Foliar Application of Methyl Jasmonate and Chitosan Improve Growth, Yield, and Quality of Guar (Cyamopsis tetragonoloba L.) Under Water-Deficit Stress
Abstract
1. Introduction
2. Materials and Methods
2.1. Experimental Design and Treatments
2.2. Plant Growth Conditions
2.3. Data Collection and Measurements
2.3.1. Morphological Measurements
2.3.2. Qualitative Characteristics
Determination of Total Phenolic Content
Determination of Total Flavonoid Content
Determination of Anthocyanin
Determination of Gum Content
Determination of Viscosity
2.4. Statistical Analysis
3. Results
3.1. Analysis of Variance
3.2. Plant Height and Pod Length
3.3. Pod Number, Number of Seeds Pod−1 and Seed Yield Per Plant
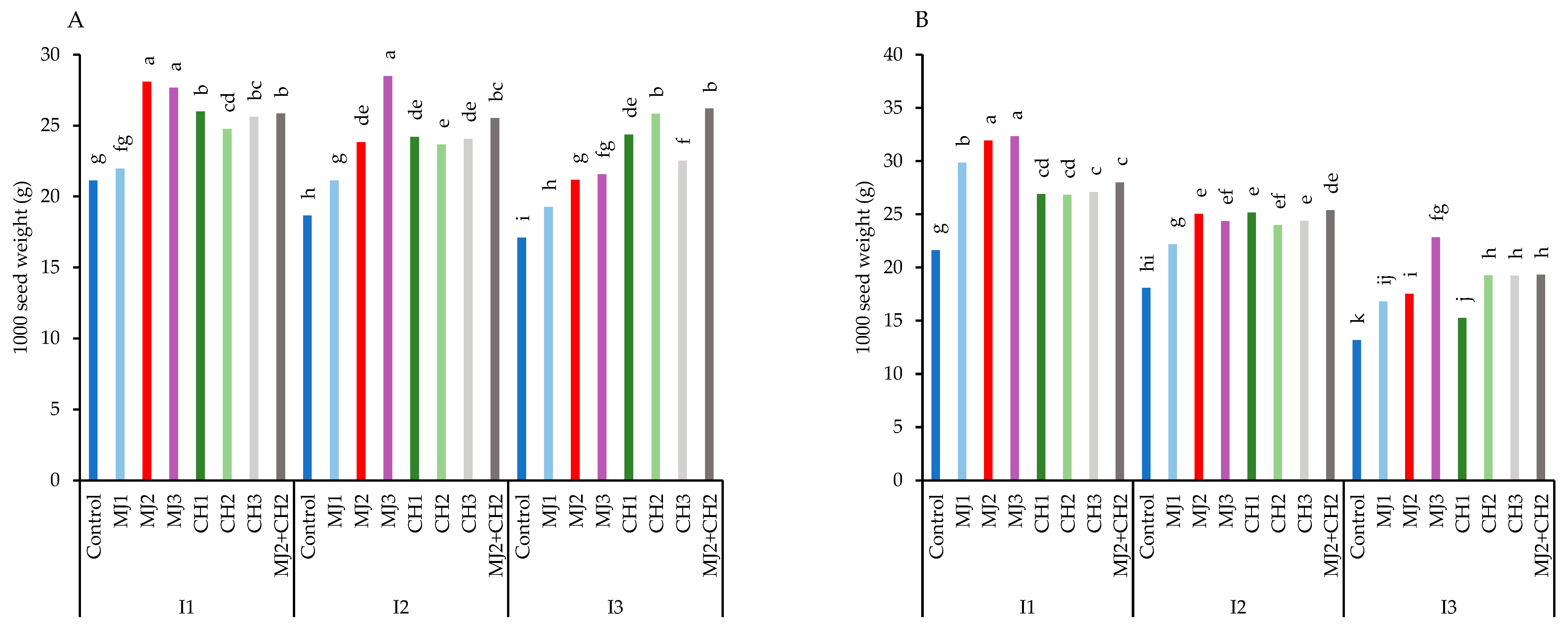
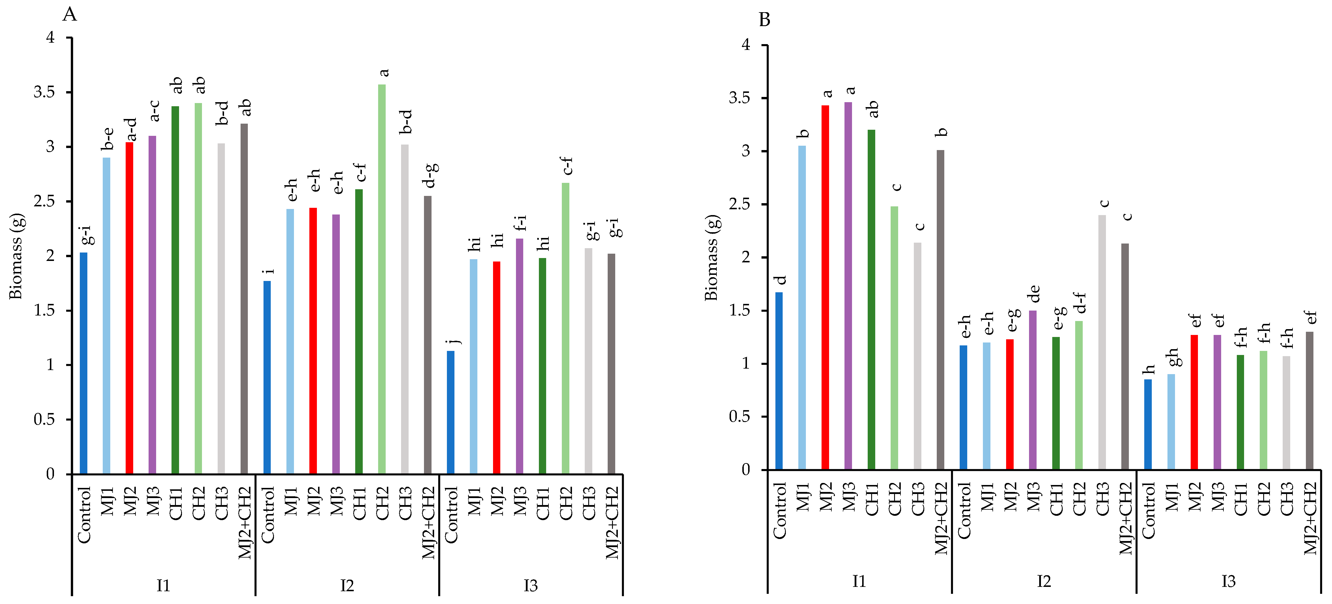
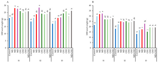
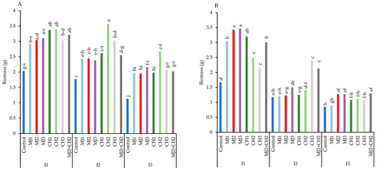
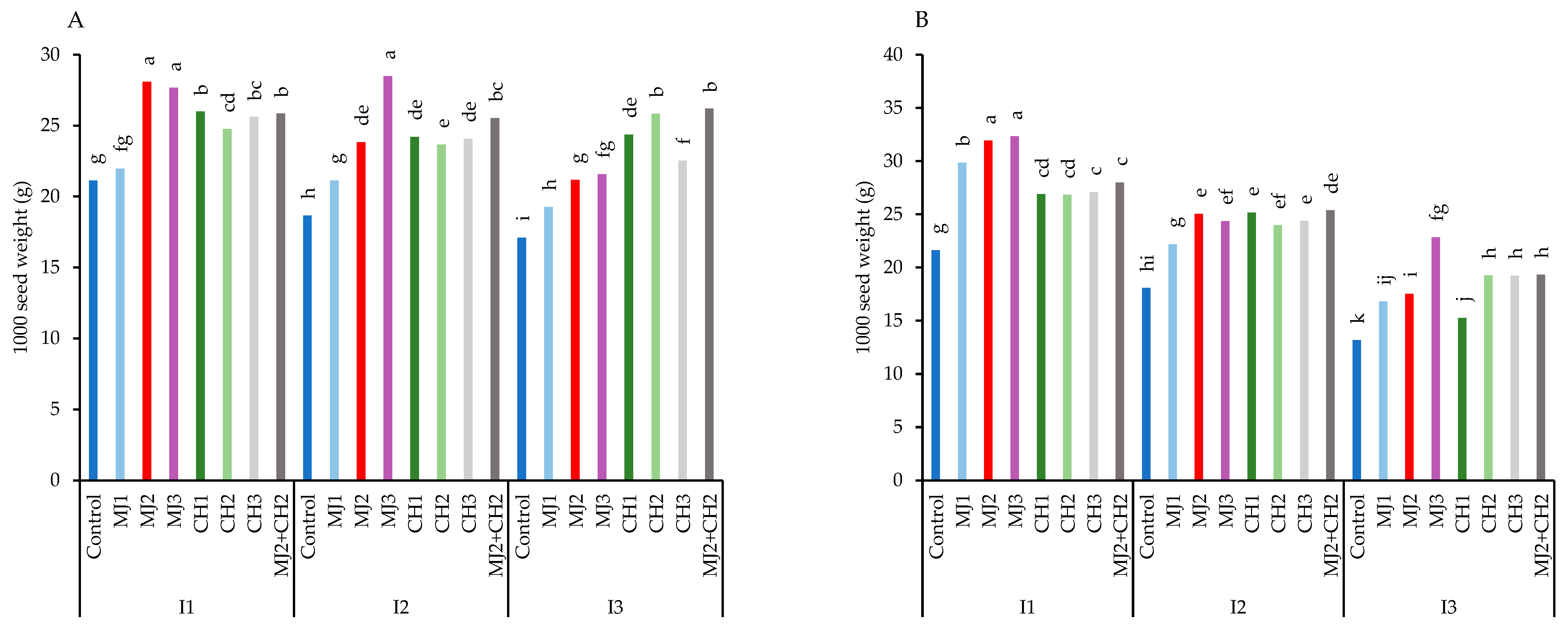
3.4. 1000-Seed Weight and Biomass
3.5. Root Length and Root Dry Weight
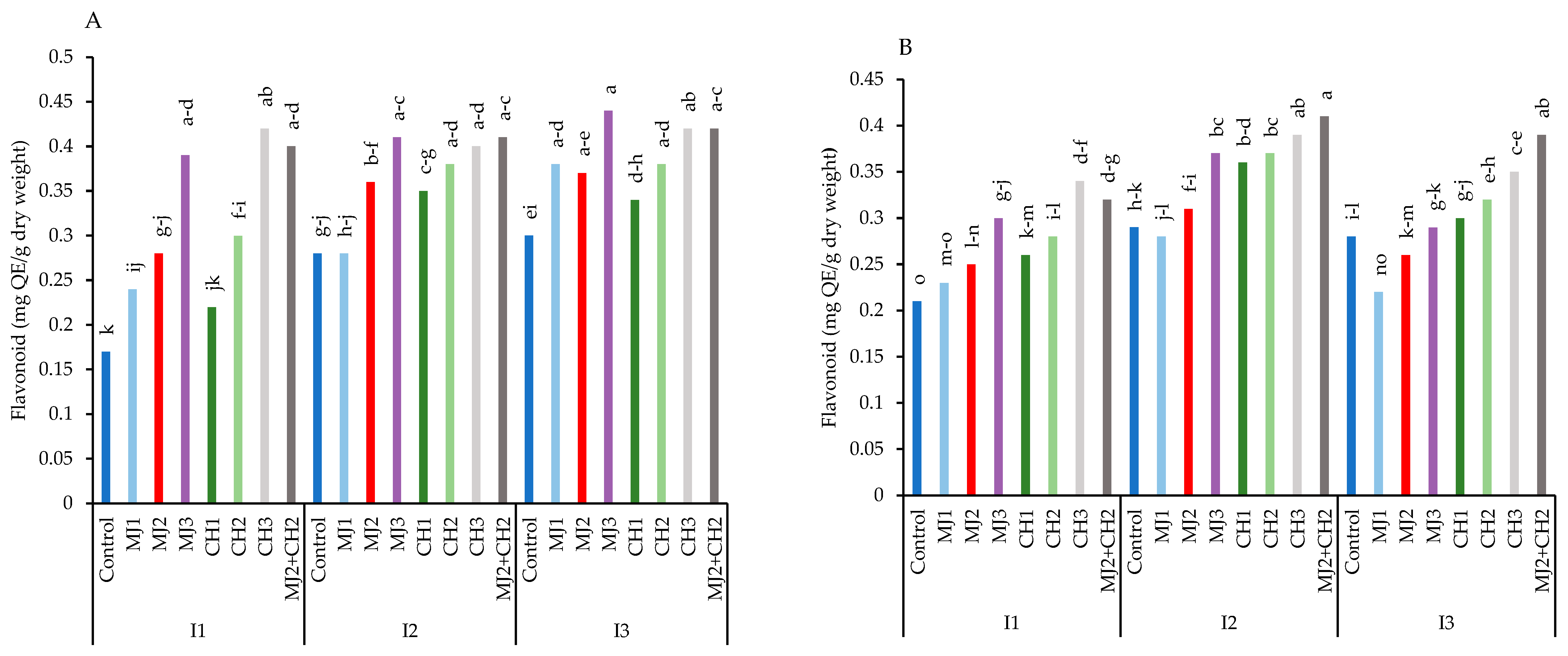
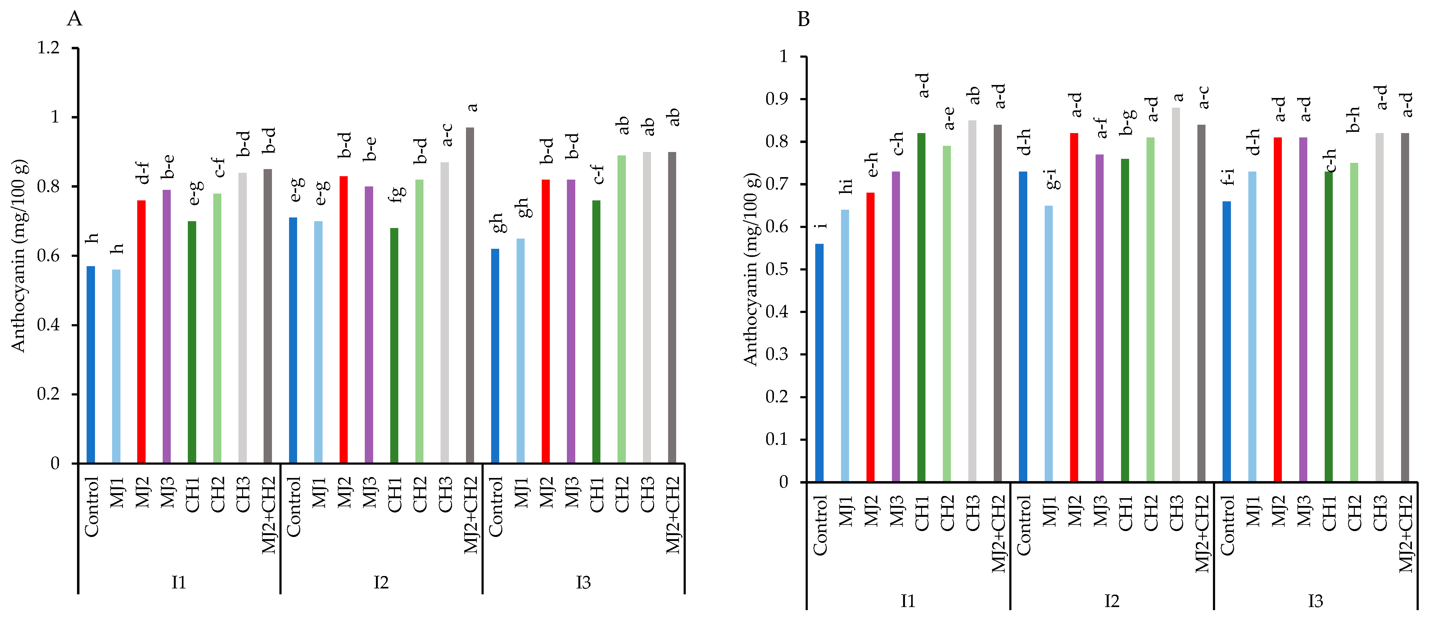
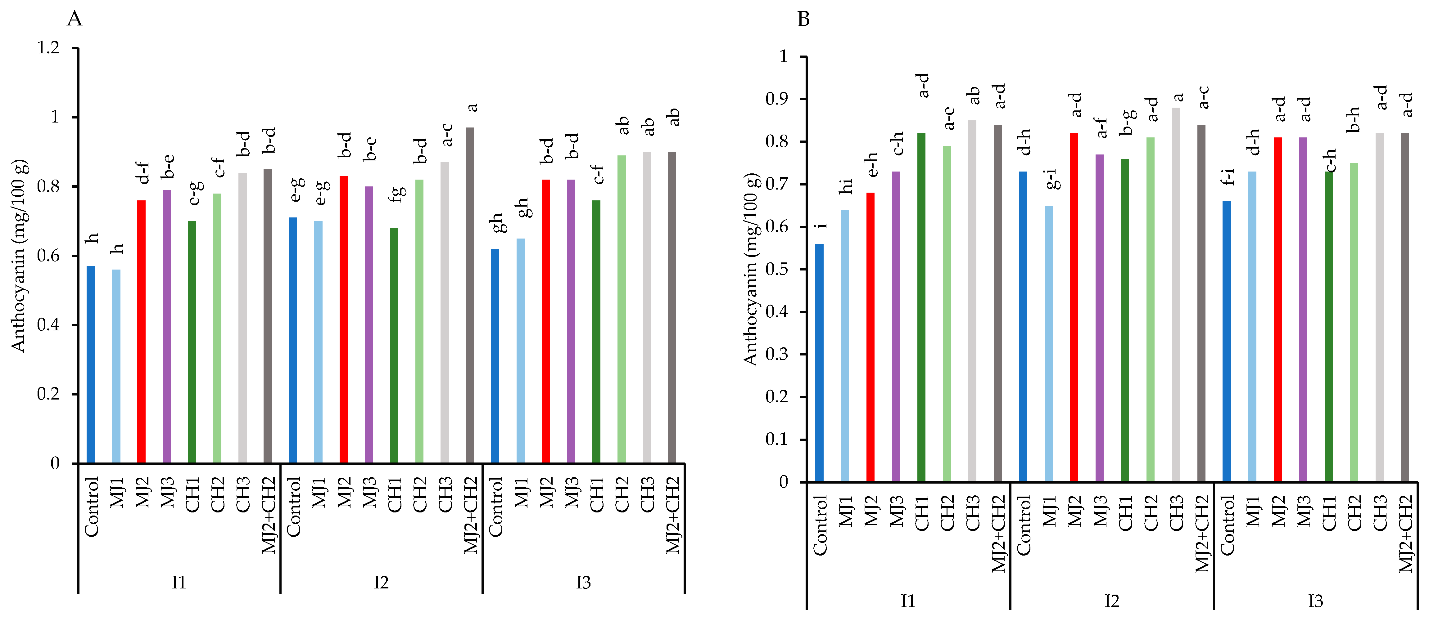
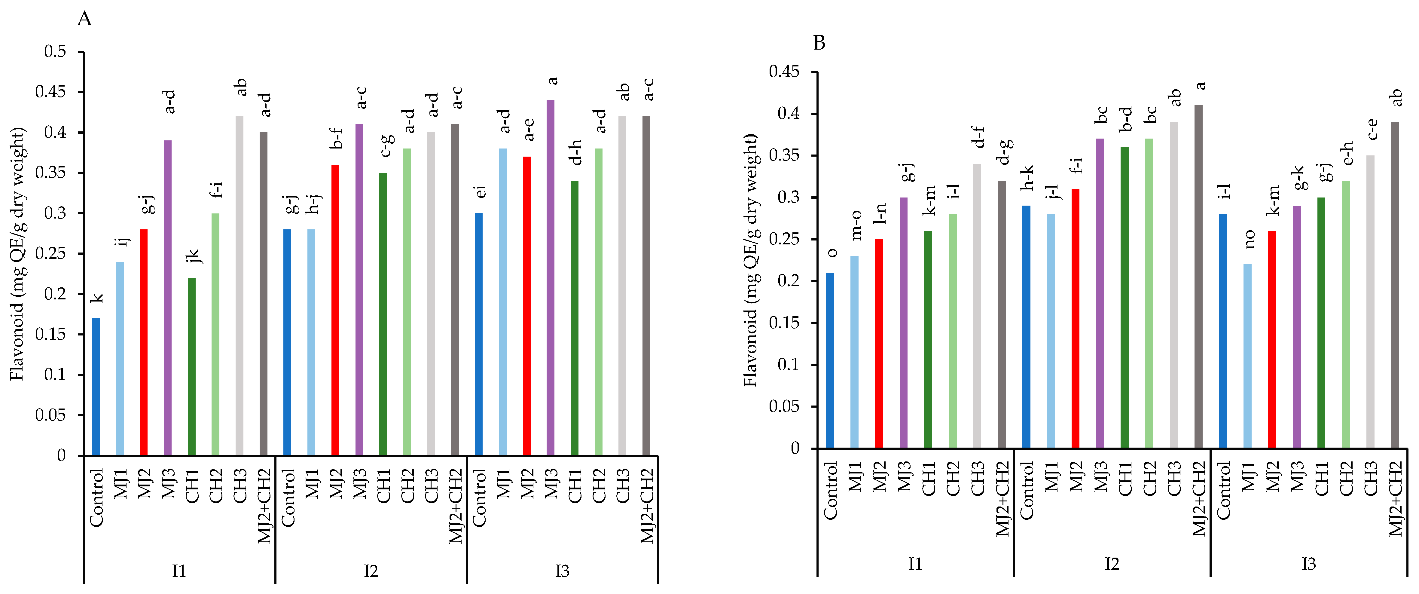
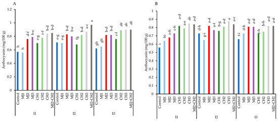
3.6. Total Phenolic Content, Flavonoid, and Anthocyanin Content
3.7. Gum Percentage and Viscosity
4. Discussion
4.1. Increased Guar Growth and Seed Yield
4.2. Increased Secondary Metabolites, Gum Percentage, and Viscosity Resulting in High Quality
5. Conclusions
Author Contributions
Funding
Data Availability Statement
Conflicts of Interest
References
- Gautam, R.; Verma, A.K.; Dwivedi, S.; Jhang, T. Breeding guar [Cyamopsis tetragonoloba (L.) Taub]: A variety compendium of a multifaceted industrial crop for resource-constrained scenario in India. Ind. Crops Prod. 2024, 214, 118502. [Google Scholar] [CrossRef]
- Kusvuran, A.; Kusvuran, S. Using of microbial fertilizer as biostimulant alleviates damage from drought stress in guar (Cyamopsis tetragonoloba (L.) Taub.) seedlings. Int. Lett. Nat. Sci. 2019, 76, 147–157. [Google Scholar] [CrossRef]
- Meftahizadeh, H.; Ghorbanpour, M.; Asareh, M.H. Comparison of morphological and phytochemical characteristics in guar (Cyamopsis tetragonoloba L.) landraces and cultivars under different sowing dates in an arid environment. Ind. Crops Prod. 2019, 140, 111606. [Google Scholar] [CrossRef]
- Samarah, N.H. Effects of drought stress on growth and yield of barley. Agronomie 2005, 25, 145–149. [Google Scholar] [CrossRef]
- Madni, A.; Khalid, A.; Wahid, F.; Ayub, H.; Khan, R.; Kousar, R. Preparation and applications of guar gum composites in biomedical, pharmaceutical, food, and cosmetics industries. Curr. Nanosci. 2020, 17, 365–379. [Google Scholar] [CrossRef]
- Mudgil, D.; Barak, S.; Khatkar, B.S. Guar gum: Processing, properties and food applications—A Review. J. Food Sci. Technol. 2014, 51, 409–418. [Google Scholar] [CrossRef]
- Tahmouzi, S.; Meftahizadeh, H.; Eyshi, S.; Mahmoudzadeh, A.; Alizadeh, B.; Mollakhalili-Meybodi, N.; Hatami, M. Application of guar (Cyamopsis tetragonoloba L.) gum in food technologies: A review of properties and mechanisms of action. Food Sci. Nutr. 2023, 11, 4869–4897. [Google Scholar] [CrossRef]
- Sharma, G.; Sharma, S.; Kumar, A.; Al-Muhtaseb, A.H.; Naushad, M.; Ghfar, A.A.; Mola, G.T.; Stadler, F.J. Guar gum and its composites as potential materials for diverse applications: A review. Carbohydr. Polym. 2018, 199, 534–545. [Google Scholar] [CrossRef]
- Summers, H.M.; Sproul, E.; Seavert, C.; Angadi, S.; Robbs, J.; Khanal, S.; Gutierrez, P.; Teegerstrom, T.; Zuniga Vazquez, D.A.; Fan, N.; et al. Economic and environmental analyses of incorporating guar into the American southwest. Agric. Syst. 2021, 191, 103146. [Google Scholar] [CrossRef]
- Gresta, F.; Sortino, O.; Santonoceto, C.; Issi, L.; Formantici, C.; Galante, Y.M. Effects of sowing times on seed yield, protein and galactomannans content of four varieties of guar (Cyamopsis tetragonoloba L.) in a Mediterranean environment. Ind. Crops Prod. 2013, 41, 46–52. [Google Scholar] [CrossRef]
- Sanaei, S.; Sadeghinia, M.; Meftahizade, H.; Ardakani, A.F.; Ghorbanpour, M. Cadmium and lead differentially affect growth, physiology, and metal accumulation in guar (Cyamopsis tetragonoloba L.) genotypes. Environ. Sci. Pollut. Res. 2022, 29, 4180–4192. [Google Scholar] [CrossRef] [PubMed]
- Mohamed, H.I.; Latif, H.H. Improvement of drought tolerance of soybean plants by using methyl jasmonate. Physiol. Mol. Biol. Plants 2017, 23, 545–556. [Google Scholar] [CrossRef]
- Ahmad, Z.; Waraich, E.A.; Akhtar, S.; Anjum, S.; Ahmad, T.; Mahboob, W.; Hafeez, O.B.A.; Tapera, T.; Labuschagne, M.; Rizwan, M. Physiological responses of wheat to drought stress and its mitigation approaches. Acta Physiol. Plant. 2018, 40, 80. [Google Scholar] [CrossRef]
- Upreti, P.; Narayan, S.; Khan, F.; Tewari, L.M.; Shirke, P.A. Drought-induced responses on physiological performance in cluster bean [Cyamopsis tetragonoloba (L.) Taub.]. Plant Physiol. Rep. 2021, 26, 49–63. [Google Scholar] [CrossRef]
- Singla, S.; Grover, K.; Angadi, S.V.; Begna, S.H.; Schutte, B.; Leeuwen, D. Van. Growth and yield of guar (Cyamopsis tetragonoloba L.) genotypes under different planting dates in the semi-arid southern high plains. Am. J. Plant Sci. 2016, 7, 1246–1258. [Google Scholar] [CrossRef]
- Bibi, A.; Shakir, A.; Sadaqat, H.A.; Usman, B.F.; Saqib, M. Assessment of genetic association among seedling traits in guar (Cyamopsis tetragonoloba L.) genotypes under water stress conditions. Int. J. Res. Stud. Biosci. 2014, 2, 20–29. [Google Scholar]
- Alshameri, A.; Al-Qurainy, F.; Khan, S.; Nadeem, M.; Gaafar, A.R.; Alameri, A.; Ashraf, M. Morpho-physiological responses of guar [Cyamopsis tetragonoloba (L.) Taub.] to multiple stresses of drought, heat and salinity. Pak. J. Bot 2019, 51, 817–822. [Google Scholar] [CrossRef] [PubMed]
- Meftahizadeh, H.; Ghorbanpour, M.; Asareh, M.H. Changes in phenological attributes, yield and phytochemical compositions of guar (Cyamopsis tetragonoloba L.) landaraces under various irrigation regimes and planting dates. Sci. Hortic. 2019, 256, 108577. [Google Scholar] [CrossRef]
- Meftahizadeh, H.; Hamidoghli, Y.; Assareh, M.H.; Dakheli, M.J. Effect of sowing date and irrigation regimes on yield components, protein and galactomannan content of guar (Cyamopsis tetragonoloba L.) in Iran climate. Aust. J. Crop Sci. 2017, 11, 1481–1487. [Google Scholar] [CrossRef]
- Ghiyasi, M.; Rezaee Danesh, Y.; Amirnia, R.; Najafi, S.; Mulet, J.M.; Porcel, R. Foliar Applications of ZnO and Its Nanoparticles Increase Safflower (Carthamus tinctorius L.) Growth and Yield under Water Stress. Agronomy 2023, 13, 192. [Google Scholar] [CrossRef]
- Alexander, W.L.; Bucks, D.A.; Backhaus, R.A. Irrigation water management for guar seed production. J. Agron. 1988, 80, 447–453. [Google Scholar] [CrossRef]
- Garcia, A.; Grover, K.; VanLeeuwen, D.; Stringam, B.; Schutte, B. Growth and performance of guar (Cyamopsis tetragonoloba (L.) Taub.) genotypes under various irrigation regimes with and without biogenic silica amendment in arid southwest US. Plants 2023, 12, 2486. [Google Scholar] [CrossRef] [PubMed]
- Khalid Sabahelkhier, M.; Murwan, S.; Abdelwahab, A.; Sulafa, N. Quality assessment of guar gum (endosperm) of guar (Cyamopsis tetragonoloba). J. Biol. Sci. 2012, 1, 67–70. [Google Scholar]
- Loggale, L.B. Responses of guar to supplemental irrigation in heavy clay soils of Abu Naama. J. Agric. 2018, 11, 12–16. [Google Scholar]
- Pabuayon, I.L.B.; Singh, S.; Ritchie, G. Guar resilience in water-restricted production. Crop Sci. 2022, 62, 1937–1947. [Google Scholar] [CrossRef]
- Vishnyakova, M.A.; Frolova, N.; Frolov, A.; Vavilov All-Russian, N.I. Drought stress response in guar (Cyamopsis tetragonoloba (L.) Taub). Plants 2023, 12, 3955. [Google Scholar] [CrossRef]
- Yu, X.; Zhang, W.; Zhang, Y.; Zhang, X.; Lang, D.; Zhang, X. The roles of methyl jasmonate to stress in plants. Funct. Plant Biol. 2018, 46, 197–212. [Google Scholar] [CrossRef]
- Ibrahim, E.A.; Ebrahim, N.E.S.; Mohamed, G.Z. Effect of water stress and foliar application of chitosan and glycine betaine on lettuce. Sci. Rep. 2023, 13, 17274. [Google Scholar] [CrossRef]
- Hidangmayum, A.; Dwivedi, P.; Katiyar, D.; Hemantaranjan, A. Application of chitosan on plant responses with special reference to abiotic stress. Physiol. Mol. Biol. Plants 2019, 25, 313–326. [Google Scholar] [CrossRef]
- Siddiqi, K.S.; Husen, A. Plant response to jasmonates: Current developments and their role in changing environment. Bull. Natl. Res. Cent. 2019, 43, 1–11. [Google Scholar] [CrossRef]
- Tayyab, N.; Naz, R.; Yasmin, H.; Nosheen, A.; Keyani, R.; Sajjad, M.; Hassan, M.N.; Roberts, T.H. Combined seed and foliar pre-treatments with exogenous methyl jasmonate and salicylic acid mitigate drought-induced stress in maize. PLoS ONE 2020, 15, e0232269. [Google Scholar] [CrossRef] [PubMed]
- Hewedy, O.A.; Elsheery, N.I.; Karkour, A.M.; Elhamouly, N.; Arafa, R.A.; Mahmoud, G.A.E.; Dawood, M.F.A.; Hussein, W.E.; Mansour, A.; Amin, D.H.; et al. Jasmonic acid regulates plant development and orchestrates stress response during tough times. Environ. Exp. Bot. 2023, 208, 105260. [Google Scholar] [CrossRef]
- Raza, A.; Salehi, H.; Rahman, M.A.; Zahid, Z.; Madadkar Haghjou, M.; Najafi-Kakavand, S.; Charagh, S.; Osman, H.S.; Albaqami, M.; Zhuang, Y.; et al. Plant hormones and neurotransmitter interactions mediate antioxidant defenses under induced oxidative stress in plants. Front. Plant Sci. 2022, 13, 961872. [Google Scholar] [CrossRef]
- Emami Bistgani, Z.; Siadat, S.A.; Bakhshandeh, A.; Ghasemi Pirbalouti, A.; Hashemi, M. Interactive effects of drought stress and chitosan application on physiological characteristics and essential oil yield of Thymus daenensis Celak. Crop J. 2017, 5, 407–415. [Google Scholar] [CrossRef]
- Costales-Menéndez, D.; Falcón-Rodríguez, A.B.; García-Domínguez, R.; Capdevila-Valera, J.Z. Effect of chitosan foliar spray on the vegetative development of inoculated soybean. Cult. Trop. 2020, 41, e07. [Google Scholar]
- Muchate, N.; Chandrakant, G.; Sadan’, N.S.; Talreja, R.K.; Nikam, T. Plant salt stress: Adaptive responses, tolerance mechanism and bioengineering for salt tolerance. Bot. Rev. 2016, 82, 371–406. [Google Scholar] [CrossRef]
- Mahdipour-Afra, M.; AghaAlikhani, M.; Abbasi, S.; Mokhtassi-Bidgoli, A. Growth, yield and quality of two guar (Cyamopsis tetragonoloba L.) ecotypes affected by sowing date and planting density in a semi-arid area. PLoS ONE 2021, 16, e0257692. [Google Scholar] [CrossRef]
- Miliauskas, G.; Venskutonis, P.R.; Van Beek, T.A. Screening of radical scavenging activity of some medicinal and aromatic plant extracts. Food Chem. 2004, 85, 231–237. [Google Scholar] [CrossRef]
- Chang, C.C.; Yang, M.H.; Wen, H.M.; Chern, J.C. Estimation of total flavonoid content in propolis by two complementary colometric methods. J. Food Drug Anal. 2002, 10, 178–182. [Google Scholar] [CrossRef]
- Krizek, D.T.; Kramer, G.F.; Upadhyaya, A.; Mirecki, R.M. UV-B response of cucumber seedlings grown under metal halide and high pressure sodium/deluxe lamps. Physiol. Plant. 1993, 88, 350–358. [Google Scholar] [CrossRef]
- Meftahizadeh, H.; Baath, G.S.; Saini, R.K.; Falakian, M.; Hatami, M. Melatonin-mediated alleviation of soil salinity stress by modulation of redox reactions and phytochemical status in Guar (Cyamopsis tetragonoloba L.). J. Plant Growth Regul. 2023, 42, 4851–4869. [Google Scholar] [CrossRef]
- Bakhoum, G.S.; Sadak, M.S.; Tawfik, M.M. Chitosan and chitosan nanoparticle effect on growth, productivity and some biochemical aspects of Lupinus termis L plant under drought conditions. Egypt J. Chem. 2022, 65, 537–549. [Google Scholar]
- Bhattacharya, A. Effect of Soil Water Deficits on Plant–Water Relationship: A Review. In Soil Water Deficit and Physiological Issues in Plants; Springer: Singapore, 2021; pp. 1–98. [Google Scholar]
- Mosapour, M.; Feizian, M.; Bolhassani, Z. Effect of vermicompost on green basil (Ocimum basilicum L.) under water stress and soil characteristics after harvest. Iran. J. Soil Res. 2022, 36, 177–191. [Google Scholar]
- Darabi, F.; Abbasi, N.; Zarea, M.J. Evaluation of the effect of putrescine and brassinosteroid on induction of drought tolerance and physiological changes in basil plant (Ocimum basilicum L.). Environ. Stress. Crop Sci. 2020, 13, 1183–1202. [Google Scholar]
- Khodadadi, F.; Ahmadi, F.S.; Talebi, M.; Moshtaghi, N.; Matkowski, A.; Szumny, A.; Rahimmalek, M. Essential oil composition, physiological and morphological variation in Salvia abrotanoides and S. yangii under drought stress and chitosan treatments. Ind. Crops Prod. 2022, 187, 115429. [Google Scholar] [CrossRef]
- Ahmad, P.; Rasool, S.; Gul, A.; Sheikh, S.A.; Akram, N.A.; Ashraf, M.; Kazi, A.M.; Gucel, S. Jasmonates: Multifunctional roles in stress tolerance. Front. Plant Sci. 2016, 7, 813. [Google Scholar] [CrossRef]
- Farhangi-Abriz, S.; Ghassemi-Golezani, K. Jasmonates: Mechanisms and functions in abiotic stress tolerance of plants. Biocatal. Agric. Biotechnol. 2019, 20, 101210. [Google Scholar] [CrossRef]
- Abu-Muriefah, S.S. Effect of chitosan on common bean (Phaseolus vulgaris L.) plants grown under water stress conditions. Int. Res. J. Agric. Sci. Soil Sci. 2013, 3, 192–199. [Google Scholar]
- Behboudi, F.; Tahmasebi-Sarvestani, Z.; Kassaee, M.Z.; Modarres-Sanavy, S.A.M.; Sorooshzadeh, A.; Mokhtassi-Bidgoli, A. Evaluation of chitosan nanoparticles effects with two application methods on wheat under drought stress. J. Plant Nutr. 2019, 42, 1439–1451. [Google Scholar] [CrossRef]
- Nasr, S.I.; Soliman, G.M. Application of methyl jasmonate and chitosan on behavior of “Anna” apple seedlings grown under water and heat stress conditions. Arab. Univ. J. Agric. Sci. 2020, 28, 1203–1223. [Google Scholar] [CrossRef]
- Chayjarung, P.; Poonsap, W.; Pankaew, C.; Inmano, O.; Kongbangkerd, A.; Limmongkon, A. Using a combination of chitosan, methyl jasmonate, and cyclodextrin as an effective elicitation strategy for prenylated stilbene compound production in Arachis hypogaea L. hairy root culture and their impact on genomic DNA. Plant Cell Tissue Organ Cult. 2021, 147, 117–129. [Google Scholar] [CrossRef]
- Manoj, B.S.; Gupta, M.; Iqbal Jeelani, M.; Gupta, S. Chitosan augments bioactive properties and drought resilience in drought-induced red kidney beans. Int. Food Res. 2022, 159, 111597. [Google Scholar]
- Meftahizade, H.; Hamidoghli, Y.; Asareh, M.H.; Dakheli, M.J. Phytochemical properties of three genotypes of Cyamopsis tetragonoloba L. under irrigation regimes and sowing dates. Iran. J. Med. Aromat. Plants 2018, 25, 617–627. [Google Scholar]
- Mohi-Ud-din, M.; Talukder, D.; Rohman, M.; Ahmed, J.U.; Krishna Jagadish, S.V.; Islam, T.; Hasanuzzaman, M. Exogenous application of methyl jasmonate and salicylic acid mitigates drought-induced oxidative damages in French bean (Phaseolus vulgaris L.). Plants 2021, 10, 2066. [Google Scholar] [CrossRef]
- Beigi, A.; Ghooshchi, F.; Moghaddam, H.R.T.; Nasiri, M.; Kasraie, P. Effect of methyl jasmonate and potassium and their combined action on drought tolerance of fodder corn. Russ. J. Plant Physiol. 2023, 70, 102. [Google Scholar] [CrossRef]









| S.O.V | df | Plant Height | Pod Length | Number of Pods Plant−1 | Number of Seeds Pod−1 | Seed Yield | 1000-Seed Weight | Biomass | Root Length | Root Dry Weight | Total Phenolic Content | Total Flavonoid | Anthocyanin Content | Gum Percentage | Viscosity |
|---|---|---|---|---|---|---|---|---|---|---|---|---|---|---|---|
| Replication | 2 | 36.07 | 0.35 | 0.29 | 0.527 | 0.01 | 1.19 | 1.27 | 1.39 | 0.01 | 0.01 | 0.005 | 0.005 | 3.79 | 32,156.76 |
| Variety (V) | 1 | 39.27 ** | 2.25 ** | 7.56 ** | 3.062 ** | 0.39 ** | 9.36 ** | 14.18 ** | 1360.38** | 0.02 * | 17.10 ** | 0.057 ** | 0.004 | 238.08 ** | 4,964,505.84 ** |
| Irrigation (I) | 2 | 5334.97 ** | 1.89 ** | 5.36 ** | 2.194 ** | 0.36 ** | 509.90 ** | 18.38 ** | 113.67 ** | 0.18 ** | 2.93 ** | 0.059 ** | 0.043 ** | 93.32 ** | 4,692,066.29 ** |
| Elicitors (E) | 7 | 409.69 ** | 2.19 ** | 2.04 ** | 3.499 ** | 0.13 ** | 105.79 ** | 2.42 ** | 97.26 ** | 0.09 ** | 0.88 ** | 0.048 ** | 0.130 ** | 13.34 ** | 910,667.12 ** |
| V × I | 2 | 1956.02 ** | 1.70 ** | 2.33 ** | 2.333 ** | 0.05 ** | 159.48 ** | 2.32 * | 68.10 ** | 0.06 ** | 2.93 ** | 0.015 ** | 0.004 | 7.82 ** | 701,274.87 ** |
| V × E | 7 | 90.62 ** | 0.42 ** | 0.37 | 0.872 ** | 0.05 ** | 10.10 ** | 1.02 | 8.09 ** | 0.02 ** | 0.28 ** | 0.005 ** | 0.009 | 4.63 ** | 103,574.51 ** |
| I × E | 14 | 124.01 ** | 0.45 ** | 0.34 | 0.424 ** | 0.02 ** | 9.00 ** | 0.86 | 23.34 ** | 0.01 ** | 0.19 ** | 0.002 * | 0.006 * | 3.97 ** | 171,432.97 ** |
| V × I × E | 14 | 86.83 ** | 0.72 ** | 0.81 ** | 0.881 ** | 0.04 ** | 9.29 ** | 0.71 ** | 22.95 ** | 0.02 ** | 0.21 ** | 0.002 ** | 0.005 | 2.82 ** | 88,528.72 ** |
| CV (%) | - | 4.75 | 6.28 | 15.94 | 12.458 | 16.36 | 3.35 | 32.06 | 4.39 ** | 14.29 | 9.69 | 10.398 | 8.567 ** | 3.29 | 4.11 |
| Traits | Irrigation Regimes (I) | Elicitors | |||||||
|---|---|---|---|---|---|---|---|---|---|
| Control | MJ1 | MJ2 | MJ3 | CH1 | CH2 | CH3 | MJ2 + CH2 | ||
| Plant height (cm) | I1 | 40.5ij | 40.33ij | 43.00g–i | 43.33g–i | 41.67hi | 46.67e–g | 47.17d–f | 45.33f–h |
| I2 | 42.33hi | 41.33i | 43.67f–i | 50.67d | 61.33b | 65.33a | 55.67c | 59.67b | |
| I3 | 23.67l | 34.33k | 40.67ij | 49.33de | 37.33jk | 37.33jk | 36.33k | 35.67k | |
| Pod length (cm) | I1 | 4.17fg | 4.17fg | 5.00bc | 5.17b | 5.00bc | 4.5d–f | 4.50d–f | 5.00bc |
| I2 | 4.00g | 4.33e–g | 4.50d–f | 4.83b–d | 4.33e–g | 4.67c–e | 4.33e–g | 5.00bc | |
| I3 | 5.00bc | 5.83a | 4.83b–d | 5.17b | 4.50d–f | 6.00a | 5.17b | 5.00bc |
| Traits | Irrigation Regimes (I) | Elicitors | |||||||
|---|---|---|---|---|---|---|---|---|---|
| Control | MJ1 | MJ2 | MJ3 | CH1 | CH2 | CH3 | MJ2 + CH2 | ||
| Plant height (cm) | I1 | 42.67i | 63.83bc | 70.33a | 66.73b | 55.5e | 62.5cd | 59.33d | 51.67f |
| I2 | 35.17j | 45.33g–i | 47.33g | 46.33gh | 43.83hi | 50.67f | 63.33c | 55.67e | |
| I3 | 22.33n | 26.67lm | 30.33k | 34.00j | 26.17m | 27.67k–m | 29.67kl | 30.67k | |
| Pod length (cm) | I1 | 4.67d–f | 4.83c–e | 5.17b–d | 5.00b–e | 5.00b–e | 5.00b–e | 7.17a | 5.50b |
| I2 | 4.17fg | 4.50e–g | 4.83c–e | 5.00b–e | 4.50e–g | 5.33bc | 4.83c–e | 5.17b–d | |
| I3 | 5.00b–e | 5.00b–e | 5.00b–e | 4.83c–e | 5.50b | 4.83c–e | 5.17b–d | 5.00b–e |
| Traits | Irrigation Regimes (I) | Elicitors | |||||||
|---|---|---|---|---|---|---|---|---|---|
| Control | MJ1 | MJ2 | MJ3 | CH1 | CH2 | CH3 | MJ2 + CH2 | ||
| Number of pods plant−1 | I1 | 3.00bc | 2.33c | 3.00bc | 3.33ab | 3.00bc | 3.33ab | 3.00bc | 3.33ab |
| I2 | 2.67bc | 3.00bc | 3.00bc | 3.33ab | 2.67bc | 3.33ab | 3.33ab | 2.67bc | |
| I3 | 2.33c | 2.67bc | 4.00a | 3.00bc | 2.33c | 2.33c | 2.67bc | 3.00bc | |
| Number of seeds pod−1 | I1 | 2.67ef | 2.33f | 3.00de | 3.33cd | 3.00de | 3.33cd | 3.00de | 3.33cd |
| I2 | 2.67ef | 3.00de | 3.00de | 3.33cd | 2.67ef | 3.67bc | 3.00de | 3.00de | |
| I3 | 3.00de | 4.00b | 5.00a | 4.00b | 3.00de | 3.33cd | 3.00de | 3.00de | |
| Seed yield per plant (g) | I1 | 0.41d–i | 0.46b–g | 0.57a | 0.56ab | 0.52a–c | 0.53a–c | 0.44c–h | 0.51a–d |
| I2 | 0.33ij | 0.34ij | 0.45c–h | 0.47b–g | 0.35h–j | 0.39f–j | 0.36h–j | 0.43c–i | |
| I3 | 0.41d–j | 0.48a–f | 0.50a–e | 0.33ij | 0.37g–j | 0.31j | 0.40e–j | 0.45c–h |
| Traits | Irrigation Regimes (I) | Elicitors | |||||||
|---|---|---|---|---|---|---|---|---|---|
| Control | MJ1 | MJ2 | MJ3 | CH1 | CH2 | CH3 | MJ2 + CH2 | ||
| Number of pods plant−1 | I1 | 3.33c–e | 4.33b | 4.33b | 5.33a | 3.67b–d | 3.33c–e | 4.00bc | 3.67b–d |
| I2 | 2.67e–g | 3.33c–e | 4.33b | 3.00d–f | 3.33c–e | 3.00d–f | 3.33c–e | 3.33c–e | |
| I3 | 2.00g | 2.33fg | 3.00d–f | 4.00bc | 2.67e–g | 3.00d–f | 3.00d-f | 3.33c–e | |
| Number of seeds pod−1 | I1 | 3.00e–g | 4.33bc | 4.33bc | 5.33a | 3.67c–e | 3.33d–f | 3.00e–g | 3.33d–f |
| I2 | 2.33g | 3.33d–f | 4.33bc | 3.00e–g | 3.33d–f | 3.00e–g | 2.67fg | 3.33d–f | |
| I3 | 2.33g | 3.33d–f | 4.00b–d | 4.67ab | 3.67c–e | 3.00e–g | 3.00e–g | 4.00b–d | |
| Seed yield per plant (g) | I1 | 0.82bc | 0.83ab | 0.97a | 0.69b–d | 0.45f–k | 0.55d–g | 0.67c–e | 0.29l |
| I2 | 0.54e–h | 0.73bc | 0.46f–k | 0.55d–f | 0.35j–l | 0.48f–j | 0.55d–g | 0.27l | |
| I3 | 0.32kl | 0.40g–l | 0.82bc | 0.37i–l | 0.49f–j | 0.40h–l | 0.52f–i | 0.32kl |
Disclaimer/Publisher’s Note: The statements, opinions and data contained in all publications are solely those of the individual author(s) and contributor(s) and not of MDPI and/or the editor(s). MDPI and/or the editor(s) disclaim responsibility for any injury to people or property resulting from any ideas, methods, instructions or products referred to in the content. |
© 2024 by the authors. Licensee MDPI, Basel, Switzerland. This article is an open access article distributed under the terms and conditions of the Creative Commons Attribution (CC BY) license (https://creativecommons.org/licenses/by/4.0/).
Share and Cite
Khurizadeh, S.; Naderi, R.; Meftahizadeh, H.; Hazrati, S.; Nicola, S. Foliar Application of Methyl Jasmonate and Chitosan Improve Growth, Yield, and Quality of Guar (Cyamopsis tetragonoloba L.) Under Water-Deficit Stress. Plants 2024, 13, 3099. https://doi.org/10.3390/plants13213099
Khurizadeh S, Naderi R, Meftahizadeh H, Hazrati S, Nicola S. Foliar Application of Methyl Jasmonate and Chitosan Improve Growth, Yield, and Quality of Guar (Cyamopsis tetragonoloba L.) Under Water-Deficit Stress. Plants. 2024; 13(21):3099. https://doi.org/10.3390/plants13213099
Chicago/Turabian StyleKhurizadeh, Sara, Ruhollah Naderi, Heidar Meftahizadeh, Saeid Hazrati, and Silvana Nicola. 2024. "Foliar Application of Methyl Jasmonate and Chitosan Improve Growth, Yield, and Quality of Guar (Cyamopsis tetragonoloba L.) Under Water-Deficit Stress" Plants 13, no. 21: 3099. https://doi.org/10.3390/plants13213099
APA StyleKhurizadeh, S., Naderi, R., Meftahizadeh, H., Hazrati, S., & Nicola, S. (2024). Foliar Application of Methyl Jasmonate and Chitosan Improve Growth, Yield, and Quality of Guar (Cyamopsis tetragonoloba L.) Under Water-Deficit Stress. Plants, 13(21), 3099. https://doi.org/10.3390/plants13213099

