The Impact of Rootstock on “Big Top” Nectarine Postharvest Concerning Chilling Injury, Biochemical and Molecular Parameters
Abstract
1. Introduction
2. Results and Discussion
2.1. Chilling Injury Symptoms
2.2. Basic Fruit Quality
2.3. Sugars and Organic Acids Profiles
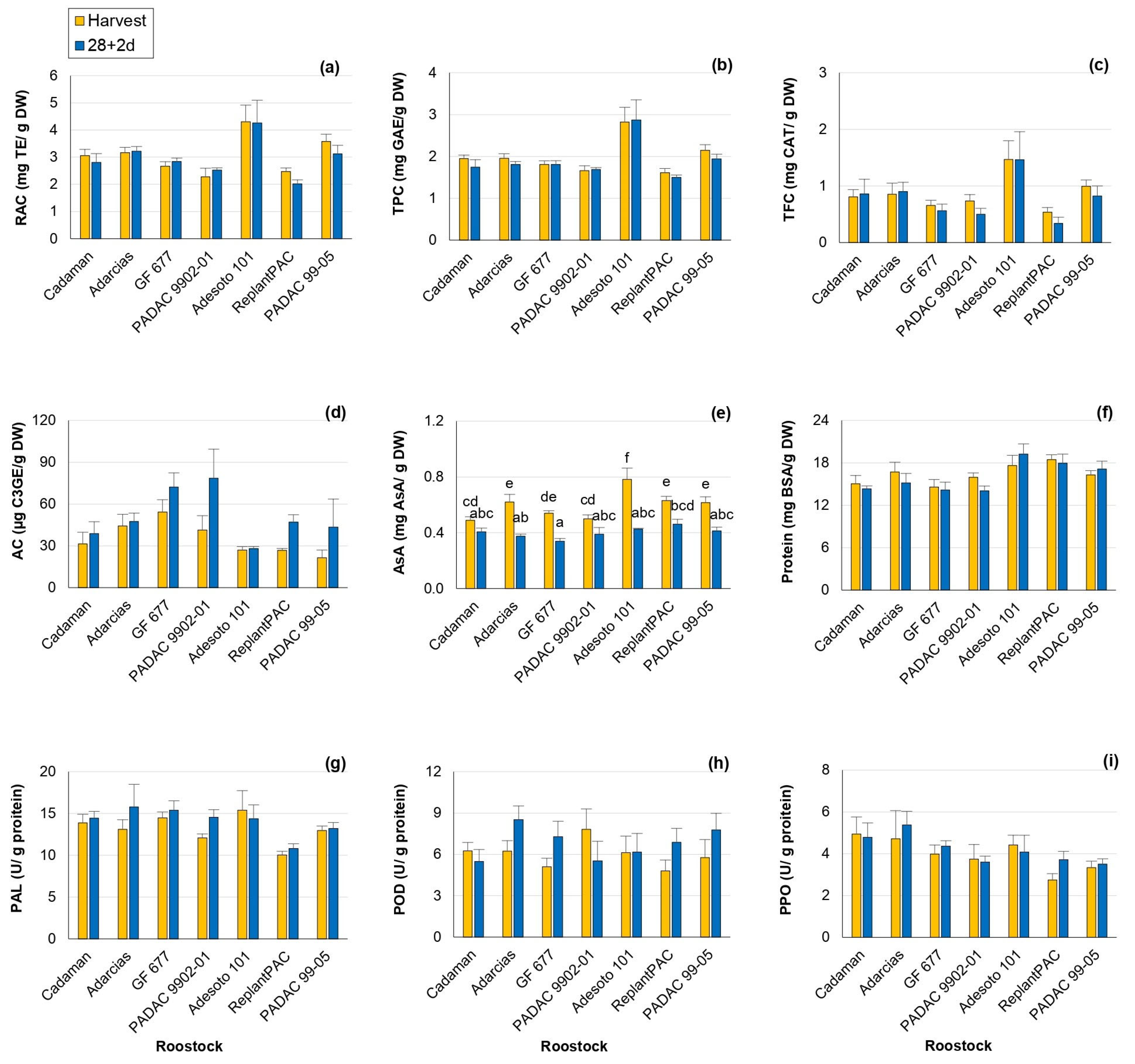
2.4. Antioxidants and Related Enzymatic Activities (PAL, POD, PPO)
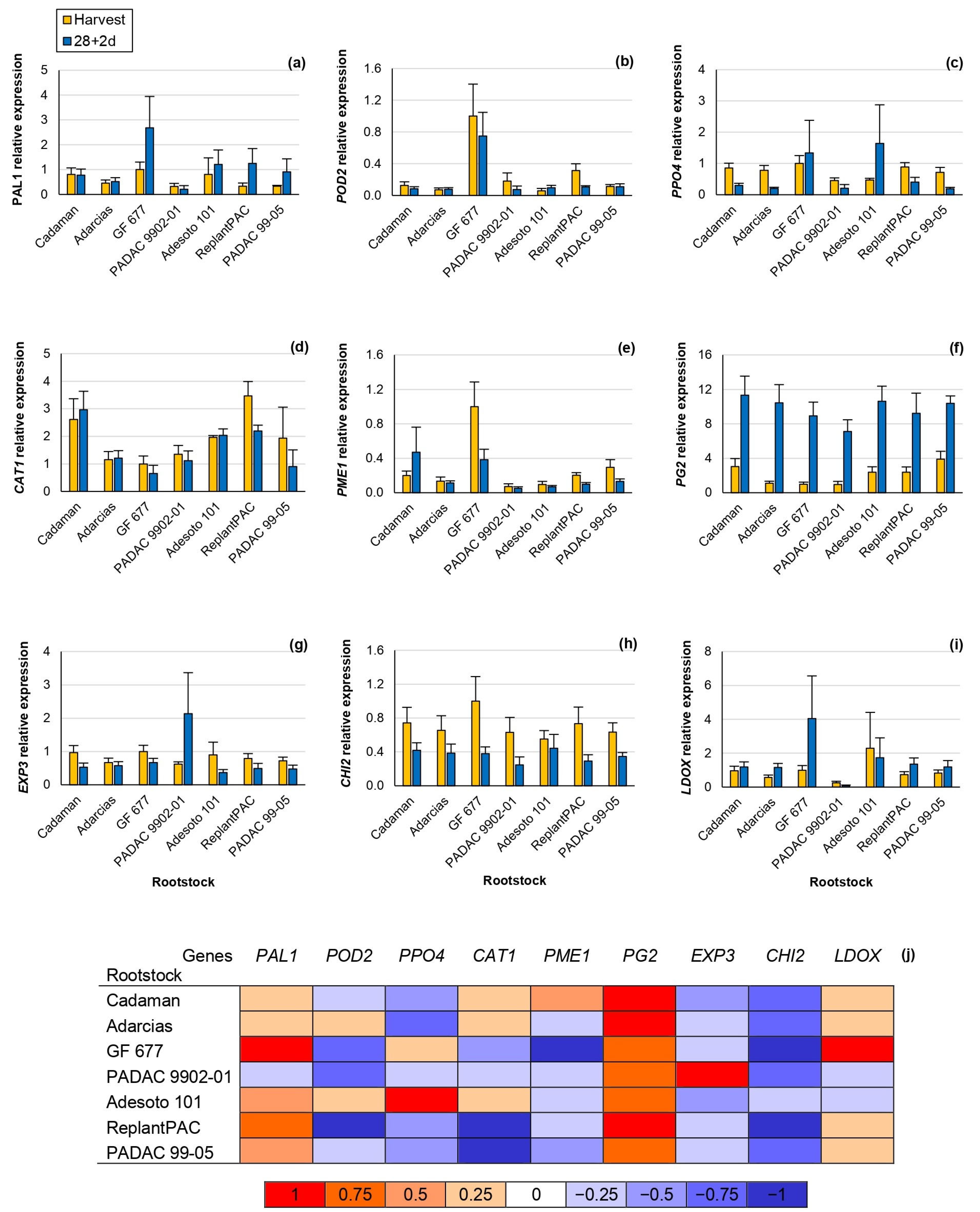
2.5. Gene Expression Analysis
2.6. Principal Component Analysis (PCA)
3. Materials and Methods
3.1. Plant Material
3.2. Fruit Sampling
3.3. Chilling Injury Symptoms
3.4. Fruit Quality Parameters
3.5. Sugars and Organic Acid Profile
3.6. Antioxidant Compounds
3.7. PAL, PPO and POD Enzymatic Activities
3.8. Gene Expression Analysis
3.9. Statistical Analysis
4. Conclusions
Supplementary Materials
Author Contributions
Funding
Data Availability Statement
Acknowledgments
Conflicts of Interest
References
- FAOSTAT Food and Agricultural Organization. 2021. Available online: http://faostat.fao.org/ (accessed on 13 July 2023).
- Ghiani, A.; Negrini, N.; Morgutti, S.; Baldin, F.; Nocito, F.F.; Spinardi, A.; Mignani, I.; Bassi, D.; Cocucci, M. Melting of ‘Big Top’ nectarine fruit: Some physiological, biochemical, and molecular aspects. J. Am. Soc. Hortic. Sci. 2011, 136, 61–68. [Google Scholar] [CrossRef]
- Lurie, S.; Crisosto, C.H. Chilling injury in peach and nectarine. Postharvest Biol. Technol. 2005, 37, 195–208. [Google Scholar] [CrossRef]
- Singh, B.; Suri, K.; Shevkani, K.; Kaur, A.; Kaur, A.; Singh, N. Enzymatic browning of fruit and vegetables: A review. In Enzymes in Food Technology: Improvements and Innovations; Springer: Berlin/Heidelberg, Germany, 2018; pp. 63–78. [Google Scholar] [CrossRef]
- Amri, R.; Font i Forcada, C.; Giménez, R.; Pina, A.; Moreno, M.A. Biochemical characterization and differential expression of PAL genes associated with “translocated” peach/plum graft-incompatibility. Front. Plant Sci. 2021, 12, 622578. [Google Scholar] [CrossRef] [PubMed]
- Crisosto, C.H.; Mitchell, F.G.; Ju, Z. Susceptibility to chilling injury of peach, nectarine, and plum cultivars grown in California. HortScience 1999, 34, 1116–1118. [Google Scholar] [CrossRef]
- Pavez, L.; Hödar, C.; Olivares, F.; González, M.; Cambiazo, V. Effects of postharvest treatments on gene expression in Prunus Persica fruit: Normal and altered ripening. Postharvest Biol. Technol. 2013, 75, 125–134. [Google Scholar] [CrossRef]
- Cao, S.; Bian, K.; Shi, L.; Chung, H.H.; Chen, W.; Yang, Z. Role of melatonin in cell-wall disassembly and chilling tolerance in cold-stored peach fruit. J. Agric. Food Chem. 2018, 66, 5663–5670. [Google Scholar] [CrossRef]
- Genero, M.; Gismondi, M.; Monti, L.L.; Gabilondo, J.; Budde, C.O.; Andreo, C.S.; Lara, M.V.; Drincovich, M.F.; Bustamante, C.A. Cell wall-related genes studies on peach cultivars with differential susceptibility to woolliness: Looking for candidates as indicators of chilling tolerance. Plant Cell Rep. 2016, 35, 1235–1246. [Google Scholar] [CrossRef]
- Ogundiwin, E.A.; Peace, C.P.; Gradziel, T.M.; Parfitt, D.E.; Bliss, F.A.; Crisosto, C.H. A fruit quality gene map of Prunus. BMC Genom. 2009, 10, 587. [Google Scholar] [CrossRef]
- Font i Forcada, C.; Reig, G.; Giménez, R.; Mignard, P.; Mestre, L.; Moreno, M.A. Sugars and organic acids profile and antioxidant compounds of nectarine fruits influenced by different rootstocks. Sci. Hortic. 2019, 248, 145–153. [Google Scholar] [CrossRef]
- Iglesias, I.; Giné-Bordonaba, J.; Garanto, X.; Reig, G. Rootstock affects quality and phytochemical composition of ‘Big Top’ nectarine fruits grown under hot climatic conditions. Sci. Hortic. 2019, 256, 108586. [Google Scholar] [CrossRef]
- Font i Forcada, C.; Reig, G.; Mestre, L.; Mignard, P.; Betrán, J.A.; Moreno, M.A. Scion × rootstock response on production, mineral composition and fruit quality under heavy-calcareous soil and hot climate. Agronomy 2020, 10, 1159. [Google Scholar] [CrossRef]
- Mestre, L.; Reig, G.; Betrán, J.A.; Pinochet, J.; Moreno, M.A. Influence of peach–almond hybrids and plum-based rootstocks on mineral nutrition and yield characteristics of ‘Big Top’ nectarine in replant and heavy-calcareous soil conditions. Sci. Hortic. 2015, 192, 475–481. [Google Scholar] [CrossRef]
- Reig, G.; Mestre, L.; Betrán, J.A.; Pinochet, J.; Moreno, M.A. Agronomic and physicochemical fruit properties of ‘Big Top’ nectarine budded on peach and plum based rootstocks in Mediterranean conditions. Sci. Hortic. 2016, 210, 85–92. [Google Scholar] [CrossRef]
- Racchi, M.L. Antioxidant defenses in plants with attention to Prunus and Citrus spp. Antioxidants 2013, 2, 340. [Google Scholar] [CrossRef] [PubMed]
- Navarro, A.; Giménez, R.; Val, J.; Moreno, M.A. The influence of rootstocks on chilling injury symptoms of ‘Big Top’ nectarine fruits. Acta Hortic. 2022, 1352, 363–370. [Google Scholar] [CrossRef]
- Barreto, C.; Kirinus, M.; Silva, P.; Rombaldi, C.; Malgarim, M.; Fachinello, J. Physicochemical characteristics and phytochemical contents of peach trees (Prunus persica (L.) Batsch) grafted on different rootstocks during cold storage. Aust. J. Crop Sci. 2018, 12, 1492–1498. [Google Scholar] [CrossRef]
- Navarro, A.; Giménez, R.; Cantín, C.; Martínez-García, P.J.; Val, J.; Moreno, M.A. Chilling injury in local and modern peach cultivars from a spanish peach bank germplasm. Acta Hortic. 2022, 1352, 237–244. [Google Scholar] [CrossRef]
- Manganaris, G.A.; Drogoudi, P.; Goulas, V.; Tanou, G.; Georgiadou, E.C.; Pantelidis, G.E.; Paschalidis, K.A.; Fotopoulos, V.; Manganaris, A. Deciphering the interplay among genotype, maturity stage and low-temperature storage on phytochemical composition and transcript levels of enzymatic antioxidants in Prunus persica fruit. Plant Physiol. Biochem. PPB 2017, 119, 189–199. [Google Scholar] [CrossRef]
- Peace, C.P.; Crisosto, C.H.; Gradziel, T.M. Endopolygalacturonase: A candidate gene for freestone and melting flesh in peach. Mol. Breed. 2005, 16, 21–31. [Google Scholar] [CrossRef]
- Brizzolara, S.; Hertog, M.; Tosetti, R.; Nicolai, B.; Tonutti, P. Metabolic responses to low temperature of three peach fruit cultivars differently sensitive to cold storage. Front. Plant Sci. 2018, 9, 706. [Google Scholar] [CrossRef]
- Zhao, Y.; Tang, J.; Brummell, D.A.; Song, C.; Qi, S.; Lin, Q.; Bi, J.; Duan, Y. Abscisic acid alleviates chilling injury in cold-stored peach fruit by regulating the metabolism of sucrose. Sci. Hortic. 2022, 298, 111000. [Google Scholar] [CrossRef]
- Wang, X.; Wei, Y.; Chen, Y.; Jiang, S.; Xu, F.; Wang, H.; Shao, X. NMR Revealed that trehalose enhances sucrose accumulation and alleviates chilling injury in peach fruit. Sci. Hortic. 2022, 303, 111190. [Google Scholar] [CrossRef]
- Baccichet, I.; Chiozzotto, R.; Bassi, D.; Gardana, C.; Cirilli, M.; Spinardi, A. Characterization of fruit quality traits for organic acids content and profile in a large peach germplasm collection. Sci. Hortic. 2021, 278, 109865. [Google Scholar] [CrossRef]
- Yokotani, N.; Uraji, M.; Hara, M.; Hihara, S.; Hatanaka, T.; Oda, K. Low Accumulation of chlorogenic acids represses reddening during flesh browning in Japanese peach “Okayama PEH7”. Biosci. Biotechnol. Biochem. 2016, 81, 147–152. [Google Scholar] [CrossRef] [PubMed]
- Wang, J.; Cao, K.; Wang, L.; Dong, W.; Zhang, X.; Liu, W. Two MYB and three BHLH family genes participate in anthocyanin accumulation in the flesh of peach fruit treated with glucose, sucrose, sorbitol, and fructose in vitro. Plants 2022, 11, 507. [Google Scholar] [CrossRef] [PubMed]
- Manganaris, G.A.; Vicente, A.R.; Crisosto, C.H.; Labavitch, J.M. Cell wall modifications in chilling-injured plum fruit (Prunus salicina). Postharvest Biol. Technol. 2008, 48, 77–83. [Google Scholar] [CrossRef]
- Lo’ay, A.A.; Ismail, H.; Kassem, H.S. Postharvest Treatment of ‘Florida Prince’ peaches with a calcium nanoparticle–ascorbic acid mixture during cold storage and its effect on antioxidant enzyme activities. Horticulturae 2021, 7, 499. [Google Scholar] [CrossRef]
- Prabpree, A.; Sangsil, P.; Nualsri, C.; Nakkanong, K. Expression profile of phenylalanine ammonia-lyase (PAL) and phenolic content during early stages of graft development in bud grafted Hevea brasiliensis. Biocatal. Agric. Biotechnol. 2018, 14, 88–95. [Google Scholar] [CrossRef]
- Toivonen, P.M.A.; Brummell, D.A. Biochemical bases of appearance and texture changes in fresh-cut fruit and vegetables. Postharvest Biol. Technol. 2008, 48, 1–14. [Google Scholar] [CrossRef]
- Wang, L.; Bokhary, S.U.F.; Xie, B.; Hu, S.; Jin, P.; Zheng, Y. Biochemical and molecular effects of glycine betaine treatment on membrane fatty acid metabolism in cold stored peaches. Postharvest Biol. Technol. 2019, 154, 58–69. [Google Scholar] [CrossRef]
- Singleton, V.; Rossi, J. Colorimetry of total phenolic compounds with phosphomolybdic-phosphotungstic acid reagents. Am. J. Enol. Vitic. 1965, 16, 144–158. [Google Scholar] [CrossRef]
- Zhishen, J.; Mengcheng, T.; Jianming, W. The determination of flavonoid contents in mulberry and their scavenging effects on superoxide radicals. Food Chem. 1999, 64, 555–559. [Google Scholar] [CrossRef]
- Brand-Williams, W.; Cuvelier, M.E.; Berset, C. Use of a free radical method to evaluate antioxidant activity. LWT—Food Sci. Technol. 1995, 28, 25–30. [Google Scholar] [CrossRef]
- Okamura, M. An improved method for determination of L-ascorbic acid and L-dehydroascorbic acid in blood plasma. Clin. Chim. Acta Int. J. Clin. Chem. 1980, 103, 259–268. [Google Scholar] [CrossRef]
- Giusti, M.M.; Wrolstad, R.E. Characterization and measurement of anthocyanins by UV-visible spectroscopy. Curr. Protoc. Food Anal. Chem. 2001, 1, F1–F2. [Google Scholar] [CrossRef]
- Galeazzi, M.A.M.; Sgarbieri, V.C.; Constantinides, S.M. Isolation, purification and physicochemical characterization of polyphenoloxidases (PPO) from a dwarf variety of banana (Musa cavendishii, L.). J. Food Sci. 1981, 46, 150–155. [Google Scholar] [CrossRef]
- Tovar, M.J.; Romero, M.P.; Girona, J.; Motilva, M.J. L-phenylalanine ammonia-lyase activity and concentration of phenolics in developing olive (Olea europaea L. cv. Arbequina) fruit grown under different irrigation regimes. J. Sci. Food Agric. 2002, 82, 892–898. [Google Scholar] [CrossRef]
- Dann, E.K.; Deverall, B.J. Activation of systemic disease resistance in pea by an avirulent bacterium or a benzothiadiazole, but not by a fungal leaf spot pathogen. Plant Pathol. 2000, 49, 324–332. [Google Scholar] [CrossRef]
- Kou, X.; Zhang, L.; Yang, S.; Li, G.; Ye, J. Selection and validation of reference genes for quantitative RT-PCR analysis in peach fruit under different experimental conditions. Sci. Hortic. 2017, 225, 195–203. [Google Scholar] [CrossRef]
- Dos Santos Pereira, I.; Da Silva Messias, R.; Diniz Campos, Â.; Errea, P.; Corrêa Antunes, L.E.; Fachinello, J.C.; Pina, A. Growth characteristics and phenylalanine ammonia-lyase activity in peach grafted on different Prunus spp. Biol. Plant. 2014, 58, 114–120. [Google Scholar] [CrossRef]
- Pfaffl, M.W. A new mathematical model for relative quantification in Real-Time RT-PCR. Nucleic Acids Res. 2001, 29, E45. [Google Scholar] [CrossRef] [PubMed]
- Zhou, H.; Lin-Wang, K.; Wang, H.; Gu, C.; Dare, A.P.; Espley, R.V.; He, H.; Allan, A.C.; Han, Y. Molecular genetics of blood-fleshed peach reveals activation of anthocyanin biosynthesis by NAC transcription factors. Plant J. 2015, 82, 105–121. [Google Scholar] [CrossRef] [PubMed]
- Ma, Z.; Yang, L.; Yan, H.; Kennedy, J.F.; Meng, X. Chitosan and oligochitosan enhance the resistance of peach fruit to brown rot. Carbohydr. Polym. 2013, 94, 272–277. [Google Scholar] [CrossRef] [PubMed]
- Bagnoli, F.; Danti, S.; Magherini, V.; Cozza, R.; Innocenti, A.M.; Racchi, M.L. Molecular cloning, characterisation and expression of two catalase genes from peach. Funct. Plant Biol. FPB 2004, 31, 349–357. [Google Scholar] [CrossRef]
- Li, G.; Zhu, S.; Wu, W.; Zhang, C.; Peng, Y.; Wang, Q.; Shi, J. Exogenous nitric oxide induces disease resistance against Monilinia Fructicola through activating the phenylpropanoid pathway in peach fruit. J. Sci. Food Agric. 2017, 97, 3030–3038. [Google Scholar] [CrossRef]





| Trait | Variance Analysis | Variability (%) | ||||||||||||
|---|---|---|---|---|---|---|---|---|---|---|---|---|---|---|
| T | R | Y | T*R | T*Y | Y*R | T*R*Y | T | R | Y | T*R | T*Y | Y*R | T*R*Y | |
| Firmness (N) | *** | ns | *** | ** | *** | ns | ns | 43.2 | 2.4 | 9.6 | 13.6 | 7.9 | 2.1 | 3.8 |
| TA (mg MA/g DW) | *** | ns | * | ns | ns | ns | * | 45.7 | 12.5 | 4.5 | 7.3 | 3.3 | 5.7 | 13.3 |
| SSC (mg SS/g DW) | * | ns | * | ns | ns | ns | ns | 11.3 | 7.0 | 13.6 | 13.8 | 4.7 | 12.2 | 29.0 |
| Sucrose (mg/g DW) | ns | ns | ns | ns | ns | ns | ns | 2.8 | 5.9 | 3.8 | 30.4 | 2.5 | 33.8 | 22.4 |
| Glucose (mg/g DW) | *** | ns | *** | ns | ns | ns | ns | 53.8 | 11.4 | 13.1 | 13.2 | 0.5 | 5.6 | 3.2 |
| Fructose (mg/g DW) | ns | * | *** | ns | ns | *** | ns | 0.3 | 16.8 | 33.2 | 12.4 | 1.8 | 21.3 | 1.9 |
| Sorbitol (mg/g DW) | *** | ns | ns | ns | ns | ns | ns | 47.1 | 1.1 | 3.6 | 13.8 | 0.6 | 14.0 | 10.6 |
| Raffinose (mg/g DW) | *** | ** | *** | ** | ns | *** | *** | 28.0 | 12.8 | 18.1 | 12.0 | 0.2 | 14.2 | 6.3 |
| Myo-Inositol (mg/g DW) | ns | ns | *** | ns | ns | ns | *** | 0.1 | 18.2 | 17.0 | 8.3 | 1.4 | 16.2 | 33.9 |
| Galacturonic acid (mg/g DW) | ** | * | *** | ns | ns | ns | ns | 17.8 | 25.5 | 12.9 | 14.6 | 0.0 | 12.1 | 10.0 |
| Malic acid (mg/g DW) | *** | * | ns | ** | * | ns | ns | 46.3 | 21.1 | 0.0 | 22.9 | 8.1 | 5.9 | 2.8 |
| Quinic acid (mg/g DW) | ** | *** | *** | * | ** | ns | ns | 6.8 | 32.0 | 13.7 | 22.9 | 2.3 | 6.0 | 8.8 |
| Succinic + Shikimic acids (mg/g DW) | ns | *** | ns | ns | ns | ns | ns | 0.4 | 53.6 | 1.6 | 10.2 | 0.2 | 18.3 | 11.7 |
| Citric acid (mg/g DW) | *** | * | *** | ns | * | ns | * | 16.6 | 27.6 | 17.3 | 7.1 | 4.4 | 4.5 | 14.9 |
| RAC (mg TE/g DW) | ns | *** | *** | ns | ns | * | ns | 0.5 | 58.2 | 25.7 | 3.5 | 0.1 | 9.6 | 4.3 |
| TPC (mg GAE/g DW) | ns | *** | *** | ns | ns | ns | ns | 1.0 | 70.8 | 13.2 | 1.7 | 0.1 | 7.5 | 6.8 |
| TFC (mg CAT/g DW) | ns | *** | *** | ns | ns | ** | ns | 0.8 | 40.7 | 38.0 | 1.3 | 0.1 | 11.4 | 4.3 |
| AC (µg C3GE/g DW) | * | *** | ns | ns | ns | ns | ns | 8.1 | 56.7 | 1.2 | 9.5 | 2.3 | 11.5 | 6.8 |
| AsA (mg AsA/g DW) | *** | *** | ** | * | ns | ns | ns | 56.9 | 17.9 | 4.8 | 8.8 | 0.4 | 3.6 | 3.9 |
| Protein (mg BSA/g DW) | ns | *** | *** | ns | ns | ns | ns | 0.8 | 25.1 | 33.1 | 4.5 | 0.0 | 11.9 | 3.5 |
| PAL (U/g prot) | ns | ** | *** | ns | ns | ns | ns | 3.5 | 31.4 | 25.6 | 4.9 | 0.0 | 18.3 | 4.9 |
| POD (U/g prot) | ns | ns | *** | ns | * | ns | * | 2.7 | 9.1 | 55.9 | 13.5 | 0.1 | 4.1 | 12.8 |
| PPO (U/g prot) | ns | * | *** | ns | ns | ns | ns | 0.5 | 30.4 | 38.1 | 3.5 | 0.9 | 9.0 | 9.5 |
| Gene | Variance Analysis | Variability (%) | ||||||||||||
|---|---|---|---|---|---|---|---|---|---|---|---|---|---|---|
| T | R | Y | T*R | T*Y | Y*R | T*R*Y | T | R | Y | T*R | T*Y | Y*R | T*R*Y | |
| Phenylalanine Ammonia Lyase 1 (PAL1) | ns | * | ns | ns | ns | ns | ns | 5.2 | 16.9 | 9.8 | 7.7 | 1.1 | 25.8 | 12.8 |
| Polyphenol Oxidase 4 (PPO4) | * | ns | ns | ns | ns | ** | ns | 0.6 | 35.3 | 4.1 | 1.3 | 0.5 | 34.4 | 1.4 |
| Peroxidase 2 (POD2) | ns | ** | ns | ns | ns | ns | ns | 1.1 | 18.3 | 6.8 | 17.3 | 10.7 | 25.0 | 11.8 |
| Catalase 1 (CAT1) | * | *** | *** | ns | ns | *** | ns | 2.6 | 45.9 | 17.1 | 7.5 | 1.1 | 20.1 | 7.5 |
| Pectin Methylesterase 1 (PME1) | ns | ** | ns | ns | ns | ns | ns | 2.1 | 39.9 | 2.1 | 13.7 | 1.0 | 18.6 | 4.5 |
| Polygalacturonase 2 (PG2) | *** | ** | ** | ns | *** | ns | ns | 69.8 | 6.6 | 3.5 | 2.4 | 5.4 | 4.3 | 2.7 |
| Expansin 3 (EXP3) | * | ns | *** | * | ns | * | * | 0.2 | 12.9 | 16.5 | 22.4 | 2.9 | 19.4 | 21.4 |
| Chalcone Synthase 2 (CHI2) | *** | ns | *** | ns | ns | ns | ns | 25.3 | 3.4 | 23.5 | 3.3 | 3.9 | 15.4 | 5.1 |
| Leucoanthocyanidin Dioxygenase (LDOX) | ns | ns | ns | ns | ns | ns | ns | 3.1 | 19.2 | 4.2 | 10.6 | 1.2 | 28.2 | 15.3 |
| GDR or NCBI Accession No | Gene Name | Primer Sequence 5′-3′ | Source | |
|---|---|---|---|---|
| JC687766 | Phenylalanine Ammonia Lyase 1 | F R | CAGAGCAGCACAACCAAGACG CTCCAAATGCCTCAAATCAATG | [44] |
| XM_020561913 | Polyphenol Oxidase 4 | F R | CAAATGCGGCAGAGACCTCAAA CTTCCTTCTCCTTCTGGCTCCT | [32] |
| DW352089 | Peroxidase 2 | F R | CGGTTTGGTGTACTTTGCGATCG TCATTTATTCATACAGAGCTGGC | [45] |
| AJ496418 | Catalase 1 | F R | GGATGCCCTATCAGACCCAC TAATCCCAAATGACAATCCG | [46] |
| ppa003852m | Pectin Methylesterase 1 | F R | CAATCATCTATGTCAAGGAAGG CCAGCCATCAACTACACTT | [8] |
| ppa006857m | Polygalacturonase 2 | F R | ACAATCCTCAACTCCAAGA AACGCCTTCTATCCACAA | [8] |
| ppa010180m | Expansin 3 | F R | GGGTTGGTGTGATTTTGTGAG AGTATTTATAGGGTGCGGGCTAC | [9] |
| AB094986 | Chalcone Synthase 2 | F R | CCCATCATCCGCTTCAT CCCAGGTTCCCATCTTGT | [47] |
| ppa007738m | Leucoanthocyanidin Dioxygenase | F R | TACCCTGAGGACAAGCGTGAC ATCCCAACCCAAGTGACAGC | [44] |
Disclaimer/Publisher’s Note: The statements, opinions and data contained in all publications are solely those of the individual author(s) and contributor(s) and not of MDPI and/or the editor(s). MDPI and/or the editor(s) disclaim responsibility for any injury to people or property resulting from any ideas, methods, instructions or products referred to in the content. |
© 2024 by the authors. Licensee MDPI, Basel, Switzerland. This article is an open access article distributed under the terms and conditions of the Creative Commons Attribution (CC BY) license (https://creativecommons.org/licenses/by/4.0/).
Share and Cite
Navarro, A.; Giménez, R.; Val, J.; Moreno, M.Á. The Impact of Rootstock on “Big Top” Nectarine Postharvest Concerning Chilling Injury, Biochemical and Molecular Parameters. Plants 2024, 13, 677. https://doi.org/10.3390/plants13050677
Navarro A, Giménez R, Val J, Moreno MÁ. The Impact of Rootstock on “Big Top” Nectarine Postharvest Concerning Chilling Injury, Biochemical and Molecular Parameters. Plants. 2024; 13(5):677. https://doi.org/10.3390/plants13050677
Chicago/Turabian StyleNavarro, Aimar, Rosa Giménez, Jesús Val, and María Ángeles Moreno. 2024. "The Impact of Rootstock on “Big Top” Nectarine Postharvest Concerning Chilling Injury, Biochemical and Molecular Parameters" Plants 13, no. 5: 677. https://doi.org/10.3390/plants13050677
APA StyleNavarro, A., Giménez, R., Val, J., & Moreno, M. Á. (2024). The Impact of Rootstock on “Big Top” Nectarine Postharvest Concerning Chilling Injury, Biochemical and Molecular Parameters. Plants, 13(5), 677. https://doi.org/10.3390/plants13050677

