Abstract
Cyanobacterial pigments have attracted considerable attention in industry due to their bioactive potential and natural origin. In the present study, the growth dynamics and pigment composition, in terms of chlorophyll a, total carotenoids and phycobiliprotein content, of four cyanobacterial strains isolated from thermal springs, namely Oscillatoria subbrevis CZS 2201, Phormidium ambiguum CZS 2205, Nostoc calcicola TSZ 2203, and Synechococcus sp. CZS 2204, were investigated. The analysis revealed that the maximum quantity of chlorophyll a and total carotenoids was observed in Oscillatoria subbrevis CZS 2201 (26.49 and 3.44 µg mL−1), followed by Phormidium ambiguum CZS 2205 (18.64 and 2.32 µg mL−1), whereas a minimum amount was detected in Synechococcus sp. CZS 2204 (12.13 and 1.24 µg mL−1), respectively. In addition, Oscillatoria subbrevis CZS 2201 showed higher quantity of phycobiliproteins, especially C-phycocyanin (45.81 mg g−1), C-phycoerythrin (64.17 mg g−1) and C-allophycocyanin (27.45 mg g−1). Moreover, carotenoid derivatives of Oscillatoria subbrevis CZS 2201 were also identified, among which β-carotene was the dominant form (1.94 µg mL−1), while the accumulation of zeaxanthin and myxoxanthophyll was relatively high (0.53 and 0.41 µg mL−1, respectively) compared with echinenone and cryptoxanthin (0.34 and 0.23 µg mL−1, respectively). The study revealed that Oscillatoria subbrevis CZS 2201 was a potent producer of secondary carotenoids, including myxoxanthophyll.
1. Introduction
Ongoing concerns about food security, energy crisis, disease outbreaks, global warming and the need to reduce carbon dioxide emissions have challenged scientists to find environmentally friendly and renewable biological resources from living organisms for food, energy and materials [1]. There is a growing awareness among consumers to use natural products derived from microorganisms and plant-based materials to create new technologies for functional products that can contribute to the industrial bioeconomy [2]. Photosynthetic microorganisms, including cyanobacteria, are useful to produce highly valuable metabolites, including lipids, proteins, pigments and carbohydrates [3].
Cyanobacteria, which inhabit different environments and possess a wide range of metabolic capabilities, are characterized by their ability to produce a spectrum of biologically active compounds with antibacterial, antifungal, antiviral and antioxidant properties of pharmaceutical and agricultural importance [4,5]. Among these bioactive compounds, natural organic pigments such as chlorophylls, carotenoids (carotenes and xanthophylls) and phycobiliproteins (c-phycocyanin, allophycocyanin and c-phycoerythrin) are gaining importance in several cosmetic, food and textile industries [6,7]. Chlorophyll is the most fundamental; it is responsible for oxygenic photosynthetic activity and is present in all photosynthetic microalgae and cyanobacteria [8]. Carotenoids can be either primary or secondary pigments, and their profiles vary according to species and growth conditions; the best known and commercially available are astaxanthin, lutein and β-carotene [9]. In addition, phycobiliproteins are a special class of pigments found only in cyanobacteria and red algae and may be the most important light absorbers in these organisms; the best-known phycobiliproteins are phycocyanin and phycoerythrin [10]. Together, these three classes of pigments maximize light absorption by cyanobacteria across the entire visible spectrum. They exhibit a range of physicochemical properties and biological functions, making them a valuable subject of study in the field of biotechnology [11].
It is established that plants, microalgae, fungi and bacteria can be regarded as potential sources of natural pigments. However, plant-derived pigments have certain disadvantages, including dependence on seasonal raw materials (leaves, fruits, roots, etc.), sensitivity to extraction conditions, longer regeneration time, and difficulties in scaling up [12,13,14]. The production of mushroom-based pigments is costly due to fermentation, and they are prone to toxin production. Additionally, most bacteria-based pigments are still in the research and development stage [15]. It is crucial to consider the remarkable growth rate of cyanobacteria when contemplating various strategies for their management. Furthermore, their cultivation can be conducted on a continuous basis, which is regarded as the optimal system for large-scale biomass production, thereby rendering the process of natural pigment production cost-effective [16,17]. In contrast to heterotrophic bacteria, cyanobacteria are able to grow using only sunlight, carbon dioxide, water and minimal nutrients, thereby eliminating the cost of carbon sources and complex nutrient media. Furthermore, the alkalophilic nature of certain cyanobacterial strains, such as Spirulina sp., enables them to be cultivated with a reduced risk of contamination [18]. Sunlight is the most readily available and inexpensive resource on earth, and utilizing cyanobacteria to produce highly dispersed chemicals from solar energy offers a greener pathway for their biosynthesis process [19]. Furthermore, cyanobacteria exhibit higher biomass production rates than plants and have the capacity to convert up to 39% of solar energy into biomass, a figure that greatly surpasses the ≤0.25–3% achieved by agricultural crops such as maize and sugarcane [20]. The significant advantages of cyanobacteria over other natural pigment sources, coupled with the current trend of consumer awareness towards natural products, food safety and sustainable consumption, indicate a growing interest in cyanobacterial pigments as natural colorants in food products.
Particularly, the prospective medical applications of carotenoids, terpenoid pigments, in the treatment of cancer, respiratory, neurological or immunological degenerative pathologies are worthy of note. Additionally, they can serve as antibacterial, antiviral or anticholesterol agents and possess a high commercial value, being widely used as dietary supplements for humans and animals [21,22]. The principal carotenoids present in cyanobacteria are β-carotene, as well as the xanthophylls echinenone, zeaxanthin and specific carotenoids such as myxoxanthophyll [23]. Other carotenoids of biotechnological value, namely lutein, astaxanthin, canthaxanthin and β-cryptoxanthin, are found in low concentrations (depending on the species) and their role in the photosynthetic apparatus remains unclear [24]. A number of additional carotenoids have been identified in specific species, including synechoxanthin in Synechococcus [25], caloxanthin and nostoxanthin in Nostoc sp. [26], and alloxanthin in Cryptomonas sp. [27], and mutachrome has also been isolated from Prochloron sp. [28]. A distinctive class of carotenoid glycosides (e.g., oscillaxanthin, myxoxanthophyll) has been identified in select cyanobacterial species, including Cylindrospermopsis sp., Thermosynechococcus sp., Synechocystis sp., Anabaena sp. and Nostoc sp. [29,30].
Although cyanobacteria are not the organism of choice for industrial carotenoid production, optimizing their production and assessing their biological activity demonstrates that these organisms may indeed be potential candidates for future pigment production in a more environmentally friendly and sustainable bioprocessing approach [31]. In this context, the screening of cyanobacteria to identify new species containing valuable metabolites, including pigments and the optimization of their production are crucial steps in the exploitation of the full potential of these interesting targets.
The present study is concerned with the pigment composition of cyanobacterial strains isolated from hot springs, with the objective of identifying producers of valuable pigments for biotechnological applications.
2. Results
2.1. Isolation and Identification of Cyanobacterial Strains from Hot Springs
Water samples were collected from four wells numbered 1587, 3422, 141-D and 1478 in different fields in the Uygur district (Figure S1). The temperature of the hot springs during the sampling period was 38–50 °C, and the pH was recorded in the range of 7–8, indicating an alkaline environment. According to the data, the composition of water in the investigated wells No. 1587 (geo-coordinates: 43.63709536470939, 80.05503078936722) and No. 3422 (geo-coordinates: 43.637083272623734, 80.05405526078577) was characterized as slightly mineralized (up to 0.43 g dm−3), slightly alkaline (pH 8.1–8.4), nitric (up to 95%), hyperthermal with complex chloride–sulphate–hydrocarbonate–calcium–sodium composition, containing an increased concentration of silicic acid (39.0–40.0 mg dm−3). The mineral waters from wells No. 141-D (geo-coordinates: 43.65516785916136, 80.16010043702464) and No. 1478 (geo-coordinates: 43.66404336640531, 80.17233815840281) of the Karadala deposit are therapeutic, nitric, slightly mineralized, slightly alkaline and identified as thermal waters of complex sulphate–chloride–hydrocarbonate (No. 141-D) and hydrocarbonate–sulphate–sulphate–chloride (No. 1478) sodium composition [32].
The algoflora composition and structure of samples from thermal springs were determined using the cup culture method. The most active and dominant species were identified by direct microscopy, as well as by their viability and development in the culture fluids. A total of 22 species of cyanobacteria and 16 species of microalgae were detected in the studied water samples. The following dominant microalgal genera were found in all the studied sites Chlorella, Dunaliella, Euglena, Scenedesmus, as well as genera of cyanobacteria—Synecphococcus, Phormidium, Nostoc, Oscilatoria, Anabaena, etc. Cyanobacteria include 22 species represented by 15 intraspecific taxa and belong to five orders (Chroococcacales, Spirulinales, Nostocales, Oscillatoriales, Synechococcales). Among the five orders, the species diversity is dominated by Oscillatoriales—13 or 6.58%, followed by Nostocales—4 or 3.70% and Chroococcacales—5 or 3.04%. The order Oscillatoriales is represented by 6 families and 11 genera. Among them, the family Oscillatoriaceae—5 and the genus Phormidium—3 occupy the leading position in terms of richness of forms. Dominant species were cultivated in nutrient media for further isolation and purification from associated microflora.
From these, four axenic cyanobacterial cultures were isolated and labeled with the name of the culture and the serial number of the collected sample: Oscillatoria subbrevis CZS 2201, Phormidium ambiguum CZS 2205, Synechococcus sp. CZS 2204, Nostoc calcicola TSZ 2203.
The novel isolated strains of Oscillatoria subbrevis CZS 2201 (OQ627016), Phormidium ambiguum CZS 2205 (OQ646791), Synechococcus sp. CZS 2204 (OQ627024) and Nostoc calcicola TSZ 2203 (OQ627023) were amplified using universal 16s rRNA primers. Chlorella vulgaris SAG 211-11b strain was used as an external group. Figure 1 shows the phylogenetic relationships of the adjacent strains and the tree topology, which reflects the basis of the sequential taxon comparison. The phylogenetic tree consists of four main clusters and one group, each containing mainly different representatives of Synechococcus, Oscillatoria, Phormidium and Nostoc species. Oscillatoria subbrevis CZS 2201 strain showed similarities with Oscillatoria subbrevis PCC7202 (94.33%) and Cyanobacterium stanieri PCC7202 (92%). Although we observed phylogenetic proximity of Oscillatoria subbrevis CZS 2201 strain to both strains, it was found to be morphologically related to the Oscillatoria type. The Synechococcus sp. CZS 2204 strain showed affinity to the species of Synechococcus elongatus RCC 6301 (93.17%). The 1444 nucleotide chains were used for the phylogenetic analysis of Phormidium ambiguum CZS 2205 strain. The Phormidium ambiguum CZS 2205 strain was found to be 94.00% closely related to the Phormidium irriguum C22 strain. In addition, Nostoc calcicola TSZ 2203 strain (92.46%) and Nostoc punctiforme PCC 73102 strain (90.92%) also showed genetic similarity to the strain under investigation.
Figure 1.
Phylogenetic tree of the isolated cyanobacterial strains and neighboring species.
2.2. Growth and Morphological Characterization of Selected Cyanobacterial Strains
Biomass yield, growth rate and photosynthetic activity are the main indicators for screening the productivity of cyanobacteria. Cyanobacterial isolates of the genera Oscillatoria, Phormidium, Synechococcus, Nostoc were selected based on comparative productivity analysis, which includes growth rate and dry mass. The initial optical density was 0.2 at 720 nm in all cases and monitored daily. Dry mass was measured every 3 days.
According to the graph (Figure 2a), Oscillatoria and Phormidium strains had the highest dry biomass accumulation values of 1.12 and 0.84 g L−1, respectively, on the 12th day of cultivation. The lowest dry mass values were found for Nostoc with 0.57 g L−1. As shown in Figure 2b, the highest cell growth rate was observed in Oscillatoria (2.58) and the lowest in Nostoc (1.81) on 12th day of cultivation. And Phormidium and Synechococcus cultures showed similar growth values approximately at 2.18 and 2.08, respectively. Thus, as a result of the growth dynamics study of the four isolated cyanobacterial cultures, Oscillatoria showed high growth rates and biomass yield, indicating its high productivity.
Figure 2.
Growth profile of new isolated cyanobacterial strains. Note: (a)—dry biomass, (b)—growth rate. Note: OS—Oscillatoria subbrevis CZS 2201, PA—Phormidium ambiguum CZS 2205, SS –Synechococcus sp. CZS 2204, NC—Nostoc calcicola TSZ 2203. Note: a,b,c,d mean statistical significance (p < 0.001).
In terms of basic morphological characteristics, Nostoc calcicola, a member of the family Nostocaceae, is a filamentous cyanobacterium with intercalary heterocysts (specific atmospheric N2-binding cells) and akinetes cells formed centrifugally in a row between heterocysts (Figure 3a and Figure S2a). The width of the heterocysts ranged from 1.54 to 3.37 μm and the length from 3.21 to 6.19 μm. The shape of the heterocysts varied from ovoid or spherical to ellipsoidal. The heterocysts were both terminal and intercalated.
Figure 3.
Scanning electron microscopy (SEM) micrographs of (a) Nostoc calcicola TSZ 2203, (b) Synechococcus sp. CZS 2204, (c) Phormidium ambiguum CZS 2205, (d) Oscillatoria subbrevis CZS 2201.
The Synechococcus strain, from the family Synechococcaceae, has round or binary cells with rounded ends; mature cells ranged in size from 0.8 to 1.2 µm wide and 2.4 to 3.1 µm length (Figure 3b and Figure S2b). Unique polar divisions with the formation of spherical (globular) cells were observed. The width and shape of the constriction region were similar.
Phormidium ambiguum, from the family Oscillatoriaceae, is a filamentous type of cyanobacterium (Figure 3c and Figure S2c) that does not fix nitrogen because it lacks heterocytes. The filaments were unbranched but divided into short fragments. The ends of the filaments were straight without twisting. The filaments were composed of cylindrical cells whose length slightly exceeded their thickness (1.84 μm).
The next strain of the family Oscillatoriaceae, identified as Oscillatoria subbrevis, was also a filamentous form without heterocysts (Figure 3d and Figure S2d). Trichomes were solitary, almost straight, not retracted at the apex, not overdrawn at the transverse walls; cells were not granulated at the transverse walls, cell length varied between 1.5–3.1 µm and width between 6.5 and 7.1 µm; the terminal cell was rounded; and calyptra was absent.
2.3. Pigments Analysis of Cyanobacterial Strains
The current study examined the pigment profile, in terms of chlorophyll a and total carotenoids content of selected cyanobacterial cells. A trend towards increased production of chlorophyll a and total carotenoids was observed up to 9 days of cultivation, after which a decrease in both chlorophyll a and total carotenoids was observed under controlled conditions where light, nutrient availability and other environmental conditions were not limiting factors.
As illustrated in Table 1, during the initial phase (1–3 days), the pigment content of all species is typically low, as the cells adapt to the novel environment and are not actively proliferating. During the exponential phase (3–9 days), the content of chlorophyll-a and carotenoids increases rapidly, as pigment synthesis is closely related to biomass increase. This is because pigments are essential for photosynthesis and energy production during this phase of rapid growth. During the stationary phase (11–12 days), the growth rate decelerates as nutrients become scarce and cell numbers reach a plateau. At this juncture, pigment concentrations may stabilize or undergo a slight decline as cells begin to experience nutrient limitation. However, some cyanobacteria may continue to accumulate certain pigments, such as carotenoids, as a response to stressful environmental conditions.
Table 1.
Content of chlorophyll a and total carotenoids in selected cyanobacterial cells during the period of cultivation, µg mL−1.
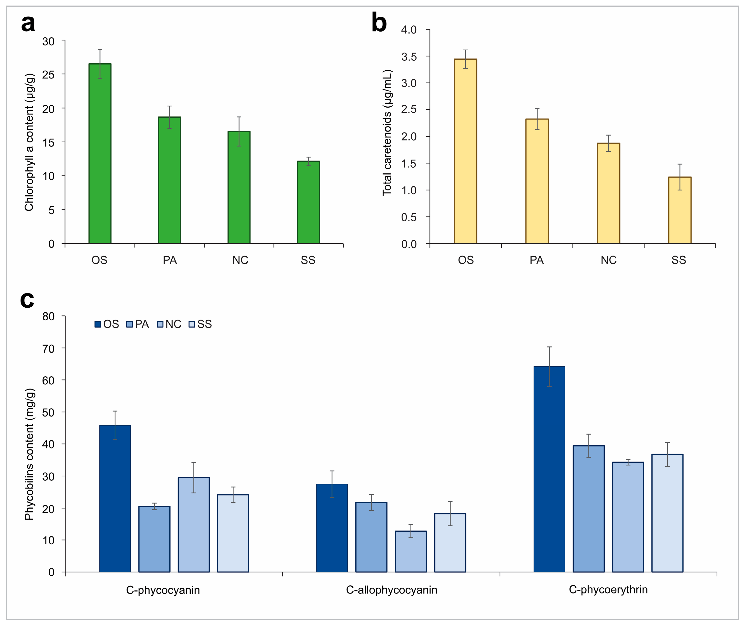
The analysis revealed that the maximum quantity of chlorophyll a and total carotenoids was observed in Oscillatoria subbrevis CZS 2201 (26.49 and 3.44 µg mL−1), followed by Phormidium ambiguum CZS 2205 (18.64 and 2.32 µg mL−1), whereas a minimum chlorophyll a and total carotenoids amount was detected in Synechococcus sp. CZS 2204 (12.13 and 1.24 µg mL−1), respectively. Chlorophyll a and total carotenoids in Nostoc calcicola TSZ 2203 valued for 16.52 and 1.87 µg mL−1 (Figure 4a,b).
Figure 4.
Pigments profile of cyanobacterial monocultures: (a)—chlorophyll a; (b)—total carotenoids content; (c)—phycobiliprotein content. Note: OS—Oscillatoria subbrevis CZS 2201, PA—Phormidium ambiguum CZS 2205, SS—Synechococcus sp. CZS 2204, NC—Nostoc calcicola TSZ 2203.
In addition to photoprotective pigments, other accessory pigments—phycobilins, a group of three pigments, C-phycocyanin, C-allophycocyanin and C-phycoerythrin were measured. The maximum value of C-phycocyanin was detected in Oscillatoria subbrevis CZS 2201 (45.81 mg g−1), followed by Nostoc calcicola TSZ 2203 (29.44 mg g−1) and Synechococcus sp. CZS 2204 (24.13 mg g−1), whereas a minimum C-phycocyanin content was measured for Phormidium ambiguum CZS 2205 (20.5 mg g−1). Regarding C-phycoerythrin, the high content was observed also for Oscillatoria subbrevis CZS 2201 cells with (64.17 mg g−1) and the lowest value was in Nostoc calcicola TSZ 2203 (34.27 mg g−1). Similarly, C-allophycocyanin content was maximum in Oscillatoria subbrevis CZS 2201 about at 27.45 mg g−1, and the minimum in Nostoc calcicola TSZ 2203 at 12.78 mg g−1 (Figure 4c).
Based on the obtained results, Oscillatoria subbrevis CZS 2201 showed high contents for all examined pigments and was selected for further identification of carotenoid composition.
2.4. Carotenoid Composition of Oscillatoria subbrevis CZS 2201
In this study, the carotenoid composition of the thermophilic filamentous cyanobacterium Oscillatoria subbrevis CZS 2201, grown photoautotrophically under diazotrophic conditions at 32 °C, was also examined. According to the obtained results, carotenoids such as myxoxanthophyll, zeaxanthin, echinenone and β-carotene were identified. The predominant form among the carotenoids was β-carotene (1.94 µg mL−1), while the accumulation of zeaxanthin and myxoxanthophyll was relatively high (0.53 and 0.41 µg mL−1, respectively) in comparison to echinenone and cryptoxanthin (0.34 and 0.23 µg mL−1, respectively) (Figure 5a,b).
Figure 5.
Pigment analysis of Oscillatoria subbrevis CZS 2201: (a)—carotenoid composition; (b)—chromatographic profile of pigments: 1—myxoxanthophyll 1, 2—myxoxanthophyll 2, 3—zeaxanthin, 4—echinenone, 5—chlorophyll a, 6—β-carotene; (c)—ESI-HR/MS spectrum of myxoxanthophyll. Note: a,b,c mean statistical significance (p < 0.001), bc means statistical significance (p < 0.01).
The chemical identity of the isolated target compound was established using a Dionex UltiMate 3000 HPLC system (Thermo Scientific, Sunnyvale, CA, USA) connected to a high-resolution tandem mass spectrometry (HRMS/MS) detector with electrospray ionization (ESI) source (Impact HD mass spectrometer, Bruker, Billerica, MA, USA) (HPLC-ESI-HRMS/MS). The identification of the target compound was confirmed in comparison with the published literature data [33]. The ESI-HRMS spectrum of the target compound peak indicated a molecular formula, consistent with C46H64O7, accompanied by a cation-radical molecular ion [M]+ at m/z 729.4686 (Figure 5c). The ESI-HRMS/MS fragmentation of the cation radical molecular ion gave a fragment ion at m/z 581.3995, corresponding to the carotenoid moiety formed after cleavage of the sugar moiety (C6H11O4), which are in agreement with the fragmentation pattern of (all-trans)-myxoxanthophyll as 2′-(3-O-methyl-α-L-fucoside).
3. Discussion
Thermophilic cyanobacteria are of scientific interest due to their analogy with ancient life forms on Earth and are a valuable source of thermostable biomolecules [33]. They have evolved a variety of adaptations to withstand extreme habitat conditions and exhibit a high degree of thermotolerance, enabling them to survive and function at elevated temperatures. The lipid composition of the cell membrane of thermophilic cyanobacteria is adapted to withstand high temperatures and contains a higher proportion of saturated fatty acids. This increases the rigidity and stability of membranes, prevents their denaturation and promotes the re-clotting of damaged proteins [34]. Furthermore, they produce a class of proteins, designated as heat shock proteins in response to elevated temperatures, which assist in stabilizing cellular components [35]. Additionally, thermophilic cyanobacteria frequently possess distinctive pigment compositions that serve to safeguard them from high levels of light and ultraviolet radiation in hot habitats. They are capable of synthesizing specific carotenoids and mycosporine-like amino acids, which function as photoprotective compounds [36,37]. From this perspective, the isolation and characterization of cyanobacteria from hot springs is of practical importance, as the isolated culture may have biotechnological potential to produce bioactive molecules and thermostable enzymes. Considering the potential of cyanobacteria in pigment production, the present study investigated four novel axenic cyanobacterial strains isolated from Chundzha hot springs, namely Oscillatoria subbrevis CZS 2201, Phormidium ambiguum CZS 2205, Synechococcus sp. CZS 2204 and Nostoc calcicola TSZ 2203. Furthermore, comparative analyses were conducted on the productivity of the strains, as well as on the content of chlorophyll a, total carotenoids and phycobiliproteins, with the aim of identifying potential pigment producers.
Carotenoids are widely described as bioactive compounds, including antioxidants, anti-inflammatory agents, anti-tumor promoters and antimicrobial agents, which can be used in animal feed as color enhancers and in cosmetics as antioxidants and anti-aging components [38]. The growing utilization of carotenoids in food, feed, pharmaceutical and cosmetic industries has led to an increased demand for natural carotenoids in the market. It is anticipated that the global market value of natural carotenoids will reach USD 2 billion by 2022 [3]. However, the majority of carotenoids used in industry are derived from microalgae and plants. Consequently, there is a paucity of studies concerning cyanobacterial carotenoids and their activity. A substantial body of literature exists on the determination of pigment content in the biomass of green and other higher algae [39]. Their distinctive morphological and metabolic characteristics position them as the most promising candidates for the production of natural dyes [40]. However, cyanobacteria are also the most efficient photosynthetic organisms, probably because they have a very fast response and adaptation to environmental stimuli, which no other group of living things has been observed to possess [41]. Furthermore, cyanobacteria possess a distinctive and adaptable pigment composition, enabling them to absorb light across a broad spectrum and to store considerable quantities of light energy [42]. In a recent study, Pagels et al. [43] reported that cyanobacteria of the genus Cyanobium are rich in not only β-carotene but also pigments such as echinenone, lutein and zeaxanthin, which possess a range of properties, including photoprotective, anti-obesity, anti-inflammatory, neuroprotective, antidiabetic, antioxidant and anticancer effects. A similar outcome was observed in a study conducted by Nayak et al. [44], wherein a set of 24 heterocystic cyanobacterial strains belonging to the genus Anabaena, isolated from diverse geographical locations in India, were examined for their pigment profile, revealing notable discrepancies in chlorophyll and carotenoid accumulation.
Furthermore, the photosynthetic apparatus of cyanobacteria contains several water-soluble phycobiliproteins organized in phycobilisomes. These molecules act as free radical scavengers, thereby increasing their use in the pharmaceutical industry and as fluorochromes in biomedical research [45]. Phycobiliproteins are also reported to be effective anticancer, neuroprotective, anti-inflammatory, anti-allergic and hepatoprotective agents [46]. Ferraro et al. [47] carried out the purification of C-phycocyanin from the extremophilic species of Galdieri. The study by Liang et al. [48] showed that C-phycocyanin synthesized by Synechococcus sp. was more stable than C-phycocyanin synthesized by Spirulina species. In another study, Galdieria phlegrea strain isolated from different geographical areas were also tested for their thermostable C-phycocyanin during autotrophic and heterotrophic cultivation [48].
In this study, a screening of cyanobacteria strains was conducted, revealing that the maximum chlorophyll a content was 26.49 µg mL−1 and the maximum production of total carotenoid was 3.44 µg·mL−1 in Oscillatoria subbrevis CZS 2201 cells. Tabassum et al. [49] conducted a comparative study on four strains of four different genera of blue-green algae, including Oscillatoria, Lyngbya, Anabaena and Microchaete, and reported a dry weight of chlorophyll a (506 μg g−1), carotenoids (58 μg g−1), C-phycocyanin (1420 μg g−1), allophycocyanin (1058 μg g−1) and C-phycoerythrin (422 μg g−1) in Oscillatoria under controlled conditions [49]. Another study of Jeevanantham et al. [50] demonstrated biochemical characteristics of five marine cyanobacteria species, where the maximum quantity of chlorophyll a was observed in Synechococcus aeruginosus (58.14 mg mL−1), while the highest total carotenoid content was recorded in Synechococcus elongatus (7.49 μg g−1).
The maximum quantities of C-phycocyanin, C-allophycocyanin and C-phycoerythrin produced by Oscillatoria subbrevis CZS 2201 were also determined to be 45.81, 27.45 and 64.17 mg g−1, respectively. Similar data were obtained in the study of Sarmah and Rout [51], which presented the biochemical composition of five cyanobacteria isolated from submerged polythene surface in domestic sewage water, where the maximum growth rate and the maximum total phycobiliproteins has been shown by Oscillatoria subbrevis (0.158 μ d−1 and 81.4 μg mL−1, respectively). Another study demonstrated the biomass and biomolecule profiling of Oscillatoria subbrevis and Oscillatoria sancta, with growth rates of 0.107 μ d−1 and 0.140 μ d−1, respectively. In addition, the maximum C-phycocyanin, C-allophycocyanin and C-phycoerythrin produced by Oscillatoria subbrevis were 0.007 μg mL−1, 0.002 μg mL−1 and 0.04 μg mL−1, respectively, after 20 days of batch culturing [52]. The most recent study on Oscillatoria spp. strain demonstrated considerable variability in chlorophyll a and carotenoid contents, with values ranging from 12.67 to 22.72 and 1.0 to 1.4 µg mL−1, respectively. Additionally, phycobiliprotein contents exhibited a broader range, spanning from 87.39 to 121.42 µg mL−1 [53]. The data presented will contribute to the screening and characterization of cyanobacteria of the genus Oscillatoria in terms of pigment, with a view to their use in research and various commercial applications.
Additionally, the findings of the current study indicate a considerable concentration of carotenoids within the cells of the Oscillatoria subbrevis 2201. The predominant form among the product carotenoids was β-carotene (1.94 µg mL−1), while the accumulation of zeaxanthin and myxoxanthophyll was relatively high (0.53 and 0.41 µg mL−1, respectively) in comparison to echinenone and cryptoxanthin (0.34 and 0.23 µg mL−1, respectively). Furthermore, the carotenoid composition in the cells of the thermophilic culture Oscillatoria can be modulated by growth temperature. At suboptimal temperatures, β-carotene is the dominant carotenoid, whereas increasing the temperature leads to the accumulation of ketocarotenoids, including myxoxanthophyll. Myxoxanthophyll [3R, 2′S)-2′-(2,4-di-O-methyl-α-L-fucoside)-3′,4′-didehydro-1′,2′-dihydro-β,ψ-carotene-3,1′-diol] is a xanthophyll glycoside characterized by a unique glycosidic bond, found in cyanobacteria and some non-photosynthetic bacteria, but not in eukaryotic algae. Its structure has been identified as a mixed carotenoid glycoside, where the dominant sugar moiety is rhamnose, and hexose is a minor component [54]. According to the literature data, several myxol glycosides with fucose derivatives have been identified, including myxol 2′-(3-O-methyl-α-l-fucoside) from Oscillatoria bornetii [55], non-methylated myxol 2′-α-l-fucoside from Oscillatoria limnetica [56], and myxol 2′-dimethylfucoside from the strain Synechocystis sp. PCC 6803 [54].
The presence of a sugar residue (pentose or, less frequently, hexose) in the structure of myxoxanthophyll renders the molecule highly amphiphilic in comparison to other xanthophylls, which exhibit predominantly hydrophobic properties. The presence of a terpenoid aglycone with a conjugated system of 11 double bonds, similar to that present in other xanthophylls such as zeaxanthin or lutein, indicates that these compounds possess high reactivity with active oxygen species [57]. Studies conducted in recent years by several independent research groups have demonstrated that myxoxanthophyll possesses significantly higher antioxidant potential than β-carotene [57]. In the study of Nováková et al. [58] 20 mg of myxoxanthophyll was yielded (95% purity) from 280 mg extract of Synechocystis salina, and the target pigment showed a weak antioxidant and tyrosinase inhibitory effect and exhibited immune-stimulating properties by activating human granulocytes. In addition, glycoside xanthophylls are of greater economic interest than β-carotene due to their high coloring power, which can be applied as a natural coloring agent and food additive in various products such as juices, beverages, dairy products, confectionery and gelatin [59].
4. Materials and Methods
4.1. Sampling and Isolation of Cyanobacterial Strains
This study focused on cyanobacterial cultures isolated from hot springs in the Chundzha settlement of the Uygur district, situated approximately 250 km (155 mi) from Almaty city, Kazakhstan. Water samples from these sites were collected in pre-sterilized 1 L plastic bottles. The water samples were filtered through 0.45 µm pore diameter membranes and transported to the laboratory, where they were stored at 4 °C in a refrigerator until further processing. Biological mats, concretions and sediments were randomly collected with sterile forceps and spatula from the sampling sites and placed in sterile glass containers. Water samples, to check for the presence of planktonic strains of cyanobacteria, were collected in sterile glass vials and tubes. Sampling was conducted between 10 and 25 October 2021. The temperature and pH of the water at the site were measured using a thermometer and a digital pH meter (HM Digital Inc., Los Angeles, CA, USA), respectively.
To obtain enrichment cultures, algae were grown in glass 250 mL Erlenmeyer flasks containing various nutrient medium at a temperature of 24 ± 3 °C, with periodic illumination at intensity of 54–90 μmol m−2 s−1 for FLUORA-type fluorescent lamps (LEDVANCE GmbH, Munich, Germany), a light cycle of 16:8 (day:night). Subsequently, the cultures were observed under a microscope regularly, with reseeding conducted at intervals of approximately every few days. These reseedings were performed by repeated serial dilution on selective artificial nutrient medium with regulation of acid-alkaline conditions. The isolation and purification of axenic cyanobacterial cultures were conducted using microbiological, mechanical and chemical methods, including stroke sowing, micropipette isolation, and multiple reseeding on solid (agar) media [60]. The morphological characteristics of the isolated cyanobacterial cultures were studied using a MicroOptix series microscope (West Medica, Wiener Neudorf, Austria) with image display on a monitor, while species composition was determined using existing identifiers [61,62,63,64,65].
4.2. Molecular Identification of Cyanobacterial Isolates
The molecular identification of microorganisms was conducted through the utilization of molecular genetic techniques, specifically through the sequencing of a conserved DNA or ribosomal RNA locus. Genomic DNA of varying lengths (>1000 bp was isolated using the protocol outlined in [66]. The 16S RNA gene was amplified from cyanobacterial genomic DNA using universal primers 27F (5′-AGAGAGTTTGATCCTGGCTCAG-3′) and 1492R (5′-TACGGTTACCTTGTTACGACTT-3′). The DNA sequences were compared by BLAST, version 2.11.0 (accessed on 15 June 2024, https://blast.ncbi.nlm.nih.gov/Blast.cgi) analysis to identify homologous taxa available on the NCBI DNA database [67] and were multiple-aligned using the MUSCLE program. The phylogenetic tree was constructed using Molecular Genetics Analysis (MEGA) 6.06 software [68], based on evolutionary distances, and calculated using the Neighbor-Joining method based on the Kimura-2-Parameter algorithm. The statistical evaluation of the tree topologies was conducted through a bootstrap analysis of 1000< repeated samples.
4.3. Growth Profile of Selected Cyanobacterial Cultures
Axenic cultures of the studied cyanobacteria were grown in a laboratory cultivator in 500 mL glass vessels containing 200 mL of modified Zarrouk Medium (g/L: 1.0 NaCl, 0.04 CaCl2·2H2O, 2.5 KNO3, 0.01 FeSO4·7H2O, 0.08 EDTA (Na), 1.0 K2SO4, 0.2 MgSO4·7H2O, 16.8 NaHCO3, 0.5 K2PO4) [69] and BG11 (g/L: 1.5 NaNO3, 0.036 CaCl2·2H2O, 0.012 Ferric ammonium citrate, 0.001 EDTA-Na2·2H2O, 0.04 K2HPO4, 0.075 MgSO4·7H2O, 0.02 Na2CO3 and 1 mL trace metals: mg/L: 2.86 H3BO3, 1.81 MnCl2·4H2O, 0.222 ZnSO4·7H2O, 0.39 Na2MoO4·2H2O, 0.079 CuSO4·5H2O, 0.049 Co(NO3)2·6H2O) [70] at 28–32 °C for 12 days until reaching stationary phase, where they were aerated under artificial light with a light intensity of 53–62 photons μmol m−2 s−1 and a sterile gas/air mixture enriched with 1% CO2 v/v (Table S1). To determine the growth dynamics of the isolated cultures, 5 mL samples were collected aseptically every 24 h and analyzed spectrophotometrically at a wavelength of λ = 720 nm to monitor the growth of cyanobacterial cultures using a spectrophotometer (SPECORD® S-600, Analytik Jena, Jena, Germany). The growth rate coefficient of cyanobacteria was defined as the difference between the maximum and initial density of the cell suspension [71]. The dry mass (DM) was analyzed every 3 days. Cyanobacterial suspensions were collected during the stationary growth phase by centrifugation (5804 R, Eppendorf, Hamburg, Germany) for 10 min at 4500 rpm. The separated cells were washed three times with distilled water and the number of fresh cell pellets was determined. The DM was recorded after drying the pellets in an oven at 60 °C until a constant weight was reached [72].
4.4. Scanning Electron Microscopy (SEM)
Cyanobacterial samples were fixed in 2.5% glutaraldehyde in Millonig’s phosphate buffer 0.2 M, pH 7.2 (Electron Microscopy Sciences, Hatfield, PA, USA) for 24 h. The specimens were washed thrice with the same buffer before being postfixed with 1% osmium tetroxide in MPB for 2 h. Finally, they were washed three times with MPB before being dehydrated in a graded acetone series. The dry samples were placed on a gummed standard SEM aluminum stub and were then gold-coated for 2 min in a sputter coater (Q150T, Quorum, Germany). Coated samples were examined directly under the SEM (Carl Zeiss AURIGA® CrossBeam®, Oberkochen, Germany) [73].
4.5. Pigment Analysis
4.5.1. Extraction and Quantification of Phycobiliproteins
For the extraction of phycobiliprotein, a known volume of homogenized culture [74] was taken and centrifuged at 4000 rpm for 10 min at room temperature. The cell pellet was washed 2–3 times with distilled water and suspended in 20 mM acetate buffer (pH 5.1) containing 40 mM NaCl and 0.02 M sodium azide. This was followed by repeated freeze–thaw until the supernatant collected became colorless [75]. The collected supernatant was used for the estimation of phycobiliproteins expressed in mg/mL using following equation [76,77]:
Phycocyanin (PC) = [A615 − (0.474 × A652)]/5.34,
Allophycocyanin (APC) = [A652 − (0.208 × A615)]/5.09,
Phycoerythrin (PE) = [A662 − (2.41 × PC − 0.849 × APC)]/9.52,
4.5.2. Extraction and Quantification of Chlorophyll a, Total Carotenoids
Biomass of cyanobacteria (20 mg) was extracted with 5 mL of 100% methanol in an ultrasonic bath for 30 min; resulting extracts were combined and further centrifuged (1350 rpm, 10 min) to separate insoluble particles. The extraction procedure was repeated until the supernatant became colorless. The extract was partitioned in a mixture of petroleum ether/diethyl ether [1:1 (v/v)], and methanol was removed by washing with distilled water. The extract was concentrated in a rotary evaporator (T < 30 °C), flushed with N2 and kept at 37 °C in the dark. The determination of the chlorophyll a and total carotenoids’ concentration in the extract was determined spectrophotometrically [78] and calculated according to following equation [79]:
Chlorophyll a (Chl a) =16.72 × A665.2 − 9.16 × A652.4,
Total carotenoid content (Cars) = [1000 × A470 − 1.63 × Chl a]/221,
4.5.3. HPLC/MS Analysis of Pigments
For the determination of cyanobacterial pigment content was used UHPLC (Thermo Scientific, Sunnyvale, CA, USA) equipped with a diode array detector (DAD) and Impact HD high resolution mass spectrometer (Bruker, Billerica, MA, USA) calibrated with sodium formate clusters and LockMass. Obtained molecular peaks and fragments are calculated using Smart Formula in Bruker Compass DataAnalysis software (version 4.2). Pigments are separated using a modified method of [58] on the Luna C8 (2) 100Å column (100 × 4.6 mm, 3 μm, Phenomenex, Taipei City, Taiwan) thermostated to 30 °C, with binary solvent system (0 min 100% A, 20 min 100% B, 25 min 100% B, 27 min 100% A, 30 min 100% A, where A is 80% methanol and B is 100% methanol). The solvent flow rate 0.8 mL min−1 and injection volume 20 μL. The identification of the carotenoids is performed, considering the combination of the following parameters: elution order on the reverse phase column, UV–vis spectrum features (maximum absorption wavelength (λmax), spectral fine structure (%III/II) and cis-peak intensity (%Ab/AII)), MS and MS/MS spectra characteristics (protonated molecule ([M + H]+) and MS/MS fragments), compared with data available in the literature [80,81,82,83,84].
4.6. Statistical Analysis
All experiments were conducted with 3–5 replicates. The results were evaluated by Analysis of Variance (ANOVA) to determine a statistically significant difference. Significance was declared at p < 0.05. The graphs represent the arithmetic means (M) and standard deviations (SD) [85].
5. Conclusions
A comparative productivity analysis revealed that Oscillatoria subbrevis CZS 2201 exhibited a high growth rate and biomass yield, as well as elevated levels of chlorophyll a, total carotenoids and phycobiliproteins. Consequently, this organism was selected for further biochemical studies on carotenoid composition, with the objective of identifying potential pigment producers. The major carotenoids detected in the cyanobacterium Oscillatoria subbrevis CZS 2201 were β-carotene, as well as the xanthophylls echinenone, zeaxanthin and specific carotenoids such as myxoxanthophyll. The predominant form among the product carotenoids was β-carotene, while the accumulation of zeaxanthin and myxoxanthophyll was relatively high in comparison to echineenone and cryptoxanthin. Therefore, the recently isolated strain of the cyanobacterium Oscillatoria subbrevis 2201 is a promising producer of carotenoid derivatives, including myxoxanthophyll, and also exhibits the capacity for rapid biomass reproduction and high productivity.
Supplementary Materials
The following supporting information can be downloaded at: https://www.mdpi.com/article/10.3390/plants13212951/s1, Figure S1. Geographical illustration of sampling points from Chundzha hot springs (GeoCoordinates: 43°32’14.9’’N 79°27’56.0’’ E). Figure S2. Light microscopy micrographs of (a) Nostoc calcicola TSZ 2203, (b) Synechococcus sp. CZS 2204, (c) Phormidium ambiguum CZS 2205, (d) Oscillatoria subbrevis CZS 2201. Table S1. The taxonomic position and the culture conditions of the maintenance of novel cyanobacterial isolates.
Author Contributions
B.K.Z. and J.K.: Conceptualization, Methodology, Supervision. B.K.Z.: Project administration. J.K., S.K.S., A.B.K. and B.D.K.: Data curation, Writing—original draft, Visualization, Investigation. K.B. and S.I.A.: Writing—review & editing. S.K.S., B.D.K., B.K.Z., J.K., A.B.K., K.B. and S.I.A. All authors have read and agreed to the published version of the manuscript.
Funding
This research has been funded by the Science Committee of the Ministry of Science and Higher Education of the Republic of Kazakhstan (Grant No. AP14870171). Table 1 and Figure 4 were obtained within the state assignment of Ministry of Science and Higher Education of the Russian Federation (theme No. 122050400128-1 to SIA).
Data Availability Statement
The original contributions presented in the study are included in the article/Supplementary Material, further inquiries can be directed to the corresponding author.
Acknowledgments
The authors are grateful to the Laboratory of Algal Biotechnology-Centre ALGATECH, Institute of Microbiology, Czech Academy of Sciences for providing the HPLS/MS analysis and to the Laboratory of Electron Microscopy, Core Facilities, Nazarbayev University and the National Laboratory Astana, especially to Yerbolat Tezekbay for providing the SEM analysis.
Conflicts of Interest
The authors declare no conflicts of interest.
References
- Mbow, C.; Rosenzweig, C.; Barioni, L.G.; Benton, T.G.; Herrero, M.; Krishnapillai, M.; Liwenga, E.; Pradhan, P.; Rivera-Ferre, M.G.; Sapkota, T.; et al. Food Security. In Climate Change and Land: An IPCC Special Report on Climate Change, Desertification, Land Degradation, Sustainable Land Management, Food Security, and Greenhouse Gas Fluxes in Terrestrial Ecosystems; Shukla, P.R., Skea, J., Buendia, E.C., Masson-Delmotte, V., Pörtner, H.-O., Roberts, D.C., Zhai, P., Slade, R., Connors, S., van Diemen, R., Eds.; Cambridge University Press: Cambridge, UK, 2019. [Google Scholar] [CrossRef]
- Sigamani, S.; Ramamurthy, D.; Natarajan, H. A Review on Potential Biotechnological applications of Microalgae. J. App. Pharm. Sci. 2016, 6, 179–184. [Google Scholar] [CrossRef]
- Vigani, M.; Parisi, C.; Rodríguez-Cerezo, E.; Barbosa, M.J.; Sijtsma, L.; Ploeg, M.; Enzing, C. Food and feed products from micro-algae: Market opportunities and challenges for the EU. Trends Food Sci. Technol. 2015, 42, 81–92. [Google Scholar] [CrossRef]
- Urtubia, H.O.; Betanzo, L.B.; Vásquez, M. Microalgae and Cyanobacteria as Green Molecular Factories: Tools and Perspectives. In Algae—Organisms for Imminent Biotechnology; Thajuddin, N., Dhanasekaran, D., Eds.; InTech: London, UK, 2016. [Google Scholar] [CrossRef]
- Zahra, Z.; Choo, D.H.; Lee, H.; Parveen, A. Cyanobacteria: Review of Current Potentials and Applications. Environments 2020, 7, 13. [Google Scholar] [CrossRef]
- García-Vaquero, M.; Brunton, N.; Lafarga, T.; Tomas, L. Microalgae as a source of pigments for food applications. In Cultured Microalgae for the Food Industry; Lafarga, T., Acién, G., Eds.; Academic Press: Cambridge, MA, USA, 2021; pp. 177–198. [Google Scholar] [CrossRef]
- Paz-Montelongo, S.; Hernández-Sánchez, C.; Guillén-Pino, F.; Rubio-Armendáriz, C.; Gutiérrez-Fernández, Á.J.; Hardisson, A. Cyanobacterial Pigments: Pharmaceutical and Nutraceutical Applications. In Pharmaceutical and Nutraceutical Potential of Cyanobacteria; Mehmood, M.A., Verma, P., Shah, M.P., Betenbaugh, M.J., Eds.; Springer: Cham, Switzerland, 2024. [Google Scholar] [CrossRef]
- Saini, D.K.; Pabbi, S.; Shukla, P. Cyanobacterial pigments: Perspectives and biotechnological approaches. Food Chem. Toxicol. 2018, 120, 616–624. [Google Scholar] [CrossRef] [PubMed]
- Pagels, F.; Vasconcelos, V.; Guedes, A.C. Carotenoids from Cyanobacteria: Biotechnological Potential and Optimization Strategies. Biomolecules 2021, 11, 735. [Google Scholar] [CrossRef]
- Stadnichuk, I.N.; Krasilnikov, P.M.; Zlenko, D.V. Cyanobacterial phycobilisomes and phycobiliproteins. Microbiology 2015, 84, 101–111. [Google Scholar] [CrossRef]
- Del Campo, J.A.; García-González, M.; Guerrero, M.G. Outdoor cultivation of microalgae for carotenoid production: Current state and perspectives. Appl. Microbiol. Biotechnol. 2007, 74, 1163–1174. [Google Scholar] [CrossRef]
- Assunçao, J.; Amaro, H.M.; Malcata, F.X.; Guedes, A.C. Cyanobacterial pigments: Photosynthetic function and biotechnological purposes. In The Pharmacological Potential of Cyanobacteria; Lopes, G., Vasconcelos, V., Eds.; Academic Press: Cambridge, MA, USA, 2022; pp. 201–256. [Google Scholar] [CrossRef]
- Ghosh, S.; Sarkar, T.; Das, A.; Chakraborty, R. Natural colorants from plant pigments and their encapsulation: An emerging window for the food industry. LWT 2022, 153, 112527. [Google Scholar] [CrossRef]
- Rodriguez-Amaya, D.B. Natural food pigments and colorants. Curr. Opin. Food Sci. 2016, 7, 20–26. [Google Scholar] [CrossRef]
- Rao, M.P.N.; Xiao, M.; Li, W.-J. Fungal and bacterial pigments: Secondary metabolites with wide applications. Front. Microbiol. 2017, 8, 1113. [Google Scholar] [CrossRef]
- Thevarajah, B.; Nishshanka, G.K.S.H.; Premaratne, M.; Wasath, W.A.J.; Nimarshana, P.H.V.; Malik, A.; Ariyadasa, T.U. Cyanobacterial pigment production in wastewaters treated for heavy metal removal: Current status and perspectives. J. Environ. Chem. Eng. 2023, 11, 108999. [Google Scholar] [CrossRef]
- Patel, A.K.; Albarico, F.P.J.B.; Perumal, P.K.; Vadrale, A.P.; Ntan, C.T.; Chau, H.T.B.; Anwar, C.; Wani, H.M.U.D.; Pal, A.; Saini, R.; et al. Algae as an emerging source of bioactive pigments. Bioresour. Technol. 2022, 351, 126910. [Google Scholar] [CrossRef] [PubMed]
- Cardozo, K.H.; Guaratini, T.; Barros, M.P.; Falcão, V.R.; Tonon, A.P.; Lopes, N.P.; Campos, S.; Torres, M.A.; Souza, A.O.; Colepicolo, P.; et al. Metabolites from algae with economical impact. Comp. Biochem. Physiol. C 2007, 146, 60–78. [Google Scholar] [CrossRef] [PubMed]
- Kossalbayev, B.D.; Yilmaz, G.; Sadvakasova, A.K.; Zayadan, B.K.; Belkozhayev, A.M.; Kamshybayeva, G.K.; Sainova, G.A.; Bozieva, A.M.; Alharby, H.F.; Tomo, T.; et al. Biotechnological production of hydrogen: Design features of photobioreactors and improvement of conditions for cultivating cyanobacteria. Int. J. Hydrogen Energy 2023, 49, 413–432. [Google Scholar] [CrossRef]
- Chittora, D.; Meena, M.; Barupal, T.; Swapnil, P. Cyanobacteria as a source of biofertilizers for sustainable agriculture. Biochem. Biophys. Rep. 2020, 22, 100737. [Google Scholar] [CrossRef]
- Papadopoulos, G.A.; Chalvatzi, S.; Kopecký, J.; Arsenos, G.; Fortomaris, P.D. Effects of dietary fat source on lutein, zeaxanthin and total carotenoids content of the egg yolk in laying hens during the early laying period. Br. Poult. Sci. 2019, 60, 431–438. [Google Scholar] [CrossRef]
- Begum, H.; Yusoff, F.M.; Banerjee, S.; Khatoon, H.; Shariff, M. Availability and Utilization of Pigments from Microalgae. Crit. Rev. Food Sci. Nutr. 2016, 56, 2209–2222. [Google Scholar] [CrossRef]
- Sandybayeva, S.K.; Kossalbayev, B.D.; Zayadan, B.K.; Sadvakasova, A.K.; Bolatkhan, K.; Zadneprovskaya, E.V.; Kakimova, A.B.; Alwasel, S.; Leong, Y.K.; Allakhverdiev, S.I. Prospects of cyanobacterial pigment production: Biotechnological potential and optimization strategies. Biochem. Eng. J. 2022, 187, 108640. [Google Scholar] [CrossRef]
- Guedes, A.C.; Amaro, H.M.; Malcata, F.X. Microalgae as Sources of Carotenoids. Mar. Drugs 2011, 9, 625–644. [Google Scholar] [CrossRef]
- Graham, J.E.; Lecomte, J.T.J.; Bryant, D.A.; Park, U.V. Synechoxanthin, an Aromatic C40 Xanthophyll That Is a Major Carotenoid in the Cyanobacterium Synechococcus Sp. PCC 7002. J. Nat. Prod. 2008, 71, 1647–1650. [Google Scholar] [CrossRef]
- Buchecker, R.; Liaaen-Jensen, S.; Borch, G.; Siegelman, H.W. Carotenoids of Anacystis Nidulans Structures of Caloxanthin and Nostoxanthin. Phytochemistry 1976, 15, 1015–1018. [Google Scholar] [CrossRef]
- Schagerl, M.; Donabaum, K. Patterns of Major Photosynthetic Pigments in Freshwater Algae. 1. Cyanoprokaryota, Rhodophyta and Cryptophyta. Ann. Limnol. 2003, 39, 35–47. [Google Scholar] [CrossRef]
- Withers, N.W.; Alberteo, R.S.; Lewin, R.A.; Thornberi, J.P.; Britton, G.; Goodwin, T.W. Photosynthetic Unit Size, Carotenoids, and Chlorophyll-Protein Composition of Prochloron Sp., a Prokaryotic Green Alga. Proc. Natl. Acad. Sci. USA 1978, 75, 2301–2305. [Google Scholar] [CrossRef] [PubMed]
- Nagy, V.; Agócs, A.; Deli, J.; Gulyás-Fekete, G.; Illyés, T.Z.; Kurtán, T.; Turcsi, E.; Béni, S.; Dékány, M.; Ballot, A.; et al. Carotenoid Glycoside Isolated and Identified from Cyanobacterium Cylindrospermopsis Raciborskii. J. Food Compos. Anal. 2018, 65, 6–10. [Google Scholar] [CrossRef]
- Yao, L.; Shabestary, K.; Björk, S.M.; Asplund-Samuelsson, J.; Joensson, H.N.; Jahn, M.; Hudson, E.P. Pooled CRISPRi screening of the cyanobacterium Synechocystis sp PCC 6803 for enhanced industrial phenotypes. Nat. Commun. 2020, 11, 1666. [Google Scholar] [CrossRef]
- Patias, L.; Fernandes, A.; Petry, F.; Mercadante, A.; Jacob-Lopes, E.; Zepka, L.Q. Carotenoid profile of three microalgae/cyanobacteria species with peroxyl radical scavenger capacity. Food Res. Int. 2017, 100, 260–266. [Google Scholar] [CrossRef]
- Miller, S.R.; Castenholz, R.W. Evolution of Thermotolerance in Hot Spring Cyanobacteria of the Genus Synechococcus. Appl. Environ. Microbiol. 2000, 66, 4222–4229. [Google Scholar] [CrossRef]
- Mohamed, H.E.; van de Meene, A.M.; Roberson, R.W.; Vermaas, W.F. Myxoxanthophyll is required for normal cell wall structure and thylakoid organization in the cyanobacterium Synechocystis sp. strain PCC 6803. J. Bacteriol. 2005, 187, 6883–6892. [Google Scholar] [CrossRef]
- Singh, Y.; Gulati, A.; Singh, D.P.; Khattar, J.I.S. Cyanobacterial community structure in hot water springs of Indian North-Western Himalayas: A morphological, molecular and ecological approach. Algal Res. 2018, 29, 179–192. [Google Scholar] [CrossRef]
- Alcorta, J.; Alarcón-Schumacher, T.; Salgado, O.; Díez, B. Taxonomic novelty and distinctive genomic features of hot spring cyanobacteria. Front. Genet. 2020, 11, 568223. [Google Scholar] [CrossRef]
- Strunecký, O.; Kopejtka, K.; Goecke, F.; Tomasch, J.; Lukavský, J.; Neori, A.; Kahl, S.; Pieper, D.H.; Pilarski, P.; Kaftan, D.; et al. High diversity of thermophilic cyanobacteria in Rupite hot spring identified by microscopy, cultivation, single-cell PCR and amplicon sequencing. Extremophiles 2019, 23, 35–48. [Google Scholar] [CrossRef] [PubMed]
- Tang, J.; Jiang, D.; Luo, Y.; Liang, Y.; Li, L.; Shah, M.M.R.; Daroch, M. Potential new genera of cyanobacterial strains isolated from thermal springs of western Sichuan, China. Algal Res. 2018, 31, 14–20. [Google Scholar] [CrossRef]
- Swain, S.S.; Paidesetty, S.K.; Padhy, R.N. Antibacterial, antifungal and antimycobacterial compounds from cyanobacteria, Biomed. Pharmacother 2017, 90, 760–776. [Google Scholar] [CrossRef]
- Rizwan, M.; Mujtaba, G.; Memon, S.; Lee, K.; Rashid, N. Exploring the potential of microalgae for new biotechnology applications and beyond: A review. Renew. Sustain. Energy Rev. 2018, 92, 394–404. [Google Scholar] [CrossRef]
- Spolaore, P.; Joannis-Cassan, C.; Duran, E.; Isambert, A. Commercial applications of microalgae. J. Biosci. Bioeng. 2006, 101, 87–96. [Google Scholar] [CrossRef]
- Żymańczyk-Duda, E.; Samson, S.; Brzezińska-Rodak, M.; Klimek-Ochab, M. Versatile applications of cyanobacteria in biotechnology. Microorganisms 2022, 10, 2318. [Google Scholar] [CrossRef]
- Tiwari, A.K.; Tiwari, B.S. Cyanotherapeutics: An emerging field for future drug discovery. Appl. Phycol. 2020, 1, 44–57. [Google Scholar] [CrossRef]
- Pagels, F.; Salvaterra, D.; Amaro, H.M.; Lopes, G.; Sousa-Pinto, I.; Vasconcelos, V.; Guedes, A.C. Bioactive potential of Cyanobium sp. pigment-rich extracts. J. Appl. Phycol. 2020, 32, 3031–3040. [Google Scholar] [CrossRef]
- Nayak, S.; Prasanna, R.; Prasanna, B.; Sahoo, D. Analysing diversity among Indian isolates of Anabaena (Nostocales, Cyanophyta) using morphological, physiological and biochemical characters. Microb. Ecol. 2007, 23, 1575–1584. [Google Scholar] [CrossRef]
- Galetović, A.; Seura, F.; Gallardo, V.; Graves, R.; Cortés, J.; Valdivia, C.; Núñez, J.; Tapia, C.; Neira, I.; Sanzana, S.; et al. Use of phycobiliproteins from Atacama cyanobacteria as food colorants in a dairy beverage prototype. Foods 2020, 9, 244. [Google Scholar] [CrossRef]
- Kini, S.; Divyashree, M.; Mani, M.K.; Mamatha, B.S. Algae and cyanobacteria as a source of novel bioactive compounds for biomedical applications. In Advances in Cyanobacterial Biology; Singh, P.K., Kumar, A., Singh, V.K., Shrivastava, A.K., Eds.; Academic Press: Cambridge, MA, USA, 2020; pp. 173–194. [Google Scholar] [CrossRef]
- Ferraro, G.; Imbimbo, P.; Marseglia, A.; Illiano, A.; Fontanarosa, C.; Amoresano, A.; Olivieri, G.; Pollio, A.; Monti, D.M.; Merlino, A. A thermophilic C-phycocyanin with unprecedented biophysical and biochemical properties. Int. J. Biol. Macromol. 2020, 150, 38–51. [Google Scholar] [CrossRef] [PubMed]
- Liang, Y.; Kaczmarek, M.B.; Kasprzak, A.K.; Tang, J.; Shah, M.M.R.; Jin, P.; Klepacz-Smółka, A.; Cheng, J.J.; Ledakowicz, S.; Daroch, M. Thermosynechococcaceae as a source of thermostable C-phycocyanins: Properties and molecular insights. Algal Res. 2018, 35, 223–235. [Google Scholar] [CrossRef]
- Tabassum, R.; Bhatnagar, S.K.; Dhar, D.W. Enhanced pigment production in selected cyanobacteria through cultural manipulations. J. Indian. Bot. Soc. 2012, 91, 236–244. [Google Scholar]
- Jeevanantham, G.; Vinoth, M.; Hussain, J.M.; Muruganantham, P.; Ahamed, A.K. Biochemical characterization of five marine cyanobacteria species for their biotechnological applications. J. Pharmacogn. Phytochem. 2019, 8, 635–640. [Google Scholar]
- Sarmah, P.; Rout, J. Biochemical profile of five species of cyanobacteria isolated from polythene surface in domestic sewage water of Silchar town, Assam (India). Curr. Trends. Biotechnol. Pharm. 2018, 12, 2230–2303. [Google Scholar]
- Singh, J.; Sarma, K.; Saini, A.; Kant, D.; Kant, R. Biomass and bio-molecule profiling of Oscillatoria subbrevis and O. sancta (Oscillatoriales, Cyanophyta). Preprints 2024, 2024020434. [Google Scholar] [CrossRef]
- Nayeem, J.; Dey, P.; Dey, S.K.; Debi, D.; Ayoun, M.A.; Khatoon, H. A comprehensive dataset on the extraction of pigments from Oscillatoria spp. Data Brief 2024, 52, 109972. [Google Scholar] [CrossRef]
- Takaichi, S.; Maoka, T.; Masamoto, K. Myxoxanthophyll in Synechocystis sp. PCC 6803 is myxol 2′-dimethyl-fucoside, 3R,2′S-myxol-2′-2,4-di-O-methyl-L-fucoside, not rhamnoside. Plant Cell Physiol. 2001, 42, 756–762. [Google Scholar] [CrossRef]
- Foss, P.; Skulberg, O.M.; Kilaas, L.; Liaaen-Jensen, S. The carbohydrate moieties bound to the carotenoids myxol and oscillol and their chemosystematic applications. Phytochemistry 1986, 25, 1127–1132. [Google Scholar] [CrossRef]
- Aakermann, T.; Skulberg, O.M.; Liaaen-Jensen, S. A comparison of the carotenoids of strains of Oscillatoria and Spirulina cyanobacteria. Biochem. Syst. Ecol. 1992, 20, 761–769. [Google Scholar] [CrossRef]
- Graham, J.E.; Bryant, D.A. The biosynthetic pathway for myxol-2′ fucoside (myxoxanthophyll) in the cyanobacterium Synechococcus sp. strain PCC 7002. J. Bacteriol. 2009, 191, 3292–3300. [Google Scholar] [CrossRef] [PubMed]
- Nováková, M.; Fábryová, T.; Vokurková, D.; Dolečková, I.; Kopecký, J.; Hrouzek, P.; Tůmová, L.; Cheel, J. Separation of the Glycosylated Carotenoid Myxoxanthophyll from Synechocystis Salina by HPCCC and Evaluation of Its Antioxidant, Tyrosinase Inhibitory and Immune-Stimulating Properties. Separations 2020, 7, 73. [Google Scholar] [CrossRef]
- Srivastava, A.; Thapa, S.; Chakdar, H.; Babele, P.; Shukla, P. Cyanobacterial myxoxanthophylls: Biotechnological interventions and biological implications. Crit. Rev. Biotechnol. 2022, 44, 63–77. [Google Scholar] [CrossRef] [PubMed]
- Jufri, R.F. Microbial Isolation. J. La Lifesci. 2020, 1, 18–23. [Google Scholar] [CrossRef]
- Ergashev, A.E. Key to Protococcal Algae of Central Asia, 2nd ed.; Uzbekistan Academy of Science Publisher: Tashkent, Uzbekistan, 1979. [Google Scholar]
- Tsarenko, P.M. A Brief Guide to Chlorococcal Algae of the Ukrainian SSR.; Nauk: Kiev, Ukraine, 1990. [Google Scholar]
- Zinova, A.D. Key to Green, Brown and Red Algae of the Southern Seas of the USSR; Nauka: Moscow, Leningrad, USSR, 1967; 400p. [Google Scholar]
- The on-Line Database of Cyanobacterial Genera. Available online: http://www.cyanodb.cz/ (accessed on 1 October 2023).
- CyanoCyc. Cyanobacterial Pathway/Genome Databases. Available online: https://cyanocyc.org/ (accessed on 1 July 2024).
- Castiglioni, B.; Rizzi, E.; Frosini, A.; Sivonen, K.; Rajaniemi, P.; Rantala, A.; Mugnai, M.A.; Ventura, S.; Wilmotte, A.; Boutte, C. Development of a universal microarray based on the ligation detection reaction and 16S rRNA gene polymorphism to target diversity of cyanobacteria. Appl. Environ. Microbiol. 2004, 70, 7161–7172. [Google Scholar] [CrossRef]
- NCBI DNA Database. Available online: https://www.ncbi.nlm.nih.gov/nucleotide/ (accessed on 15 June 2024).
- Newman, L.; Duffus, A.L.J.; Lee, C. Using the free program MEGA to build phylogenetic trees from molecular data. Am Biol Teach. 2016, 78, 608–612. [Google Scholar] [CrossRef]
- Rajasekaran, C.; Ajeesh, C.M.; Balaji, S.; Shalini, M.; Ramamoorthy, S.I.V.A.; Ranjan, D.A.S.; Fulzele, D.P.; Kalaivani, T. Effect of Modified Zarrouk’s Medium on Growth of Different Spirulina Strains. J. Sci. Technol. 2013, 13, 67–75. [Google Scholar]
- Allen, M.M.; Stanier, R.Y. Growth and Division of Some Unicellular Blue-green Algae. J. Gen. Microbiol. 1968, 51, 199–202. [Google Scholar] [CrossRef]
- Zavřel, T.; Sinetova, M.; Buzova, D.; Literakova, P.; Červený, J. Characterization of a model cyanobacterium Synechocystis sp. PCC 6803 autotrophic growth in a flat-panel photobioreactor. Eng. Life Sci. 2015, 15, 122–132. [Google Scholar] [CrossRef]
- Giannuzzi, L. Cyanobacteria Growth Kinetics. In Algae; Wong, Y.K., Ed.; IntechOpen: London, UK, 2018. [Google Scholar] [CrossRef]
- Dadheech, P.K.; Abed, R.M.M.; Mahmoud, H.; Mohan, M.K.; Krienitz, L. Polyphasic characterization of cyanobacteria isolated from desert crusts, and the description of Desertifilum tharense gen. et sp. nov. (Oscillatoriales). Phycologia 2012, 51, 260–270. [Google Scholar] [CrossRef]
- Zavřel, T.; Chmelík, D.; Sinetova, M.A.; Červený, J. Spectrophotometric determination of phycobiliprotein content in cyanobacterium Synechocystis. J. Vis. Exp. 2018, 139, 58076. [Google Scholar] [CrossRef] [PubMed]
- Chakdar, H.; Saha, S.; Pabbi, S. Chromatographic and spectroscopic characterization of phycocyanin and its subunits purified from Anabaena variabilis CCC421. Appl. Biochem. Microbiol. 2014, 50, 62–68. [Google Scholar] [CrossRef]
- Bennett, A.; Bogorad, L. Complementary chromatic adaptation in filamentous blue-green algae. J. Cell Biol. 1973, 58, 419–435. [Google Scholar] [CrossRef]
- Johnson, E.M.; Kumar, K.; Das, D. Physicochemical parameters optimization, and purification of phycobiliproteins from the isolated Nostoc sp. Bioresour. Technol. 2014, 166, 541–547. [Google Scholar] [CrossRef]
- Rodrigues, D.B.; Menezes, C.R.; Mercadante, A.Z.; Jacob-Lopes, E.; Zepka, L.Q. Bioactive pigments from microalgae Phormidium autumnale. Food Res. Int. 2015, 77, 273–279. [Google Scholar] [CrossRef]
- Zavřel, T.; Sinetova, M.; Cervený, J. Measurement of chlorophyll a and carotenoids concentration in cyanobacteria. Bio-Protocol 2015, 5, e1467. [Google Scholar] [CrossRef]
- Britton, G. UV/visible spectroscopy. In Carotenoids: Spectroscopy; Britton, G., Liaaen-Jensen, S., Pfander, H., Eds.; Birkhäuser: Boston, MA, USA, 1995; pp. 13–62. [Google Scholar]
- De Rosso, V.V.; Mercadante, A.Z. Identification and quantification of carotenoids, by HPLC-PDA-MS/MS, from Amazonian fruits. J. Agric. Food Chem. 2007, 55, 5062–5072. [Google Scholar] [CrossRef]
- Rodrigues, D.B.; Flores, E.M.M.; Barin, J.S.; Mercadante, A.Z.; Jacob-Lopes, E.; Zepka, L.Q. From waste to natural pigments: Production of microalgal carotenoids in agroindustrial wastewater. Food Res. Int. 2014, 65, 144–148. [Google Scholar] [CrossRef]
- Van Breemen, R.B.; Dong, L.; Pajkovic, N.D. Atmospheric pressure chemical ionization tandem mass spectrometry of carotenoids. Int. J. Mass Spectrom. 2012, 312, 163–172. [Google Scholar] [CrossRef]
- Zepka, L.Q.; Mercadante, A.Z. Degradation compounds of carotenoids formed during heating of a simulated cashew apple juice. Food Chem. 2009, 117, 28–34. [Google Scholar] [CrossRef]
- Rutherford, A. Introducing ANOVA and ANCOVA: A GLM Approach, 1st ed.; Sage Publications: Thousand Oaks, CA, USA, 2001. [Google Scholar]
Disclaimer/Publisher’s Note: The statements, opinions and data contained in all publications are solely those of the individual author(s) and contributor(s) and not of MDPI and/or the editor(s). MDPI and/or the editor(s) disclaim responsibility for any injury to people or property resulting from any ideas, methods, instructions or products referred to in the content. |
© 2024 by the authors. Licensee MDPI, Basel, Switzerland. This article is an open access article distributed under the terms and conditions of the Creative Commons Attribution (CC BY) license (https://creativecommons.org/licenses/by/4.0/).




