAAGGAAG | CAACATGGGCAGGATGAATA |
| CsGOT | GCGCCAAGCAGACAATTCTT | ATGGCCTCCCCTTGTAGTGA |
| CsPT1 | ATCGACACCCCAAAACACCA | TCCCAAACAATCCACAAGCG |
| CsPT4 | ACGCCAAATATGGGGTATCA | TTGCTAGAGCAAGCTCACGA |
| CsCBDAS1 | GCCAAACTGCATGGGTTGAA | CCTCCACCACCACGTATAGC |
| CsCBDAS2 | AGGTGGACACTTTGGTGGAG | TGATTCCGAAGCTTTCTGCT |
| CsWRKY20 | GTCCCTGCTGCGAGAAATAG | TCAGATTGCGCAGTAGGATG |
| CsMYB44 | TATTGTTGCAGCGAGAACCA | ATCTTGCCAAGTCCCATACG |
| CsPP2Aq | AGCAACGTTCAGCCCGTTAA | GACACTTCCCTCCAATTCGAAA |
Disclaimer/Publisher’s Note: The statements, opinions and data contained in all publications are solely those of the individual author(s) and contributor(s) and not of MDPI and/or the editor(s). MDPI and/or the editor(s) disclaim responsibility for any injury to people or property resulting from any ideas, methods, instructions or products referred to in the content. |
© 2025 by the authors. Licensee MDPI, Basel, Switzerland. This article is an open access article distributed under the terms and conditions of the Creative Commons Attribution (CC BY) license (https://creativecommons.org/licenses/by/4.0/).
Share and Cite
Baek, S.-C.; Jeon, S.-Y.; Byun, B.-H.; Kim, D.-H.; Yu, G.-R.; Kim, H.; Lim, D.-W. CsCBDAS2-Driven Enhancement of Cannabinoid Biosynthetic Genes Using a High-Efficiency Transient Transformation System in Cannabis sativa ‘Cheungsam’. Plants 2025, 14, 1460. https://doi.org/10.3390/plants14101460
Baek S-C, Jeon S-Y, Byun B-H, Kim D-H, Yu G-R, Kim H, Lim D-W. CsCBDAS2-Driven Enhancement of Cannabinoid Biosynthetic Genes Using a High-Efficiency Transient Transformation System in Cannabis sativa ‘Cheungsam’. Plants. 2025; 14(10):1460. https://doi.org/10.3390/plants14101460
Chicago/Turabian StyleBaek, Sang-Cheol, Sang-Yoon Jeon, Bo-Hyun Byun, Da-Hoon Kim, Ga-Ram Yu, Hyuck Kim, and Dong-Woo Lim. 2025. "CsCBDAS2-Driven Enhancement of Cannabinoid Biosynthetic Genes Using a High-Efficiency Transient Transformation System in Cannabis sativa ‘Cheungsam’" Plants 14, no. 10: 1460. https://doi.org/10.3390/plants14101460
APA StyleBaek, S.-C., Jeon, S.-Y., Byun, B.-H., Kim, D.-H., Yu, G.-R., Kim, H., & Lim, D.-W. (2025). CsCBDAS2-Driven Enhancement of Cannabinoid Biosynthetic Genes Using a High-Efficiency Transient Transformation System in Cannabis sativa ‘Cheungsam’. Plants, 14(10), 1460. https://doi.org/10.3390/plants14101460

