White-Seeded Culinary Poppy (Papaver somniferum L.) Se Biofortification: Oil Quality, Fatty Acid Profile, and Seed Yield
Abstract
1. Introduction
2. Results
2.1. Yield Components
2.2. Macro- and Microelement Content in the Seeds
2.3. Amount of Oil and Proteins in the Seeds
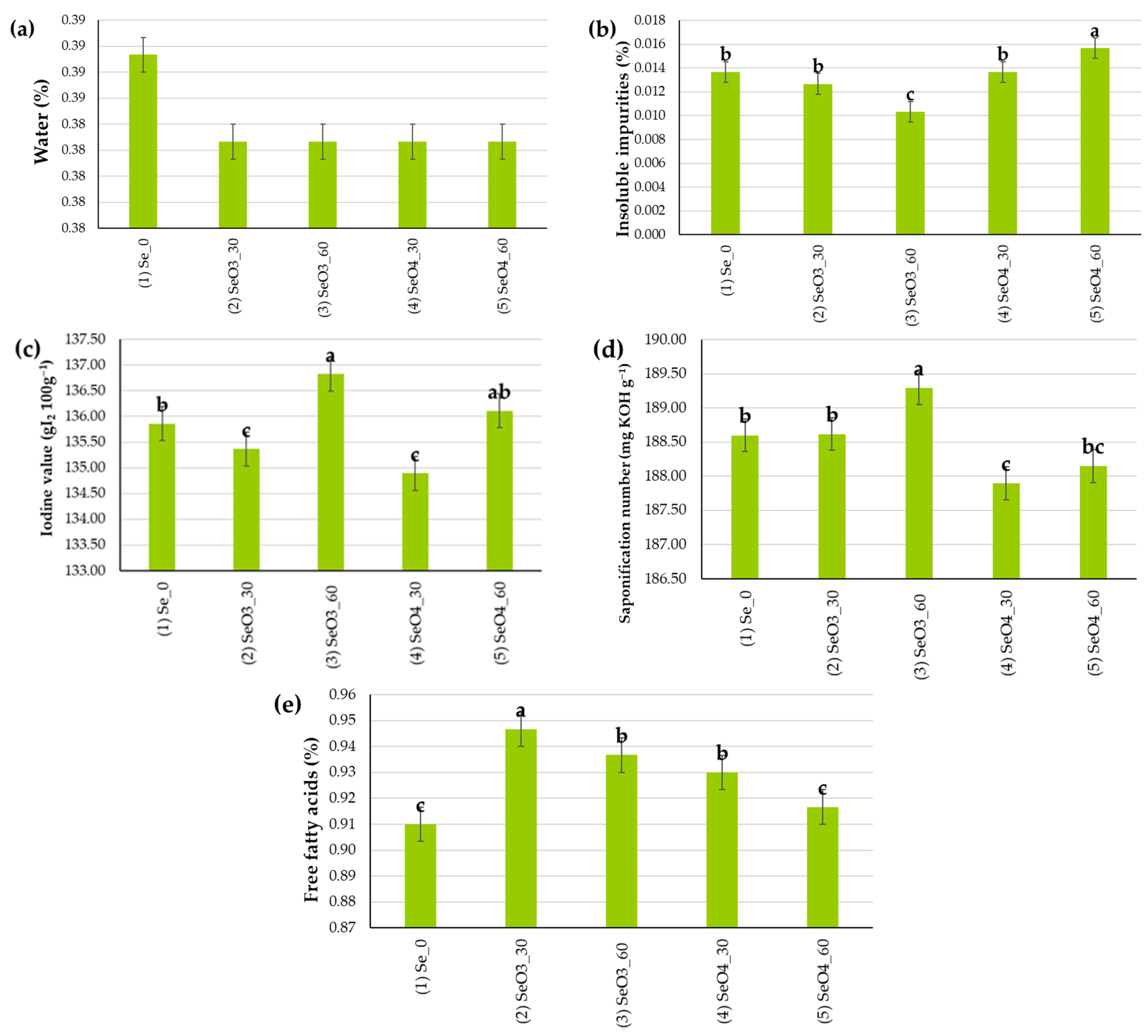
2.4. Quality Parameters of the Cold-Pressed Oil
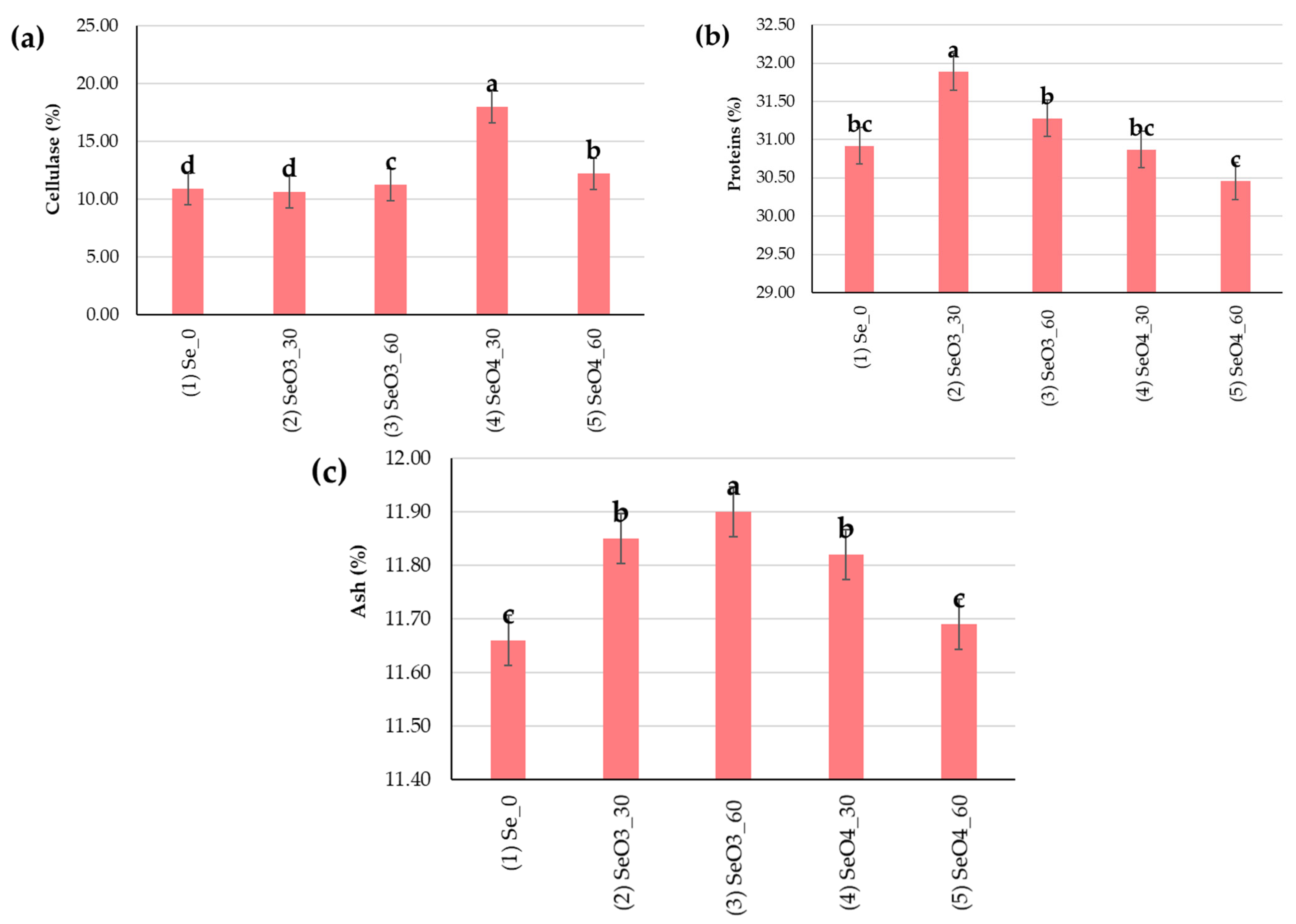
2.5. Quality Parameters of the Flour from the Cake
2.6. Fatty Acid Profile
3. Discussion
4. Materials and Methods
4.1. Field Experiment Set-Up
4.2. Weather Data
4.3. Plant Samples
4.4. Macro- and Micronutrient Status in the Poppy Seeds
4.5. Oil and Proteins in the Seeds
4.6. Production and Oil Quality Parameters
- v1 = volume of sodium thiosulfate solution;
- v0 = volume of sodium thiosulfate solution used for blank titration (mL);
- m = mass of oil sample (g).
- m0—mass of the glass container (g);
- m1—mass of glass container and sample before drying (g);
- m2—mass of glass container and sample after drying (g).
- m0—sample mass (g);
- m1—mass of the dried funnel;
- m2—mass of the funnel with impurities after drying (g).
- v0 = volume of used 0.1 M sodium thiosulfate solution for blank titration (mL);
- v1 = volume of used 0.1 M sodium thiosulfate solution for sample titration (mL);
- c = mass of the tested sample (g).
- v0 = volume of 0.5 M HCl solution used for blank titration (mL);
- v1 = volume of 0.5 M HCl solution used for sample titration (mL);
- m = sample mass (g);
4.7. Determination of Fatty Acid Profile
4.8. Statistical Analysis
5. Conclusions
Author Contributions
Funding
Data Availability Statement
Conflicts of Interest
References
- Guo, L.; Winzer, T.; Yang, X.; Li, Y.; Ning, Z.; He, Z.; Teodor, R.; Lu, Y.; Bowser, T.A.; Graham, I.A.; et al. The opium poppy genome and morphinan production. Science 2018, 362, 343–347. [Google Scholar] [CrossRef] [PubMed]
- György, Z.; Alam, S.; Priyanka, P.; Zámboriné Németh, É. Genetic Diversity and Relationships of Opium Poppy Accessions Based on SSR Markers. Agriculture 2022, 12, 1343. [Google Scholar] [CrossRef]
- Červeň, J.; Vrbovský, V.; Horáček, J.; Bartas, M.; Endlová, L.; Pečinka, P.; Čurn, V. New Low Morphine Opium Poppy Genotype Obtained by TILLING Approach. Plants 2023, 12, 1077. [Google Scholar] [CrossRef]
- Kuchtová, P.; Hájková, M.; Havel, J.; Kazda, J.; Plachká, E.; Dvořák, P. Pěstitelská technologie máku pro ekologické zemědělství. ČZU Praha 2013, 4, 17252. [Google Scholar]
- General Information About the Poppy. Available online: https://ceskymodrymak.cz/cs/mak/obecne-informace (accessed on 24 October 2024).
- Azcan, N.; Ozturk Kalender, B.; Kara, M. Investigation of Turkish poppy seeds and seed oils. Chem. Nat. Compd. 2004, 40, 370–372. [Google Scholar] [CrossRef]
- Dąbrowski, G.; Czaplicki, S.; Konopka, I. Composition and quality of poppy (Papaver somniferum L.) seed oil depending on the extraction method. LWT 2020, 134, 110167. [Google Scholar] [CrossRef]
- Pospišil, M. Ratarstvo II. Dio—Industrijsko Bilje; Zrinski d.d.: Čakovec, Croatia, 2013. [Google Scholar]
- Wei, L.; Wang, D.; Sun, J.; Wang, X.; Shen, Y.; Di, H. Determination of ten long-chain fatty acids in poppy-seed oil using electro-enhanced solid-phase microextraction-GC/MS. Food Anal. Methods 2022, 15, 2462–2469. [Google Scholar] [CrossRef]
- Satranský, M.; Fraňková, A.; Kuchtová, P.; Pazderů, K.; Capouchová, I. Oil content and fatty acid profile of selected poppy (Papaver somniferum L.) landraces and modern cultivars. Plant Soil Environ. 2021, 67, 579–587. [Google Scholar] [CrossRef]
- Mijić, A.; Liović, I.; Sudarić, A.; Duvnjak, T.; Šimić, B.; Markulj Kulundžić, A. Makropokusi kao važan čimbenik u procjeni agronomskih svojstava hibrida suncokreta. Poljoprivreda 2022, 28, 24–31. [Google Scholar] [CrossRef]
- Galić Subašić, D.; Jurišić, M.; Rebekić, A.; Josipović, M.; Radočaj, D.; Rapčan, I. Odnos komponenata prinosa i prinosa zrna soje (Glycine max L. Merr.) u uvjetima navodnjavanja. Poljoprivreda 2022, 28, 32–38. [Google Scholar] [CrossRef]
- Markulj Kulundžić, A.; Sudarić, A.; Matoša Kočar, M.; Duvnjak, T.; Liović, I.; Mijić, A.; Varga, I.; Viljevac Vuletić, M. Detailed Insight into the Behaviour of Chlorophyll a Fluorescence Transient Curves and Parameters during Different Times of Dark Adaptation in Sunflower Leaves. Agronomy 2024, 14, 954. [Google Scholar] [CrossRef]
- Markulj Kulundžić, A.; Viljevac Vuletić, M.; Matoša Kočar, M.; Antunović Dunić, J.; Varga, I.; Zdunić, Z.; Sudarić, A.; Cesar, V.; Lepeduš, H. Effect of Elevated Temperature and Excess Light on Photosynthetic Efficiency, Pigments, and Proteins in the Field-Grown Sunflower during Afternoon. Horticulturae 2022, 8, 392. [Google Scholar] [CrossRef]
- NN 18/2012, Official Gazette. Pravilnik o Uvjetima za Uzgoj Konoplje, Načinu Prijave Uzgoja Maka te Uvjetima za Posjedovanje Opojnih Droga u Veterinarstvu. Available online: https://narodne-novine.nn.hr/clanci/sluzbeni/2012_02_18_505.html (accessed on 24 October 2024).
- Celní Správa ČR. Available online: https://celnisprava.gov.cz (accessed on 24 October 2024).
- Čermáková, E.; Svoboda, P.; Ovesná, J.; Vašek, J.; Demnerová, K.; Zdeňková, K. cor1 Gene: A Suitable Marker for Identification of Opium Poppy (Papaver somniferum L.). Foods 2024, 13, 1432. [Google Scholar] [CrossRef]
- FAO; IFAD; UNICEF; WFP; WHO. The State of Food Security and Nutrition in The World 2019: Safeguarding Against Economic Slowdowns and Downturns; FAO: Rome, Italy, 2019. [Google Scholar]
- Gödecke, T.; Stein, A.J.; Qaim, M. The global burden of chronic and hidden hunger: Trends and determinants. Glob. Food Secur. 2018, 17, 21–29. [Google Scholar] [CrossRef]
- Lenaerts, B.; Demont, M. The global burden of chronic and hidden hunger revisited: New panel data evidence spanning 1990–2017. Glob. Food Secur. 2021, 28, 100480. [Google Scholar] [CrossRef]
- Płaczek, A.; Patorczyk-Pytlik, B. The Dynamics of Selenium Uptake by Maize (Zea mays L.). Agronomy 2021, 11, 1305. [Google Scholar] [CrossRef]
- Mehdi, Y.; Hornick, J.-L.; Istasse, L.; Dufrasne, I. Selenium in the Environment, Metabolism and Involvement in Body Functions. Molecules 2013, 18, 3292–3311. [Google Scholar] [CrossRef]
- Minich, W.B. Selenium metabolism and biosynthesis of selenoproteins in the human body. Biochemistry 2022, 87 (Suppl S1), S168–S177. [Google Scholar] [CrossRef] [PubMed]
- Rayman, M.P. Food-chain selenium and human health: Emphasis on intake. Br. J. Nutr. 2008, 100, 254–268. [Google Scholar] [CrossRef] [PubMed]
- Navarro-Alarcon, M.; Cabrera-Vique, C. Selenium in food and the human body: A review. Sci. Total Environ. 2008, 400, 115–141. [Google Scholar] [CrossRef] [PubMed]
- Galić, L.; Vinković, T.; Ravnjak, B.; Lončarić, Z. Agronomic Biofortification of Significant Cereal Crops with Selenium—A Review. Agronomy 2021, 11, 1015. [Google Scholar] [CrossRef]
- Manojlović, M.S.; Lončarić, Z.; Cabilovski, R.R.; Popović, B.; Karalić, K.; Ivezić, V.; Ademi, A.; Singh, B.R. Biofortification of wheat cultivars with selenium. Acta Agric. Scand. Sect. B Soil Plant Sci. 2019, 69, 715–724. [Google Scholar] [CrossRef]
- Galić, L.; Špoljarević, M.; Jakovac, E.; Ravnjak, B.; Teklić, T.; Lisjak, M.; Perić, K.; Nemet, F.; Lončarić, Z. Selenium Biofortification of Soybean Seeds Influences Physiological Responses of Seedlings to Osmotic Stress. Plants 2021, 10, 1498. [Google Scholar] [CrossRef]
- Adadi, P.; Barakova, N.V.; Muravyov, K.Y.; Krivoshapkina, E.F. Designing selenium functional foods and beverages: A review. Food Res. Int. 2019, 120, 708–725. [Google Scholar] [CrossRef]
- Wang, M.; Ali, F.; Qi, M.; Peng, Q.; Wang, M.; Bañuelos, G.S.; Miao, S.; Dinh, Q.T.; Liang, D. Insights into uptake, accumulation, and subcellular distribution of selenium among eight wheat (Triticum aestivum L.) cultivars supplied with selenite and selenate. Ecotoxicol. Environ. Saf. 2021, 207, 111544. [Google Scholar] [CrossRef]
- Brčić, M.; Pospišil, M.; Pospišil, A.; Butorac, J.; Škevin, D.; Obranović, M. The agronomic traits of foreign cultivars and domestic populations of oilseed poppy. Poljoprivreda 2016, 22, 23–28. [Google Scholar] [CrossRef]
- Koza, J.; Jurgoński, A. Partially defatted rather than native poppy seeds beneficially alter lipid metabolism in rats fed a high-fat diet. Sci. Rep. 2023, 13, 14171. [Google Scholar] [CrossRef]
- Gupcsó, K.; Kókai, Z.; Bálint, M.; Tavaszi-Sárosi, S.; Németh, É.Z. Studies on Sensory and Phytochemical Characteristics of Poppy (Papaver somniferum L.) Varieties for Their Oil Utilisation. Foods 2023, 12, 3165. [Google Scholar] [CrossRef] [PubMed]
- Lančaričová, A.; Havrlentová, M.; Muchová, D.; Bednárová, A. Oil content and fatty acids composition of poppy seeds cultivated in two localities of Slovakia. Agric. (Pol’nohospodárstvo) 2016, 62, 19–27. [Google Scholar] [CrossRef]
- Luhmer, K.; Schulze-Kaysers, N.; Feuereisen, M.; Wirth, L.; Maretzky, F.; Wüst, M.; Blum, H.; Dörr, E.; Pude, R. Fatty acid composition, tocopherols, volatile compounds, and sensory evaluation of low morphine yielding varieties of poppy (Papaver somniferum L.) seeds and oils. J. Agric. Food Chem. 2021, 69, 3439–3451. [Google Scholar] [CrossRef]
- Fotschki, B.; Opyd, P.; Juśkiewicz, J.; Wiczkowski, W.; Jurgoński, A. Comparative Effects of Dietary Hemp and Poppy Seed Oil on Lipid Metabolism and the Antioxidant Status in Lean and Obese Zucker Rats. Molecules 2020, 25, 2921. [Google Scholar] [CrossRef]
- Erinç, H.; Tekin, A.; Özcan, M.M. Determination of fatty acid, tocopherol and phytosterol contents of the oils of various poppy (Papaver somniferum L.) seeds. Grasas Aceites 2009, 60, 375–381. [Google Scholar]
- Emir, D.D.; Güneser, O.; Yılmaz, E. Cold pressed poppy seed oils: Sensory properties, aromatic profiles and consumer preferences. Grasas Aceites 2014, 65, e029. [Google Scholar] [CrossRef]
- NN 11/2019-229, Official Gazette. Pravilnik o Jestivim Uljima i Mastima. Available online: https://narodne-novine.nn.hr/clanci/sluzbeni/2019_01_11_229.html (accessed on 11 November 2024).
- NN 117/2021, Official Gazette. Pravilnik o Izmjenama Pravilnika o Jestivim Uljima i Mastima. Available online: https://narodne-novine.nn.hr/clanci/sluzbeni/2021_10_117_2014.html (accessed on 11 November 2024).
- Melo, D.; Álvarez-Ortí, M.; Nunes, M.A.; Espírito Santo, L.; Machado, S.; Pardo, J.E.; Oliveira, M.B.P.P. Nutritional and Chemical Characterization of Poppy Seeds, Cold-Pressed Oil, and Cake: Poppy Cake as a High-Fibre and High-Protein Ingredient for Novel Food Production. Foods 2022, 11, 3027. [Google Scholar] [CrossRef]
- Geng, L.; Zhou, W.; Qu, X.; Sa, R.; Liang, J.; Wang, X.; Sun, M. Iodine values, peroxide values and acid values of Bohai algae oil compared with other oils during the cooking. Heliyon 2023, 9, e15088. [Google Scholar] [CrossRef]
- Soares, S.; Rocha, F.R. Fast spectrophotometric determination of iodine value in biodiesel and vegetable oils. J. Braz. Chem. Soc. 2018, 29, 1701–1706. [Google Scholar] [CrossRef]
- Maden, B.; Yalçın, S. The Effect of Storage on Some Properties of 3 Different Ground Poppy Seed Fats. Int. J. Second. Metab. 2017, 4, 349–354. [Google Scholar] [CrossRef]
- Razaq, Z.; Tousif, M.I.; Noureen, S.; Hussain, S.U.; Saleem, M.; Khan, F.M.; Shaukat, U.; Riaz, H.; Zengin, G.; Hashem, A.; et al. Utilization of opium poppy seed oil for biodiesel production: A parametric characterization and statistical optimization. Heliyon 2024, 10, e36851. [Google Scholar] [CrossRef] [PubMed]
- Sarwar, N.; Akhtar, M.; Kamran, M.A.; Imran, M.; Riaz, M.A.; Kamran, K.; Hussain, S. Selenium biofortification in crops mechanisms: Key and future perspectives. J. Food Compos. Anal. 2020, 93, 103615. [Google Scholar] [CrossRef]
- Skarpa, P.; Richter, R. Foliar nutrition of poppy plants (Papaver somniferum L.) with selenium and the effect on its content in seeds. J. Elem. 2011, 16, 85–92. [Google Scholar]
- Zubay, P.; Jókainé Szatura, Z.; Ladányi, M.; Zámboriné Németh, É.; Szabó, K. Variations in mineral content of opium poppy seeds (Papaver somniferum L.). Acta Agron. Óváriensis 2020, 61, 73–92. [Google Scholar]
- Broadley, M.R.; Alcock, J.; Alford, J.; Cartwright, P.; Foot, I.; Fairweather-Tait, S.J.; Hart, D.J.; Hurst, R.; Knott, P.; McGrath, S.P.; et al. Selenium biofortification of high-yielding winter wheat (Triticum aestivum L.) by liquid or granular Se fertilisation. Plant Soil 2010, 332, 5–18. [Google Scholar] [CrossRef]
- Ježek, P.; Škarpa, P.; Lošák, T.; Hlušek, J.; Jůzl, M.; Elzner, P. Selenium—An important antioxidant in crops biofortification. In Antioxidant Enzyme; IntechOpen Limited: London, UK, 2012; pp. 343–368. [Google Scholar]
- Gupta, P.K.; Balyan, H.S.; Sharma, S.; Kumar, R. Biofortification and bioavailability of Zn, Fe and Se in wheat: Present status and future prospects. Theor. Appl. Genet. 2021, 134, 1–35. [Google Scholar] [CrossRef] [PubMed]
- Lončarić, Z.; Ivezić, V.; Kerovec, D.; Rebekić, A. Foliar Zinc-Selenium and Nitrogen Fertilization Affects Content of Zn, Fe, Se, P, and Cd in Wheat Grain. Plants 2021, 10, 1549. [Google Scholar] [CrossRef] [PubMed]
- Szerement, J.; Szatanik-Kloc, A.; Mokrzycki, J.; Mierzwa-Hersztek, M. Agronomic biofortification with Se, Zn, and Fe: An effective strategy to enhance crop nutritional quality and stress defense—A review. J. Soil Sci. Plant Nutr. 2022, 22, 1129–1159. [Google Scholar] [CrossRef]
- Garousi, F.; Kovács, B.; Veres, S. Sunflower seedlings hyperaccumulate selenium. Acta Biol. Hung. 2018, 69, 197–209. [Google Scholar] [CrossRef] [PubMed]
- Kurt, C.; Demirbas, A.; Nawaz, M.A.; Chung, G.; Baloch, F.S.; Altunay, N. Determination of Se content of 78 sesame accessions with different geographical origin. J. Food Compos. Anal. 2020, 94, 103621. [Google Scholar] [CrossRef]
- Eifediyi, E.K.; Ilori, G.A.; Ahamefule, H.E.; Imam, A.Y. The effects of zinc biofortification of seeds and NPK fertilizer application on the growth and yield of sesame (Sesamum indicum L.). Acta Agric. Slov. 2021, 117, 1–11. [Google Scholar] [CrossRef]
- Dhaliwal, S.S.; Sharma, V.; Shukla, A.K.; Kaur, M.; Verma, V.; Sandhu, P.S.; Alsuhaibani, A.M.; Gaber, A.; Hossain, A. Biofortification of oil quality, yield, and nutrient uptake in Indian mustard (Brassica juncea L.) by foliar application of boron and nitrogen. Front. Plant Sci. 2022, 13, 976391. [Google Scholar] [CrossRef]
- D’Amato, R.; Proietti, P.; Onofri, A.; Regni, L.; Esposto, S.; Servili, M.; Selvaggini, R. Biofortification (Se): Does it increase the content of phenolic compounds in virgin olive oil (VOO)? PLoS ONE 2017, 12, e0176580. [Google Scholar] [CrossRef]
- Kundrátová, K.; Bartas, M.; Pečinka, P.; Hejna, O.; Rychlá, A.; Čurn, V.; Červeň, J. Transcriptomic and Proteomic Analysis of Drought Stress Response in Opium Poppy Plants during the First Week of Germination. Plants 2021, 10, 1878. [Google Scholar] [CrossRef] [PubMed]
- Ameen, M.; Zia, M.A.; Najeeb Alawadi, H.F.; Naqve, M.; Mahmood, A.; Shahzad, A.N.; Khan, B.A.; Alhammad, B.A.; Aljabri, M.; Seleiman, M.F. Exogenous application of selenium on sunflower (Helianthus annuus L.) to enhance drought stress tolerance by morpho-physiological and biochemical adaptations. Front. Plant Sci. 2024, 15, 1427420. [Google Scholar] [CrossRef]
- Danso, O.P.; Asante-Badu, B.; Zhang, Z.; Song, J.; Wang, Z.; Yin, X.; Zhu, R. Selenium Biofortification: Strategies, Progress and Challenges. Agriculture 2023, 13, 416. [Google Scholar] [CrossRef]
- Croatian Plant Genetic Resources Database. Available online: https://cpgrd.hapih.hr/ (accessed on 11 November 2023).
- Croatian Meteorological and Hydrological Service (DHMZ). Available online: https://meteo.hr/index_en.php (accessed on 24 April 2024).
- ISO 6492:1999; Animal Feeding Stuffs—Determination of Fat Content. ISO: Geneva, Switzerland, 1999.
- ISO 3960:2017; Animal and Vegetable Fats and Oils—Determination of Peroxide Value—Iodometric (Visual) Endpoint Determination. ISO: Geneva, Switzerland, 2017.
- ISO 662:2016; Animal and Vegetable Fats and Oils—Determination of Moisture and Volatile Matter Content. ISO: Geneva, Switzerland, 2016.
- ISO 663:2017; Animal and Vegetable Fats and Oils—Determination of Insoluble Impurities Content. ISO: Geneva, Switzerland, 2017.
- ISO 3961:2018; Animal and Vegetable Fats and Oils—Determination of Iodine Value. ISO: Geneva, Switzerland, 2018.
- European Comission. Commission Regulation (EC) No 796/2002 of May 6 2002 amending Regulation (EEC) No 2568/91 on the characteristics of olive oil and olive-pomace oil and on the relevant methods of analysis and the additional notes in the Annex to Council Regulation (EEC) No 2658/87 on the tariff and statistical nomenclature and on the Common Customs Tariff. Off. J. Eur. Comm. 2002, L128, 8–28. [Google Scholar]
- SAS Enterprise Guide 7.1. SAS Institute Inc. Available online: https://www.sas.com/en_us/home.html (accessed on 24 October 2024).




| Treatment | Plant Height (cm) | No. of Capsules Per Plant | Capsule Diameter (mm) | Mass of Seed Per Capsule (g) | Seed Yield (t ha−1) |
|---|---|---|---|---|---|
| (1) Se_0 | 139.6 | 3 | 43.5 | 3.82 | 1.23 |
| (2) SeO3_30 | 140.4 | 3 | 41.5 | 3.00 | 0.91 |
| (3) SeO3_60 | 138.9 | 4 | 42.1 | 3.02 | 1.31 |
| (4) SeO4_30 | 143.0 | 4 | 41.5 | 3.48 | 1.26 |
| (5) SeO4_60 | 142.1 | 4 | 42.5 | 4.29 | 1.02 |
| Mean | 140.8 | 4 | 41.7 | 3.52 | 1.15 |
| LSD (0.05) | ns | ns | ns | 0.95 | 0.35 |
| Treatment | Ca (mg kg−1) | Mg (mg kg−1) | Mn (mg kg−1) | Fe (mg kg−1) | Cu (mg kg−1) | Zn (mg kg−1) | Se (µg kg−1) |
|---|---|---|---|---|---|---|---|
| (1) Se_0 | 15,283 | 3082 | 78.5 | 92.2 | 18.1 | 55.3 | 68.7 |
| (2) SeO3_30 | 16,317 | 3242 | 73.6 | 72.5 | 17.4 | 54.4 | 71.0 |
| (3) SeO3_60 | 15,440 | 3235 | 82.8 | 86.7 | 18.1 | 54.7 | 75.9 |
| (4) SeO4_30 | 16,317 | 3130 | 70.6 | 72.3 | 17.0 | 52.5 | 102.6 |
| (5) SeO4_60 | 14,843 | 3088 | 82.8 | 81.0 | 17.8 | 56.8 | 131.5 |
| Mean | 15,491 | 3135 | 77.1 | 80.9 | 17.7 | 54.7 | 89.9 |
| LSD (0.05) | ns | ns | 5.8 | 14.1 | ns | ns | 14.6 |
| Treatment | Oil Content (%) | Protein Content (%) |
|---|---|---|
| (1) Se_0 | 49.5 | 22.6 |
| (2) SeO3_30 | 51.1 | 22.1 |
| (3) SeO3_60 | 43.5 | 22.8 |
| (4) SeO4_30 | 49.6 | 22.5 |
| (5) SeO4_60 | 43.5 | 22.6 |
| Mean | 47.5 | 22.5 |
| LSD (0.05) | ns | ns |
| Palmitic (C16:0) | Palmitoleic (C16:1) | Stearic (C18:0) | Oleic (C18:1n9c+t) | Linoleic (C18:2n6c) | α-Linolenic (C18:3n3) | Lignoceric (C24:0) | |
|---|---|---|---|---|---|---|---|
| (1) Se_0 | 7.89 ± 0.08 ab | 0.11 ± 0.01 | 1.63 ± 0.00 ab | 12.90 ± 0.05 e | 76.84 ± 0.13 a | 0.50 ± 0.01 a | 0.13 ± 0.01 a |
| (2) SeO3_30 | 7.95 ± 0.04 a | 0.11 ± 0.00 | 1.62 ± 0.01 ab | 13.97 ± 0.04 a | 75.75 ± 0.07 c | 0.48 ± 0.01 b | 0.12 ± 0.01 a |
| (3) SeO3_60 | 7.79 ± 0.02 b | 0.11 ± 0.00 | 1.64 ± 0.02 a | 13.78 ± 0.03 b | 76.16 ± 0.05 b | 0.50 ± 0.00 a | 0.11 ± 0.01 b |
| (4) SeO4_30 | 7.88 ± 0.04 ab | 0.11 ± 0.00 | 1.62 ± 0.01 ab | 13.70 ± 0.02 c | 76.04 ± 0.04 b | 0.50 ± 0.01 a | 0.13 ± 0.00 ab |
| (5) SeO4_60 | 7.85 ± 0.09 ab | 0.11 ± 0.00 | 1.61 ± 0.01 b | 13.08 ± 0.03 d | 76.75 ± 0.09 a | 0.50 ± 0.00 a | 0.11 ± 0.01 b |
| Average | 7.86 | 0.11 | 1.62 | 13.49 | 76.31 | 0.50 | 0.12 |
| Treatment | Source of Se | Dose of Se (g ha−1) |
|---|---|---|
| (1) Se_0 | Control | 0 |
| (2) SeO3_30 | Na2SeO3 | 30 |
| (3) SeO3_60 | 60 | |
| (4) SeO4_30 | Na2SeO4 | 30 |
| (5) SeO4_60 | 60 |
| Month | Temperature (°C) 2022–2023 | Temperature (°C) LTM | Precipitations (mm) 2023–2022 | Precipitations (mm) LTM |
|---|---|---|---|---|
| October | 13.6 | 12.0 | 12.0 | 59.3 |
| November | 7.9 | 7.1 | 78.0 | 51.4 |
| December | 4.7 | 2.4 | 59.8 | 48.1 |
| January | 4.7 | 0.8 | 65.3 | 44.0 |
| February | 3.8 | 2.5 | 53.5 | 46.3 |
| March | 8.8 | 7.0 | 27.9 | 42.4 |
| April | 10.9 | 12.8 | 76.0 | 47.2 |
| May | 17.3 | 17.5 | 99.2 | 81.4 |
| June | 21.3 | 21.8 | 51.8 | 75.6 |
| July | 24.2 | 23.4 | 56.3 | 58.6 |
Disclaimer/Publisher’s Note: The statements, opinions and data contained in all publications are solely those of the individual author(s) and contributor(s) and not of MDPI and/or the editor(s). MDPI and/or the editor(s) disclaim responsibility for any injury to people or property resulting from any ideas, methods, instructions or products referred to in the content. |
© 2024 by the authors. Licensee MDPI, Basel, Switzerland. This article is an open access article distributed under the terms and conditions of the Creative Commons Attribution (CC BY) license (https://creativecommons.org/licenses/by/4.0/).
Share and Cite
Varga, I.; Moslavac, T.; Flanjak, I.; Iljkić, D.; Pospišil, M.; Lončarić, Z.; Antunović, M. White-Seeded Culinary Poppy (Papaver somniferum L.) Se Biofortification: Oil Quality, Fatty Acid Profile, and Seed Yield. Plants 2025, 14, 95. https://doi.org/10.3390/plants14010095
Varga I, Moslavac T, Flanjak I, Iljkić D, Pospišil M, Lončarić Z, Antunović M. White-Seeded Culinary Poppy (Papaver somniferum L.) Se Biofortification: Oil Quality, Fatty Acid Profile, and Seed Yield. Plants. 2025; 14(1):95. https://doi.org/10.3390/plants14010095
Chicago/Turabian StyleVarga, Ivana, Tihomir Moslavac, Ivana Flanjak, Dario Iljkić, Milan Pospišil, Zdenko Lončarić, and Manda Antunović. 2025. "White-Seeded Culinary Poppy (Papaver somniferum L.) Se Biofortification: Oil Quality, Fatty Acid Profile, and Seed Yield" Plants 14, no. 1: 95. https://doi.org/10.3390/plants14010095
APA StyleVarga, I., Moslavac, T., Flanjak, I., Iljkić, D., Pospišil, M., Lončarić, Z., & Antunović, M. (2025). White-Seeded Culinary Poppy (Papaver somniferum L.) Se Biofortification: Oil Quality, Fatty Acid Profile, and Seed Yield. Plants, 14(1), 95. https://doi.org/10.3390/plants14010095

