Flooding Length Mediates Fencing and Grazing Effects on Soil Respiration in Meadow Steppe
Abstract
1. Introduction
2. Results
2.1. Temporal Variation in Rs and Its Components
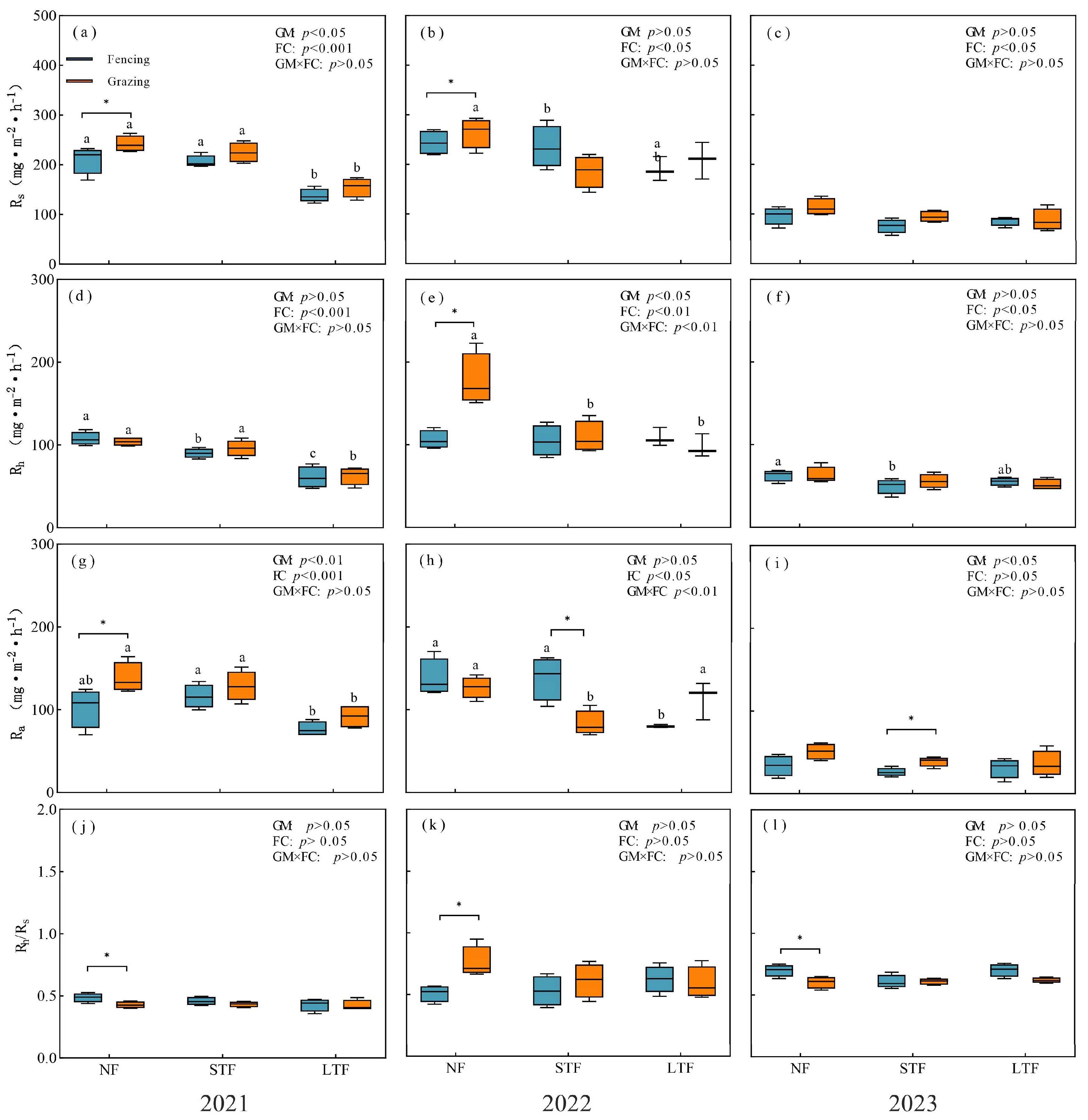
2.2. Effects of Grassland Management and Flooding Conditions on Rs and Its Components
2.3. Relationship of Rs and Its Components with Soil Temperature and Water Content
2.4. Direct and Indirect Pathways of Rs and Its Components
3. Discussion
4. Materials and Methods
4.1. Study Site
4.2. Experimental Design
4.3. Measurements of Rs and Its Components
4.4. Aboveground and Belowground Biomass Measurements
4.5. Soil Sampling and Analysis
4.6. Data Analysis
5. Conclusions
Supplementary Materials
Author Contributions
Funding
Data Availability Statement
Acknowledgments
Conflicts of Interest
References
- Schlesinger, W.H.; Andrews, J.A. Soil respiration and the global carbon cycle. Biogeochemistry 2000, 48, 7–20. [Google Scholar] [CrossRef]
- Liu, Z.; Deng, Z.; Davis, S.J.; Giron, C.; Ciais, P. Monitoring global carbon emissions in 2021. Nat. Rev. Earth Environ. 2022, 3, 217–219. [Google Scholar] [CrossRef] [PubMed]
- Tian, J.; Dungait, J.A.; Lu, X.; Yang, Y.; Hartley, I.P.; Zhang, W.; Kuzyakov, Y. Long-term nitrogen addition modifies microbial composition and functions for slow carbon cycling and increased sequestration in tropical forest soil. Glob. Chang. Biol. 2019, 25, 3267–3281. [Google Scholar] [CrossRef] [PubMed]
- Van Der Heijden, M.G.; Bardgett, R.D.; Van Straalen, N.M. The unseen majority: Soil microbes as drivers of plant diversity and productivity in terrestrial ecosystems. Ecol. Lett. 2008, 11, 296–310. [Google Scholar] [CrossRef] [PubMed]
- Liu, N.; Kan, H.M.; Yang, G.W.; Zhang, Y.J. Changes in plant, soil, and microbes in a typical steppe from simulated grazing: Explaining potential change in soil C. Ecol. Monogr. 2015, 85, 269–286. [Google Scholar] [CrossRef]
- Qin, S.Q.; Peng, Q.; Dong, Y.S.; Qi, Y.C.; Li, Z.L.; Guo, Y.; Liu, X.R.; Xiao, S.S.; Liu, X.C.; Jia, J.Q.; et al. Role of ambient climate in the response of soil respiration to different grassland management measures. Agric. For. Meteorol. 2023, 334, 109439. [Google Scholar] [CrossRef]
- Wang, J.; Liu, Y.; Cao, W.; Li, W.; Wang, X.; Zhang, D.; Shi, S.; Pan, D.; Liu, W. Effects of grazing exclusion on soil respiration components in an alpine meadow on the north-eastern Qinghai-Tibet Plateau. Catena 2020, 194, 104750. [Google Scholar] [CrossRef]
- Chen, J.; Luo, Y.; Xia, J.; Zhou, X.; Niu, S.; Shelton, S.; Guo, W.; Liu, S.; Dai, W.; Cao, J. Divergent responses of ecosystem respiration components to livestock exclusion on the Qinghai Tibetan Plateau. Land Degrad. Dev. 2018, 29, 1726–1737. [Google Scholar] [CrossRef]
- Liu, Y.W.; Tenzintarchen; Geng, X.D.; Wei, D.; Dai, D.X.; Xu, R. Grazing exclusion enhanced net ecosystem carbon uptake but decreased plant nutrient content in an alpine steppe. Catena 2020, 195, 104799. [Google Scholar] [CrossRef]
- Wei, D.; Xu, R.; Wang, Y.; Wang, Y.; Liu, Y.; Yao, T. Responses of CO2, CH4 and N2O fluxes to livestock exclosure in an alpine steppe on the Tibetan Plateau, China. Plant Soil 2012, 359, 45–55. [Google Scholar] [CrossRef]
- Zhang, H.; Fu, G. Responses of plant, soil bacterial and fungal communities to grazing vary with pasture seasons and grassland types, Northern Tibet. Land Degrad. Dev. 2021, 32, 1821–1832. [Google Scholar] [CrossRef]
- Zhao, J.; Luo, T.; Li, R.; Li, X.; Tian, L. Grazing effect on growing season ecosystem respiration and its temperature sensitivity in alpine grasslands along a large altitudinal gradient on the central Tibetan Plateau. Agric. For. Meteorol. 2016, 218–219, 114–121. [Google Scholar] [CrossRef]
- Zhao, J.; Li, R.; Li, X.; Tian, L. Environmental controls on soil respiration in alpine meadow along a large altitudinal gradient on the central Tibetan Plateau. Catena 2017, 159, 84–92. [Google Scholar] [CrossRef]
- Tian, L.; Bai, Y.; Wang, W.; Qu, G.; Deng, Z.; Li, R.; Zhao, J. Warm- and cold season grazing affect plant diversity and soil carbon and nitrogen sequestration differently in Tibetan alpine swamp meadows. Plant Soil 2021, 458, 151–164. [Google Scholar] [CrossRef]
- Hu, Z.; Li, S.; Guo, Q.; Niu, S.; He, N.; Li, L.; Yu, G. A synthesis of the effect of grazing exclusion on carbon dynamics in grasslands in China. Glob. Chang. Biol. 2016, 22, 1385–1393. [Google Scholar] [CrossRef]
- Zhao, J.; Tian, L.; Wei, H.; Zhang, T.; Bai, Y.; Li, R.; Tang, Y. Impact of plateau pika (Ochotona curzoniae) burrowing-induced microtopography on ecosystem respiration of the alpine meadow and steppe on the Tibetan plateau. Plant Soil 2021, 458, 217–230. [Google Scholar] [CrossRef]
- Kool, J.; Lhermitte, S.; Hrachowitz, M.; Bregoli, F.E.; McClain, M. Seasonal inundation dynamics and water balance of the Mara Wetland, Tanzania based on multi-temporal Sentinel-2 image classification. Int. J. Appl. Earth Obs. Geoinf. 2022, 109, 102766. [Google Scholar] [CrossRef]
- Altor, A.E.; Mitsch, W.J. Pulsing hydrology, methane emissions and carbon dioxide fluxes in created marshes: A 2-year ecosystem study. Wetlands 2008, 28, 423–438. [Google Scholar] [CrossRef]
- Oelbermann, M.; Schiff, S.L. Quantifying carbon dioxide and methane emissions and carbon dynamics from flooded boreal forest soil. J. Environ. Qual. 2008, 37, 2037–2047. [Google Scholar] [CrossRef]
- Kim, Y.; Ullah, S.; Roulet, N.T.; Moore, T.R. Effect of inundation, oxygen and temperature on carbon mineralization in boreal ecosystems. Sci. Total Environ. 2015, 511, 381–392. [Google Scholar] [CrossRef]
- Cruz-Paredes, C.; Tajmel, D.; Rousk, J. Can moisture affect temperature dependences of microbial growth and respiration? Soil Biol. Biochem. 2021, 156, 108223. [Google Scholar] [CrossRef]
- Glatzel, S.; Basiliko, N.; Moore, T. Carbon dioxide and methane production potentials of peats from natural, harvested and restored sites, eastern Québec, Canada. Wetlands 2004, 24, 261–267. [Google Scholar] [CrossRef]
- Lewis, D.B.; Brown, J.A.; Jimenez, K.L. Effects of flooding and warming on soil organic matter mineralization in Avicennia germinans mangrove forests and Juncus roemerianus salt marshes. Estuar. Coast. Shelf Sci. 2014, 139, 11–19. [Google Scholar] [CrossRef]
- Liu, Y.; Liu, G.; Xiong, Z.; Liu, W. Response of greenhouse gas emissions from three types of wetland soils to simulated temperature change on the Qinghai-Tibetan Plateau. Atmos. Environ. 2017, 171, 17–24. [Google Scholar] [CrossRef]
- Schindlbacher, A.; Heinzle, J.; Gollobich, J.; Wanek, W.; Michel, K.; Kitzler, B. Soil greenhouse gas fluxes in floodplain forests of the Danube National Park: Effects of flooding and soil microclimate. Biogeochemistry 2022, 159, 193–213. [Google Scholar] [CrossRef]
- Yu, L.F.; Wang, H.; Wang, Y.H.; Zhang, Z.H.; Chen, L.T.; Liang, N.S.; He, J.S. Temporal variation in soil respiration and its sensitivity to temperature along a hydrological gradient in an alpine wetland of the Tibetan Plateau. Agric. Forest Meteorol. 2020, 282, 107854. [Google Scholar] [CrossRef]
- Wu, Y.; Chen, D.M.; Manuel, D.B.; Liu, S.G.; Wang, B.; Wu, J.P.; Hu, S.J.; Bai, Y.F. Long-term regional evidence of the effects of livestock grazing on soil microbial community structure and functions in surface and deep soil layers. Soil Biol. Biochem. 2022, 168, 108629. [Google Scholar] [CrossRef]
- Luo, C.Y.; Wang, S.P.; Zhang, L.R.; Wilkes, A.; Zhao, L.; Zhao, X.Q.; Xu, S.X.; Xu, B.R.B.Y. CO2, CH4 and N2O fluxes in an alpine meadow on the Tibetan Plateau as affected by N-addition and grazing exclusion. Nutr. Cycl. Agroecosystems 2020, 117, 29–42. [Google Scholar] [CrossRef]
- Finocchiaro, R.; Tangen, B.; Gleason, R. Greenhouse gas fluxes of grazed and hayed wetland catchments in the US Prairie Pothole Ecoregion. Wetl. Ecol. Manag. 2014, 22, 305–324. [Google Scholar] [CrossRef]
- Xu, H.W.; You, C.M.; Tan, B.; Xu, L.; Liu, Y.; Wang, M.G.; Xu, Z.F.; Sardans, J.; Penuelas, J. Effects of livestock grazing on the relationships between soil microbial community and soil carbon in grassland ecosystems. Sci. Total Environ. 2023, 881, 163416. [Google Scholar] [CrossRef]
- Wilson, C.H.; Strickland, M.S.; Hutchings, J.A.; Bianchi, T.S.; Flory, S.L. Grazing enhances belowground carbon allocation, microbial biomass, and soil carbon in a subtropical grassland. Glob. Chang. Biol. 2018, 24, 2997–3009. [Google Scholar] [CrossRef]
- Mipam, T.D.; Zhong, L.L.; Liu, J.Q.; Miehe, G.; Tian, L.M. Productive overcompensation of alpine meadows in response to yak grazing in the eastern Qinghai-Tibet plateau. Front. Plant Sci. 2019, 10, 925. [Google Scholar] [CrossRef] [PubMed]
- Yan, L.; Li, Y.; Wang, L.; Zhang, X.; Wang, J.; Wu, H.; Yan, Z.; Zhang, K.; Kang, X. Grazing significantly increases root shoot ratio but decreases soil organic carbon in Qinghai-Tibetan Plateau grasslands: A hierarchical meta-analysis. Land Degrad. Dev. 2020, 31, 2369–2378. [Google Scholar] [CrossRef]
- Wang, G.Y.; Mao, J.F.; Fan, L.L.; Ma, X.X.; Li, Y.M. Effects of climate and grazing on the soil organic carbon dynamics of the grasslands in Northern Xinjiang during the past twenty years. Glob. Ecol. Conserv. 2022, 34, e02039. [Google Scholar] [CrossRef]
- Keiluweit, M.; Nico, P.S.; Kleber, M.; Fendorf, S. Are oxygen limitations under recognized regulators of organic carbon turnover in upland soils? Biogeochemistry 2016, 127, 157–171. [Google Scholar] [CrossRef]
- Mclatchey, G.P.; Reddy, K.R. Regulation of organic matter decomposition and nutrient release in a wetland soil. J. Environ. Qual. 1998, 27, 1268–1274. [Google Scholar] [CrossRef]
- Zhao, Q.; Poulson, S.R.; Obrist, D.; Sumaila, S.; Dynes, J.J.; McBeth, J.M.; Yang, Y. Iron-bound organic carbon in forest soils: Quantification and characterization. Biogeosciences 2016, 13, 4777–4788. [Google Scholar] [CrossRef]
- Colombo, C.; Palumbo, G.; He, J.Z.; Pinton, R.; Cesco, S. Review on iron availability in soil: Interaction of Fe minerals, plants, and microbes. J. Soils Sediments 2014, 14, 538–548. [Google Scholar] [CrossRef]
- Thompson, A.; Chadwick, O.A.; Boman, S.; Chorover, J. Colloid mobilization during soil iron redox oscillations. Environ. Sci. Technol. 2006, 40, 5743–5749. [Google Scholar] [CrossRef]
- Buettner, S.W.; Kramer, M.G.; Chadwick, O.A.; Thompson, A. Mobilization of colloidal carbon during iron reduction in basaltic soils. Geoderma 2014, 221–222, 139–145. [Google Scholar] [CrossRef]
- Shi, W.J.; Du, M.; Ye, C.; Zhang, Q.F. Divergent effects of hydrological alteration and nutrient addition on greenhouse gas emissions in the water level fluctuation zone of the Three Gorges Reservoir, China. Water Res. 2021, 201, 117308. [Google Scholar] [CrossRef]
- Hatala, J.A.; Detto, M.; Sonnentag, O.; Deverel, S.J.; Verfaillie, J.; Baldocchi, D.D. Greenhouse gas (CO2, CH4, H2O) fluxes from drained and flooded agricultural peatlands in the Sacramento–San Joaquin Delta. Agric. Ecosyst. Environ. 2012, 150, 1–18. [Google Scholar] [CrossRef]
- Jansson, J.K.; Hofmockel, K.S. Soil microbiomes and climate change. Nat. Rev. Microbiol. 2020, 18, 35–46. [Google Scholar] [CrossRef]
- Tang, S.M.; Wang, K.; Xiang, Y.Z.; Tian, D.H.; Wang, J.S.; Liu, Y.S.; Cao, B.; Guo, D.; Niu, S.L. Heavy grazing reduces grassland soil greenhouse gas fluxes: A global meta-analysis. Sci. Total Environ. 2019, 654, 1218–1224. [Google Scholar] [CrossRef]
- Zhou, X.; Talley, M.; Luo, Y. Biomass, litter, and soil respiration along a precipitation gradient in southern Great Plains, USA. Ecosystems 2009, 12, 1369–1380. [Google Scholar] [CrossRef]
- Calabrese, S.; Garcia, A.; Wilmoth, J.L.; Zhang, X.; Porporato, A. Critical inundation level for methane emissions from wetlands. Environ. Res. Lett. 2021, 16, 044038. [Google Scholar] [CrossRef]
- Miyata, A.; Leuning, R.; Denmead, O.T.; Kim, J.; Harazono, Y. Carbon dioxide and methane fluxes from an intermittently flooded paddy field. Agric. For. Meteorol. 2000, 102, 287–303. [Google Scholar] [CrossRef]
- Hoyt, A.M.; Gandois, L.; Eri, J.; Kai, F.M.; Harvey, C.F.; Cobb, A.R. CO2 emissions from an undrained tropical peatland: Interacting influences of temperature, shading and water table depth. Glob. Chang. Biol. 2019, 25, 2885–2899. [Google Scholar] [CrossRef] [PubMed]
- Hoyos-Santillan, J.; Lomax, B.H.; Large, D.; Turner, B.L.; Lopez, O.R.; Boom, A.; Sepulveda-Jauregui, A.; Sjogersten, S. Evaluation of vegetation communities, water table, and peat composition as drivers of greenhouse gas emissions in lowland tropical peatlands. Sci. Total Environ. 2019, 688, 1193–1204. [Google Scholar] [CrossRef] [PubMed]
- Zhao, M.; Han, G.; Li, J.; Song, W.; Qu, W.; Eller, F.; Wang, J.; Jiang, C. Responses of soil CO2 and CH4 emissions to changing water table level in a coastal wetland. J. Clean. Prod. 2020, 269, 122316. [Google Scholar] [CrossRef]
- Eler, K.; Plestenjak, G.; Ferlan, M.; Cater, M.; Simoncic, P.; Vodnik, D. Soil respiration of karst grasslands subjected to woody-plant encroachment. Eur. J. Soil Sci. 2013, 64, 210–218. [Google Scholar] [CrossRef]
- Plestenjak, G.; Eler, K.; Vodnik, D.; Ferlan, M.; Cater, M.; Kanduc, T.; Simoncic, P.; Ogrinc, N. Sources of soil CO2 in calcareous grassland with woody plant encroachment. J. Soils Sediments 2012, 12, 1327–1338. [Google Scholar] [CrossRef]
- Parkinson, K.J. An Improved Method for Measuring Soil Respiration in the Field. J. Appl. Ecol. 1981, 18, 221–228. [Google Scholar] [CrossRef]
- Crill, P.M.; Bartlett, K.B.; Harriss, R.C.; Gorham, E.; Verry, E.S.; Sebacher, D.I.; Madzar, L.; Sanner, W. Methane flux from Minnesota Peatlands. Glob. Biogeochem. Cycl. 1988, 2, 371–384. [Google Scholar] [CrossRef]
- Wang, H.; Yu, L.; Zhang, Z.; Liu, W.; Chen, L.; Cao, G.; Yue, H.; Zhou, J.; Yang, Y.; Tang, Y.; et al. Molecular mechanisms of water table lowering and nitrogen deposition in affecting greenhouse gas emissions from a Tibetan alpine wetland. Glob. Chang. Biol. 2017, 23, 815–829. [Google Scholar] [CrossRef]
- Vance, E.D.; Brookes, P.C.; Jenkinson, D.S. An extraction method for measuring soil microbial biomass C. Soil Biol. Biochem. 1987, 19, 703–707. [Google Scholar] [CrossRef]





Disclaimer/Publisher’s Note: The statements, opinions and data contained in all publications are solely those of the individual author(s) and contributor(s) and not of MDPI and/or the editor(s). MDPI and/or the editor(s) disclaim responsibility for any injury to people or property resulting from any ideas, methods, instructions or products referred to in the content. |
© 2024 by the authors. Licensee MDPI, Basel, Switzerland. This article is an open access article distributed under the terms and conditions of the Creative Commons Attribution (CC BY) license (https://creativecommons.org/licenses/by/4.0/).
Share and Cite
Qu, Y.; Wang, D.; Jin, S.; Zheng, Z.; Diao, Z.; Rong, Y. Flooding Length Mediates Fencing and Grazing Effects on Soil Respiration in Meadow Steppe. Plants 2024, 13, 666. https://doi.org/10.3390/plants13050666
Qu Y, Wang D, Jin S, Zheng Z, Diao Z, Rong Y. Flooding Length Mediates Fencing and Grazing Effects on Soil Respiration in Meadow Steppe. Plants. 2024; 13(5):666. https://doi.org/10.3390/plants13050666
Chicago/Turabian StyleQu, Yan, Deping Wang, Sanling Jin, Zhirong Zheng, Zhaoyan Diao, and Yuping Rong. 2024. "Flooding Length Mediates Fencing and Grazing Effects on Soil Respiration in Meadow Steppe" Plants 13, no. 5: 666. https://doi.org/10.3390/plants13050666
APA StyleQu, Y., Wang, D., Jin, S., Zheng, Z., Diao, Z., & Rong, Y. (2024). Flooding Length Mediates Fencing and Grazing Effects on Soil Respiration in Meadow Steppe. Plants, 13(5), 666. https://doi.org/10.3390/plants13050666
