Comparative Bioactive Compounds and Mineral Properties of South African and Lesotho Artemisia afra (Jacq.) Genotypes
Abstract
1. Introduction
2. Results
2.1. Phytochemicals
2.1.1. Qualitative Analysis
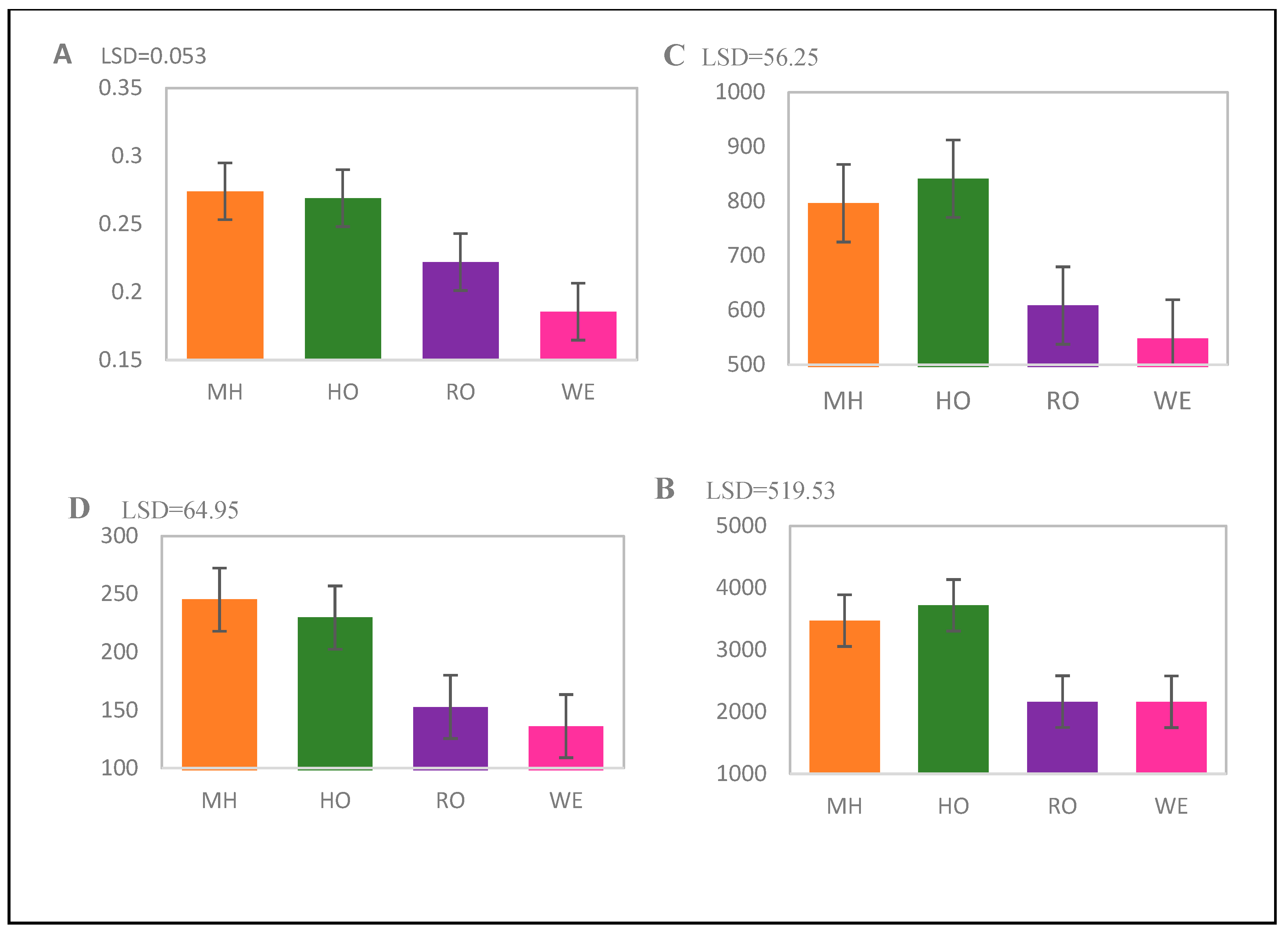
2.1.2. Quantitative Analysis
2.2. Mineral Contents
2.2.1. Foliar Mineral Contents
2.2.2. Principal Component Analysis (PCA)
3. Discussion
4. Materials and Methods
4.1. Research Site Description
4.2. Sample Preparation and Extraction
4.2.1. Chemicals and Standards Used
4.2.2. Phytochemical Screening Tests
4.2.3. Flavonoids
4.2.4. Tannins
4.2.5. Phenols
4.2.6. Terpenoids
4.2.7. Steroids
4.2.8. Saponins
4.2.9. Alkaloids
4.3. Quantitative Analysis
4.3.1. Total Flavonoids Content
4.3.2. Total Ascorbic Acid (Vitamin C) Content
4.3.3. Total Phenolic Content
4.3.4. Tannin Content
4.4. Mineral Content Determination
4.5. Statistical Analysis
5. Conclusions
Author Contributions
Funding
Data Availability Statement
Conflicts of Interest
References
- Refaz, D.; Iram, S.; Mohd, S.; Parvaiz, Q.; Inshad, K. Antimicrobial potential of fungal endophytes from selected high value medicinal plants of the Kashmir valley-India. J. Phytopharm. 2017, 6, 307–310. [Google Scholar] [CrossRef]
- World Health Organization. Regional Committee for Africa, 70. Progress Report on the Implementation of the Regional Strategy on Enhancing the Role of Traditional Medicine in Health Systems 2013–2023: Information Document. World Health Organization, Regional Office for Africa. 2020. Available online: https://iris.who.int/handle/10665/334009 (accessed on 18 December 2023).
- Lin, D.; Xiao, M.; Zhao, J.; Li, Z.; Xing, B.; Li, X.; Kong, M.; Li, L.; Zhang, Q.; Liu, Y.; et al. An overview of plant phenolic compounds and their importance in human nutrition and management of type 2 diabetes. Molecules 2016, 21, 1374. [Google Scholar] [CrossRef] [PubMed]
- Pandey, K.B.; Rizvi, S.I. Plant polyphenols as dietary antioxidants in human health and disease. Oxidative Med. Cell. Longev. 2009, 2, 270–278. [Google Scholar] [CrossRef] [PubMed]
- Wake, G.; Court, J.; Pickering, A.; Lewis, R.; Wilkins, R.; Perry, E. CNS acetylcholine receptor activity in European medicinal plants traditionally used to improve failing memory. J. Ethnopharmacol. 2000, 69, 105–114. [Google Scholar] [CrossRef] [PubMed]
- Guarrera, P.M. Traditional phytotherapy in central Italy (Marche, Abruzzo, and Latium). Fitoterapia 2005, 76, 1–25. [Google Scholar] [CrossRef] [PubMed]
- Thring, T.S.; Weitz, F.M. Medicinal plant use in the Bredasdorp/Elim region of the southern Overberg in the Western Cape province of South Africa. J. Ethnopharmacol. 2006, 103, 261–275. [Google Scholar] [CrossRef] [PubMed]
- Kane, N.F.; Kyama, M.C.; Nganga, J.K.; Hassanali, A.; Diallo, M.; Kimani, F.T. Comparison of phytochemical profiles and antimalarial activities of Artemisia afra plant collected from five countries in Africa. S. Afr. J. Bot. 2019, 125, 126–133. [Google Scholar] [CrossRef]
- Duke, J.A. Handbook of Phytochemical Constituents of Grass, Herbs and Other Economic Plants; CRC Press: Boca Raton, FL, USA, 1992; pp. 106–204. [Google Scholar]
- Vladimir, K.; Ludmila, M. Glycosides in medicine: The role of glycosidic residue in biological activity. Curr. Med. Chem. Res. 2001, 8, 1303–1328. [Google Scholar]
- Hisanori, A.; Kazuyasu, F.; Osamu, Y.; Takashi, O.; Keiji, I. Antibacterial action of several tannins against Staphylococcus aureus. J. Antimicrob. Chemother. Res. 2001, 48, 487–491. [Google Scholar]
- Panche, A.; Diwan, A.; Chandra, S. Flavonoids: An overview. J. Nutr. Sci. 2016, 5, 47. [Google Scholar] [CrossRef]
- Clark, J.L.; Zahradka, P.; Taylor, C.G. Efficacy of flavonoids in the management of high blood pressure. Nutr. Rev. 2015, 73, 799–822. [Google Scholar] [CrossRef]
- Mahdavi, A.; Moradi, P.; Mastinu, A. Variation in terpene profiles of Thymus vulgaris in water deficit stress response. Molecules 2020, 25, 1091. [Google Scholar] [CrossRef] [PubMed]
- Sharma, A.; Shahzad, B.; Rehman, A.; Bhardwaj, R.; Landi, M.; Zheng, B. Response of Phenylpropanoid Pathway and the Role of Polyphenols in Plants under Abiotic Stress. Molecules 2019, 24, 2452. [Google Scholar] [CrossRef] [PubMed]
- Wang, L.; Shan, T.; Xie, B.; Ling, C.; Shao, S.; Jin, P.; Zheng, Y. Glycine betaine reduces chilling injury in peach fruit by enhancing phenolic and sugar metabolisms. Food Chem. 2019, 272, 530–538. [Google Scholar] [CrossRef] [PubMed]
- Tong, Z.; He, W.; Fan, X.; Guo, A. Biological function of plant tannin and its application in animal health. Front. Vet. Sci. 2022, 8, 803657. [Google Scholar] [CrossRef] [PubMed]
- Chung, K.T.; Wong, T.Y.; Wei, C.I.; Huang, Y.W.; Lin, Y. Tannins and human health: A review. Crit. Rev. Food Sci. Nutr. 1998, 38, 421–464. [Google Scholar] [CrossRef] [PubMed]
- Chaves, N.; Escuder, J.C. Variation of flavonoid synthesis induced by ecological factors. In Principles and Practices in Plant Ecology—Allochemical Interactions; Inderjit, K., Dakshini, M.M., Foy, C.L., Eds.; CRC Press: Boca Raton, FL, USA, 1999; pp. 267–285. [Google Scholar]
- Boufennara, S.; Lopez, S.; Bousseboua, H.; Bodas, R.; Bouazza, L. Chemical composition and digestibility of some browse plant species collected from Algerian arid rangelands. Span. J. Agric. Res. 2012, 10, 88–98. [Google Scholar] [CrossRef]
- Lutgen, P. Tannins in Artemisia: The hidden treasure of prophylaxis. Pharm. Pharmacol. Int. J. 2018, 6, 176–181. [Google Scholar] [CrossRef][Green Version]
- Bartoli, C.G.; Tambussi, E.A.; Diego, F.; Foyer, C.H. Control of ascorbic acid synthesis and accumulation and glutathione by the incident light red/far red ratio in Phaseolus vulgaris leaves. FEBS Lett. 2009, 583, 118–122. [Google Scholar] [CrossRef]
- Heyneke, E.; Luschin-Ebengreuth, N.; Krajcer, I.; Wolkinger, V.; Muller, M.; Zechmann, B. Dynamic compartment specific changes in glutathione and ascorbate levels in Arabidopsis plants exposed to different light intensities. BMC Plant Biol. 2013, 13, 104. [Google Scholar] [CrossRef]
- Yabuta, Y.; Mieda, T.; Rapolu, M.; Nakamura, A.; Motoki, T.; Maruta, T.; Yoshimura, K.; Ishikawa, T.; Shigeoka, S. Light regulation of ascorbate biosynthesis is dependent on the photosynthetic electron transport chain but independent of sugars in Arabidopsis. J. Exp. Bot. 2007, 58, 2661–2671. [Google Scholar] [CrossRef] [PubMed]
- Grillet, L.; Ouerdane, L.; Flis, P.; Hoang, M.T.; Isaure, M.P.; Lobinski, R.; Curie, C.; Mari, S. Ascorbate efflux as a new strategy for iron reduction and transport in plants. J. Biol. Chem. 2014, 289, 2515–2525. [Google Scholar] [CrossRef] [PubMed]
- Levine, M. New concepts in the biology and biochemistry of ascorbic acid. N. Engl. J. Med. 1986, 314, 892–902. [Google Scholar] [CrossRef] [PubMed]
- Levine, M.; Cantilena, C.C.; Dhariwal, K.R. Determination of optimal vitamin C requirements in humans. Am. J. Clin. Nutr. 1995, 62, 1347S–1356S. [Google Scholar] [CrossRef] [PubMed]
- Qin, Y.; Pan, X.; Kubicek, C.; Druzhinina, I.; Chenthamara, K.; Labbé, J.; Yuan, Z. Diverse plant-associated Pleosporalean fungi from saline areas: Ecological tolerance and nitrogen-status dependent effects on plant growth. Front. Microbiol. 2017, 8, 158. [Google Scholar] [CrossRef] [PubMed]
- Dos Santos, T.B.; Ribas, A.F.; de Souza, S.G.H.; Budzinski, I.G.F.; Domingues, D.S. Physiological responses to drought, salinity, and heat stress in plants: A Review. Stresses 2022, 2, 113–135. [Google Scholar] [CrossRef]
- Rouached, H.; Seung, Y.R. System-level understanding of plant mineral nutrition in the big data era. Curr. Opin. Syst. Biol. 2017, 4, 71–77. [Google Scholar] [CrossRef]
- Pallardy, S.G. Physiology of Woody Plants, 3th ed.; Academic Press: San Diego, CA, USA, 2008; pp. 154–250. [Google Scholar]
- Agbu, P.A.; Olson, K.R. Spatial variability of soil properties in selected Illinois Mollisols. Soil Sci. 1990, 150, 777–786. [Google Scholar] [CrossRef]
- Marschner, H. Functions of mineral nutrients: Micronutrients. In Mineral Nutrition of Higher Plants, 2nd ed.; Academic Press: London, UK, 1995; pp. 313–404. [Google Scholar]
- Barnard, R.O.; du Preez, C.C. Soil fertility in South Africa: The last twenty five years. S. Afr. J. Plant Soil 2004, 21, 301–315. [Google Scholar] [CrossRef]
- Sedibe, M.M.; Rafiri, M.A.; Dikane, G.M.H.; Achilonu, M.C.; Nkosi, S.M.; Ngubane, X.V.; Pierneef, R. Diversity analysis of southern African Artemisia afra using a single nucleotide polymorphism derived from diversity arrays. J. Appl. Res. Med. Aromat. Plants 2024, 38, 100523. [Google Scholar] [CrossRef]
- Ghorbani, J.; Tayab, A.; Shokric, M.; Naserid, H.R. Comparison of Whittaker and Modified-Whittaker estimate species richness in semi-arid grassland and shrubland. Desert 2011, 16, 17–22. [Google Scholar]
- Wakawa, A.I.; Sambo, A.B.; Yusuf, S. Phytochemistry and proximate composition of root, stem bark, leaf and fruit of desert date, Balanites aegyptiaca. J. Phytopharm. 2018, 7, 464–470. [Google Scholar] [CrossRef]
- Ezeonu, C.S.; Ejikeme, C.M. Qualitative and Quantitative determination of phytochemical contents of indigenous Nigerian softwoods. New J. Sci. 2016, 16, 9. [Google Scholar] [CrossRef]
- Joshi, B.; Sah, G.P.; Basnet, B.B.; Bhatt, M.R.; Sharma, D.; Subedi, K.; Pandey, J.; Malla, R. Phytochemical extraction and antimicrobial properties of different medicinal plants: Ocimum sanctum (Tulsi), Eugenia caryophyllata (Clove), Achyranthes bidentata (Datiwan) and Azadirachta indica (Neem). J. Microbiol. Antimicrob. 2011, 3, 1–7. [Google Scholar]
- Matejovic, I. The application of Dumas method for determination of carbon, nitrogen, and sulphur in plant samples. Rostl. Vyrob. 1996, 42, 313–316. [Google Scholar]
- Etheridge, D.M.; Steele, L.P.; Langenfelds, R.L.; Francey, R.J.; Barnola, J.; Morgan, M. Natural and anthropogenic changes in atmospheric CO2 over the last 1000 years from air in Antarctic ice and firn. Adv. Earth Space Sci. 1996, 101, 4115–4128. [Google Scholar] [CrossRef]
- Zasoski, R.J.; Burau, R.G. A rapid nitric-perchloric acid digestion method for multi-element tissue analysis. Commun. Soil Sci. Plant Anal. 1977, 8, 425–436. [Google Scholar] [CrossRef]
- Sahrawat, K.L. A Rapid Non-Digestion method for determination of potassium in plant tissue. Commun. Soil Sci. Plant Anal. 1980, 11, 753–757. [Google Scholar] [CrossRef]
- Amusa, O.D.; Ogunkanmi, L.A.; Bolarinwa, K.; Ojobo, O. Evaluation of four cowpea lines for bruchid (Callosobruchus maculatus) tolerance. J. Natl. Sci. Res. 2013, 3, 46–52. [Google Scholar]



| Phytochemicals | Wepener | Hobhouse | Mohale’s Hoek | Roma | ||||||||||||||||
|---|---|---|---|---|---|---|---|---|---|---|---|---|---|---|---|---|---|---|---|---|
| 1 | 2 | 3 | 4 | 5 | 1 | 2 | 3 | 4 | 5 | 1 | 2 | 3 | 4 | 5 | 1 | 2 | 3 | 4 | 5 | |
| Flavonoids | ||||||||||||||||||||
| NaOH test | + | − | − | − | − | + | + | + | − | + | − | − | + | − | − | − | − | − | − | − |
| FeCl3 test | − | ++ | ++ | ++ | + | + | + | + | − | + | ++ | ++ | + | +++ | + | ++ | ++ | +++ | + | +++ |
| Tannins | ++ | ++ | ++ | ++ | + | ++ | + | − | + | + | ++ | ++ | ++ | +++ | + | ++ | ++ | +++ | ++ | +++ |
| Phenolics | + | +++ | +++ | +++ | +++ | +++ | +++ | ++ | + | +++ | ++ | ++ | +++ | +++ | ++ | ++ | +++ | ++ | ++ | +++ |
| Terpenoids | ++ | ++ | ++ | +++ | ++ | ++ | +++ | ++ | − | ++ | + | ++ | + | + | − | + | + | +++ | + | ++ |
| Steroids | ++ | ++ | ++ | ++ | + | + | ++ | + | ++ | + | ++ | +++ | ++ | +++ | ++ | ++ | +++ | +++ | ++ | +++ |
| Saponins | − | + | + | + | + | + | ++ | + | − | + | + | +++ | + | − | + | + | + | − | − | + |
| Alkaloids | ||||||||||||||||||||
| Wagner’s test | ++ | + | + | + | +++ | + | + | + | ++ | + | +++ | − | + | ++ | ++ | + | + | + | ++ | ++ |
| Foliar Minerals (mg kg−1) | |||||
|---|---|---|---|---|---|
| Location | N% | P | Ca | Mg | K |
| Hobhouse | 0.39 ± 0.07 bc | 1.92 ± 0.16 bc | 17.27 ± 0.37 a | 6.52 ± 1.36 a | 1289.00 ± 102.47 a |
| Mohale’s Hoek | 0.56 ± 0.12 a | 2.09 ± 0.24 ab | 16.26 ± 2.46 a | 4.66 ± 0.51 a | 1346.93 ± 145.60 a |
| Roma | 0.43 ± 0.08 ab | 1.72 ± 0.06 c | 10.20 ± 1.30 b | 10.37 ± 1.98 b | 1166.87 ± 165.04 a |
| Wepener | 0.30 ± 0.02 c | 2.27 ± 0.26 a | 14.67 ± 2.84 a | 10.81 ± 1.64 b | 1278.25 ± 55.49 a |
| LSDT 0.05 | 0.12 | 0.31 | 2.96 | 2.48 | 223.3 |
| p-value | ** | * | *** | *** | ns |
| Na | Fe | Cu | Zn | Mn | |
| Hobhouse | 109.14 ± 6.05 a | 102.60 ± 114.3 a | 3.68 ± 2.31 a | 35.43 ± 6.97 a | 15.25 ± 1.78 b |
| Mohale’s Hoek | 103.68 ± 7.02 a | 79.75 ± 60.66 a | 9.02 ± 4.15 a | 36.05 ± 5.18 a | 26.93 ± 7.35 a |
| Roma | 105.69 ± 3.49 a | 178.78 ± 38.69 a | 5.33 ± 1.16 a | 32.60 ± 4.97 a | 21.75 ± 3.23 ab |
| Wepener | 104.21 ± 10.02 a | 110.38 ± 121.49 a | 5.77 ± 3.19 a | 32.25 ± 4.28 a | 24.15 ± 2.96 a |
| LSDT 0.05 | 11.44 | 154.73 | 3.89 | 8.82 | 6.65 |
| p-value | ns | ns | ns | ns | * |
| Location | P | K | Ca | Na | Mg | Cu | Zn | Fe | Mn | Available N | pH | *OC% | **CEC |
|---|---|---|---|---|---|---|---|---|---|---|---|---|---|
| mg kg−1 | |||||||||||||
| Wepener | 3.4 | 100 | 4597 | 50.04 | 1130 | 1.3 | 3.7 | 36.5 | 7.49 | 112 | 5.37 | 8.95 | 34.12 |
| Roma | 2.7 | 332 | 6410 | 45.46 | 318 | 1.2 | 8.1 | 34.4 | 5.13 | 112 | 6.86 | 1.59 | 31.83 |
| Mohale’s Hoek | 2.1 | 212 | 8665 | 54.28 | 663 | 1.6 | 0.9 | 13.8 | 6.52 | 84 | 5.45 | 4.77 | 35.56 |
| Hobhouse | 2.2 | 354 | 895 | 49.30 | 582 | 1.2 | 5.8 | 18.7 | 4.52 | 140 | 7.08 | 10.74 | 32.75 |
Disclaimer/Publisher’s Note: The statements, opinions and data contained in all publications are solely those of the individual author(s) and contributor(s) and not of MDPI and/or the editor(s). MDPI and/or the editor(s) disclaim responsibility for any injury to people or property resulting from any ideas, methods, instructions or products referred to in the content. |
© 2024 by the authors. Licensee MDPI, Basel, Switzerland. This article is an open access article distributed under the terms and conditions of the Creative Commons Attribution (CC BY) license (https://creativecommons.org/licenses/by/4.0/).
Share and Cite
Rafiri, M.; Sedibe, M.M.; Dikane, G.M.H. Comparative Bioactive Compounds and Mineral Properties of South African and Lesotho Artemisia afra (Jacq.) Genotypes. Plants 2024, 13, 1126. https://doi.org/10.3390/plants13081126
Rafiri M, Sedibe MM, Dikane GMH. Comparative Bioactive Compounds and Mineral Properties of South African and Lesotho Artemisia afra (Jacq.) Genotypes. Plants. 2024; 13(8):1126. https://doi.org/10.3390/plants13081126
Chicago/Turabian StyleRafiri, Matumelo, Moosa Mahmood Sedibe, and Goitsemang Mahlomola Hendry Dikane. 2024. "Comparative Bioactive Compounds and Mineral Properties of South African and Lesotho Artemisia afra (Jacq.) Genotypes" Plants 13, no. 8: 1126. https://doi.org/10.3390/plants13081126
APA StyleRafiri, M., Sedibe, M. M., & Dikane, G. M. H. (2024). Comparative Bioactive Compounds and Mineral Properties of South African and Lesotho Artemisia afra (Jacq.) Genotypes. Plants, 13(8), 1126. https://doi.org/10.3390/plants13081126
