Water Deficit Diagnosis of Winter Wheat Based on Thermal Infrared Imaging
Abstract
1. Introduction
2. Results
2.1. Characteristics of Soil Moisture and Yield under Different Treatments
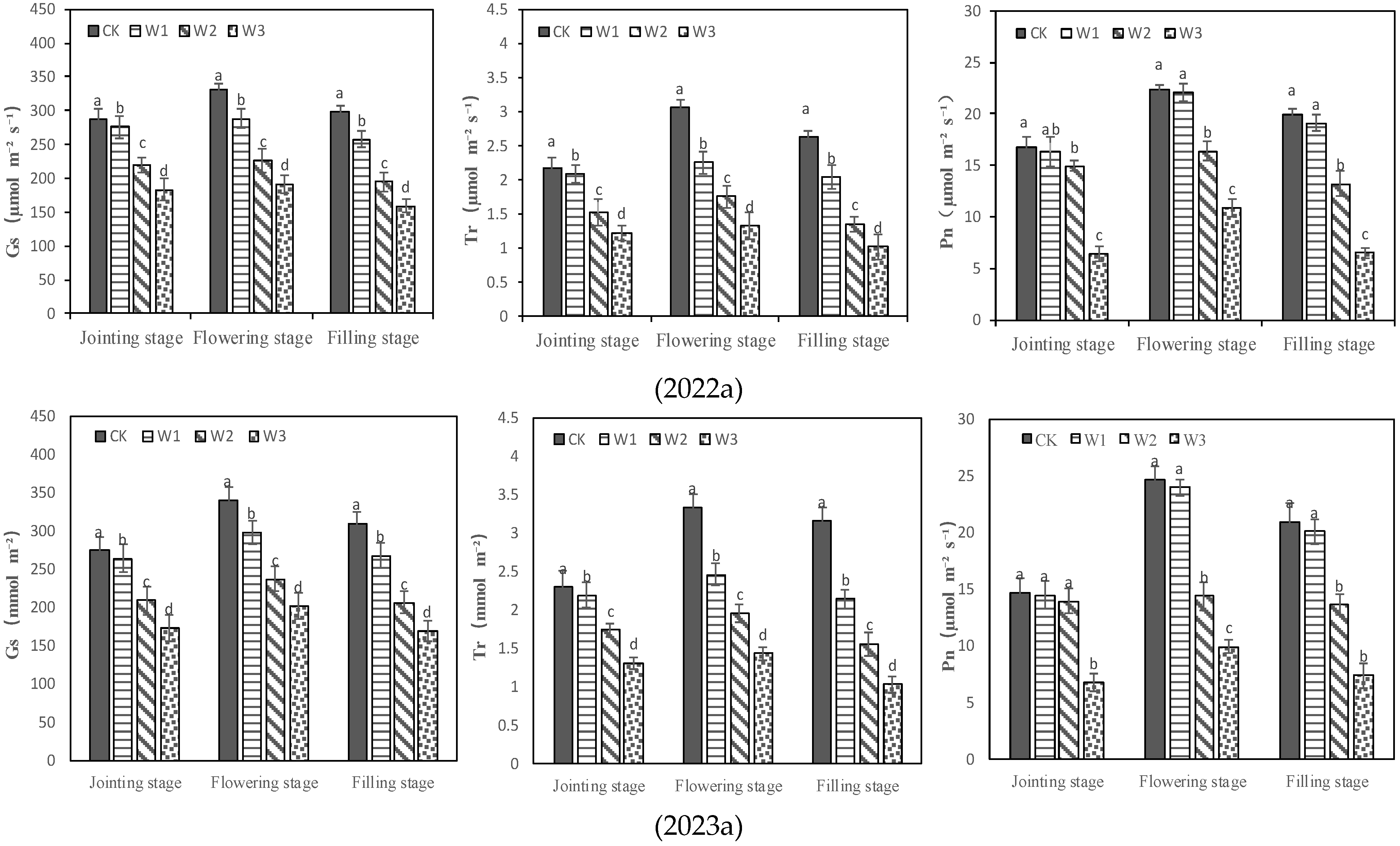
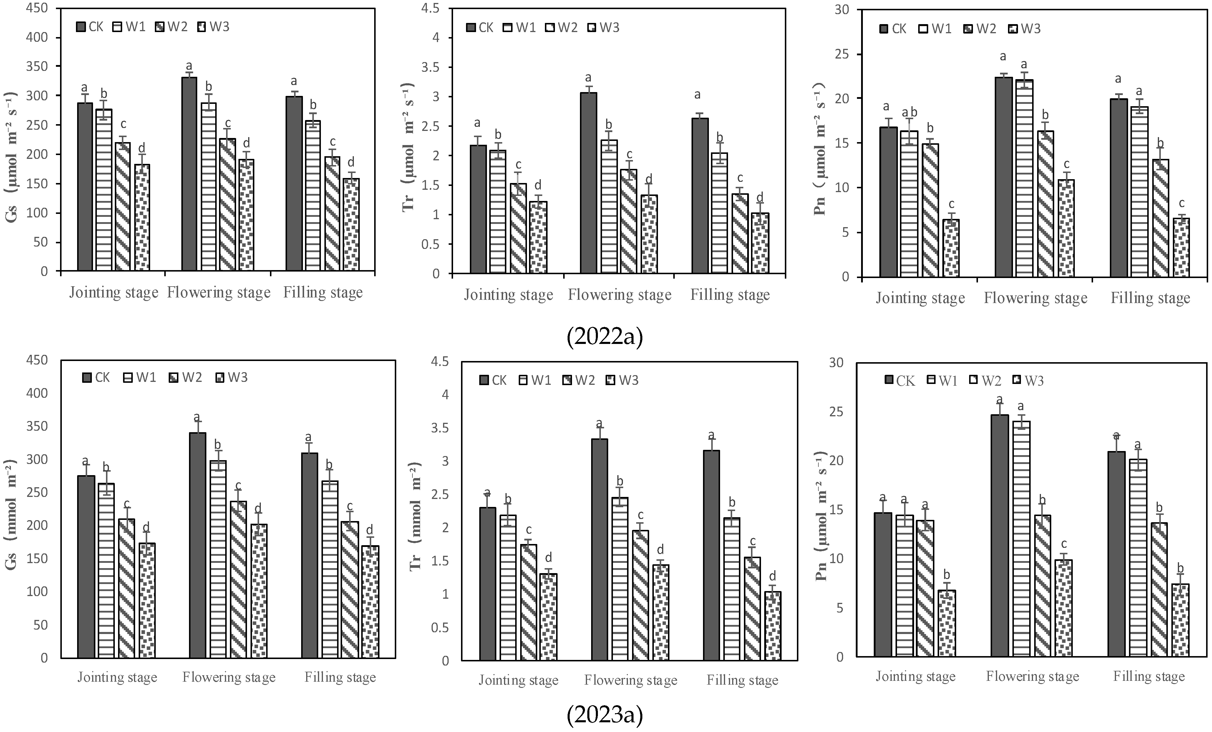
2.2. Stomatal Behavior and Water Status of Plants under Different Treatments
2.3. Correlation Analysis of CWSI with SWC, LRWC and Stomatal Characteristic Parameters
2.4. Regression Analysis of CWSI with Biomass and Grain Yield
3. Discussion
3.1. Sensitivity of Physiological Factors to Soil Water
3.2. Sensitivity of Canopy Temperature to Soil Water and Plant Physiological Factors
3.3. Feasibility Analysis of CWSI in Guiding Irrigation
4. Materials and Methods
4.1. Experimental Design
4.2. Monitoring Items and Methods
4.3. Calculation of Crop Water Stress Index (CWSI)
4.4. Yield Traits and Irrigation Water Use Efficiency (IWUE)
4.5. Statistical Analysis
5. Conclusions
Author Contributions
Funding
Data Availability Statement
Conflicts of Interest
References
- Yang, M.D.; Leghari, S.J.; Guan, X.K.; Ma, S.C.; Ding, C.M.; Mei, F.J.; Wei, L.; Wang, T.C. Deficit subsurface drip Irrigation improves water use efficiency and stabilizes yield by enhancing subsoil water extraction in winter wheat. Front. Plant Sci. 2020, 11, 508. [Google Scholar] [CrossRef]
- Ma, S.T.; Wang, T.C.; Ma, S.C. Effects of drip irrigation on root activity pattern, root-sourced signal characteristics and yield stability of winter wheat. Agric. Water Manag. 2022, 271, 107783. [Google Scholar] [CrossRef]
- Liu, R.; Yang, Y.; Wang, Y.S.; Wang, X.C.; Rengel, Z.; Zhang, W.J.; Shu, L.Z. Alternate partial root-zone drip irrigation with nitrogen fertigation promoted tomato growth, water and fertilizer-nitrogen use efficiency. Agric. Water Manag. 2020, 233, 106049. [Google Scholar] [CrossRef]
- Liu, L.Q.; Gao, X.; Ren, C.H.; Cheng, X.F.; Zhou, Y.; Huang, H.; Zhang, J.S.; Ba, Y.J. Applicability of the crop water stress index based on canopy-air temperature differences for monitoring water status in a cork oak plantation, northern China. Agric. For. Meteorol. 2022, 327, 109226. [Google Scholar] [CrossRef]
- Liu, Q.; Zhang, Z.T.; Liu, C.; Jia, J.D.; Huang, J.L.; Guo, Y.H.; Zhang, Q.Y. Improved method of crop water stress index based on UAV remote sensing. Trans. CSAE 2023, 39, 68–77. (In Chinese) [Google Scholar]
- Cohen, Y.; Alchanatis, V.; Meron, M.; Saranga, Y.; Tsipris, J. Estimation of leaf water potential by thermal imagery and spatial analysis. J. Exp. Bot. 2005, 56, 1843–1852. [Google Scholar] [CrossRef]
- Zhang, S.K.; Yang, H.; Du, T.S. Evaluating the water status of greenhouse tomatoes using thermal infrared imaging. Trans. CSAE 2022, 38, 229–236. (In Chinese) [Google Scholar]
- Grant, O.M.; Tronina, L.; Jones, H.G.; Chaves, M.M. Exploring thermal imaging variables for the detection of stress responses in grapevine under different irrigation regimes. J. Exp. Bot. 2007, 58, 815–825. [Google Scholar] [CrossRef] [PubMed]
- Padhi, J.; Misra, R.K.; Payero, J.O. Estimation of soil water deficit in an irrigated cotton field with infrared thermography. Field Crops Res. 2012, 126, 45–55. [Google Scholar] [CrossRef]
- Pineda, M.; Barón, M.; Pérez-Bueno, M.L. Thermal imaging for plant stress detection and phenotyping. Remote Sens. 2021, 13, 68. [Google Scholar] [CrossRef]
- Zhang, H.M.; Wang, J.J.; Han, W.T.; Li, S.Q.; Wang, H.Y.; Fu, Z.Y. Crop Canopy Temperature Extraction Based on Thermal Infrared Remote Sensing Images. Trans. CSAE 2019, 50, 203–210. (In Chinese) [Google Scholar]
- Munns, R.; James, R.; Sirault, X.; Furbank, R.T.; Jones, H.G. New phenotyping methods for screening wheat and barley for beneficial responses to water deficit. J. Exp. Bot. 2010, 61, 3499–3507. [Google Scholar] [CrossRef] [PubMed]
- Di, Y.; Gao, M.F.; Li, Q.; You, J. Study on the relationship between winter wheat canopy temperature and soil moisture under different irrigation gradients. China Agric. Inform. 2021, 33, 13–23. [Google Scholar]
- Ali, S.; Xu, Y.Y.; Ma, X.C.; Ahmad, I.; Manzoor; Jia, Q.M.; Akmal, M.; Hussain, Z.; Arif, M.; Cai, T.; et al. Deficit irrigation strategies to improve winter wheat productivity and regulating root growth under different planting patterns. Agric. Water Manag. 2019, 219, 1–11. [Google Scholar] [CrossRef]
- Zhang, X.Y.; Pei, D.; Cheng, S.Y. Use of crop stress index as indicators for scheduling irrigation in winter wheat. Chin. J. Eco-Agric. 2002, 10, 106–109. (In Chinese) [Google Scholar]
- Ma, S.C.; Duan, A.W.; Wang, R.; Guan, Z.M.; Yang, S.J.; Ma, S.T.; Shao, Y. Root-sourced signal and photosynthetic traits, dry matter accumulation and remobilization, and yield stability in winter wheat as affected by regulated deficit irrigation. Agric. Water Manag. 2015, 148, 123–129. [Google Scholar] [CrossRef]
- Tang, L.S.; Zhang, J.L.; Li, Y.; Zhou, B. Response of plants to the change of soil moisture content and the controlled alternative partial root-zone irrigation. Arid. Zone Res. 2005, 22, 90–93. [Google Scholar]
- Zhang, Z.T.; Bian, J.; Han, W.T.; Fu, Q.P.; Chen, S.B.; Cui, T. Cotton moisture stress diagnosis based on canopy temperature characteristics calculated from UAV thermal infrared image. Trans. CSAE 2018, 34, 77–84. (In Chinese) [Google Scholar]
- Idso, S.B.; Jackson, R.D.; Pinter, P.J.; Reginato, R.J.; Hatfield, J.L. Normalizing the stress-degree-day parameter for environmental variability. Agric. Meteorol. 1981, 24, 45–55. [Google Scholar] [CrossRef]
- Jones, H.G.; Stoll, M.; Santos, T.; de Sousa, C.; Chaves, M.M.; Grant, O.M. Use of infrared thermography for monitoring stomatal closure in the field: Application to grapevine. J. Exp. Bot. 2002, 53, 2249–2260. [Google Scholar] [CrossRef]
- Leinonen, I.; Jones, H.G. Combining thermal and visible imagery for estimating canopy temperature and identifying plant stress. J. Exp. Bot. 2004, 55, 1423–1431. [Google Scholar] [CrossRef]
- Wu, X.L.; Zhang, J.Y.; Liu, H.; Qiang, X.M.; Ning, H.F.; Chen, X.G.; Gong, X.W. Diagnosis method of cotton water status based on infrared thermal imaging. Chin. J. Appl. Ecol. 2016, 27, 165–172. (In Chinese) [Google Scholar]
- Cheng, Q.; Huang, C.Y.; Wang, D.W.; Xiao, L.J. Correlation between Cotton Canopy CWSI and Photosynthesis Characteristics Based on Infrared Thermography. Cotton Sci. 2012, 24, 341–347. (In Chinese) [Google Scholar]
- Yuan, G.F.; Luo, Y.; Sun, X.M.; Tang, D.Y. Winter wheat water stress detection based on canopy surface temperature. Trans. CSAE 2002, 18, 13–17. (In Chinese) [Google Scholar]
- Egea, G.; Padilla-Diaz, C.M.; Martinez-Guanter, J.; Fernandez, J.E.; Perez-Ruiz, M. Assessing a crop water stress index derived from aerial thermal imaging and infrared thermometry in super-high density olive orchards. Agric. Water Manag. 2017, 187, 210–221. [Google Scholar] [CrossRef]
- Usman, M.; Ahmad, A.; Ahmad, S.; Irshad, M.; Khaliq, T.; Wajid, A.; Hussain, K.; Nasim, W.; Chattha, T.M.; Trethowan, R.; et al. Development and application of crop water stress index for scheduling irrigation in cotton (Gossypium hirsutum L.) under semiarid environment. J. Food Agric. Environ. 2009, 7, 386–391. [Google Scholar]
- Zhang, C.; Liu, J.G.; Shang, J.L.; Cai, H.J. Capability of crop water content for revealing variability of winter wheat grain yield and soil moisture under limited irrigation. Sci. Total Environ. 2018, 631–632, 677–687. [Google Scholar] [CrossRef]
- Jia, D.Y.; Dai, X.L.; Men, H.W.; He, M.R. Assessment of winter wheat (Triticum aestivum L.) grown under alternate furrow irrigation in northern China: Grain yield and water use efficiency. Can. J. Plant Sci. 2014, 94, 349–359. [Google Scholar] [CrossRef]
- Fang, Q.; Zhang, X.Y.; Shao, L.W.; Chen, S.Y.; Sun, H.Y. Assessing the performance of different irrigation systems on winter wheat under limited water supply. Agric. Water Manag. 2018, 196, 133–143. [Google Scholar] [CrossRef]
- Chen, S.L.; Zhang, X.Y.; Chen, S.Y.; Sun, H.Y.; Pei, D. Variation and interrelationship of winter wheat canopy-air temperature difference, leaf water potential and crop water stress index under different water supply conditions. J. Triticeae Crop. 2005, 25, 28–43. (In Chinese) [Google Scholar]
- Zhang, X.Y.; Sun, H.Y.; Wang, Y.Y.; Zhang, X.Y. Application of a Simplified Method for Estimating CWSI with Infrared Thermography. Chin. J. Agrometeorol. 2013, 34, 569–575. [Google Scholar]
- Pinter, P.J.; Zipoli, G.; Reginato, R.J.; Jackson, R.D.; Idso, S.B.; Hohman, J.P. Canopy temperature as an indicator of differential water use and yield performance among wheat cultivars. Agric. Water Manag. 1990, 18, 35–48. [Google Scholar] [CrossRef]
- Jones, H.G. Use of infrared thermometry for estimation of stomatal conductance as a possible aid to irrigation scheduling. Agric. For. Meteorol. 1999, 95, 139–149. [Google Scholar] [CrossRef]






| Treatments | Biomass at Jointing Stage (kg ha−1) | Biomass at Flowering Stage (kg ha−1) | Grain Yield (kg ha−1) | Harvest Index | Total Irrigation Water (mm) | IWUE (kg ha−1 mm−1) | ||||||
|---|---|---|---|---|---|---|---|---|---|---|---|---|
| 2022 | 2023 | 2022 | 2023 | 2022 | 2023 | 2022 | 2023 | 2022 | 2023 | 2022 | 2023 | |
| CK | 3622.5a | 3501.4a | 8951.2a | 8916.8a | 8601.3a | 8692.4a | 0.39b | 0.40b | 300 | 300 | 30.3b | 30.0b |
| W1 | 3597.6a | 3483.6a | 8917.8a | 8866.5a | 8488.4a | 8586.8a | 0.43a | 0.44a | 240 | 240 | 36.9a | 37.3a |
| W2 | 3584.9a | 3444.7a | 7438.6b | 7700.7b | 6501.7b | 6565.1b | 0.40b | 0.41b | 180 | 180 | 36.1a | 36.5a |
| W3 | 3045.3b | 2854.2b | 5856.3c | 5685.7c | 4319.3c | 4086.0c | 0.39b | 0.37c | 160 | 160 | 27.0c | 25.5c |
| SWC | LRWC | Gs | Tr | Pn | |
|---|---|---|---|---|---|
| Jointing stage | −0.6925 ** | −0.6627 ** | −0.5028 * | −0.5009 * | −0.5032 * |
| Flowering stage | −0.6768 ** | −0.7549 ** | −0.7340 ** | −0.7177 ** | −0.6084 ** |
| Filling stage | −0.7018 ** | −0.7197 ** | −0.6620 ** | −0.6326 ** | −0.5081 * |
| Treatments | Seedling Stage | Jointing Stage | Heading Stage | Filling Stage | Total |
|---|---|---|---|---|---|
| CK | 80 | 80 | 80 | 60 | 300 |
| W1 | 70 | 70 | 70 | 30 | 240 |
| W2 | 60 | 60 | 60 | 180 | |
| W3 | 60 | 50 | 50 | 160 |
Disclaimer/Publisher’s Note: The statements, opinions and data contained in all publications are solely those of the individual author(s) and contributor(s) and not of MDPI and/or the editor(s). MDPI and/or the editor(s) disclaim responsibility for any injury to people or property resulting from any ideas, methods, instructions or products referred to in the content. |
© 2024 by the authors. Licensee MDPI, Basel, Switzerland. This article is an open access article distributed under the terms and conditions of the Creative Commons Attribution (CC BY) license (https://creativecommons.org/licenses/by/4.0/).
Share and Cite
Ma, S.; Liu, S.; Gao, Z.; Wang, X.; Ma, S.; Wang, S. Water Deficit Diagnosis of Winter Wheat Based on Thermal Infrared Imaging. Plants 2024, 13, 361. https://doi.org/10.3390/plants13030361
Ma S, Liu S, Gao Z, Wang X, Ma S, Wang S. Water Deficit Diagnosis of Winter Wheat Based on Thermal Infrared Imaging. Plants. 2024; 13(3):361. https://doi.org/10.3390/plants13030361
Chicago/Turabian StyleMa, Shouchen, Saisai Liu, Zhenhao Gao, Xinsheng Wang, Shoutian Ma, and Shengfeng Wang. 2024. "Water Deficit Diagnosis of Winter Wheat Based on Thermal Infrared Imaging" Plants 13, no. 3: 361. https://doi.org/10.3390/plants13030361
APA StyleMa, S., Liu, S., Gao, Z., Wang, X., Ma, S., & Wang, S. (2024). Water Deficit Diagnosis of Winter Wheat Based on Thermal Infrared Imaging. Plants, 13(3), 361. https://doi.org/10.3390/plants13030361

