Selenium-Induced Enhancement in Growth and Rhizosphere Soil Methane Oxidation of Prickly Pear
Abstract
1. Introduction
2. Materials and Methods
2.1. Soil and Plant Materials
2.2. Pot Experiment
2.3. Determination of the Growth Characteristics of Prickly Pear
2.4. Determination of Rhizosphere Soil Properties
2.5. Determination of the Methane Oxidation Rate in Rhizosphere Soil
3. Data Analysis
4. Results
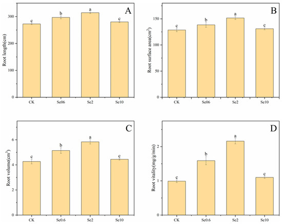
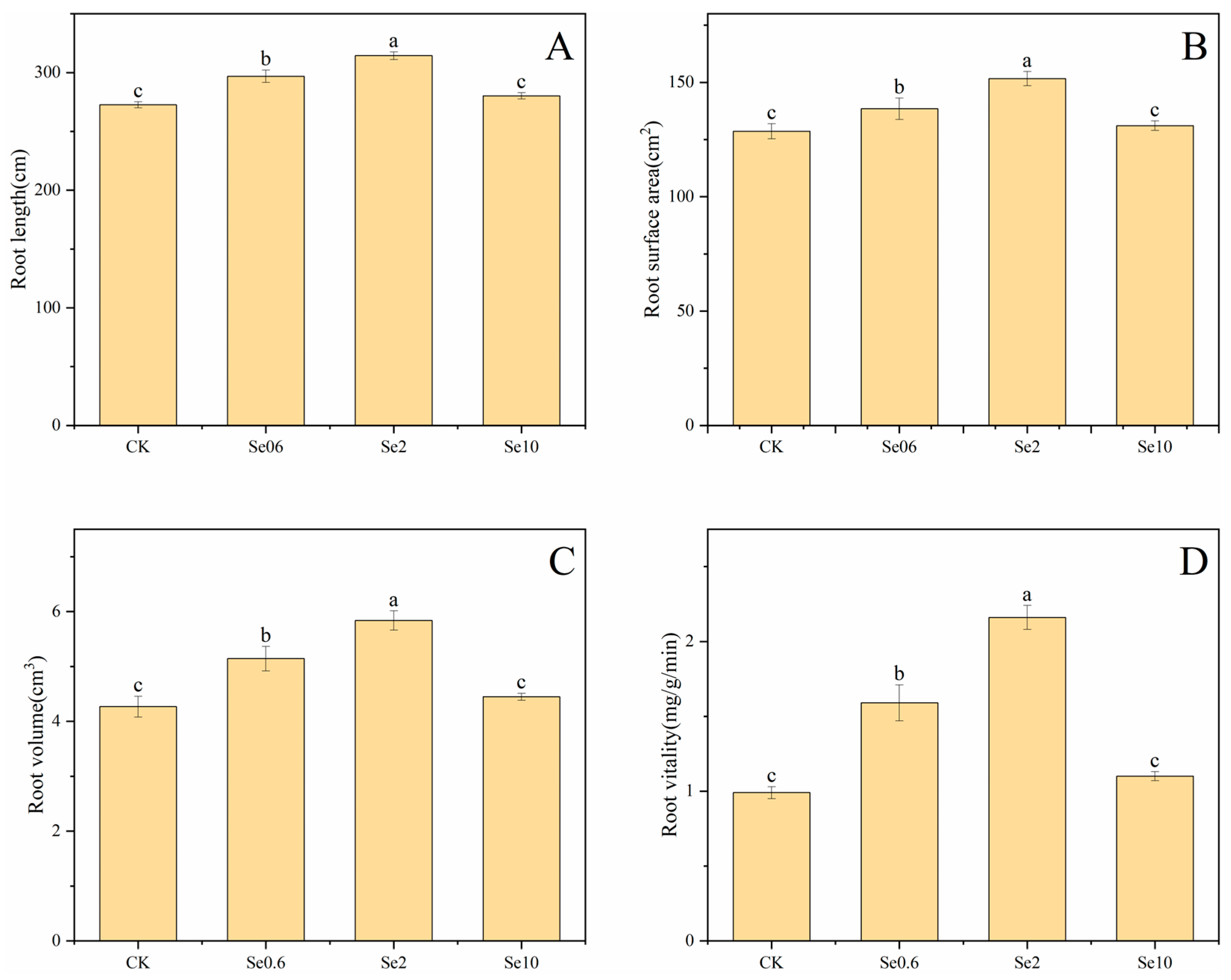
4.1. Effect of Se on Prickly Pear Growth
4.2. Effects of Se on the Photosynthetic Pigments in Prickly Pear Leaves
4.3. Effects of Se on Enzymes Activity, MDA, and Soluble Protein in Prickly Pear Leaves
4.4. Effect of Se on Se Allocation in Prickly Pear
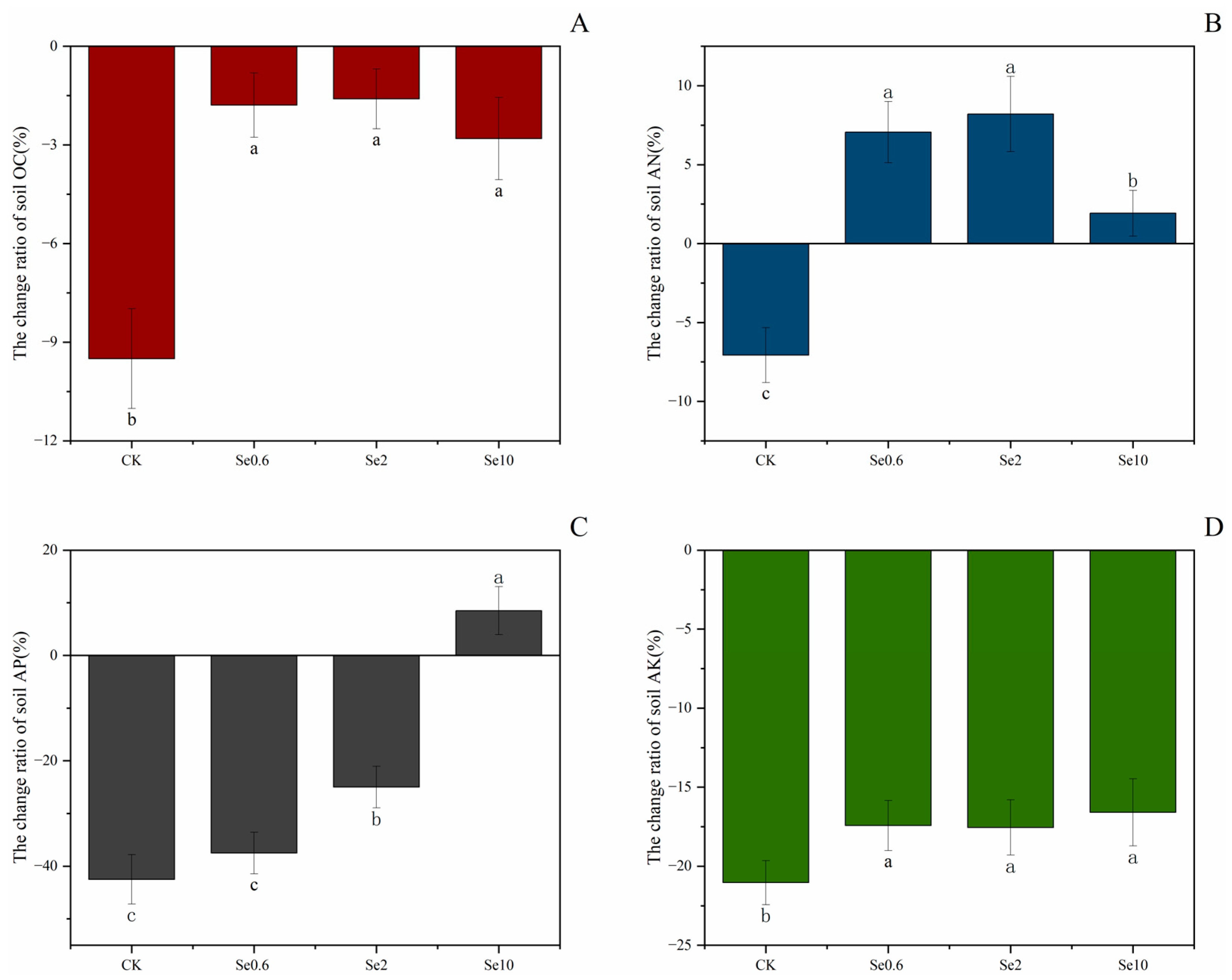
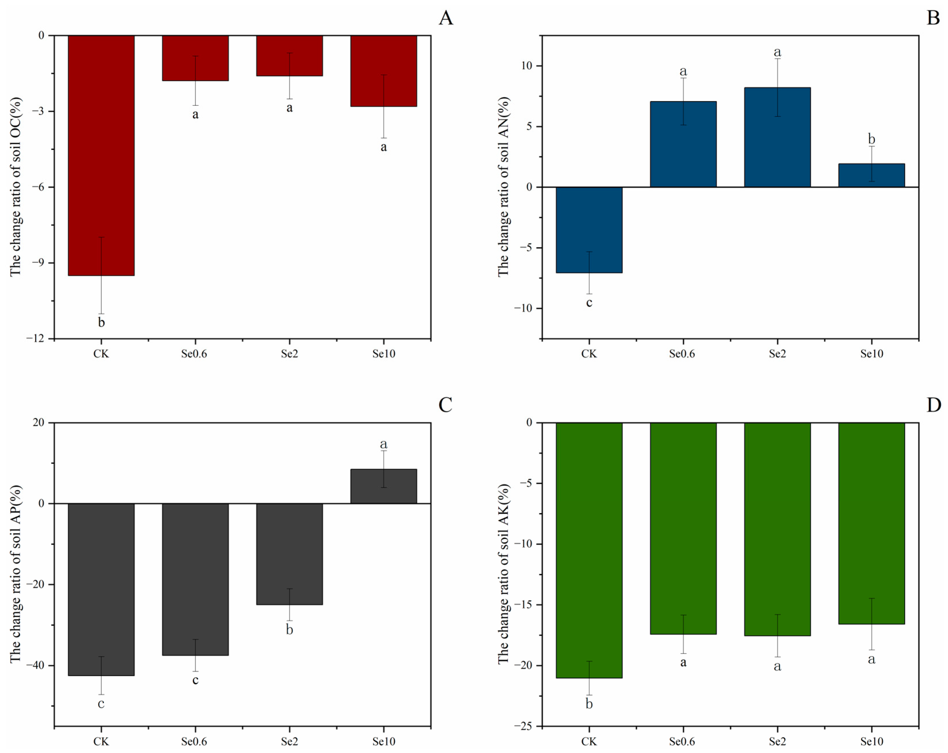
4.5. Effects of Se on the Rhizosphere Soil Properties of Prickly Pear
4.6. Effect of Se on the Methane Oxidation in Rhizosphere Soil
4.7. Overall Effects of Se on Growth, Soil Properties, and Methane Oxidation
5. Discussion
5.1. Effect of Se on Prickly Pear Growth
5.2. Effects of Se on the Photosynthetic Pigments in Prickly Pear Leaves
5.3. Effects of Se on Enzyme Activity, MDA, and Soluble Protein in Prickly Pear Leaves
5.4. Effect of Se on Se Accumulation in Prickly Pear
5.5. Effects of Se on the Rhizosphere Soil Properties of Prickly Pear
5.6. Effect of Se on the Methane Oxidation in Rhizosphere Soil
5.7. Overall Effects of Se on Growth, Soil Properties, and Methane Oxidation
6. Conclusions
Supplementary Materials
Author Contributions
Funding
Data Availability Statement
Acknowledgments
Conflicts of Interest
References
- Chen, N.; Zhao, C.H.; Zhang, T.H. Selenium transformation and selenium-rich foods. Food Biosci. 2021, 40, 100875. [Google Scholar] [CrossRef]
- Wadgaonkar, S.L.; Nancharaiah, Y.V.; Esposito, G.; Lens, P.N.L. Environmental impact and bioremediation of seleniferous soils and sediments. Crit. Rev. Biotechnol. 2018, 38, 941–956. [Google Scholar] [CrossRef] [PubMed]
- Zhou, X.B.; Yang, J.; Kronzucker, H.J.; Shi, W.M. Selenium Biofortification and Interaction with Other Elements in Plants: A Review. Front. Plant Sci. 2020, 11, 586421. [Google Scholar] [CrossRef] [PubMed]
- Wang, Z.Y.; Ding, Y.Z.; Ren, X.A.; Xie, J.W.; Kumar, S.; Zhang, Z.Q.; Wang, Q. Effect of micronutrient selenium on greenhouse gas emissions and related functional genes during goat manure composting. Bioresour. Technol. 2022, 349, 126805. [Google Scholar] [CrossRef] [PubMed]
- Duborská, E.; Sebesta, M.; Matulová, M.; Zverina, O.; Urík, M. Current Strategies for Selenium and Iodine Biofortification in Crop Plants. Nutrients 2022, 14, 4717. [Google Scholar] [CrossRef] [PubMed]
- Yang, X.F.; Ning, Z.P.; Kwon, S.Y.; Li, M.L.; Tack, F.M.G.; Kwon, E.E.; Rinklebe, J.; Yin, R.S. The beneficial and hazardous effects of selenium on the health of the soil-plant-human system: An overview. J. Hazard. Mater. 2022, 422, 126876. [Google Scholar] [CrossRef] [PubMed]
- Sun, M.F.; Wang, J.J.; Liu, W.; Yin, P.; Guo, G.Y.; Tong, C.L.; Chang, Y.L. Effect and mechanism of exogenous selenium on selenium content and quality of fresh tea leaves. Not. Bot. Horti Agrobot. 2022, 50, 12814. [Google Scholar] [CrossRef]
- Tang, W.; Tang, W.J.; Xie, Y.D.; Li, X.M.; Li, H.X.; Lin, L.J.; Huang, Z.; Sun, B.; Sun, G.C.; Tu, L.H.; et al. Effects of intercropping on Se accumulation and growth of pakchoi, lettuce and radish. Int. J. Phytoremediat. 2023, 25, 1165–1172. [Google Scholar] [CrossRef]
- Yao, F.X.; Wen, L.; Chen, R.; Du, C.; Su, S.M.; Yan, M.M.; Yang, Z.L. Enrichment characteristics and dietary evaluation of selenium in navel orange fruit from the largest navel orange-producing area in China (southern Jiangxi). Front. Plant Sci. 2022, 13, 881098. [Google Scholar] [CrossRef]
- Ning, P.; Fei, P.W.; Wu, T.Q.; Li, Y.F.; Qu, C.Y.; Li, Y.N.; Shi, J.L.; Tian, X.H. Combined foliar application of zinc sulphate and selenite affects the magnitude of selenium biofortification in wheat (Triticum aestivum L.). Food Energy Secur. 2022, 11, e342. [Google Scholar] [CrossRef]
- Liu, J.; Mo, A.; Ni, J.; Fan, X.; Jiang, Y. Selenium Reduces Rice Plant Tissues Cadmium and Increases the Yield, Quality, and Edible Safety of Rice Grain, and May Affect the Taste of Cooked Rice. J. Soil Sci. Plant Nutr. 2023, 23, 3461–3469. [Google Scholar] [CrossRef]
- Zhi, H.; Xia, Q.; Yang, Z.P.; Gao, Z.Q. Effects of selenium through soil application on soil fertility and grain quality in winter wheat. Appl. Ecol. Environ. Res. 2023, 21, 2383–2395. [Google Scholar] [CrossRef]
- de los Angeles Sarinana-Navarrete, M.; Guillermo Hernandez-Montiel, L.; Sanchez-Chavez, E.; Jose Reyes-Perez, J.; Murillo-Amador, B.; Reyes-Gonzalez, A.; Preciado-Rangel, P. Foliar fertilization of sodium selenite and its effects on yield and nutraceutical quality in grapevine. Rev. Fac. Agron. 2021, 38, 806–824. [Google Scholar]
- Xu, J.W.; Vidyarthi, S.K.; Bai, W.B.; Pan, Z.L. Nutritional constituents, health benefits and processing of Roxburghii: A review. J. Funct. Foods 2019, 60, 103456. [Google Scholar] [CrossRef]
- Huang, C.Y.; Cui, L.Y.; Lin, F.Q. Chemical Constituents and Research Progress on Biological Functions of Rosa roxburghii. Food Ind. 2023, 44, 174–180. [Google Scholar]
- Luo, Z.H.; Wang, B.; Huang, Q.; Li, Y.Y.; Guo, P.P.; Zeng, G.L.; Zhang, C.L.; Song, C. Geochemical Characterristics of Soil Selenium and Its Application in Selenium-rich Agriculture in Shuicheng County, Guizhou Province. Guizhou Deology 2020, 37, 502–511+525. [Google Scholar]
- Song, Q.; Niu, S.; Yang, Q.; Fan, J.; Yin, J. Study and Evaluation on Quality of Rosa roxburghii Leaves Tea with Different Processing Technology. Farm. Prod. Process. 2022, 32–37. [Google Scholar]
- Zhang, C.; Yan, K.; Lin, L.Z.; Fang, Y.M.; Zhang, X.Y. Effects of source-sink alteration by pruning on physiological parameters and fruit production of Tratt. on the Yunnan-Guizhou Plateau in China. Photosynthetica 2022, 60, 190–199. [Google Scholar] [CrossRef]
- Shakoor, A.; Ashraf, F.; Shakoor, S.; Mustafa, A.; Rehman, A.; Altaf, M.M. Biogeochemical transformation of greenhouse gas emissions from terrestrial to atmospheric environment and potential feedback to climate forcing. Environ. Sci. Pollut. R. 2020, 27, 38513–38536. [Google Scholar] [CrossRef]
- Knief, C. Diversity of Methane-cycling Microorganisms in Soils and Their Relation to Oxygen. Curr. Issues Mol. Biol. 2019, 33, 23–56. [Google Scholar] [CrossRef]
- Cui, J.; Zhang, M.; Chen, L.X.; Zhang, S.H.; Luo, Y.; Cao, W.W.; Zhao, J.; Wang, L.X.; Jia, Z.J.; Bao, Z.H. Methanotrophs Contribute to Nitrogen Fixation in Emergent Macrophytes. Front. Microbiol. 2022, 13, 851424. [Google Scholar] [CrossRef] [PubMed]
- Yang, K.; Ji, H.; Xing, Z.X.; Liu, G.C.; Yu, S.W.; Gu, J.X. Influence of Methanogens and Methanotrophs on Methane Generation and Oxidation in the Plant-Soil Ecological System. Oxid. Commun. 2016, 39, 8–16. [Google Scholar]
- Gar’kusha, D.N.; Fedorov, Y.A. Effect of plants on processes of methane cycle in bottom deposits and soil rhizosphere. Contemp. Probl. Ecol. 2016, 9, 771–782. [Google Scholar] [CrossRef]
- Schiavon, M.; Pilon-Smits, E.A.H. The fascinating facets of plant selenium accumulation—Biochemistry, physiology, evolution and ecology. New Phytol. 2017, 213, 1582–1596. [Google Scholar] [CrossRef] [PubMed]
- Feng, R.W.; Wang, L.Z.; Yang, J.G.; Zhao, P.P.; Zhu, Y.M.; Li, Y.P.; Yu, Y.S.; Liu, H.; Rensing, C.; Wu, Z.Y.; et al. Underlying mechanisms responsible for restriction of uptake and translocation of heavy metals (metalloids) by selenium via root application in plants. J. Hazard. Mater. 2021, 402, 123570. [Google Scholar] [CrossRef] [PubMed]
- Eswayah, A.S.; Smith, T.J.; Scheinost, A.C.; Hondow, N.; Gardiner, P.H.E. Microbial transformations of selenite by methane-oxidizing bacteria. Appl. Microbiol. Biot. 2017, 101, 6713–6724. [Google Scholar] [CrossRef]
- Luo, J.H.; Chen, H.; Hu, S.H.; Cai, C.; Yuan, Z.G.; Guo, J.H. Microbial Selenate Reduction Driven by a Denitrifying Anaerobic Methane Oxidation Biofilm. Environ. Sci. Technol. 2018, 52, 4006–4012. [Google Scholar] [CrossRef]
- Shi, L.D.; Lv, P.L.; McIlroy, S.J.; Wang, Z.; Dong, X.L.; Kouris, A.; Lai, C.Y.; Tyson, G.W.; Strous, M.; Zhao, H.P. Methane-dependent selenate reduction by a bacterial consortium. ISME J. 2021, 15, 3683–3692. [Google Scholar] [CrossRef]
- Dong, J.Z.; Wang, Y.; Wang, S.H.; Yin, L.P.; Xu, G.J.; Zheng, C.; Lei, C.; Zhang, M.Z. Selenium increases chlorogenic acid, chlorophyll and carotenoids of Lycium chinense leaves. J. Sci. Food Agric. 2013, 93, 310–315. [Google Scholar] [CrossRef]
- Bai, B.; Wang, Z.; Gao, L.; Chen, W.; Shen, Y. Effects of senlenite on the growth of alfalfa (Medicogo sativa L. cv. Sadie 7) and related physiological mechanisms. Acta Physiol. Plant 2019, 41, 78. [Google Scholar] [CrossRef]
- Zhang, Z.M.; He, H.Z.; Zhang, J.C.; Li, Q.; Liu, Y.Y. Effects of Ectomycorrhiza on the growth and distribution of carbon, nitrogen and phosphorus in seedless prickly pear. North Hortic. 2016, 151–154. [Google Scholar]
- Dai, H.P.; Jia, G.L. Effects of Se on the growth, tolerance, and antioxidative systems of three alfalfa cultivars. Environ. Sci. Pollut. R. 2017, 24, 15196–15201. [Google Scholar] [CrossRef] [PubMed]
- Lu, F.; Bu, Z.J.; Lu, S. Estimating Chlorophyll Content of Leafy Green Vegetables from Adaxial and Abaxial Reflectance. Sensors 2019, 19, 4059. [Google Scholar] [CrossRef]
- Aebi, H.J.M. Catalase in vitro. Methods Enzymol. 1984, 105, 121. [Google Scholar] [PubMed]
- Zhou, Z.S.; Wang, S.J.; Yang, Z.M. Biological detection and analysis of mercury toxicity to alfalfa (Medicago sativa) plants. Chemosphere 2008, 70, 1500–1509. [Google Scholar] [CrossRef] [PubMed]
- Jiang, L.; Ma, L.; Sui, Y.; Han, S.Q.; Wu, Z.Y.; Feng, Y.X.; Yang, H. Effect of manure compost on the herbicide prometryne bioavailability to wheat plants. J. Hazard. Mater. 2010, 184, 337–344. [Google Scholar] [CrossRef] [PubMed]
- Feng, R.W.; Wei, C.Y. Antioxidative mechanisms on selenium accumulation in Pteris vittata L. A potential selenium phytoremediation plant. Plant Soil Environ. 2012, 58, 105–110. [Google Scholar] [CrossRef]
- Rekowski, A.; Langenkämper, G.; Dier, M.; Wimmer, M.A.; Scherf, K.A.; Zörb, C. Determination of soluble wheat protein fractions using the Bradford assay. Cereal Chem. 2021, 98, 1059–1065. [Google Scholar] [CrossRef]
- Tavares, O.C.H.; Santos, L.A.; Ferreira, D.; Ferreira, L.M.; García, A.C.; Castro, T.A.V.; Zonta, E.; Pereira, M.G.; Fernandes, M.S. Response surface modeling of humic acid stimulation of the rice (Oryza sativa L.) root system. Arch. Agron. Soil Sci. 2021, 67, 1046–1059. [Google Scholar] [CrossRef]
- Wang, C.Z.; Zhang, D.J.; Zhang, J.; Ji, T.W.; Tang, Z.Q.; Zhao, Y.Y. Allelopathic effects of volatile compounds from Eucalyptus grandis on Vigna radiata, Raphanus sativus and Lactuca sativa. Allelopathy J. 2015, 36, 273–282. [Google Scholar]
- Bao, S.D. The Agricultural Chemical Analysis Method of Soil, 3rd ed.; China Agricultural Science and Technology Press: Beijing, China, 2000; pp. 25–75. [Google Scholar]
- Lu, R.K. Analytical Methods of Soil Agrochemistry, 3rd ed.; China Agricultural Science and Technology Press: Beijing, China, 2000; pp. 146–195. [Google Scholar]
- Jones, J.B. Soil testing in the united states. Commun. Soil Sci. Plan. 1973, 4, 307–322. [Google Scholar] [CrossRef]
- Ni, R.X.; Luo, K.L.; Tian, X.L.; Yan, S.G.; Zhong, J.T.; Liu, M.Q. Distribution and geological sources of selenium in environmental materials in Taoyuan County, Hunan Province, China. Environ. Geochem. Health 2016, 38, 927–938. [Google Scholar] [CrossRef] [PubMed]
- Zhang, Z.H.; Rengel, Z.; Meney, K. Cadmium Accumulation and Translocation in Four Emergent Wetland Species. Water Air Soil Poll. 2010, 212, 239–249. [Google Scholar] [CrossRef]
- Wang, Y.F.; Cai, Y.F.; Hou, F.J.; Saman, B.; Jia, Z.J. Grazing Effect on Activity and Diversity of Soil Methanotrophs in Winter Pastures of the Loess Plateau. Acta Pedol. Sin. 2023, 60, 1146–1155. [Google Scholar]
- Gultekin, R.; Avag, K.; Görgisen, C.; Öztürk, Ö.; Yeter, T.; Bahçeci Alsan, P. Effect of deficit irrigation practices on greenhouse gas emissions in drip irrigation. Sci. Hortic. 2023, 310, 111757. [Google Scholar] [CrossRef]
- Gilleland, E.; Viii, G.; R Development Core Team. R: A Language and Environment for Statistical Computing; R Foundation for Statistical Computing: Vienna, Austria, 2014. [Google Scholar]
- Kassambara, A.; Mundt, F. Factoextra: Extract and Visualize the Results of Multivariate Data Analyses; Cambridge University Press: Cambridge, UK, 2017. [Google Scholar]
- Le, S.; Josse, J.; Husson, F. FactoMineR: An R package for multivariate analysis. J. Stat. Softw. 2008, 25, 1–18. [Google Scholar] [CrossRef]
- Li, Y.; Xiao, Y.R.; Hao, J.H.; Fan, S.X.; Dong, R.F.; Zeng, H.H.; Liu, C.J.; Han, Y.Y. Effects of selenate and selenite on selenium accumulation and speciation in lettuce. Plant Physiol. Biochem. 2022, 192, 162–171. [Google Scholar] [CrossRef] [PubMed]
- Yuan, L.X.; Zhu, Y.Y.; Lin, Z.Q.; Banuelos, G.; Li, W.; Yin, X.B. A Novel Selenocystine-Accumulating Plant in Selenium-Mine Drainage Area in Enshi, China. PLoS ONE 2013, 8, e65615. [Google Scholar] [CrossRef]
- Xu, L.P.; Zhang, L.Y.; Yi, B.; Zhang, Z.Q. Genetic dissection of photosynthetic pigment content diversity and identification of loci associated with photoperiod and alkaline soil responses. Ind. Crop Prod. 2022, 186, 115294. [Google Scholar] [CrossRef]
- Dumont, E.; Vanhaecke, F.; Cornelis, R. Selenium speciation from food source to metabolites: A critical review. Anal. Bioanal. Chem. 2006, 385, 1304–1323. [Google Scholar] [CrossRef]
- Habibi, G. Effect of drought stress and selenium spraying on photosynthesis and antioxidant activity of spring barley. Acta Agric. Slov. 2013, 101, 31–39. [Google Scholar] [CrossRef]
- Saffaryazdi, A.; Lahouti, M.; Ganjeali, A.; Bayat, H.J.N.S.B. Impact of selenium supplementation on growth and selenium accumulation on spinach (Spinacia oleracea L.). Plants 2012, 4, 95–100. [Google Scholar] [CrossRef]
- Van Hoewyk, D. A tale of two toxicities: Malformed selenoproteins and oxidative stress both contribute to selenium stress in plants. Ann. Bot. 2013, 112, 965–972. [Google Scholar] [CrossRef] [PubMed]
- Galasso, C.; Corinaldesi, C.; Sansone, C. Carotenoids from Marine Organisms: Biological Functions and Industrial Applications. Antioxidants 2017, 6, 96. [Google Scholar] [CrossRef]
- Mostofa, M.G.; Hossain, M.A.; Siddiqui, M.N.; Fujita, M.; Tran, L.S.P. Phenotypical, physiological and biochemical analyses provide insight into selenium-induced phytotoxicity in rice plants. Chemosphere 2017, 178, 212–223. [Google Scholar] [CrossRef] [PubMed]
- Seppänen, M.; Turakainen, M.; Hartikainen, H. Selenium effects on oxidative stress in potato. Free Radic. Res. 2003, 37, 46. [Google Scholar] [CrossRef]
- Wang, J.M.; Cappa, J.J.; Harris, J.P.; Edger, P.P.; Zhou, W.; Pires, J.C.; Adair, M.; Unruh, S.A.; Simmons, M.P.; Schiavon, M.; et al. Transcriptome-wide comparison of selenium hyperaccumulator and nonaccumulator species provides new insight into key processes mediating the hyperaccumulation syndrome. Plant Biotechnol. J. 2018, 16, 1582–1594. [Google Scholar] [CrossRef]
- Gouveia, G.C.C.; Galindo, F.S.; Lanza, M.G.D.B.; Silva, A.C.D.; Mateus, M.P.D.; da Silva, M.S.; Tavanti, R.F.R.; Tavanti, T.R.; Lavres, J.; dos Reis, A.R. Selenium toxicity stress-induced phenotypical, biochemical and physiological responses in rice plants: Characterization of symptoms and plant metabolic adjustment. Ecotoxicol. Environ. Saf. 2020, 202, 110916. [Google Scholar] [CrossRef]
- Sun, M.F.; Hui, X.R.; Tong, C.L.; Yuan, L.Y.; Zhang, D.J. The Physiological and Molecular Responses of Exogenous Selenium to Selenium Content and Fruit Quality in Walnut. Phyton-Int. J. Exp. Bot. 2022, 92, 851–860. [Google Scholar] [CrossRef]
- Xu, Y.M.; Guo, Y.K.; Bai, J.G.; Shang, L.; Wang, X.J. Effects of long-term chilling on ultrastructure and antioxidant activity in leaves of two cucumber cultivars under low light. Physiol. Plant 2008, 132, 467–478. [Google Scholar] [CrossRef]
- Feng, R.W.; Wei, C.Y.; Tu, S.X. The roles of selenium in protecting plants against abiotic stresses. Environ. Exp. Bot. 2013, 87, 58–68. [Google Scholar] [CrossRef]
- Zhao, Y.G.; Wu, P.T.; Wang, Y.K.; Feng, H. Different approaches for selenium biofortification of pear-jujube (M. cv. Lizao) and associated effects on fruit quality. J. Food Agric. Environ. 2013, 11, 529–534. [Google Scholar]
- Van Hoewyk, D.; Takahashi, H.; Inoue, E.; Hess, A.; Tamaoki, M.; Pilon-Smits, E.A.H. Transcriptome analyses give insights into selenium-stress responses and selenium tolerance mechanisms in Arabidopsis. Physiol. Plant 2008, 132, 236–253. [Google Scholar] [CrossRef] [PubMed]
- Li, X.; Wu, Y.; Li, B.; Yang, Y.; Yang, Y. Selenium Accumulation Characteristics and Biofortification Potentiality in Turnip (Brassica rapa var. rapa) Supplied with Selenite or Selenate. Front. Plant Sci. 2018, 8, 2207. [Google Scholar] [CrossRef] [PubMed]
- Sors, T.G.; Ellis, D.R.; Salt, D.E. Selenium uptake, translocation, assimilation and metabolic fate in plants. Photosynth. Res. 2005, 86, 373–389. [Google Scholar] [CrossRef] [PubMed]
- Zhang, L.H.; Hu, B.; Li, W.; Che, R.H.; Deng, K.; Li, H.; Yu, F.Y.; Ling, H.Q.; Li, Y.J.; Chu, C.C. OsPT2, a phosphate transporter, is involved in the active uptake of selenite in rice. New Phytol. 2014, 201, 1183–1191. [Google Scholar] [CrossRef] [PubMed]
- Li, H.F.; McGrath, S.P.; Zhao, F.-J. Selenium uptake, translocation and speciation in wheat supplied with selenate or selenite. New Phytol. 2008, 178, 92–102. [Google Scholar] [CrossRef]
- Ríos, J.J.; Blasco, B.; Cervilla, L.M.; Rubio-Wilhelmi, M.M.; Ruiz, J.M.; Romero, L. Regulation of sulphur assimilation in lettuce plants in the presence of selenium. Plant Growth Regul. 2008, 56, 43–51. [Google Scholar] [CrossRef]
- Wu, L.N.; Jiang, Y.; Zhao, F.Y.; He, X.F.; Liu, H.F.; Yu, K. Increased organic fertilizer application and reduced chemical fertilizer application affect the soil properties and bacterial communities of grape rhizosphere soil. Sci. Rep. 2020, 10, 9568. [Google Scholar] [CrossRef]
- Xu, Y.; Li, Y. Effects of Sodium Selenite on the Rhizosphere Environment, Growth, and Physiological Traits of Oilseed Rape (Brassica napus L.). Agronomy 2023, 13, 2508. [Google Scholar] [CrossRef]
- Jiao, L.; Cao, X.; Wang, C.; Chen, F.; Zou, H.; Yue, L.; Wang, Z. Crosstalk between in situ root exudates and rhizobacteria to promote rice growth by selenium nanomaterials. Sci. Total Environ. 2023, 878, 163175. [Google Scholar] [CrossRef]
- Timmusk, S.; Abd El-Daim, I.A.; Copolovici, L.; Tanilas, T.; Kannaste, A.; Behers, L.; Nevo, E.; Seisenbaeva, G.; Stenstrom, E.; Niinemets, U. Drought-Tolerance of Wheat Improved by Rhizosphere Bacteria from Harsh Environments: Enhanced Biomass Production and Reduced Emissions of Stress Volatiles. PLoS ONE 2014, 9, e96086. [Google Scholar] [CrossRef] [PubMed]
- Lai, C.-Y.; Wen, L.-L.; Shi, L.-D.; Zhao, K.-K.; Wang, Y.-Q.; Yang, X.; Rittmann, B.E.; Zhou, C.; Tang, Y.; Zheng, P.; et al. Selenate and Nitrate Bioreductions Using Methane as the Electron Donor in a Membrane Biofilm Reactor. Environ. Sci. Technol. 2016, 50, 10179–10186. [Google Scholar] [CrossRef]
- Sultana, N.; Zhao, J.; Cai, Y.; Rahman, G.K.M.M.; Alam, M.S.; Faheem, M.; Ho, A.; Jia, Z. Methanotrophy-driven accumulation of organic carbon in four paddy soils of Bangladesh. Pedosphere 2022, 32, 348–358. [Google Scholar] [CrossRef]
- Zhang, M.; Xing, G.F.; Tang, S.H.; Pang, Y.W.; Yi, Q.; Huang, Q.Y.; Huang, X.; Huang, J.F.; Li, P.; Fu, H.T. Improving soil selenium availability as a strategy to promote selenium uptake by high-Se rice cultivar. Environ. Exp. Bot. 2019, 163, 45–54. [Google Scholar] [CrossRef]
- Zhang, M.; Tang, S.H.; Zhong, S.Z.; Li, P.; Fu, H.T. Effects of selenium fertilization on selenium availability in rice soil. Chin. J. Appl. Ecol. 2018, 29, 2979–2987. [Google Scholar]
- Alperin, M.J.; Hoehler, T.M. Anaerobic Methane Oxidation by Archaea/Sulfate-Reducing Bacteria Aggregates: 1. Thermodynamic and Physical Constraints. Am. J. Sci. 2009, 309, 869–957. [Google Scholar] [CrossRef]
- Chen, J.; Zhou, Z.C.; Gu, J.D. Occurrence and diversity of nitrite-dependent anaerobic methane oxidation bacteria in the sediments of the South China Sea revealed by amplification of both 16S rRNA and genes. Appl. Microbiol. Biot. 2014, 98, 5685–5696. [Google Scholar] [CrossRef]
- Legierse, A.; Struik, Q.; Smith, G.; Medrano, M.J.E.; Weideveld, S.; Van Dijk, G.; Smolders, A.J.P.; Jetten, M.; Veraart, A.J.; Welte, C.U.; et al. Nitrate-dependent anaerobic methane oxidation (N-DAMO) as a bioremediation strategy for waters affected by agricultural runoff. FEMS Microbiol. Lett. 2023, 370, fnad041. [Google Scholar] [CrossRef]
- Cui, J.; Li, Y.; Wang, C.; Kim, K.S.; Wang, T.; Liu, S. Characteristics of the rhizosphere bacterial community across different cultivation years in saline-alkaline paddy soils of Songnen Plain of China. Can. J. Microbiol. 2018, 64, 925–936. [Google Scholar] [CrossRef]
- Kumar, U.; Nayak, A.K.; Shahid, M.; Gupta, V.V.S.R.; Panneerselvam, P.; Mohanty, S.; Kaviraj, M.; Kumar, A.; Chatterjee, D.; Lal, B.; et al. Continuous application of inorganic and organic fertilizers over 47 years in paddy soil alters the bacterial community structure and its influence on rice production. Agric. Ecosyst. Environ. 2018, 262, 65–75. [Google Scholar] [CrossRef]
- Kravchenko, I.K.; Semenov, V.M.; Kuznetsova, T.V.; Bykova, S.A.; Dulov, L.E.; Pardini, D.; Gispert, M.; Boeckx, P.; Van Cleemput, O.; Gal’chenko, V.F. Physicochemical and biological factors affecting atmospheric methane oxidation in gray forest soils. Microbiology 2005, 74, 216–220. [Google Scholar] [CrossRef]








| Group | Total Biomass (g/Plant) | Root Biomass (g/Plant) | Stem Biomass (g/Plant) | Leaf Biomass (g/Plant) | Root/Shoot |
|---|---|---|---|---|---|
| CK | 9.029 ± 0.115 d | 3.355 ± 0.021 c | 4.440 ± 0.085 b | 1.234 ± 0.013 c | 0.591 ± 0.007 bc |
| Se0.6 | 9.478 ± 0.074 b | 3.522 ± 0.050 b | 4.596 ± 0.0230 a | 1.360 ± 0.070 b | 0.591 ± 0.006 b |
| Se2 | 9.852 ± 0.076 a | 3.862 ± 0.045 a | 4.584 ± 0.060 a | 1.406 ± 0.009 a | 0.646 ± 0.009 a |
| Se10 | 9.212 ± 0.039 c | 3.406 ± 0.011 c | 4.556 ± 0.045 a | 1.254 ± 0.011 b | 0.586 ± 0.004 c |
| Group | Root (mg/kg) | Stem (mg/kg) | Leaf (mg/kg) | Aboveground (mg/kg) | Translocation Factor |
|---|---|---|---|---|---|
| CK | 0.245 ± 0.015 d | 0.038 ± 0.010 c | 0.088 ± 0.004 c | 0.048 ± 0.008 d | 0.199 ± 0.041 b |
| Se0.6 | 1.504 ± 0.247 c | 0.230 ± 0.024 c | 0.334 ± 0.014 c | 0.254 ± 0.019 c | 0.173 ± 0.029 b |
| Se2 | 3.488 ± 0.224 b | 0.600 ± 0.034 b | 2.160 ± 0.224 b | 0.966 ± 0.031 b | 0.278 ± 0.012 a |
| Se10 | 12.588 ± 0.452 a | 2.466 ± 0.175 a | 7.798 ± 1.142 a | 3.617 ± 0.138 a | 0.288 ± 0.019 a |
Disclaimer/Publisher’s Note: The statements, opinions and data contained in all publications are solely those of the individual author(s) and contributor(s) and not of MDPI and/or the editor(s). MDPI and/or the editor(s) disclaim responsibility for any injury to people or property resulting from any ideas, methods, instructions or products referred to in the content. |
© 2024 by the authors. Licensee MDPI, Basel, Switzerland. This article is an open access article distributed under the terms and conditions of the Creative Commons Attribution (CC BY) license (https://creativecommons.org/licenses/by/4.0/).
Share and Cite
Wang, Y.; Xie, X.; Chen, H.; Zhang, K.; Zhao, B.; Qiu, R. Selenium-Induced Enhancement in Growth and Rhizosphere Soil Methane Oxidation of Prickly Pear. Plants 2024, 13, 749. https://doi.org/10.3390/plants13060749
Wang Y, Xie X, Chen H, Zhang K, Zhao B, Qiu R. Selenium-Induced Enhancement in Growth and Rhizosphere Soil Methane Oxidation of Prickly Pear. Plants. 2024; 13(6):749. https://doi.org/10.3390/plants13060749
Chicago/Turabian StyleWang, Yiming, Xuechong Xie, Huijie Chen, Kai Zhang, Benliang Zhao, and Rongliang Qiu. 2024. "Selenium-Induced Enhancement in Growth and Rhizosphere Soil Methane Oxidation of Prickly Pear" Plants 13, no. 6: 749. https://doi.org/10.3390/plants13060749
APA StyleWang, Y., Xie, X., Chen, H., Zhang, K., Zhao, B., & Qiu, R. (2024). Selenium-Induced Enhancement in Growth and Rhizosphere Soil Methane Oxidation of Prickly Pear. Plants, 13(6), 749. https://doi.org/10.3390/plants13060749
