Abstract
Significant research has been conducted on the effects of fertilizers or agents on the sustainable development of agriculture in salinization areas. By contrast, limited consideration has been given to the interactive effects of microbial fertilizer (MF) and salinity on hydraulic properties in secondary salinization soil (SS) and coastal saline soil (CS). An incubation experiment was conducted to investigate the effects of saline soil types, salinity levels (non-saline, low-salinity, and high-salinity soils), and MF amounts (32.89 g kg−1 and 0 g kg−1) on soil hydraulic properties. Applied MF improved soil water holding capacity in each saline soil compared with that in CK, and SS was higher than CS. Applied MF increased saturated moisture, field capacity, capillary fracture moisture, the wilting coefficient, and the hygroscopic coefficient by 0.02–18.91% in SS, while it was increased by 11.62–181.88% in CS. It increased soil water supply capacity in SS (except for high-salinity soil) and CS by 0.02–14.53% and 0.04–2.34%, respectively, compared with that in CK. Soil available, readily available, and unavailable water were positively correlated with MF, while soil gravity and readily available and unavailable water were positively correlated with salinity in SS. Therefore, a potential fertilization program with MF should be developed to increase hydraulic properties or mitigate the adverse effects of salinity on plants in similar SS or CS areas.
1. Introduction
Soil salinization has become a serious threat to global agricultural production and food security, leading to the alteration or disruption of agricultural land productivity [1,2]. Secondary salinization soil (SS) and coastal saline soil (CS) are important types of saline soil in China. To improve crop yield, organic and inorganic fertilizers are typically applied to increase agricultural productivity, while nitrate from fertilization has been used more than that required for crop cultivation [3,4]. Subsequently, considerable nitrate accumulation in the soil results in secondary soil salinization [5,6]. Meanwhile, rising sea levels, seawater intrusion, and upward saline groundwater movement in coastal areas cause coastal soil salinization [7]. The aforementioned soil salinization types are considered major factors that limit the sustainable development of the agricultural ecological environment in China and worldwide [8,9,10,11]. Therefore, saline soil remediation has become an important strategy for improving agricultural production to achieve global food security. To properly remediate and utilize saline soil, understanding the response of soil hydraulic properties to salinity levels is crucial because soil hydraulic properties are important factors that influence plant growth and salt migration [12,13,14].
Information on soil hydraulic properties (e.g., soil water holding capacity, saturated moisture, field capacity, permanent wilting point, soil water supply capacity, and soil water availability) is crucial for solving relevant issues in the hydrological, soil, agricultural, ecological, and environmental fields [15,16,17,18,19,20]. Moreover, soil hydraulic properties are the governing factors for the retention and transportation of salt and nutrients, particularly in soil salinization areas [21]. However, salts in soil water also affect soil hydraulic properties because they restrict plant roots from extracting water from the surrounding soil [22]. Hence, improving soil hydraulic properties has become an urgent problem in soil salinization areas [23]. The use of microorganisms was recently investigated for its effectiveness in saline soil remediation, such as in improving soil properties [24,25], decreasing salinity, and alleviating salinity stress [26]. However, many questions remain regarding the mediated processes in saline soil when using a fertilizer with microorganisms, particularly the soil hydraulic properties in both secondary salinization soil and coastal saline soil. Does the application of microbial fertilizer (MF) play a positive role in soil hydraulic properties? Is there a difference between the two types of saline soil? Will an interaction exist between the microbial fertilizer and salinity? All these questions require answers, and clarifying the effects of microbial fertilizer on soil hydraulic properties and the interactive effects of microbial fertilizer and salinity is urgent. Most recent studies have revealed the influence of microorganisms on soil moisture [27,28]; that is, soil salinity interferes with the movement of soil water [29], and microorganisms may regulate soil salt accumulation [30]. Be that as it may, only a few studies have produced convincing evidence for the interactive effects of salinity and microbes on soil hydraulic properties. Available relevant experimental data and evidence that can answer these questions are scarce, at least in secondary salinization and coastal saline soil. Thus, we attempted to use microbial fertilizer to ameliorate both secondary salinization and coastal saline soil and, consequently, reveal the interactive effects of microbial fertilizers and salinity on soil hydraulic properties.
To test our assumption, two types and three levels of saline soil were designated in an incubation experiment to elucidate the process of soil hydraulic properties affected by microbial fertilizer and salinity. The objectives of this study were as follows: to (i) reveal the changes in soil hydraulic properties affected by the application of microbial fertilizer, and (ii) clarify the interactive effects of microbial fertilizer and salinity both on secondary salinization soil and coastal saline soil and the principal driver of the effects on soil hydraulic properties. The results are expected to provide new solutions for strategies to increase hydraulic properties or mitigate the adverse effects of salinity on plants in secondary salinization soils or coastal saline soils. This study not only provides a complex process for the interactive effects of microbial fertilizer and salinity on soil hydraulic properties but further confirms the notion that soil can be improved by applying microbial fertilizer and the practical significance of microbial fertilizer application for soil water conservation and salinity migration in secondary salinization soil and coastal saline soil.
2. Materials and Methods
2.1. Experimental Soil
Two types of saline soils within the depth of 0–30 cm were sampled in July 2016: a secondary salinization soil from the Vegetables and Flowers Institute of Hohai University test base (31°43′18″ N,118°46′18″ E), Nanjing of Jiangsu Province, Eastern China, and a coastal saline soil from Dongtai City of Jiangsu Province, Eastern China (32°38′29″ N, 120°54′09″ E). The salt in secondary salinization soil was predominantly Ca(NO3)2 and KNO3, while that in coastal saline soil was predominantly NaCl, based on our and others’ previous studies [31,32,33,34,35]. Their electrical conductivity (EC) was about 2.81 dS m−1 and 3.25 dS m−1. The non-saline soil was collected from farmland at the same soil profile depth adjacent to the saline soil, with an average EC < 2.0 dS m−1. The soil properties are listed in Table 1.
Table 1.
Properties of secondary salinization soil and coastal saline soil.
2.2. Microbial Fertilizer Preparation
The microbial fertilizer used in this study was produced by formulating effective microorganism (EM) liquid, organic fertilizer, rice straw, animal excrement, and molasses. In particular, this microbial fertilizer was a fermentative mixture of effective microorganisms, including more than 80 species of microbes. Moreover, the primary raw materials of the microbial inoculum were organic fertilizer, rice straw, animal excrement, and molasses. Then, the materials were fermented and prepared for more than 30 days. The microbial fertilizer contained organic matter; its total nitrogen was 30% and 5%, and its total (P + K) was 1%. The organic fertilizer was provided by Nanjing Ningliang Bio-fertilizer Co., Ltd., Nanjing, China. The effective microorganisms were provided by Aimule Environmental Biotechnology (Nanjing) Co., Ltd., Nanjing, China. The EMs had a pH of 3.8 and emitted the smell of kvass or fermenting fruit juice (photosynthetic bacteria, yeasts, actinomycetes, and fermenting fungi) [36]. the number of contained effective viable bacteria was 1010–1012 cfu mL−1.
2.3. Experimental Design
To better compare the differences between soil hydraulic properties and the types and levels of saline soil, we designated the types of saline soils as secondary salinization soil and coastal saline soil. Moreover, the levels of soil salinity in secondary salinization soil were non-saline soil (SS0) and low-salinity soil (SS1), while the levels of soil salinity in coastal saline soil were non-saline soil (CS0) and low-salinity soil (CS1). The SS0, SS1, CS0, and CS1 soils were used as is. By contrast, high-salinity soil (SS2 and CS2, ≈4.0 dS m−1) was prepared by adding Ca(NO3)2 and KNO3 to SS1 and adding NaCl to CS1. Each level contained a treatment group that received microbial fertilizer (32.89 g kg−1) and a control (0 g kg−1, CK), with three replicates for each treatment (Table 2). Microbial fertilizer was mixed into the soil before being placed in pots, and all the soil samples with microbial fertilizer or the control (CK) were used to conduct a 110-day incubation experiment. The experimental pots had an inner diameter of 20 cm and a height of 18 cm.
Table 2.
Experimental design.
2.4. Soil Physical and Chemical Properties
For soil pH and electrical conductivity (EC) of 1:5 soil: water extracts were obtained using a pH electrode and a conductivity electrode (Mettler-Toledo Ltd., Shanghai, China), respectively. Bulk density was determined using the samples collected with larger ring cutters, with the moist samples being oven-dried at 105 °C to constant weight. Soil available nitrogen content was measured using the alkaline hydrolysis diffusion method [37]. Soil available P was extracted with 0.5 mol L−1 NaHCO3 [38]. In addition, soil available K was measured using flame photometry, which was extracted with 1 M ammonium acetate [39].
2.5. Soil Hydraulic Properties
2.5.1. Soil Water Characteristic Curve
Soil water characteristic curves (SWCCs) were determined by using pressure plates (Pressure Vessel 1500, Soil Moisture Equipment Corp., Goleta, CA, USA), following Yang et al. [40]. Suction was successively applied to establish 10 matric potentials of 0, 0.05, 0.1, 0.2, 0.3, 0.5, 1, 5, 10, and 15 bar (100 kPa) (Figure 1). Finally, all the soil samples were maintained at 105 °C until a constant mass was reached. The average value was used to calculate the soil volumetric moisture content at each pressure level [40]. These soil moisture contents and corresponding pressures were used to create each SWCC.
Figure 1.
Pressure plate testing using the pressure vessel (5 bar and 15 bar).
By plotting θ against soil matrix suction (), an SWCC was fitted using the Gardner model in accordance with the following formula [40,41]:
where θ is the soil water content (cm3 cm−3), is the soil matrix suction (100 kPa), and A and B are the parameters of the SWCC.
2.5.2. Soil Water Supply Capacity
Soil-specific water capacity is the amount of water released (or absorbed) when the soil water suction increases (or decreases) by one unit. Specific water capacity is frequently used to describe the soil water supply capacity, and it is given as [42]:
where C(θ) is the soil-specific water capacity (cm3 cm−3 100 kPa−1).
2.5.3. Soil Water Characteristic Parameters
Soil water characteristic parameters were calculated using the SWCCs, which included moisture at saturation (θsat, defined as the volumetric soil water content when the matric potential is −0 bar), field capacity (θfc, defined as the volumetric soil water content when the matric potential is −0.3 bar), capillary fracture (θcp, about 65% of θfc), the wilting coefficient (θwc, defined as the volumetric soil water content when the matric potential is −15 bar), and the hygroscopic coefficient (θhyg, θhyg is θwc divided by 1.5 to 2.0 times) [40].
2.5.4. Soil Water Availability
Soil water availability included gravity water (GM, the value of θsat minus θfc), available water (AW, the value of θfc minus θwc), readily available water (RAW, the value of θfc minus θcp), and unavailable water (UAW, the water less than θwc) [40,43,44].
The formulas for the coefficient of determination (R2), mean error (ME, cm3 cm−3), and root mean square error (RMSE, cm3 cm−3) are as follows [45,46]:
where Mk and Pk are the measured and predicted values, and k = 1, 2, 3, …, n; is the mean of Mk; and n is the number of observations.
2.6. Statistical Analysis
Statistical analysis for a randomized plot design was performed using SPSS 17.0. When statistical significance (p < 0.05) was detected, Duncan’s multiple range tests were performed on the mean values. The figures were drawn using Origin 2021 (OriginLab, Northampton, MA, USA). The relationships between soil hydraulic properties and microbial fertilizer and salinity were analyzed using redundancy analysis (RDA). The microbial fertilizer and salinity data used in the regression analysis were normalized values, which were log (x + 1) transformed before the analysis to meet the normality and homogeneity of variance [47].
3. Results
3.1. Changes in Soil Water Characteristic Curves
The SWCCs of the different types of saline soil are shown in Figure 2a–c, and the parameters of each treatment fitted by the Gardner model are provided in Table 3. As depicted in Figure 2a–c, the water content of all the treatments presented a decreasing trend with an increase in soil water suction, which decreases sharply before 0.5 bar (100 kPa) and, subsequently, changes more slowly at 1–15 bar (100 kPa). The application of microbial fertilizer significantly affects both secondary salinization soil and coastal saline soil. In non-saline soil, the SWCCs of the microbial fertilizer application in MF-SS0 and MF-CS0 were higher than those in CK-SS0 and CK-CS0 (Figure 2). The slope of the SWCCs demonstrated an increased variation with the application of microbial fertilizer, and this increase in variability resulted in corresponding changes in soil water holding capacity. Moreover, the Gardner model parameters (A) and (A·B) in MF-SS0 and MF-CS0 were significantly increased by 15.13% and 36.86% (A), and 8.39% and 18.83 (A·B), respectively, compared with CK-SS0 and CK-CS0 (Table 3), indicating that soil water holding capacity with microbial fertilizer applied to each type of saline soil was higher than that in CK, and soil water holding capacity in secondary salinization soil was higher than that in coastal saline soil. From the SWCCs and the parameters (A and A·B), the order of soil water holding capacity can be concluded as follows: MF-SS0 > CK-SS0 > MF-CS0 > CK-CS0 (Figure 2a). Similar changes occurred in low-salinity soil and high-salinity soil, the order of soil water holding capacity is MF-SS1 > CK-SS1 > MF-CS1 > CK-CS1 and MF-SS2 > CK-SS2 > MF-CS2 > CK-CS2, respectively (Figure 2b,c).

Figure 2.
Soil water characteristic curves of different saline soil types within the suction range of 0–15 (100 kPa). (a) SS0 (secondary salinization soil with non-saline) and CS0 (coastal saline soil with non-saline); (b) SS1 (secondary salinization soil with low salinity) and CS1 (coastal saline soil with low-salinity); (c) SS2 (secondary salinization soil with high salinity) and CS2 (coastal saline soil with high-salinity).
Table 3.
Gardner fitting parameters and equations for soil water characteristic curves.
The SWCCs were fitted using the Gardner model, and the correlation coefficients of the SWCCs were R2 > 0.91 (Table 3), indicating that the data that fitted the soil water characteristic curves were closely correlated to the measured data. Moreover, the θ values measured and predicted by the Gardner model for each saline level are shown in Figure 3. A general agreement in the non-saline, low-salinity, and high-salinity soils was observed between the predicted and measured θ values because the R2 value of the linear regression was within the range of 0.8516–0.8931, the ME was within the range of 0.0001–0.0012 cm3 cm−3, and the RMSE was within the range of 0.0551–0.0702 cm3 cm−3, where the latter two were close to zero. The R2 value of high-salinity soil was higher than that of non-saline soil (Figure 3), indicating that the saline levels in the soil affected the SWCCs, and the high-salinity soil was better.
Figure 3.
Comparison of the measured and predicted soil water contents (θ) for (a) non-saline soil, (b) low-salinity soil, and (c) high-salinity soil.
3.2. Change in Soil Water Characteristic Parameters
Soil water characteristic parameters were significantly affected by microbial fertilizer and salinity (Table 4). Microbial fertilizer exerted significant effects on soil water characteristic parameters (e.g., θsat, θfc, θcp, θwc, and θhyg) both in secondary salinization soil and coastal saline soil. All the soil water characteristic parameters with the application of microbial fertilizer were higher than those of CK. In particular, applied microbial fertilizer increased the θsat, θfc, θcp, θwc, and θhyg parameters in secondary salinization soil by 0.02–18.91% (Table 4). By contrast, applied microbial fertilizer in coastal saline soil was significantly higher than that in secondary salinization soil, increasing by 11.62–181.88% (Table 4). The types and levels of saline soil also significantly affected the soil water characteristic parameters (Table 4). The elevated levels of saline soil significantly increased the soil water characteristic parameters in coastal saline soil and high-salinity secondary salinization soil. By contrast, only parameter θhyg increased in low-salinity secondary salinization soil. Basically, θfc and θwc can reflect soil water holding capacity. Our data demonstrated that θfc and θwc in coastal saline soil increased by 12.20% and 31.32% (CS1), and by 13.90% and 62.64% (CS2) compared with CS0. Moreover, θfc and θwc in high-salinity secondary salinization soil were increased by 3.64% and 27.53% (SS2), respectively. Meanwhile, only θwc increased in low-salinity secondary salinization soil by 11.29% (SS1) compared with SS0.
Table 4.
Soil water characteristic parameters.
3.3. Changes in Soil Water Supply Capacity
Soil water supply capacity refers to the ability of soil to supply water to plants under certain conditions [42]. The C(θ) value for each soil water suction is calculated in Table 5. The specific water capacity decreased with increasing soil water suction. This finding is attributed to the fact that changes in suction caused larger pore drainage in the low-suction section, and the corresponding specific water capacity is larger. By contrast, soil water pore aperture size becomes smaller with increased suction, and the corresponding specific water capacity is smaller. When the suction was 0.5 bar (100 kPa), the soil lost water rapidly in all the treatments, and the C(θ) values were 102 (most of the secondary salinization soil) or 101 (coastal saline soils) orders of magnitude (Table 5).
Table 5.
Specific water capacity.
The application of microbial fertilizer in specific water capacity was higher than in no application, indicating that microbial fertilizer could increase soil water supply capacity, increasing the drought resistance of the soil. In particular, the specific water capacity was significantly increased in MF-SS0 and MF-SS1 by 0.02–7.40% and 0.02–14.53%, respectively, compared with that in CK, while no significant difference was noted in MF-SS2 (Table 5). Moreover, specific water capacity decreased in CS0, CS1, and CS2 when the suction was lower (<0.2 bar). In comparison, the application of microbial fertilizer gradually played a role with an increase in suction (0.3–15 bar). The soil-specific water capacity in MF-CS0, MF-CS1, and MF-CS2 was increased by 0.04–1.83%, 0.08–2.34%, and 0.06–1.12%, respectively, compared with that in CK (Table 5). Salinity also exerted significant and identical effects on soil-specific water capacity. Soil-specific water capacity was slightly higher than that in CK with an increase in salinity when suction was higher (>0.3 bar) and only found in CK-SS2, CK-CS2, and CK-CS1. However, soil-specific water capacity was lower than that in CK with an increase in salinity in CK-SS1 and CK-SS2 (<0.3 bar), CK-CS1 (<0.1 bar), and CK-CS2 (<0.2 bar) when suction was lower. Moreover, soil-specific water capacity was lower than that in CK with an increase in salinity in MF-SS1, MF-SS2, and MF-CS2. Meanwhile, it was lower than that in CK in MF-CS1 with lower suction (<0.1 bar) because the application of microbial fertilizer plays a leading role and exhibits better water supply capacity and drought resistance.
3.4. Changes in Soil Water Availability
The application of microbial fertilizer increased available water, readily available water (except SS0), and unavailable water in secondary salinization soils and coastal saline soils. Meanwhile, no significant relationship was found for gravity water (Table 6). Notably, available soil water for the application of microbial fertilizer in MF-SS1 and MF-SS2 was increased by 14.12% and 19.80%, respectively, compared with that in CK (Table 6). Moreover, the soil available water in MF-CS0, MF-CS1, and MF-CS2 increased by 24.81%, 43.15%, and 20.46%, respectively, compared with that of CK. For soil readily available water after microbial fertilizer application, the value was increased by 10.67%, 15.49%, and 14.14% in SS and increased by 35.17%, 59.83%, and 38.03% in CS compared with that in CK (Table 6). These findings indicate that applying microbial fertilizer can increase the soil’s available and readily available water, and the effects on coastal saline soils are greater than those on secondary salinization soils. As salinity increased, soil available water increased by 10.0% and 8.29% in coastal saline soils, but it decreased by 19.55% and 28.02% in secondary salinization soils. Similarly, soil readily available water increased in coastal saline soils (by 12.16% and 13.78%) and secondary salinization soils (SS2, 3.64%) but decreased in secondary salinization soils (SS1, 1.99%) (Table 6).
Table 6.
Soil water availability.
3.5. Relationships among Microbial Fertilizer, Salinity, and Soil Hydraulic Properties
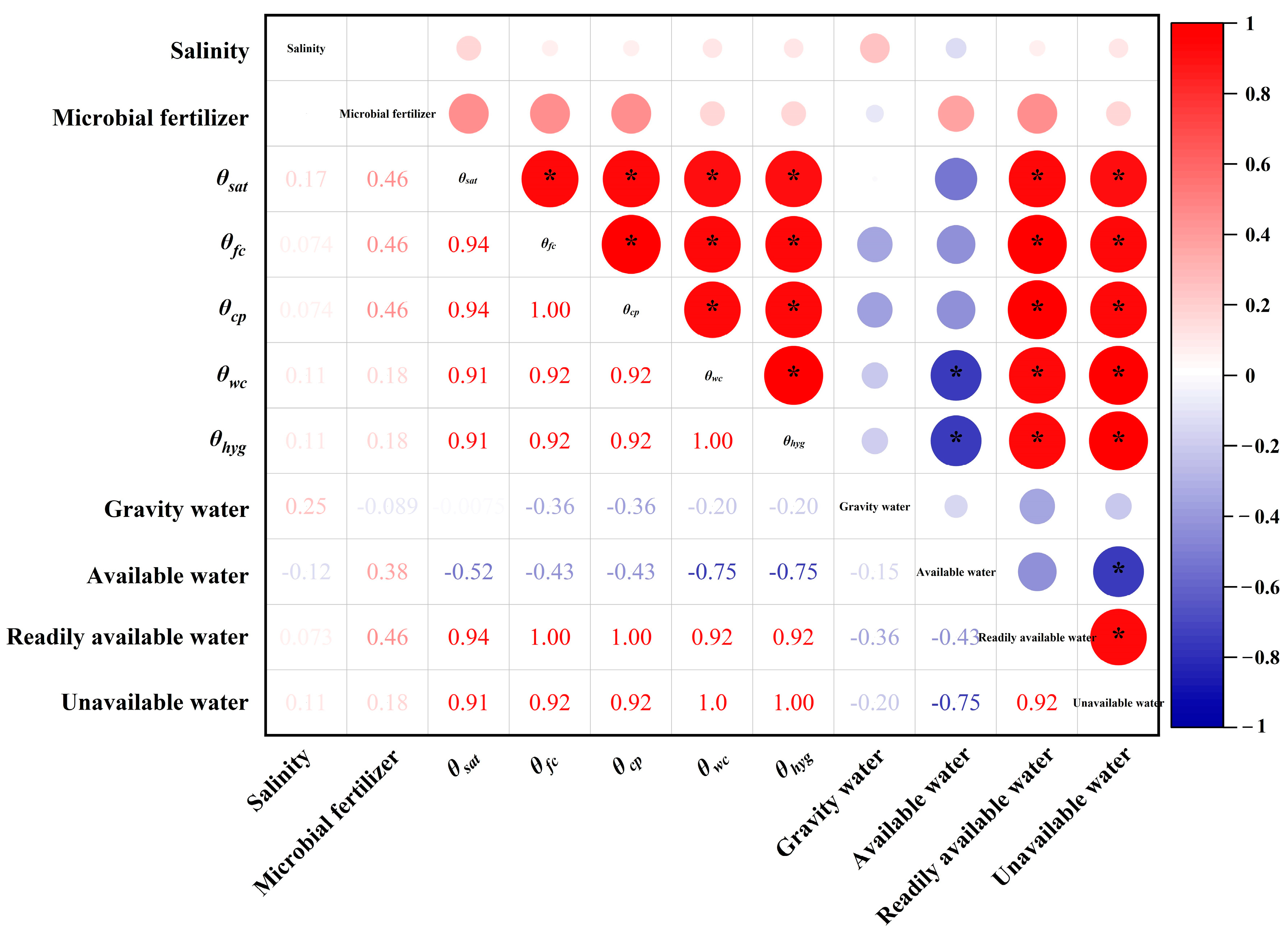
The correlation analysis among microbial fertilizer, salinity, and soil hydraulic properties is depicted in Figure 4. Microbial fertilizer exhibited a positive correlation with θsat, θfc, θcp, θwc, θhyg, available water, readily available water, and unavailable water but a negative correlation with gravity water (Figure 4), indicating that the application of microbial fertilizer increased θsat, θfc, θcp, θwc, and θhyg and soil water availability. That is, the application of microbial fertilizer can condition plants to resist wilting under water deficits and salinity stress. In particular, it improves θfc, available water, and readily available water; this condition is conducive to the absorption of available water by plants. Notably, salinity exhibited a negative correlation with soil available water (Figure 4), indicating that increasing or excessive salinity exerted an inhibitory effect on soil available water by altering soil water transport. In addition, available water presented a significant and negative correlation with θwc (p < 0.05). That is, an increase in the wilting coefficient resulted in less soil available water. However, what seems clear is that a significant amount of water stored by this soil may not be available to plant roots.
Figure 4.
Correlation heat map with significant marks between microbial fertilizer and salinity and soil hydraulic properties. Note: red represents positive correlations, while blue represents negative correlations. * p < 0.05.
3.6. Interpretations of Soil Hydraulic Properties and Microbial Fertilizer and Salinity Using RDA
The redundancy analysis (RDA) indicated that the microbial fertilizer and salinity altered soil water holding capacity (Figure 5a). In the ordination diagrams, soil water holding capacity under each soil water suction and microbial fertilizer exhibited the strongest positive correlations, while salinity presented positive correlations with soil water holding capacity (Figure 5a).

Figure 5.
RDA illustrating the relationships between soil hydraulic properties and microbial fertilizer and salinity. Note: the numbers 0.05, 0.1, 0.2, 0.3, 0.5, 1, 5, 10, and 15 represent the soil water holding capacity and specific water capacity of each suctions (100 kpa).
The RDA showed that the application of microbial fertilizer exhibited a significant positive correlation with soil water supply capacity after lower soil suction (>0.1 bar). By comparison, salinity only presented a positive correlation with soil water supply capacity at higher suction (>0.5 bar) (Figure 5b). However, no similar relationship was observed in lower suction and low-salinity soil (CK-SS1).
Regardless of soil type, the RDA indicated that soil water characteristic parameters increased with increasing salinity (except SS1) and the application of microbial fertilizer. Moreover, the soil water characteristic parameters presented significant positive correlations with microbial fertilizer while only demonstrating positive correlations with salinity (Figure 5c). In our study, the RDA indicated that soil available water, readily available water, and unavailable water were positively correlated with microbial fertilizer; moreover, soil gravity water, readily available water, and unavailable water were positively correlated with salinity (Figure 5c). However, soil available water was negatively correlated with salinity.
4. Discussion
4.1. Interactive Effects of Microbial Fertilizer and Salinity on Soil Water Characteristic Curves
Our results showed that applying microbial fertilizer improved soil water holding capacity compared with that of CK. However, this effect depended on the types and levels of saline soils. In non-saline soil, microbial fertilizer exerts a greater effect on secondary salinization soil than coastal saline soil. In low-salinity and high-salinity soil, the effect on coastal saline soil is greater than that of secondary salinization soil. Thus, the microbial fertilizer and salinity interaction affects soil water holding capacity. These results are consistent with those obtained in a previous study, which reported that soil water holding capacity was significantly increased compared with that of the control when fertilizer was applied [48]. Similar findings were observed by Duan et al. [49], who indicated that bio-organic fertilizers can improve soil physical structure and hydraulic characteristics, resulting in improved soil water holding capacity. Moreover, our data demonstrated that soil water holding capacity increased with increasing salinity levels. This result was emphasized by Zhang et al. [50], who reported an interaction effect between changes in soil ion content and the movement of soil pore water in saline soil, where soil water holding capacity increased with increasing soil ion content. Similarly, Sun et al. [51] found that more Na+, K+, Cl−, and other salt ions in vivo were absorbed and accumulated by plants in saline soil. This condition can actively improve water absorption capacity and water retention capacity.
4.2. Interactive Effects of Microbial Fertilizer and Salinity on Soil Water Characteristic Parameters
Soil θsat, θfc, and θcp were negatively correlated with an increase in salinity in SS1, while a significant positive relationship was found in the other types of saline soil (Table 4). The relationship between θsat, θfc, θcp, θwc, and θhyg and microbial fertilizer was more significant in coastal saline soil than in secondary salinization soil. The relationship between θsat, θfc, θcp, θwc, and θhyg and salinity was significant in SS2 and CS2, which contained lower salt levels than SS1 and CS1. Similar findings were also confirmed by Chen et al. [52], who indicated that the functional bacteria in bio-organic fertilizer can promote the formation of soil aggregates, which can increase water content at both θfc and θwc. The current research indicated that θsat, θfc, and θwc were highly significantly responsive to the combined application fertilizer [53]. Some studies have indicated that soil water content at θwc increased with increasing soil salinity [54]. The results were in agreement with the findings of Sun et al. [51], who reported that soil with moderate salinity can enhance θfc water retention.
4.3. Interactive Effects of Microbial Fertilizer and Salinity on Soil Water Supply Capacity
The interaction between microbial fertilizer and salinity significantly influenced the specific water capacity of all soil samples. Our results proved that the application of microbial fertilizer has significant positive correlations with soil water supply capacity after lower soil suction (>0.1 bar). By comparison, salinity only exhibits positive correlations with soil water supply capacity at higher suction (>0.5 bar). These results are in line with a previous report by Kuila and Ghosh [55], which showed that application of arbuscular mycorrhizal fungi can increase plant water uptake and soil water holding capacity and increase tolerance to soil salinity stresses. Noticeably, our results indicated that the soil water supply capacity increased with increasing salinity at higher suction. Interestingly, Zhang et al. [50] concluded that soil residual water content increased with increasing soil ion content, improving soil water holding capacity while reducing soil water supply capacity. This finding is attributed to the lower thickness of the water attached to the soil surface (adsorbed water) under higher soil water salinity levels, resulting in a lower conducting soil water content [56].
4.4. Interactive Effects of Microbial Fertilizer and Salinity on Soil Water Availability
Soil water availability is also influenced by the interaction between microbial fertilizer and salinity. Our study indicated that soil available water, readily available water, and unavailable water were positively correlated with microbial fertilizer, and soil gravity water, readily available water, and unavailable water were positively correlated with salinity. However, soil available water exhibits a negative correlation with salinity levels. This finding is attributed to the fact that the effects of specific salt ion toxicity dominated, and with an increase in salinity, water extraction by plants was significantly less than that of the predicted values based on the total soil water potential [57]. However, in any case, microbial fertilizer can increase soil water availability in secondary salinization soils and coastal saline soils, which are considered readily available water for plants. These findings were also confirmed by Li et al. [58], who found that soil available water significantly responds to fertilizer application.
Moreover, a previous study revealed that soil water holding capacity, θfc, readily available water, and water absorption were increased with an increase in soil salinity [51]. From a practical point of view, however, salinity adversely affects plants. Excess salts affect the uptake of nutrients and water by plants, and changes in the soil environment can affect microbial activities [59], interfering with the normal and microbe-mediated soil processes [60]. Consequently, plant growth is affected, although parts of the soil water characteristic parameters increase with salt content.
The present study highlights the importance of a direct link between microbial fertilizer and soil hydraulic properties. However, different salt levels significantly affect soil hydraulic properties, and thus, we explained and discussed why salinity affects soil hydraulic properties and the interaction between salinity and microbial fertilizer. Despite all these inconsistent findings and controversy, in any case, our results from a carefully designed and measured experiment suggested that the application of microbial fertilizer was the principal driver for improving the hydraulic properties of saline soil. As a whole, our results indicated that microbial fertilizer contributes directly to soil water holding capacity, soil water characteristic parameters, soil water supply capacity, and soil water availability. This outcome encourages further studies and methodological development to improve our understanding of the relationship between microbial fertilizer and its direct effect on soil hydraulic properties.
5. Conclusions
To our knowledge, this study is a rare report on the interactive effect of microbial fertilizer and salinity on both secondary salinization and coastal saline soil and its effects on the interactions among soil hydraulic properties. Soil water holding capacity improved with the application of microbial fertilizer and increasing salinity levels. The soil water characteristic parameters increased with microbial fertilizer, but they increased with salinity only in coastal saline and high-salinity secondary salinization soil. In addition, the soil-specific water capacity of microbial fertilizer increased in secondary salinization soils (non- and low-) and coastal saline soils by 0.02–14.53% and 0.04–2.34% compared with CK while only demonstrating a positive correlation with salinity at higher suction (>0.5 bar). Moreover, available, readily available, and unavailable water were positively correlated with microbial fertilizer (increased above 10.67%), and gravity, readily available, and unavailable water were positively correlated with salinity. In contrast, available water in secondary salinization soils was negatively correlated with salinity. However, although the increase in salt content can enhance parts of the soil’s hydraulic properties, it exerts an adverse effect on plant growth and soil properties. In any case, microbial fertilizer was the principal driver for improving the hydraulic properties of both secondary salinization and coastal saline soils. A conclusion could be drawn from the above results that microbial fertilizer should be suggested to increase hydraulic properties or mitigate the adverse effects of salinity on plants in secondary salinization soils or coastal saline soils.
Author Contributions
Conceptualization, X.Y., K.Z., Z.Q. and J.Z.; methodology, X.Y., T.C. and H.Y.; software, X.Y.; validation, X.Y., K.Z. and Y.A.H.; investigation, X.Y., H.S., T.C. and J.Z.; data curation, X.Y. and T.C.; writing—original draft preparation, X.Y. and K.Z.; writing—review and editing, X.Y., K.Z., Z.Q., H.S. and Y.A.H.; supervision, K.Z.; funding acquisition, X.Y. and K.Z. All authors have read and agreed to the published version of the manuscript.
Funding
This research was funded by the National Natural Science Foundation of China (grant number 42201047), the China Postdoctoral Science Foundation (grant number 2022M711025), the Fundamental Research Funds for the Central Universities (grant number B230201036), the Jiangsu Funding Program for Excellent Postdoctoral Talent (grant number 2022ZB175), the National Key R&D Program of China (grant number 2023YFC3006504), and the National Natural Science Foundation of China (grant number 51879067).
Data Availability Statement
Data are contained within the article.
Conflicts of Interest
The authors declare no conflicts of interest.
References
- Khasanov, S.; Kulmatov, R.; Li, F.; Van Amstel, A.; Bartholomeus, H.; Aslanov, I.; Sultonov, K.; Kholov, N.; Liu, H.; Chen, G. Impact assessment of soil salinity on crop production in uzbekistan and its global significance. Agric. Ecosyst. Environ. 2023, 342, 108262. [Google Scholar] [CrossRef]
- Salomon, M.J.; Cavagnaro, T.R. Healthy soils: The backbone of productive, safe and sustainable urban agriculture. J. Clean. Prod. 2022, 341, 130808. [Google Scholar] [CrossRef]
- Sharma, G.K.; Khan, S.A.; Shrivastava, M.; Bhattacharyya, R.; Sharma, A.; Gupta, N.; Bhatia, A. Phycoremediated n-fertilization approaches on reducing environmental impacts of agricultural nitrate leaching. J. Clean. Prod. 2022, 345, 131120. [Google Scholar] [CrossRef]
- Vogeler, I.; Hansen, E.M.; Thomsen, I.K. The effect of catch crops in spring barley on nitrate leaching and their fertilizer replacement value. Agric. Ecosyst. Environ. 2023, 343, 108282. [Google Scholar] [CrossRef]
- Alotaibi, K.D.; Alharbi, H.A.; Yaish, M.W.; Ahmed, I.; Alharbi, S.A.; Alotaibi, F.; Kuzyakov, Y. Date palm cultivation: A review of soil and environmental conditions and future challenges. Land Degrad. Dev. 2023, 34, 2431–2444. [Google Scholar] [CrossRef]
- Zhou, B.; Jia, R.; Chen, X.; Yang, L.; Duan, M.; Xiao, F.; Liang, C.; Zhou, D.; Li, W.; Liu, C. Impact of bacteria-nitrogen coupling on cotton growth and nitrogen utilization under different salt stress. Agric. Water Manag. 2023, 280, 108221. [Google Scholar] [CrossRef]
- Xie, W.; Chen, Q.; Wu, L.; Yang, H.; Xu, J.; Zhang, Y. Coastal saline soil aggregate formation and salt distribution are affected by straw and nitrogen application: A 4-year field study. Soil Tillage Res. 2020, 198, 104535. [Google Scholar] [CrossRef]
- Cao, Y.; Li, X.; Qian, X.; Gu, H.; Li, J.; Chen, X.; Shen, G. Soil health assessment in the yangtze river delta of China: Method development and application in orchards. Agric. Ecosyst. Environ. 2023, 341, 108190. [Google Scholar] [CrossRef]
- Hou, X.; Xiang, Y.; Fan, J.; Zhang, F.; Hu, W.; Yan, F.; Xiao, C.; Li, Y.; Cheng, H.; Li, Z. Spatial distribution and variability of soil salinity in film-mulched cotton fields under various drip irrigation regimes in southern xinjiang of China. Soil Tillage Res. 2022, 223, 105470. [Google Scholar] [CrossRef]
- Singh, A. Soil salinity: A global threat to sustainable development. Soil Use Manag. 2022, 38, 39–67. [Google Scholar] [CrossRef]
- Wang, M.; Janssen, A.B.G.; Bazin, J.; Strokal, M.; Ma, L.; Kroeze, C. Accounting for interactions between sustainable development goals is essential for water pollution control in China. Nat. Commun. 2022, 13, 730. [Google Scholar] [CrossRef]
- Coban, O.; De Deyn, G.B.; Van Der Ploeg, M. Soil microbiota as game-changers in restoration of degraded lands. Science 2022, 375, abe0725. [Google Scholar] [CrossRef]
- Sheteiwy, M.S.; Abd Elgawad, H.; Xiong, Y.-C.; Macovei, A.; Brestic, M.; Skalicky, M.; Shaghaleh, H.; Alhaj Hamoud, Y.; El-Sawah, A.M. Inoculation with Bacillus amyloliquefaciens and Mycorrhiza confers tolerance to drought stress and improve seed yield and quality of soybean plant. Physiol. Plant. 2021, 172, 2153–2169. [Google Scholar] [CrossRef]
- Su, F.; Wu, J.; Wang, D.; Zhao, H.; Wang, Y.; He, X. Moisture movement, soil salt migration, and nitrogen transformation under different irrigation conditions: Field experimental research. Chemosphere 2022, 300, 134569. [Google Scholar] [CrossRef]
- Polich, N.G.; Lozano, L.A.; Villarreal, R.; Salazar, M.P.; Melani, E.M.; Soracco, C.G. Cover crops effects on anisotropy of unsaturated soil hydraulic properties. Soil Tillage Res. 2023, 227, 105601. [Google Scholar] [CrossRef]
- Xiao, T.; Li, P.; Fei, W.; Wang, J. Effects of vegetation roots on the structure and hydraulic properties of soils: A perspective review. Sci. Total Environ. 2024, 906, 167524. [Google Scholar] [CrossRef] [PubMed]
- Ma, R.; Tian, Z.; Wang, M.; Zhu, X.; He, Y.; Shi, X.; Liang, Y. Effects of organic amendments on soil hydraulic characteristics in the mollisols of northeast China. Land Degrad. Dev. 2023, 34, 5401–5415. [Google Scholar] [CrossRef]
- Yao, C.; Zhang, Q.; Wang, C.; Ren, J.; Li, H.; Wang, H.; Wu, F. Response of sediment transport capacity to soil properties and hydraulic parameters in the typical agricultural regions of the loess plateau. Sci. Total Environ. 2023, 879, 163090. [Google Scholar] [CrossRef] [PubMed]
- Talukder, R.; Plaza-Bonilla, D.; Cantero-Martínez, C.; Wendroth, O.; Lampurlanés, J. Soil hydraulic properties and pore dynamics under different tillage and irrigated crop sequences. Geoderma 2023, 430, 116293. [Google Scholar] [CrossRef]
- Dragonetti, G.; Farzamian, M.; Basile, A.; Monteiro Santos, F.; Coppola, A. In situ estimation of soil hydraulic and hydrodispersive properties by inversion of electromagnetic induction measurements and soil hydrological modeling. Hydrol. Earth Syst. Sci. 2022, 26, 5119–5136. [Google Scholar] [CrossRef]
- Klopp, H.W.; Arriaga, F.A.; Daigh, A.L.M.; Bleam, W.F. Development of functions to predict soil hydraulic properties that account for solution sodicity and salinity. Catena 2021, 204, 105389. [Google Scholar] [CrossRef]
- Zhang, X.; Shu, C.; Wu, Y.; Ye, P.; Du, D. Advances of coupled water-heat-salt theory and test techniques for soils in cold and arid regions: A review. Geoderma 2023, 432, 116378. [Google Scholar] [CrossRef]
- Rezaei, M.; Shahbazi, K.; Shahidi, R.; Davatgar, N.; Bazargan, K.; Rezaei, H.; Saadat, S.; Seuntjens, P.; Cornelis, W. How to relevantly characterize hydraulic properties of saline and sodic soils for water and solute transport simulations. J. Hydrol. 2021, 598, 125777. [Google Scholar] [CrossRef]
- Wu, H.; Cui, H.; Fu, C.; Li, R.; Qi, F.; Liu, Z.; Yang, G.; Xiao, K.; Qiao, M. Unveiling the crucial role of soil microorganisms in carbon cycling: A review. Sci. Total Environ. 2024, 909, 168627. [Google Scholar] [CrossRef]
- Sheteiwy, M.S.; Ali, D.F.I.; Xiong, Y.C.; Brestic, M.; Skalicky, M.; Hamoud, Y.A.; Ulhassan, Z.; Shaghaleh, H.; Abdelgawad, H.; Farooq, M.; et al. Physiological and biochemical responses of soybean plants inoculated with arbuscular mycorrhizal fungi and bradyrhizobium under drought stress. BMC Plant Biol. 2021, 21, 195. [Google Scholar] [CrossRef] [PubMed]
- Zhang, G.; Bai, J.; Zhai, Y.; Jia, J.; Zhao, Q.; Wang, W.; Hu, X. Microbial diversity and functions in saline soils: A review from a biogeochemical perspective. J. Adv. Res. 2023. [Google Scholar] [CrossRef] [PubMed]
- Yang, X.; Shao, X.; Mao, X.; Li, M.; Zhao, T.; Wang, F.; Chang, T.; Guang, J. Influences of drought and microbial water-retention fertilizer on leaf area index and photosynthetic characteristics of flue-cured tobacco. Irrig. Drain. 2019, 68, 729–739. [Google Scholar] [CrossRef]
- Fan, L.; Tarin, M.W.K.; Zhang, Y.; Han, Y.; Rong, J.; Cai, X.; Chen, L.; Shi, C.; Zheng, Y. Patterns of soil microorganisms and enzymatic activities of various forest types in coastal sandy land. Glob. Ecol. Conserv. 2021, 28, e01625. [Google Scholar] [CrossRef]
- Li, G.; Zhang, C.; Huo, Z. Reconciling crop production and ecological conservation under uncertainty: A fuzzy credibility-based multi-objective simulation-optimization model. Sci. Total Environ. 2023, 873, 162340. [Google Scholar] [CrossRef]
- Feng, D.; Gao, Q.; Liu, J.; Tang, J.; Hua, Z.; Sun, X. Categories of exogenous substances and their effect on alleviation of plant salt stress. Eur. J. Agron. 2023, 142, 126656. [Google Scholar] [CrossRef]
- Wang, T.; Xu, Y.; Zuo, Q.; Shi, J.; Wu, X.; Liu, L.; Sheng, J.; Jiang, P.; Ben-Gal, A. Evaluating and improving soil water and salinity stress response functions for root water uptake. Agric. Water Manag. 2023, 287, 108451. [Google Scholar] [CrossRef]
- Zhou, C.; Song, Y.; Liu, Y.; Ding, X.; Wang, J.; Yin, Y.; Xiao, C.; Yang, Z.; Cai, Y. Simultaneous electrokinetic removal and in situ electrochemical degradation of a high nitrogen accumulated greenhouse soil. Electrochim. Acta 2023, 442, 141906. [Google Scholar] [CrossRef]
- Chang, T.; Zhang, Y.; Xu, H.; Shao, X.; Xu, Q.; Li, F.; Yu, L.; Zhang, Z. Osmotic adjustment and up-regulation expression of stress-responsive genes in tomato induced by soil salinity resulted from nitrate fertilization. Int. J. Agric. Biol. Eng. 2018, 11, 126–136. [Google Scholar] [CrossRef]
- Su, X.; Wang, Y.; Wang, G.; Zhang, Y.; Gong, X.; Yu, J.; Gou, F.; Lyu, H. Assessment and prediction of coastal saline soil improvement effects combining substrate amendments and salt barrier materials in typical region of the yangtze river delta. Soil Tillage Res. 2022, 223, 105483. [Google Scholar] [CrossRef]
- Yan, D.; Long, X.-E.; Ye, L.; Zhang, G.; Hu, A.; Wang, D.; Ding, S. Effects of salinity on microbial utilization of straw carbon and microbial residues retention in newly reclaimed coastal soil. Eur. J. Soil Biol. 2021, 107, 103364. [Google Scholar] [CrossRef]
- Zhou, S.; Chang, T.; Zhang, Y.; Shaghaleh, H.; Zhang, J.; Yang, X.; Qin, H.; Talpur, M.M.A.; Alhaj Hamoud, Y. Organic fertilizer compost alters the microbial composition and network structure in strongly acidic soil. Appl. Soil Ecol. 2024, 195, 105263. [Google Scholar] [CrossRef]
- Liu, Y.; Xu, F.; Ding, L.; Zhang, G.; Bai, B.; Han, Y.; Xiao, L.; Song, Y.; Li, Y.; Wan, S.; et al. Microplastics reduce nitrogen uptake in peanut plants by damaging root cells and impairing soil nitrogen cycling. J. Hazard. Mater. 2023, 443, 130384. [Google Scholar] [CrossRef]
- Amini, M.; Antelo, J.; Fiol, S.; Rahnemaie, R. Estimation of phosphate extractability in flooded soils: Effect of solid-solution ratio and bicarbonate concentration. Chemosphere 2022, 303, 135188. [Google Scholar] [CrossRef]
- Amin, A.E.-E.A.Z. Effects of saline water on soil properties and red radish growth in saline soil as a function of co-applying wood chips biochar with chemical fertilizers. BMC Plant Biol. 2023, 23, 382. [Google Scholar] [CrossRef] [PubMed]
- Yang, X.; Zhang, K.; Shaghaleh, H.; Qi, Z.; Gao, C.; Chang, T.; Zhang, J.; Zia-Ur-Rehman, M.; Hamoud, Y.A. Continuous cropping alters soil hydraulic and physicochemical properties in the karst region of southwestern China. Agronomy 2023, 13, 1416. [Google Scholar] [CrossRef]
- Zhang, W.; Zhu, X.; Xiong, X.; Wu, T.; Zhou, S.; Lie, Z.; Jiang, X.; Liu, J. Changes in soil infiltration and water flow paths: Insights from subtropical forest succession sequence. Catena 2023, 221, 106748. [Google Scholar] [CrossRef]
- Yu, H.; Zhao, W.; Ma, F.; Zeng, K.; Ma, F. Assessing the effects of agricultural waste returning on soil moisture characteristics. Environ. Prog. Sustain. Energy 2023, e14314. [Google Scholar] [CrossRef]
- Ghazouani, H.; Ibrahimi, K.; Amami, R.; Helaoui, S.; Boughattas, I.; Kanzari, S.; Milham, P.; Ansar, S.; Sher, F. Integrative effect of activated biochar to reduce water stress impact and enhance antioxidant capacity in crops. Sci. Total Environ. 2023, 905, 166950. [Google Scholar] [CrossRef]
- De Melo, M.L.A.; Inforsato, L.; Pinheiro, E.A.R.; De Jong Van Lier, Q. Plant available water predicted by a flux-based approach. Geoderma 2023, 429, 116253. [Google Scholar] [CrossRef]
- Wang, Y.; Zhou, J.; Ma, R.; Zhu, G.; Zhang, Y. Development of a new pedotransfer function addressing limitations in soil hydraulic models and observations. Water Resour. Res. 2022, 58, e2021WR031406. [Google Scholar] [CrossRef]
- Li, P.; Zha, Y.; Zuo, B.; Zhang, Y. A family of soil water retention models based on sigmoid functions. Water Resour. Res. 2023, 59, e2022WR033160. [Google Scholar] [CrossRef]
- Li, J.; Wu, L.; Chen, L.; Zhang, J.; Shi, Z.; Ling, H.; Cheng, C.; Wu, H.; Butler, A.D.; Zhang, Q.; et al. Effects of slopes, rainfall intensity and grass cover on runoff loss of mercury from floodplain soil in oak ridge tn: A laboratory pilot study. Geoderma 2024, 441, 116750. [Google Scholar] [CrossRef]
- Nath, C.P.; Kumar, N.; Dutta, A.; Hazra, K.K.; Praharaj, C.S.; Singh, S.S.; Das, K. Pulse crop and organic amendments in cropping system improve soil quality in rice ecology: Evidence from a long–term experiment of 16 years. Geoderma 2023, 430, 116334. [Google Scholar] [CrossRef]
- Duan, C.; Li, J.; Zhang, B.; Wu, S.; Fan, J.; Feng, H.; He, J.; Siddique, K.H.M. Effect of bio-organic fertilizer derived from agricultural waste resources on soil properties and winter wheat (Triticum aestivum L.) yield in semi-humid drought-prone regions. Agric. Water Manag. 2023, 289, 108539. [Google Scholar] [CrossRef]
- Zhang, M.; Guo, P.; Wu, B.; Guo, S. Change in soil ion content and soil water-holding capacity during electro-bioremediation of petroleum contaminated saline soil. J. Hazard. Mater. 2020, 387, 122003. [Google Scholar] [CrossRef]
- Sun, Y.L.; Wang, Y.H.; Deng, L.F.; Shi, X.; Bai, X.F. Moderate soil salinity alleviates the impacts of drought on growth and water status of plants. Russ. J. Plant Physiol. 2020, 67, 153–161. [Google Scholar] [CrossRef]
- Chen, C.; Lv, Q.; Tang, Q. Impact of bio-organic fertilizer and reduced chemical fertilizer application on physical and hydraulic properties of cucumber continuous cropping soil. Biomass Convers. Biorefinery 2024, 14, 921–930. [Google Scholar] [CrossRef]
- Rattan, B.; Dhobale, K.V.; Saha, A.; Garg, A.; Sahoo, L.; Sreedeep, S. Influence of inorganic and organic fertilizers on the performance of water-absorbing polymer amended soils from the perspective of sustainable water use efficiency. Soil Tillage Res. 2022, 223, 105449. [Google Scholar] [CrossRef]
- Mariem, D.; Mohamed, H. Effect of salinity on the hydro-structural properties of a sandy soil amended by the conditioner stockosorb. Commun. Soil Sci. Plant Anal. 2022, 53, 2982–2995. [Google Scholar] [CrossRef]
- Kuila, D.; Ghosh, S. Aspects, problems and utilization of Arbuscular mycorrhizal (AM) application as bio-fertilizer in sustainable agriculture. Curr. Res. Microb. Sci. 2022, 3, 100107. [Google Scholar] [CrossRef] [PubMed]
- Kong, F.; Nie, L.; Xu, Y.; Rui, X.; He, Y.; Zhang, T.; Wang, Y.; Du, C.; Bao, C. Effects of freeze-thaw cycles on the erodibility and microstructure of soda-saline loessal soil in northeastern China. Catena 2022, 209, 105812. [Google Scholar] [CrossRef]
- Abdalla, M.; Ahmed, M.A.; Cai, G.; Zarebanadkauki, M.; Carminati, A. Coupled effects of soil drying and salinity on soil–plant hydraulics. Plant Physiol. 2022, 190, 1228–1241. [Google Scholar] [CrossRef]
- Li, W.; Xie, L.; Zhao, C.; Hu, X.; Yin, C. Nitrogen fertilization increases soil microbial biomass and alters microbial composition especially under low soil water availability. Microb. Ecol. 2023, 86, 536–548. [Google Scholar] [CrossRef]
- Tiwari, S.; Sharma, B.; Bisht, N.; Tewari, L. Role of beneficial microbial gene pool in mitigating salt/nutrient stress of plants in saline soils through underground phytostimulating signalling molecules. Pedosphere 2023, 33, 153–171. [Google Scholar] [CrossRef]
- Philippot, L.; Chenu, C.; Kappler, A.; Rillig, M.C.; Fierer, N. The interplay between microbial communities and soil properties. Nat. Rev. Microbiol. 2023. [Google Scholar] [CrossRef]
Disclaimer/Publisher’s Note: The statements, opinions and data contained in all publications are solely those of the individual author(s) and contributor(s) and not of MDPI and/or the editor(s). MDPI and/or the editor(s) disclaim responsibility for any injury to people or property resulting from any ideas, methods, instructions or products referred to in the content. |
© 2024 by the authors. Licensee MDPI, Basel, Switzerland. This article is an open access article distributed under the terms and conditions of the Creative Commons Attribution (CC BY) license (https://creativecommons.org/licenses/by/4.0/).






