Insight into Cd Detoxification and Accumulation in Wheat by Foliar Application of Ferulic Acid
Abstract
1. Introduction
2. Materials and Methods
2.1. Plant Material and Growth Conditions
2.2. Root Morphological Investigation
2.3. Photosynthesis Assay
2.4. Biochemical Traits Assays
2.5. Determination of Cd Concentration
2.6. Cd Uptake and Translocation Related Gene Quantification
2.7. Data Analysis
3. Results
3.1. Plants Growth Performance
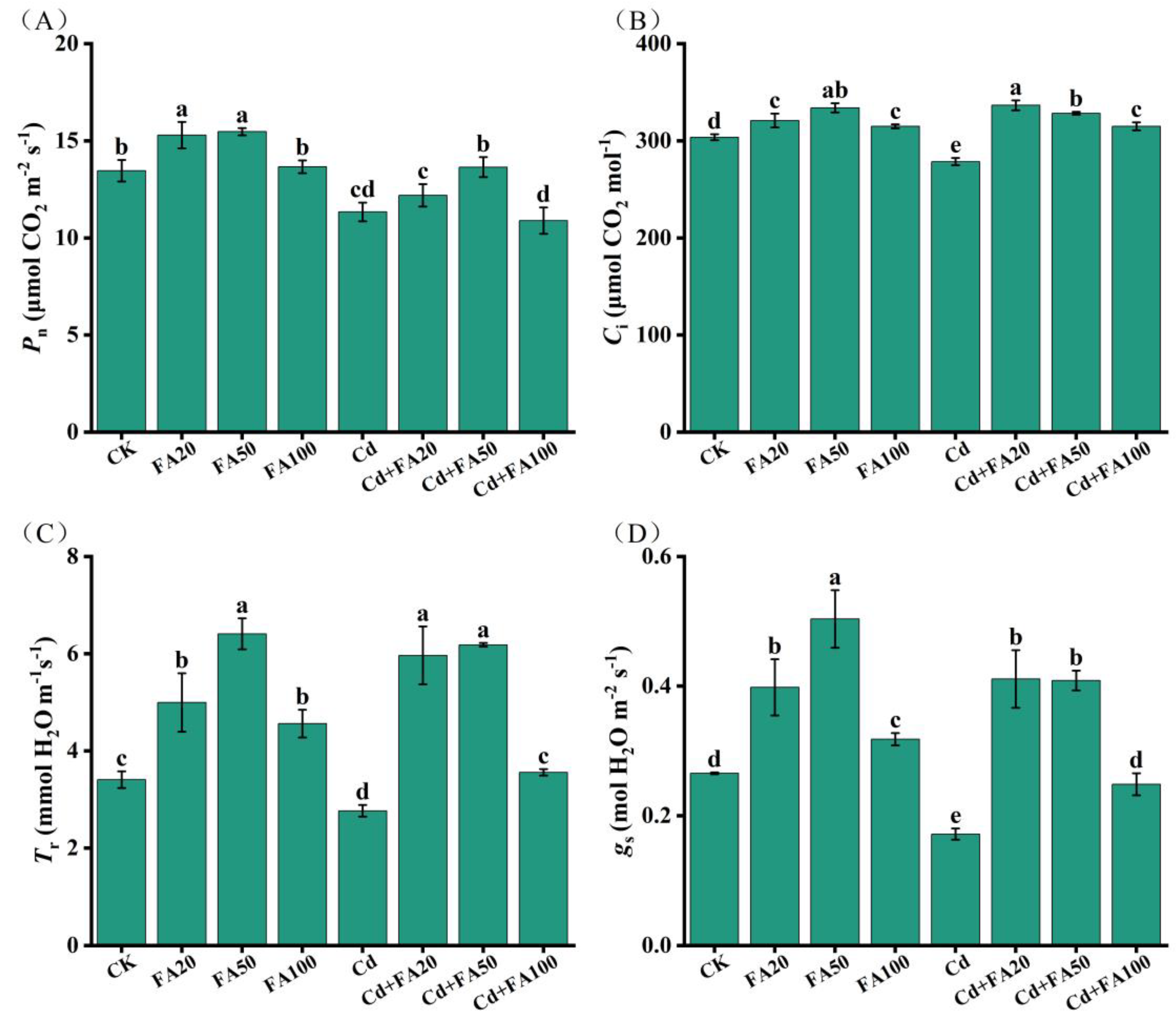
3.2. Effect of FA on Photosynthesis
3.3. Effect of FA on Antioxidant Defense Capacity
3.4. Effect of FA on Cd Subcellular Distribution and Translocation
3.5. Expression Patterns of Genes
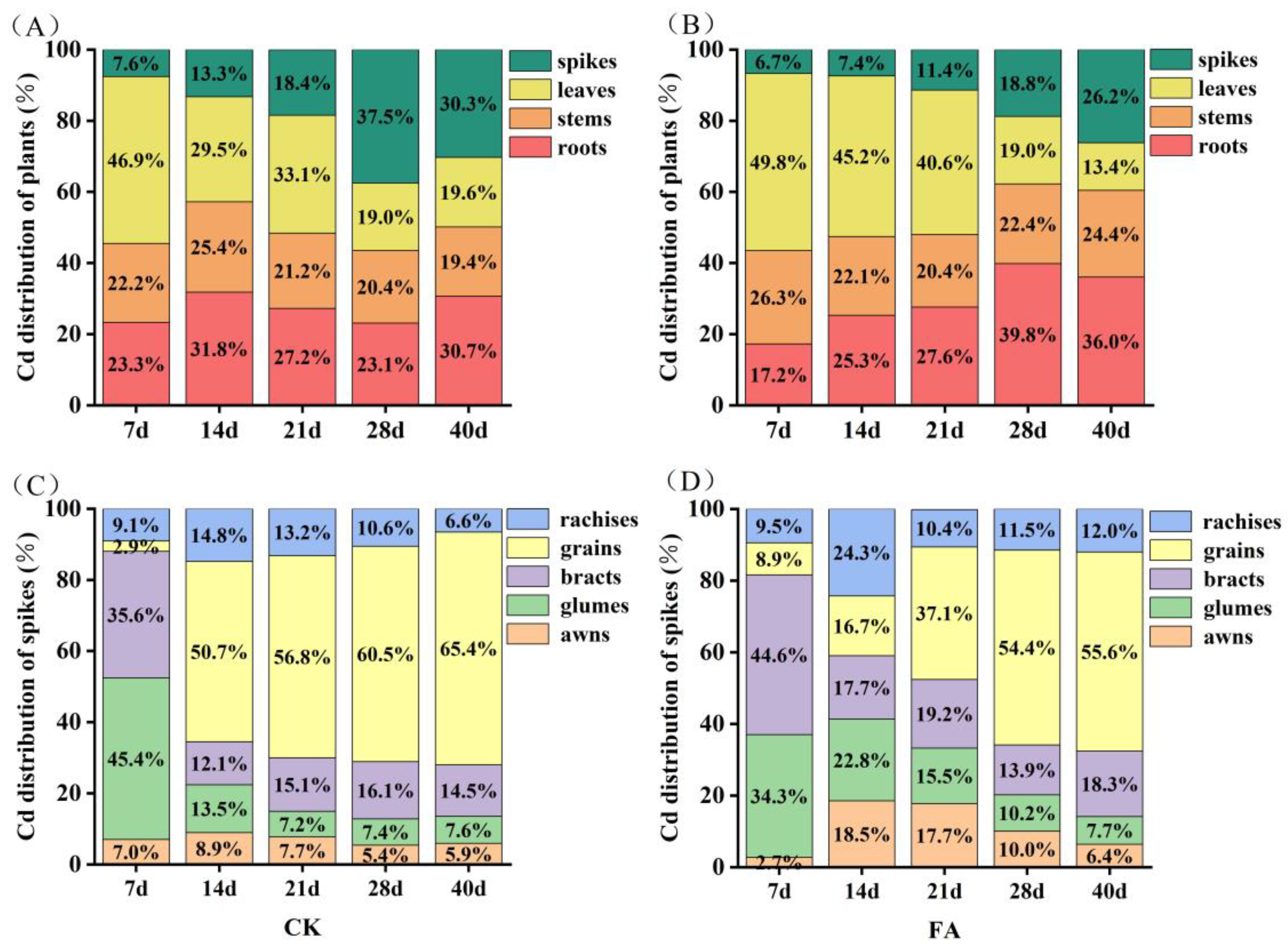
3.6. Cd Allocation Dynamics During the Grain-Filling Stage
4. Discussion
4.1. FA-Mediated Regulation of Cd Partitioning in Plant Tissues
4.2. Potential Mechanism of FA Mediated Cd Mitigation
5. Conclusions
Author Contributions
Funding
Data Availability Statement
Conflicts of Interest
Appendix A
| Primer Names | Primer Sequences for the qRT-PCR Analysis | |
|---|---|---|
| Forward Primer 5′→3′ | Reverse Primer 5′→3′ | |
| TaNramp5 | TCTGGGTGATTCTGATTGGC | GGCTTTGGATACTCGGTCTT |
| TaHAM2 | GGGCATCCGCTTATTTGG | TTCCACTGCCTTTCTCCCTC |
| TaHAM3 | CCGTCTCTCAGTCCCGTATTG | GGAGCCACCTGAAGGAAGAC |
| TaLCT1 | TGTGCTGTTTGGTTGGTCCT | CCGATTGGCGACCTTCGATA |
| TaActin | AAGGCTGTTGGCAAGGTG | GTGGTCGTTCAGAGCAATCC |
References
- Ai, H.; Wu, D.; Li, C.; Hou, M. Advances in molecular mechanisms underlying cadmium uptake and translocation in rice. Front. Plant Sci. 2022, 13, 1003953. [Google Scholar] [CrossRef] [PubMed]
- Fang, B.; Xiao, T.W.; Su, N.N.; Xia, Y.; Shen, Z.; Cui, J. Research progress on cadmium uptake and its transport and accumulation among organs in rice. Chin. J. Rice Sci. 2021, 35, 225–237. [Google Scholar]
- Cai, H.; Xie, P.; Zeng, W.; Zhai, Z.; Zhou, W.; Tang, Z. Root-specific expression of rice OsHMA3 reduces shoot cadmium accumulation in transgenic tobacco. Mol. Breed. 2019, 39, 49. [Google Scholar] [CrossRef]
- GB2762-2022; National Food Safety Standard-Maximum Levels of Contaminants in Foods. National Health Commission, State Administration for Market Regulation: Beijing, China, 2022.
- Cao, Y.; Ma, C.; Chen, H.; Zhang, J.; White, J.C.; Chen, G.; Xing, B. Xylem-based long-distance transport and phloem remobilization of copper in Salix integra Thunb. J. Hazard. Mater. 2020, 392, 122428. [Google Scholar] [CrossRef]
- Chowdhury, F.N.; Rahman, M.M. Source and distribution of heavy metal and their effects on human health. In Heavy Metal Toxicity; Kumar, N., Ed.; Springer: Cham, Switzerland, 2024; pp. 45–98. [Google Scholar]
- Chen, H.; Huang, X.; Chen, H.; Zhang, S.; Fan, C.; Fu, T.; He, T.; Gao, Z. Effect of silicon spraying on rice photosynthesis and antioxidant defense system on cadmium accumulation. Sci. Rep. 2024, 14, 15265. [Google Scholar] [CrossRef]
- Chen, J.; Qin, H.; Zhang, B.; Mao, W.; Lou, L.; Shen, C.; Mao, J.; Lin, Q. Development of melatonin nano-delivery systems to reduce cadmium accumulation in rice (Oryza sativa L.) seedlings: Insights from photosynthetic efficiency, antioxidative response and gene expression. Environ. Exp. Bot. 2022, 196, 104822. [Google Scholar] [CrossRef]
- Di, X.; Qin, X.; Wei, Y.; Liang, X.; Wang, L.; Xu, Y.; Yuebing, S.; Huang, Q. Selenate reduced wheat grain cadmium accumulation by inhibiting cadmium absorption and increasing root cadmium retention. Plant Physiol. Biochem. 2023, 204, 108108. [Google Scholar] [CrossRef]
- Du, C.Y.; Yu, X.F.; Du, J.L.; Mao, Y.; Duan, Z.; Bao, L.; Zhang, N.; Chen, J. Variety difference of Cd, Pb, and As accumulation and translocation in different varieties of Zea mays. Ecol. Environ. Sci. 2019, 28, 1867–1875. [Google Scholar]
- Feng, Y.J.; Li, T.X.; Pu, Y.; Zhang, X.Z. Characteristics of cadmium accumulation and distribution in different organs of wheat with different cadmium-accumulating type. Acta Agron. Sin. 2022, 48, 1761–1770. [Google Scholar]
- Foyer, C.H.; Noctor, G. Redox homeostasis and antioxidant signaling: A metabolic interface between stress perception and physiological responses. Plant Cell 2005, 17, 1866–1875. [Google Scholar] [CrossRef]
- Gill, S.S.; Tuteja, N. Reactive oxygen species and antioxidant machinery in abiotic stress tolerance in crop plants. Plant Physiol. Biochem. 2010, 48, 909–930. [Google Scholar] [CrossRef] [PubMed]
- Harris, N.S.; Taylor, G.J. Cadmium uptake and partitioning in durum wheat during grain filling. BMC Plant Biol. 2013, 13, 103. [Google Scholar] [CrossRef] [PubMed]
- Hou, W.; Yan, J.; Jakli, B.; Lu, J.; Ren, T.; Cong, R.; Li, X. Synergistic effects of nitrogen and potassium on quantitative limitations to photosynthesis in rice (Oryza sativa L.). J. Agric. Food Chem. 2018, 66, 5125–5132. [Google Scholar] [CrossRef] [PubMed]
- Hodges, D.M.; DeLong, J.M.; Forney, C.F.; Prange, R.K. Improving the thiobarbituric acid-reactive-substances assay for estimating lipid peroxidation in plant tissues containing anthocyanin and other interfering compounds. Planta 1999, 207, 604–611. [Google Scholar] [CrossRef]
- Ivanov, A.A.; Kosobryukhov, A.A. Ecophysiology of plants under cadmium toxicity: Photosynthetic and physiological responses. In Plant Ecophysiology and Adaptation Under Climate Change: Mechanisms and Perspectives I; Hasanuzzaman, M., Ed.; Springer: Cham, Switzerland, 2020; pp. 429–484. [Google Scholar]
- Jing, H.; Yang, W.; Chen, Y.; Yang, L.; Zhou, H.; Yang, Y.; Zhao, Z.; Wu, P.; Zia-Ur-Rehman, M. Exploring the mechanism of Cd uptake and translocation in rice: Future perspectives of rice safety. Sci. Total Environ. 2023, 897, 165369. [Google Scholar] [CrossRef]
- Konakci, C.O.; Yildiztugay, E.; Elbasan, F.; Yildiztugay, A.; Küçüködük, M. Assessment of antioxidant system and enzyme/nonenzyme regulation related to ascorbate-glutathione cycle in ferulic acid-treated Triticum aestivum L. roots under boron toxicity. Turk. J. Bot. 2020, 44, 47–61. [Google Scholar] [CrossRef]
- Khan, K.A.; Saleem, M.H.; Afzal, S.; Hussain, I.; Ameen, F.; Fahad, S. Ferulic acid: Therapeutic potential due to its antioxidant properties, role in plant growth, and stress tolerance. J. Plant Growth. Regul. 2024, 104, 1329–1353. [Google Scholar] [CrossRef]
- Li, D.M.; Nie, Y.X.; Zhang, J.; Yin, J.S.; Li, Q.; Wang, X.J.; Bai, J.G. Ferulic acid pretreatment enhances dehydration-stress tolerance of cucumber seedlings. Biol. Plant. 2013, 57, 711–717. [Google Scholar] [CrossRef]
- Li, Y.; Rahman, S.U.; Qiu, Z.; Shahzad, S.M.; Nawaz, M.F.; Huang, J.; Naveed, S.; Li, L.; Wang, X.; Cheng, H. Toxic effects of cadmium on the physiological and biochemical attributes of plants, and phytoremediation strategies: A review. Environ. Pollut. 2023, 325, 121433. [Google Scholar] [CrossRef]
- Liu, H.; Wang, H.; Ma, Y.; Wang, H.; Shi, Y. Role of transpiration and metabolism in translocation and accumulation of cadmium in tobacco plants (Nicotiana tabacum L.). Chemosphere 2016, 144, 1960–1965. [Google Scholar] [CrossRef]
- Ma, C.; Lin, L.; Yang, J.; Zhang, H. The relative contributions of different wheat leaves to the grain cadmium accumulation. Toxics 2022, 10, 637. [Google Scholar] [CrossRef] [PubMed]
- Nguyen, C.; Soulier, A.J.; Masson, P.; Bussière, S.; Cornu, J.Y. Accumulation of Cd, Cu and Zn in shoots of maize (Zea mays L.) exposed to 0.8 or 20 nM Cd during vegetative growth and the relation with xylem sap composition. Environ. Sci. Pollut. Res. 2016, 23, 3152–3164. [Google Scholar] [CrossRef] [PubMed]
- Pedersen, M.B.M.; Bunzel, M.J.; SchFer, J.; Knudsen, K.E.B.; Sørensen, J.F.; Yu, S.; Lærke, H.N. Ferulic acid dehydrodimer and dehydrotrimer profiles of distiller’s dried grains with solubles from different cereal species. J. Agric. Food Chem. 2015, 63, 2006–2012. [Google Scholar] [CrossRef] [PubMed]
- Rao, M.J.; Zheng, B. The role of polyphenols in abiotic stress tolerance and their antioxidant properties to scavenge reactive oxygen species and free radicals. Antioxidants 2025, 14, 74. [Google Scholar] [CrossRef]
- Rai, P.K.; Sonne, C.; Kim, K. Heavy metals and arsenic stress in food crops: Elucidating antioxidative defense mechanisms in hyperaccumulators for food security, agricultural sustainability, and human health. Sci. Total Environ. 2023, 874, 162327. [Google Scholar] [CrossRef]
- Ralph, J.; Grabber, J.H.; Hatfield, R.D. Lignin-ferulate cross-links in grasses: Active incorporation of ferulate polysaccharide esters into ryegrass lignins. Carbohydr. Res. 1995, 275, 167–178. [Google Scholar] [CrossRef]
- Sachdev, S.; Ansari, S.A.; Ansari, M.I.; Fujita, M.; Hasanuzzaman, M. Abiotic stress and reactive oxygen species: Generation, signaling, and defense mechanisms. Antioxidants 2021, 10, 277. [Google Scholar] [CrossRef]
- Shu, P.; Li, Y.; Wang, X.; Yao, L.; Sheng, J.; Shen, L. Exogenous ferulic acid treatment increases resistance against Botrytis cinerea in tomato fruit by regulating nitric oxide signaling pathway. Postharvest Biol. Technol. 2021, 182, 111678. [Google Scholar] [CrossRef]
- Sun, Y. Environmental regulation, agricultural green technology innovation, and agricultural green total factor productivity. Front. Environ. Sci. 2022, 10, 955954. [Google Scholar] [CrossRef]
- Sinha, D.; Tandon, P.K.; Srivastava, G.P.; Srivastava, S.K.; Mukherjee, S. Role of heavy metal ATPases in transport of cadmium and zinc in plants. In Plant Metal and Metalloid Transporters; Kumar, K., Srivastava, S., Eds.; Springer: Singapore, 2022; pp. 109–131. [Google Scholar]
- Sterckeman, T.; Thomine, S. Mechanisms of cadmium accumulation in plants. Crit. Rev. Plant Sci. 2020, 39, 322–359. [Google Scholar] [CrossRef]
- Tanaka, K.; Fujimaki, S.; Fujiwara, T.; Yoneyama, T.; Hayashi, H. Quantitative estimation of the contribution of the phloem in cadmium transport to grains in rice plants (Oryza sativa L.). Soil Sci. Plant Nutr. 2007, 53, 72–77. [Google Scholar] [CrossRef]
- Ur Rahman, S.; Qi, X.; Yasin, G.; Cheng, H.; Mehmood, F.; Zain, M.; Shehzad, M.; Ahmad, M.I.; Riaz, L.; Rahim, A. Role of silicon on root morphological characters of wheat (Triticum aestivum L.) plants grown under Cd-contaminated nutrient solution. Acta Physiol. Plant. 2021, 43, 60. [Google Scholar] [CrossRef]
- Wang, L.; Chen, J.; Zhao, S.; Yan, H.; Xu, W.; Liu, R.; Ma, M.; Yu, Y.; He, Z. Research progress of the physiological and molecular mechanisms of cadmium accumulation in rice. Chin. Bull. Bot. 2022, 57, 236–249. [Google Scholar]
- Wang, Q.S.; Hua, G.L.; Li, X.Y.; Feng, L.X.; Sui, K.X.; Geng, L.P.; Xue, P.Y.; Liu, W.J. Distribution and transport of Cadmium and arsenic in different aboveground parts of wheat after flowering. Environ. Sci. 2023, 44, 6328–6338. [Google Scholar]
- Wang, M.; Mu, C.; Lin, X.; Ma, W.; Wu, H.; Si, D.; Ge, C.; Cheng, C.; Zhao, L.; Li, H.; et al. Foliar application of nanoparticles reduced cadmium content in wheat (Triticum aestivum L.) grains via long-distance “leaf–root–microorganism” regulation. Environ. Sci. Technol. 2024, 58, 6900–6912. [Google Scholar] [CrossRef]
- Weigel, H.J.; Jager, H.J. Subcellular distribution and chemical form of cadmium in bean plants. Plant Physiol. 1980, 65, 480–482. [Google Scholar] [CrossRef]
- Wu, Z.; Zhang, W.; Xu, S.; Shi, H.; Wen, D.; Huang, Y.; Peng, L.; Deng, T.; Du, R.; Li, F.; et al. Increasing ammonium nutrition as a strategy for inhibition of cadmium uptake and xylem transport in rice (Oryza sativa L.) exposed to cadmium stress. Environ. Exp. Bot. 2018, 155, 734–741. [Google Scholar] [CrossRef]
- Wang, M.; Duan, S.; Zhou, Z.; Chen, S.; Wang, D. Foliar spraying of melatonin confers cadmium tolerance in Nicotiana tabacum L. Ecotoxicol. Environ. Saf. 2019, 170, 68–76. [Google Scholar] [CrossRef]
- Xie, M.; Feng, Y.; Zhao, P.; Nie, Z.; Liu, H.; Gao, W.; Li, C.; Sui, F.; Wang, L.; Qin, S. Mechanism of foliar application of boron to alleviate cadmium toxicity in winter wheat (Triticum aestivum L.). Plant Physiol. Biochem. 2024, 217, 109264. [Google Scholar] [CrossRef]
- Yan, B.F.; Nguyen, C.; Cornu, J.Y.; Schönholzer-Mauclaire, L.; Neff, C.; Günther, D.; Frossard, E. Differential allocation of cadmium and zinc in durum wheat during grain filling as revealed by stable isotope labeling. Plant Soil 2023, 489, 177–191. [Google Scholar] [CrossRef]
- Yang, H.; Yu, H.; Wang, S.; Bayouli, I.T.; Huang, H.; Ye, D.; Zhang, X.; Liu, T.; Wang, Y.; Zheng, Z.; et al. Root radial apoplastic transport contributes to shoot cadmium accumulation in a high cadmium-accumulating rice line. J. Hazard. Mater. 2023, 460, 132276. [Google Scholar] [CrossRef] [PubMed]
- Yang, G.-L.; Zheng, M.-M.; Tan, A.-J.; Liu, Y.-T.; Feng, D.; Lv, S.-M. Research on the mechanisms of plant enrichment and detoxification of cadmium. Biology 2021, 10, 544. [Google Scholar] [CrossRef] [PubMed]
- Yang, H.; Xu, Z.; Liu, R.; Xiong, Z. Lanthanum reduces the cadmium accumulation by suppressing expression of transporter genes involved in cadmium uptake and translocation in wheat. Plant Soil 2019, 441, 235–252. [Google Scholar] [CrossRef]
- Yildiztugay, E.; Ozfidan-Konakci, C.; Karahan, H.; Kucukoduk, M.; Turkan, I. Ferulic acid confers tolerance against excess boron by regulating ROS levels and inducing antioxidant system in wheat leaves (Triticum aestivum). Environ. Exp. Bot. 2019, 161, 193–202. [Google Scholar] [CrossRef]
- Yi, Y.; Liu, H.; Chen, G.; Wu, X.; Zeng, F. Cadmium accumulation in plants: Insights from phylogenetic variation into the evolution and functions of membrane transporters. Sustainability 2023, 15, 12158. [Google Scholar] [CrossRef]
- Zulfiquar, F.; Ashraf, M. Bioregulators: Unlocking their potential role in regulation of the plant oxidative defense system. Plant Mol. Biol. 2021, 105, 11–41. [Google Scholar] [CrossRef]
- Zhang, Q.; Li, M.; Yang, G.; Liu, X.; Yu, Z.; Peng, S. Protocatechuic acid, ferulic acid and relevant defense enzymes correlate closely with walnut resistance to Xanthomonas arboricola pv. juglandis. BMC Plant Biol. 2022, 22, 598. [Google Scholar] [CrossRef]
- Wang, Y.; Stessman, D.; Spalding, M. The CO2 concentrating mechanism and photosynthetic carbon assimilation in limiting CO2: How chlamydomonas works against the gradient. Plant J. 2015, 82, 429–448. [Google Scholar] [CrossRef]







| Treatment | Plant Height (cm) | Shoot Dry Weight (g Plant−1) | Root Dry Weight (g Plant−1) | Root-to-Shoot Ratio |
|---|---|---|---|---|
| CK | 63.74 ± 2.01 b | 0.21 ± 0.01 a | 0.035 ± 0.001 b | 0.16 ± 0.006 e |
| Cd | 53.67 ± 2.41 e | 0.15 ± 0.01 c | 0.027 ± 0.001 e | 0.18 ± 0.002 cd |
| FA20 | 67.00 ± 1.24 a | 0.23 ± 0.02 a | 0.040 ± 0.002 a | 0.17 ± 0.005 d |
| FA50 | 66.67 ± 1.37 a | 0.22 ± 0.01 a | 0.034 ± 0.002 b | 0.15 ± 0.002 f |
| FA100 | 60.83 ± 1.22 c | 0.18 ± 0.01 b | 0.039 ± 0.002 a | 0.21 ± 0.004 bc |
| Cd + FA20 | 56.17 ± 1.52 d | 0.14 ± 0.01 c | 0.032 ± 0.001 c | 0.22 ± 0.005 ab |
| Cd + FA50 | 57.67 ± 0.79 d | 0.14 ± 0.03 c | 0.030 ± 0.001 d | 0.21 ± 0.001 b |
| Cd + FA100 | 51.17 ± 2.13 e | 0.13 ± 0.01 d | 0.029 ± 0.002 e | 0.23 ± 0.009 a |
| Treatment | Total Root Length (cm Plant−1) | Root Surface Area (cm2 Plant−1) | Root Volume (cm3 Plant−1) | Root Average Diameter (mm) | Root Tips (Tips Plant−1) |
|---|---|---|---|---|---|
| CK | 655.12 ± 42.90 ab | 60.29 ± 8.20 c | 0.96 ± 0.09 e | 0.41 ± 0.05 e | 488.33 ± 29.50 e |
| Cd | 538.16 ± 6.21 c | 61.86 ± 1.75 c | 0.83 ± 0.06 f | 0.43 ± 0.01 d | 444.50 ± 8.39 f |
| FA20 | 681.55 ± 7.76 a | 84.29 ± 2.75 b | 1.43 ± 0.06 bc | 0.46 ± 0.02 cd | 551.67 ± 63.69 bcde |
| FA50 | 559.61 ± 33.94 c | 79.69 ± 10.06 b | 1.57 ± 0.32 abc | 0.47 ± 0.05 bcd | 521.50 ± 79.98 bcd |
| FA100 | 708.72 ± 75.18 a | 97.55 ± 2.32 a | 1.76 ± 0.11 a | 0.44 ± 0.01 cd | 758.50 ± 38.50 a |
| Cd + FA20 | 598.74 ± 55.22 bc | 82.82 ± 6.55 b | 1.65 ± 0.15 ab | 0.48 ± 0.01 abc | 529.67 ± 63.31 b |
| Cd + FA50 | 420.03 ± 31.01 d | 65.73 ± 0.73 c | 1.38 ± 0.05 cd | 0.52 ± 0.03 ab | 577.33 ± 26.16 bc |
| Cd + FA100 | 363.10 ± 27.07 e | 57.78 ± 1.97 e | 1.21 ± 0.03 de | 0.53 ± 0.03 a | 403.33 ± 31.27 f |
| Translocation Factor | Day After Anthesis | |||||
|---|---|---|---|---|---|---|
| 7 d | 14 d | 21 d | 28 d | 40 d | ||
| TFroot/stem | CK | 1.12 ± 0.01 | 0.29 ± 0.01 | 0.28 ± 0.01 | 0.36 ± 0.06 | 0.25 ± 0.01 |
| FA | 0.36 ±0.07 * | 0.25 ± 0.02 * | 0.33 ± 0.05 | 0.17 ± 0.02 * | 0.13 ± 0.04 * | |
| TFstem/leaf | CK | 3.10 ± 0.41 | 0.99 ± 0.08 | 2.10 ± 0.13 | 0.88 ± 0.46 | 2.64 ± 0.44 |
| FA | 2.15 ± 0.38 * | 3.15 ± 0.40 * | 3.00 ± 0.17 * | 1.59 ± 0.49 * | 1.44 ± 0.14 * | |
| TFstem/rachis | CK | 0.11 ± 0.04 | 0.63 ± 0.12 | 1.33 ± 0.09 | 1.01 ± 0.17 | 2.17 ± 0.25 |
| FA | 2.75 ± 0.44 * | 1.30 ± 0.32 * | 0.77 ± 0.05 * | 0.46 ± 0.02 * | 0.26 ± 0.08 * | |
| TFleaf/rachis | CK | 0.33 ± 0.01 | 0.63 ± 0.05 | 0.64 ± 0.03 | 1.89 ± 0.97 | 0.76 ± 0.01 |
| FA | 1.32 ± 0.16 * | 0.39 ± 0.09 * | 0.24 ± 0.05 * | 0.34 ± 0.08 * | 0.21 ± 0.05 * | |
| TFrachis/gain | CK | 1.81 ± 0.57 | 1.16 ± 0.17 | 0.55 ± 0.04 | 1.46 ± 0.41 | 1.01 ± 0.12 |
| FA | 0.20 ± 0.02 * | 0.64 ± 0.05 * | 0.52 ± 0.06 | 0.55 ± 0.39 * | 0.48 ± 0.03 * | |
Disclaimer/Publisher’s Note: The statements, opinions and data contained in all publications are solely those of the individual author(s) and contributor(s) and not of MDPI and/or the editor(s). MDPI and/or the editor(s) disclaim responsibility for any injury to people or property resulting from any ideas, methods, instructions or products referred to in the content. |
© 2025 by the authors. Licensee MDPI, Basel, Switzerland. This article is an open access article distributed under the terms and conditions of the Creative Commons Attribution (CC BY) license (https://creativecommons.org/licenses/by/4.0/).
Share and Cite
Li, S.; Fu, W.; Li, B.; Wang, Y.; Cheng, Y.; Kang, H.; Zeng, J. Insight into Cd Detoxification and Accumulation in Wheat by Foliar Application of Ferulic Acid. Plants 2025, 14, 1436. https://doi.org/10.3390/plants14101436
Li S, Fu W, Li B, Wang Y, Cheng Y, Kang H, Zeng J. Insight into Cd Detoxification and Accumulation in Wheat by Foliar Application of Ferulic Acid. Plants. 2025; 14(10):1436. https://doi.org/10.3390/plants14101436
Chicago/Turabian StyleLi, Simeng, Wenyang Fu, Bingling Li, Yi Wang, Yiran Cheng, Houyang Kang, and Jian Zeng. 2025. "Insight into Cd Detoxification and Accumulation in Wheat by Foliar Application of Ferulic Acid" Plants 14, no. 10: 1436. https://doi.org/10.3390/plants14101436
APA StyleLi, S., Fu, W., Li, B., Wang, Y., Cheng, Y., Kang, H., & Zeng, J. (2025). Insight into Cd Detoxification and Accumulation in Wheat by Foliar Application of Ferulic Acid. Plants, 14(10), 1436. https://doi.org/10.3390/plants14101436

