Construction of Freezing Injury Grade Index for Nanfeng Tangerine Plants Based on Physiological and Biochemical Parameters
Abstract
1. Introduction
2. Results
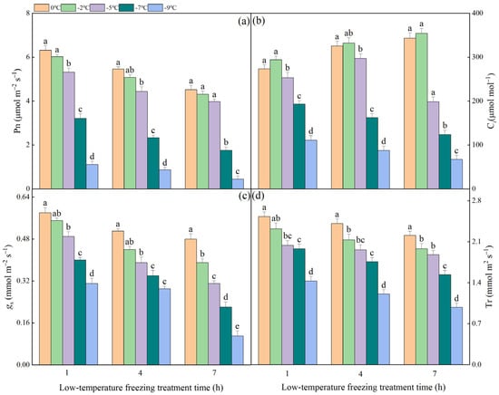
2.1. The Effect of Different Degrees of Low-Temperature Freezing Process on the Gas Exchange Parameters in NT Plants
2.2. The Effect of Different Degrees of Low-Temperature Freezing Process on Chlorophyll Fluorescence Parameters in NT Plants
2.3. The Effect of Different Degrees of Low-Temperature Freezing Process on the Content of Photosynthetic Pigments in NT Plants
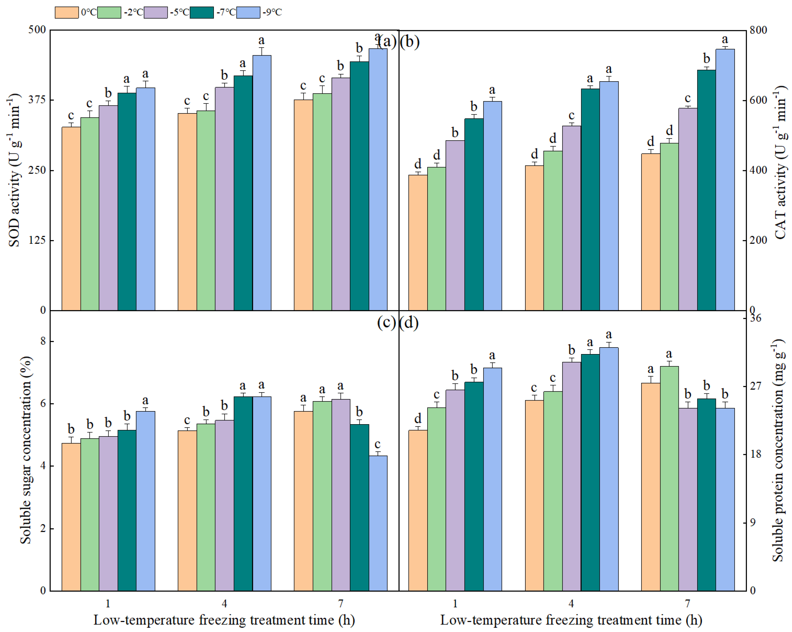
2.4. The Effect of Different Degrees of Low-Temperature Freezing Process on Antioxidant Enzyme Activity and Osmoregulatory Substance Content in NT Plants
2.5. The Effect of Different Degrees of Low-Temperature Freezing Process on the Content of Malondialdehyde and Hydrogen Peroxide in NT Leaves
2.6. Construction of Freezing Injury Grade Index for Nanfeng Tangerine Plants Based on Physiological and Biochemical Parameters
2.6.1. Extraction of Key Photosynthetic Physiological Characteristic Parameters
2.6.2. Construction and Grading of Comprehensive Score for Low Temperature Freezing Injury of NT Plants
3. Discussion
4. Materials and Methods
4.1. Experimental Materials and Treatments
4.2. Determination of Physiological and Biochemical Parameters
4.2.1. Measurement of Gas Exchange Parameters
4.2.2. Determination of Chlorophyll Fluorescence Parameters
4.2.3. Determination of Photosynthetic Pigment Content
4.2.4. Determination of Antioxidant Enzyme Activity and Osmoregulatory Substances
4.2.5. Determination of Malondialdehyde and Hydrogen Peroxide
4.3. Data Analysis and Processing
5. Conclusions
Author Contributions
Funding
Data Availability Statement
Conflicts of Interest
References
- Xu, C.; Wang, Y.; Yang, H.; Tang, Y.; Liu, X.; Liu, B.; Hu, X.; Hu, Z. Quantifying high-temperature-induced injury in nanfeng tangerine plants: Insights from photosynthetic and biochemical mechanisms. Agronomy 2024, 14, 648. [Google Scholar] [CrossRef]
- Qiu, X.; Yu, L.; Wang, W.; Yan, R.; Zhang, Z.; Yang, H.; Zhu, D.; Zhu, B. Comparative evaluation of microbiota dynamics and metabolites correlation between spontaneous and inoculated fermentations of Nanfeng tangerine Wine. Front. Microbiol. 2021, 12, 649978. [Google Scholar] [CrossRef] [PubMed]
- Xu, C.; Su, J.; Wang, Y.T.; Wan, S.L.; Hu, X.L.; Hu, Z.D.; Liu, B.C. Changes in photosynthetic physiological characteristics of three citrus species during occurrence of strong cold air and comprehensive evaluation of cold resistance. J. Fruit Sci. 2022, 39, 2309–2318. (In Chinese) [Google Scholar]
- Allen, D.J.; Ort, D.R. Impacts of chilling temperatures on photosynthesis in warm-climate plants. Trends Plant Sci. 2001, 6, 36–42. [Google Scholar] [CrossRef]
- Öquist, G. Effects of low temperature on photosynthesis. Plant Cell Environ. 1983, 6, 281. [Google Scholar] [CrossRef]
- Taylor, A.; Rowley, J. Plants under climatic stress: I. Low temperature, high light effects on photosynthesis. Plant Physiol. 1971, 47, 713–718. [Google Scholar] [CrossRef]
- Hendrickson, L.; Ball, M.C.; Wood, J.T.; Chow, W.S.; Furbank, R.T. Low temperature effects on photosynthesis and growth of grapevine. Plant Cell Environ. 2004, 27, 795–809. [Google Scholar] [CrossRef]
- Zhao, Y.; Han, Q.; Ding, C.; Huang, Y.; Liao, J.; Chen, T.; Feng, S.; Zhou, L.; Zhang, Z.; Chen, Y. Effect of low temperature on chlorophyll biosynthesis and chloroplast biogenesis of rice seedlings during greening. Int. J. Mol. Sci. 2020, 21, 1390. [Google Scholar] [CrossRef]
- Xu, C.; Wang, Y.; Yang, H.; Tang, Y.; Liu, B.; Hu, X.; Hu, Z. Cold acclimation alleviates photosynthetic inhibition and oxidative damage induced by cold stress in citrus seedlings. Plant Signal. Behav. 2023, 18, 2285169. [Google Scholar] [CrossRef]
- Guo, J.; Wang, Z.; Wei, Q.; Li, G.; Yang, H.; Lu, D. Response of waxy maize (Zea mays l. Var. Ceratina kulesh) leaf photosynthesis to low temperature during the grain-filling stage. Funct. Plant Biol. 2023, 50, 335–346. [Google Scholar] [CrossRef]
- Zhang, X.; Wang, J.; Feng, S.; Yu, X.; Zhou, A. Morphological and physiological responses of dianthus spiculifolius high wax mutant to low-temperature stress. J. Plant Physiol. 2022, 275, 153762. [Google Scholar] [CrossRef] [PubMed]
- Lambrev, P.H.; Tsonev, T.; Velikova, V.; Georgieva, K.; Lambreva, M.D.; Yordanov, I.; Kovács, L.; Garab, G. Trapping of the quenched conformation associated with non-photochemical quenching of chlorophyll fluorescence at low temperature. Photosynth. Res. 2007, 94, 321–332. [Google Scholar] [CrossRef] [PubMed]
- Chen, M.; Zhu, X.; Hou, M.; Luo, W.; Jiang, Y.; Yu, Y.; Wang, J.; Yuan, H.; Huang, X.; Hua, J. Effects of low-temperature stress on cold resistance biochemical characteristics of dali and siqiu tea seedlings. Horticulturae 2024, 10, 823. [Google Scholar] [CrossRef]
- Kitao, M.; Qu, L.; Koike, T.; Tobita, H.; Maruyama, Y. Increased susceptibility to photoinhibition in pre-existing needles experiencing low temperature at spring budbreak in sakhalin spruce (Picea glehnii) seedlings. Physiol. Plant. 2004, 122, 226–232. [Google Scholar] [CrossRef]
- Liu, Y.; Qi, M.; Li, T. Photosynthesis, photoinhibition, and antioxidant system in tomato leaves stressed by low night temperature and their subsequent recovery. Plant Sci. 2012, 196, 8–17. [Google Scholar] [CrossRef]
- Angmo, D.; Sharma, S.P.; Kalia, A.; Brar, N.S.; Bhardwaj, V. Effect of cold stress on field performance, chlorophyll fluorescence, electrolyte leakage and leaf gas exchange parameters of potato (Solanum tuberosum L.) genotypes. Potato Res. 2023, 66, 641–661. [Google Scholar] [CrossRef]
- Wu, P.; Ma, Y.; Ahammed, G.J.; Hao, B.; Chen, J.; Wan, W.; Zhao, Y.; Cui, H.; Xu, W.; Cui, J. Insights into melatonin-induced photosynthetic electron transport under low-temperature stress in cucumber. Front. Plant Sci. 2022, 13, 1029854. [Google Scholar] [CrossRef]
- Mansoor, S.; Ali Wani, O.; Lone, J.K.; Manhas, S.; Kour, N.; Alam, P.; Ahmad, A.; Ahmad, P. Reactive oxygen species in plants: From source to sink. Antioxidants 2022, 11, 225. [Google Scholar] [CrossRef]
- Saed-Moucheshi, A.; Shekoofa, A.; Pessarakli, M. Reactive oxygen species (ROS) generation and detoxifying in plants. J. Plant Nutr. 2014, 37, 1573–1585. [Google Scholar] [CrossRef]
- Choudhury, F.K.; Rivero, R.M.; Blumwald, E.; Mittler, R. Reactive oxygen species, abiotic stress and stress combination. Plant J. 2017, 90, 856–867. [Google Scholar] [CrossRef]
- Raza, M.A.; Sohail, H.; Hassan, M.A.; Sajad, S.; Xing, Y.; Song, J. Cold stress in brassica vegetables: Morpho-physiological and molecular responses underlying adaptive mechanism. Sci. Hortic. 2024, 329, 113002. [Google Scholar] [CrossRef]
- Song, X.; Wang, H.; Wang, Y.; Zeng, Q.; Zheng, X. Metabolomics combined with physiology and transcriptomics reveal how nicotiana tabacum leaves respond to cold stress. Plant Physiol. Bioch. 2024, 208, 108464. [Google Scholar] [CrossRef] [PubMed]
- Xu, H.; Huang, C.; Jiang, X.; Zhu, J.; Gao, X.; Yu, C. Impact of cold stress on leaf structure, photosynthesis, and metabolites in camellia weiningensis and c. Oleifera seedlings. Horticulturae 2022, 8, 494. [Google Scholar] [CrossRef]
- Jahed, K.R.; Saini, A.K.; Sherif, S.M. Coping with the cold: Unveiling cryoprotectants, molecular signaling pathways, and strategies for cold stress resilience. Front. Plant Sci. 2023, 14, 1246093. [Google Scholar] [CrossRef]
- Wang, G.; Zeng, F.; Song, P.; Sun, B.; Wang, Q.; Wang, J. Effects of reduced chlorophyll content on photosystem functions and photosynthetic electron transport rate in rice leaves. J. Plant Physiol. 2022, 272, 153669. [Google Scholar] [CrossRef]
- Simkin, A.J.; Kapoor, L.; Doss, C.G.P.; Hofmann, T.A.; Lawson, T.; Ramamoorthy, S. The role of photosynthesis related pigments in light harvesting, photoprotection and enhancement of photosynthetic yield in planta. Photosynth. Res. 2022, 152, 23–42. [Google Scholar] [CrossRef]
- Brewer, K.; Clulow, A.; Sibanda, M.; Gokool, S.; Naiken, V.; Mabhaudhi, T. Predicting the chlorophyll content of maize over phenotyping as a proxy for crop health in smallholder farming systems. Remote Sens. 2022, 14, 518. [Google Scholar] [CrossRef]
- Muncan, J.; Jinendra, B.M.S.; Kuroki, S.; Tsenkova, R. Aquaphotomics research of cold stress in soybean cultivars with different stress tolerance ability: Early detection of cold stress response. Molecules 2022, 27, 744. [Google Scholar] [CrossRef]
- Li, J.-Y.; Yang, C.; Tian, Y.-Y.; Liu, J.-X. Regulation of chloroplast development and function at adverse temperatures in plants. Plant Cell Physiol. 2022, 63, 580–591. [Google Scholar] [CrossRef]
- Yin, G.; Wang, Y.; Xiao, Y.; Yang, J.; Wang, R.; Jiang, Y.; Huang, R.; Liu, X.; Jiang, Y. Relationships between leaf color changes, pigment levels, enzyme activity, photosynthetic fluorescence characteristics and chloroplast ultrastructure of liquidambar formosana hance. J. Forestry Res. 2022, 33, 1559–1572. [Google Scholar] [CrossRef]
- Li, X.; Zhang, W.; Niu, D.; Liu, X. Effects of abiotic stress on chlorophyll metabolism. Plant Sci. 2024, 342, 112030. [Google Scholar] [CrossRef] [PubMed]
- Bassi, R.; Dall’Osto, L. Dissipation of light energy absorbed in excess: The molecular mechanisms. Annu. Rev. Plant Biol. 2021, 72, 47–76. [Google Scholar] [CrossRef] [PubMed]
- Zhang, F.; Jiang, N.; Zhang, H.; Huo, Z.; Yang, Z. Effect of low temperature on photosynthetic characteristics, senescence characteristics, and endogenous hormones of winter wheat “ji mai 22” during the jointing stage. Agronomy 2023, 13, 2650. [Google Scholar] [CrossRef]
- Soualiou, S.; Duan, F.; Li, X.; Zhou, W. Crop production under cold stress: An understanding of plant responses, acclimation processes, and management strategies. Plant Physiol. Bioch. 2022, 190, 47–61. [Google Scholar] [CrossRef]
- Sun, Y.; He, Y.; Irfan, A.R.; Liu, X.; Yu, Q.; Zhang, Q.; Yang, D. Exogenous brassinolide enhances the growth and cold resistance of maize (zea mays l.) seedlings under chilling stress. Agronomy 2020, 10, 488. [Google Scholar] [CrossRef]
- Li, Y.; Zhu, J.; Xu, J.; Zhang, X.; Xie, Z.; Li, Z. Effect of cold stress on photosynthetic physiological characteristics and molecular mechanism analysis in cold-resistant cotton (zm36) seedlings. Front. Plant Sci. 2024, 15, 1396666. [Google Scholar] [CrossRef]
- Bussotti, F.; Gerosa, G.; Digrado, A.; Pollastrini, M. Selection of chlorophyll fluorescence parameters as indicators of photosynthetic efficiency in large scale plant ecological studies. Ecol. Indic. 2020, 108, 105686. [Google Scholar] [CrossRef]
- Shevela, D.; Kern, J.F.; Govindjee, G.; Messinger, J. Solar energy conversion by photosystem ii: Principles and structures. Photosynth. Res. 2023, 156, 279–307. [Google Scholar] [CrossRef]
- Schreiber, U.; Hormann, H.; Neubauer, C.; Klughammer, C. Assessment of photosystem ii photochemical quantum yield by chlorophyll fluorescence quenching analysis. Funct. Plant Biol. 1995, 22, 209–220. [Google Scholar] [CrossRef]
- Murchie, E.H.; Lawson, T. Chlorophyll fluorescence analysis: A guide to good practice and understanding some new applications. J. Exp. Bot. 2013, 64, 3983–3998. [Google Scholar] [CrossRef]
- Bertamini, M.; Muthuchelian, K.; Rubinigg, M.; Zorer, R.; Velasco, R.; Nedunchezhian, N. Low-night temperature increased the photoinhibition of photosynthesis in grapevine (Vitis vinifera L. Cv. Riesling) leaves. Environ. Exp. Bot. 2006, 57, 25–31. [Google Scholar] [CrossRef]
- Ding, F.; Wang, M.; Zhang, S.; Ai, X. Changes in sbpase activity influence photosynthetic capacity, growth, and tolerance to chilling stress in transgenic tomato plants. Sci. Rep. 2016, 6, 32741. [Google Scholar] [CrossRef] [PubMed]
- Gan, P.; Liu, F.; Li, R.; Wang, S.; Luo, J. Chloroplasts—Beyond energy capture and carbon fixation: Tuning of photosynthesis in response to chilling stress. Int. J. Mol. Sci. 2019, 20, 5046. [Google Scholar] [CrossRef] [PubMed]
- Garcia-Caparros, P.; De Filippis, L.; Gul, A.; Hasanuzzaman, M.; Ozturk, M.; Altay, V.; Lao, M.T. Oxidative stress and antioxidant metabolism under adverse environmental conditions: A review. Bot. Rev. 2021, 87, 421–466. [Google Scholar] [CrossRef]
- Lainé, C.M.; AbdElgawad, H.; Beemster, G.T. A meta-analysis reveals differential sensitivity of cold stress responses in the maize leaf. Plant Cell Environ. 2023, 46, 2432–2449. [Google Scholar] [CrossRef]
- Dreyer, A.; Dietz, K.-J. Reactive oxygen species and the redox-regulatory network in cold stress acclimation. Antioxidants 2018, 7, 169. [Google Scholar] [CrossRef]
- Zhao, X.; Zhao, C.; Niu, Y.; Chao, W.; He, W.; Wang, Y.; Mao, T.; Bai, X. Understanding and comprehensive evaluation of cold resistance in the seedlings of multiple maize genotypes. Plants 2022, 11, 1881. [Google Scholar] [CrossRef]
- Gill, S.S.; Tuteja, N. Reactive oxygen species and antioxidant machinery in abiotic stress tolerance in crop plants. Plant Physiol. Bioch. 2010, 48, 909–930. [Google Scholar] [CrossRef]
- Zulfiqar, F.; Akram, N.A.; Ashraf, M. Osmoprotection in plants under abiotic stresses: New insights into a classical phenomenon. Planta 2020, 251, 3. [Google Scholar] [CrossRef]
- Lamers, J.; Van Der Meer, T.; Testerink, C. How plants sense and respond to stressful environments. Plant Physiol. 2020, 182, 1624–1635. [Google Scholar] [CrossRef]
- Klotke, J.; Kopka, J.; Gatzke, N.; Heyer, A. Impact of soluble sugar concentrations on the acquisition of freezing tolerance in accessions of arabidopsis thaliana with contrasting cold adaptation–evidence for a role of raffinose in cold acclimation. Plant Cell Environ. 2004, 27, 1395–1404. [Google Scholar] [CrossRef]
- Guan, Y.; Hwarari, D.; Korboe, H.M.; Ahmad, B.; Cao, Y.; Movahedi, A.; Yang, L. Low temperature stress-induced perception and molecular signaling pathways in plants. Environ. Exp. Bot. 2023, 207, 105190. [Google Scholar] [CrossRef]
- Lu, J.; Nawaz, M.A.; Wei, N.; Cheng, F.; Bie, Z. Suboptimal temperature acclimation enhances chilling tolerance by improving photosynthetic adaptability and osmoregulation ability in watermelon. Hortic. Plant J. 2020, 6, 49–60. [Google Scholar] [CrossRef]
- Maxwell, K.; Johnson, G.N. Chlorophyll fluorescence—A practical guide. J. Exp. Bot. 2000, 51, 659–668. [Google Scholar] [CrossRef]
- Wang, Y.; Yu, Q.; Li, Y.; Li, J.; Chen, J.; Liu, Z.; Huang, J.a.; Al-Harbi, M.S.; Ali, E.F.; Eissa, M.A. Mechanisms of nitric oxide in the regulation of chilling stress tolerance in camellia sinensis. Horticulturae 2021, 7, 410. [Google Scholar] [CrossRef]
- Airaki, M.; Leterrier, M.; Mateos, R.M.; Valderrama, R.; Chaki, M.; Barroso, J.B.; Del Rio, L.A.; Palma, J.M.; Corpas, F.J. Metabolism of reactive oxygen species and reactive nitrogen species in pepper (Capsicum annuum L.) plants under low temperature stress. Plant Cell Environ. 2012, 35, 281–295. [Google Scholar] [CrossRef]
- Doganlar, Z.B.; Demir, K.; Basak, H.; Gul, I. Effects of salt stress on pigment and total soluble protein contents of three different tomato cultivars. Afr. J. Agric. Res. 2010, 5, 2056–2065. [Google Scholar]
- Leach, K.A.; Braun, D.M. Soluble sugar and starch extraction and quantification from maize (Zea mays) leaves. Curr. Protoc. Plant Biol. 2016, 1, 139–161. [Google Scholar] [CrossRef]
- Hodges, D.M.; DeLong, J.M.; Forney, C.F.; Prange, R.K. Improving the thiobarbituric acid-reactive-substances assay for estimating lipid peroxidation in plant tissues containing anthocyanin and other interfering compounds. Planta 1999, 207, 604–611. [Google Scholar] [CrossRef]
- Xu, C.; Wang, M.; Yang, Z.; Zheng, Q. Low temperature and low irradiation induced irreversible damage of strawberry seedlings. Photosynthetica 2020, 58, 156–164. [Google Scholar] [CrossRef]
- Hasan, B.M.S.; Abdulazeez, A.M. A review of principal component analysis algorithm for dimensionality reduction. J. Soft Comput. Data Min. 2021, 2, 20–30. [Google Scholar]




| Treatment Time (h) | Freezing Temperature (°C) | Chl a (mg g−2) | Chl b (mg g−2) | Chl (a/b) |
|---|---|---|---|---|
| 1 | 0 | 3.08 ± 0.01 a | 1.33 ± 0.01 a | 2.31 ± 0.01 c |
| −2 | 3.00 ± 0.02 a | 1.24 ± 0.02 b | 2.42 ± 0.01 c | |
| −5 | 2.75 ± 0.02 b | 1.11 ± 0.02 c | 2.48 ± 0.02 c | |
| −7 | 2.13 ± 0.01 c | 0.85 ± 0.01 c | 2.51 ± 0.01 b | |
| −9 | 1.82 ± 0.01 d | 0.71 ± 0.01 c | 2.56 ± 0.01 a | |
| 4 | 0 | 3.02 ± 0.01 a | 1.27 ± 0.01 a | 2.34 ± 0.02 c |
| −2 | 2.99 ± 0.01 a | 1.11 ± 0.02 a | 2.69 ± 0.01 b | |
| −5 | 2.53 ± 0.02 b | 0.86 ± 0.01 b | 2.94 ± 0.02 a | |
| −7 | 1.99 ± 0.01 c | 0.67 ± 0.01 c | 2.97 ± 0.01 a | |
| −9 | 1.55 ± 0.01 d | 0.51 ± 0.01 c | 3.04 ± 0.02 a | |
| 7 | 0 | 2.87 ± 0.01 a | 1.22 ± 0.02 a | 2.35 ± 0.02 c |
| −2 | 2.43 ± 0.01 b | 1.01 ± 0.01 b | 2.41 ± 0.01 b | |
| −5 | 2.06 ± 0.02 c | 0.85 ± 0.01 b | 2.42 ± 0.01 b | |
| −7 | 1.52 ± 0.01 d | 0.61 ± 0.01 b | 2.49 ± 0.02 b | |
| −9 | 1.23 ± 0.01 e | 0.33 ± 0.01 c | 3.24 ± 0.01 a |
| . | Pn | Ci | gs | Tr | Y (II) | Fv/Fm | ETR | NPQ | Chl a | Chl b | Chl (a/b) | SOD | CAT | Soluble Sugar | Soluble Protein | MDA | H2O2 |
|---|---|---|---|---|---|---|---|---|---|---|---|---|---|---|---|---|---|
| Pn | 1 | 0.881 ** | 0.908 ** | 0.955 ** | 0.918 ** | 0.857 ** | 0.913 ** | −0.903 ** | 0.956 ** | 0.949 ** | −0.409 | −0.907 ** | −0.938 ** | −0.198 | −0.446 | −0.924 ** | −0.885 ** |
| Ci | 1 | 0.790 ** | 0.863 ** | 0.807 ** | 0.835 ** | 0.797 ** | −0.774 ** | 0.905 ** | 0.877 ** | −0.319 | −0.794 ** | −0.891 ** | 0.016 | −0.159 | −0.838 ** | −0.836 ** | |
| gs | 1 | 0.934 ** | 0.937 ** | 0.924 ** | 0.962 ** | −0.941 ** | 0.950 ** | 0.953 ** | −0.322 | −0.949 ** | −0.962 ** | −0.129 | −0.255 | −0.955 ** | −0.890 ** | ||
| Tr | 1 | 0.961 ** | 0.927 ** | 0.930 ** | −0.912 ** | 0.947 ** | 0.963 ** | −0.421 | −0.927 ** | −0.943 ** | −0.115 | −0.388 | −0.961 ** | −0.907 ** | |||
| Y (II) | 1 | 0.932 ** | 0.925 ** | −0.895 ** | 0.916 ** | 0.916 ** | −0.318 | −0.931 ** | −0.911 ** | −0.106 | −0.268 | −0.958 ** | −0.890 ** | ||||
| Fv/Fm | 1 | 0.908 ** | −0.853 ** | 0.895 ** | 0.923 ** | −0.316 | −0.899 ** | −0.922 ** | 0.073 | −0.139 | −0.950 ** | −0.886 ** | |||||
| ETR | 1 | −0.955 ** | 0.947 ** | 0.949 ** | −0.384 | −0.967 ** | −0.948 ** | −0.254 | −0.323 | −0.964 ** | −0.913 ** | ||||||
| NPQ | 1 | −0.925 ** | −0.947 ** | 0.524 * | 0.955 ** | 0.948 ** | 0.343 | 0.435 | 0.942 ** | 0.900 ** | |||||||
| Chl a | 1 | 0.973 ** | −0.344 | −0.950 ** | −0.976 ** | −0.168 | −0.317 | −0.956 ** | −0.944 ** | ||||||||
| Chl b | 1 | −0.511 | −0.957 ** | −0.984 ** | −0.161 | −0.400 | −0.964 ** | −0.930 ** | |||||||||
| Chl (a/b) | 1 | 0.455 | 0.433 | 0.451 | 0.742 ** | 0.400 | 0.396 | ||||||||||
| SOD | 1 | 0.963 ** | 0.274 | 0.392 | 0.981 ** | 0.954 ** | |||||||||||
| CAT | 1 | 0.140 | 0.315 | 0.972 ** | 0.942 ** | ||||||||||||
| Soluble Sugar | 1 | 0.681 ** | 0.145 | 0.236 | |||||||||||||
| Soluble Protein | 1 | 0.320 | 0.357 | ||||||||||||||
| MDA | 1 | 0.962 ** | |||||||||||||||
| H2O2 | 1 |
| Principal Component Number | PC1 | PC2 | |
|---|---|---|---|
| Eigenvalue | 2.216 | 1.282 | |
| Percentage of Variance (%) | 55.406 | 32.052 | |
| Cumulative Percentage of Variance (%) | 55.406 | 87.458 | |
| Loadings | Fv/Fm | −0.599 | 0.382 |
| Chl (a/b) | 0.440 | 0.481 | |
| Soluble sugar | 0.203 | 0.759 | |
| MDA | 0.637 | −0.215 | |
| PCA Scores | Formulas |
|---|---|
| PC1 Score | SPC1 = −0.599 × Fv/Fm + 0.440 × Chl (a/b) + 0.203 × soluble sugar + 0.637 × MDA |
| PC2 Score | SPC2 = 0.382 × Fv/Fm + 0.481 × Chl (a/b) + 0.759 × soluble sugar −0.215 × MDA |
| Comprehensive score | CS = 0.554 × SPC1 + 0.321 × SPC2 |
| Comprehensive Scores for Freezing Injury | Low Temperature Freezing Stress Level |
|---|---|
| CS ≤ −0.50 | 1 |
| −0.5 < CS ≤ 0 | 2 |
| 0 < CS ≤ 0.5 | 3 |
| 0.5 < CS | 4 |
| Treatment Time (h) | 1 | 4 | 7 | |||
|---|---|---|---|---|---|---|
| Freezing Temperature (°C) | Score | Level | Score | Level | Score | Level |
| 0 | −1.01 | 1 | −0.72 | 1 | −0.25 | 2 |
| −2 | −0.74 | 1 | −0.07 | 2 | 0.03 | 3 |
| −5 | −0.45 | 2 | 0.28 | 3 | 0.52 | 4 |
| −7 | −0.26 | 2 | 0.38 | 3 | 1.10 | 4 |
| −9 | 0.06 | 4 | 1.13 | 4 | 1.32 | 4 |
Disclaimer/Publisher’s Note: The statements, opinions and data contained in all publications are solely those of the individual author(s) and contributor(s) and not of MDPI and/or the editor(s). MDPI and/or the editor(s) disclaim responsibility for any injury to people or property resulting from any ideas, methods, instructions or products referred to in the content. |
© 2024 by the authors. Licensee MDPI, Basel, Switzerland. This article is an open access article distributed under the terms and conditions of the Creative Commons Attribution (CC BY) license (https://creativecommons.org/licenses/by/4.0/).
Share and Cite
Xu, C.; Liu, B.; Wang, Y.; Hu, Z. Construction of Freezing Injury Grade Index for Nanfeng Tangerine Plants Based on Physiological and Biochemical Parameters. Plants 2024, 13, 3109. https://doi.org/10.3390/plants13213109
Xu C, Liu B, Wang Y, Hu Z. Construction of Freezing Injury Grade Index for Nanfeng Tangerine Plants Based on Physiological and Biochemical Parameters. Plants. 2024; 13(21):3109. https://doi.org/10.3390/plants13213109
Chicago/Turabian StyleXu, Chao, Buchun Liu, Yuting Wang, and Zhongdong Hu. 2024. "Construction of Freezing Injury Grade Index for Nanfeng Tangerine Plants Based on Physiological and Biochemical Parameters" Plants 13, no. 21: 3109. https://doi.org/10.3390/plants13213109
APA StyleXu, C., Liu, B., Wang, Y., & Hu, Z. (2024). Construction of Freezing Injury Grade Index for Nanfeng Tangerine Plants Based on Physiological and Biochemical Parameters. Plants, 13(21), 3109. https://doi.org/10.3390/plants13213109
