Phenotypic, Physiological, and Gene Expression Analysis for Nitrogen and Phosphorus Use Efficienies in Three Popular Genotypes of Rice (Oryza sativa Indica)
Abstract
1. Introduction
2. Results
2.1. Unique and Common N/P-Responsive Parameters
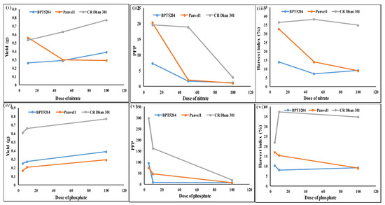
2.2. Yield-Associated N/P-Responsive Parameters
2.3. Partial Factor Productivity (PFP)-Associated Parameters for N/P
2.4. Harvest Index-Associated Parameters for N/P
2.5. N/P Dose-Response on All Measured Parameters
2.6. Genotype-Dependent Variation in N-Response and NUE
2.7. Genotype-Dependent Variation in P-Response and PUE
2.8. Differential Effect of Nitrate and Phosphate on Measured Parameters
2.9. Correlation Matrix of Measured Parameters for N/P
2.10. Segregation of Different Categories of Parameters for N/P
2.11. Segregation of Contrasting Genotypes for All N/P Dose Responsive Parameters by PLS-DA
2.12. Ranking of Parameters by Feature Selection Analyses
2.13. Effect of N Doses on Common N/P Nutrient-Use Efficiency Parameters
2.14. Effect of P Doses on Common N/P Nutrient-Use Efficiency Parameters
2.15. Effect of N/P Doses on Yield, Partial Factor Productivity, and Harvest Index
2.16. Validation of Shortlisted NUE/PUE Candidate Genes Using RT-PCR
3. Discussion
3.1. Morpho-Physiological Characterization of NUE and PUE
3.2. Candidate Genes for NUE and PUE
4. Materials and Methods
4.1. Plant Material and Growth Conditions
4.2. Greenhouse Growth Conditions
4.3. Vegetative Growth Measurements
4.4. Physiological Measurements
4.5. Reproductive and Yield-Related Measurements
4.6. RNA Isolation and qRT-PCR Analysis
4.7. Statistical Analyses
Supplementary Materials
Author Contributions
Funding
Data Availability Statement
Acknowledgments
Conflicts of Interest
References
- Takehisa, H.; Sato, Y. Transcriptome-based approaches for clarification of nutritional responses and improvement of crop production. Breed. Sci. 2021, 71, 76–88. [Google Scholar] [CrossRef] [PubMed]
- Raghuram, N.; Sharma, N. Improving crop nitrogen use efficiency. In Comprehensive Biotechnology; Moo-Young, M., Ed.; Elsevier: Pergamon, Turkey, 2019; Volume 4, pp. 211–220. [Google Scholar]
- Ladha, J.K. Improving Nitrogen Use Efficiency in Crop Production; Ladha, J.K., Ed.; Burleigh Dodds Science Publishing Limited: Cambridge, UK, 2024. [Google Scholar]
- Dobermann, A.; Fairhurst, T. Rice: Nutrient Disorders and Nutrient Management; International Rice Research Institute: Singapore, 2000; Volume 191. [Google Scholar]
- Sutton, M.; Raghuram, N.; Adhya, T.K.; Baron, J.; Cox, C.; De Vries, W.; Hicks, K.; Howard, C.; Ju, X.; Kanter, D. The nitrogen fix: From nitrogen cycle pollution to nitrogen circular economy. In Frontiers 2018/2019: Emerging Issues of Environmental Concern; United Nations Environment Programme: Nairobi, Kenya, 2019; pp. 52–64. [Google Scholar]
- Kanter, D.R.; Brownlie, W.J. Joint nitrogen and phosphorus management for sustainable development and climate goals. Environ. Sci. Policy 2019, 92, 1–8. [Google Scholar] [CrossRef]
- Richardson, K.; Steffen, W.; Lucht, W.; Bendtsen, J.; Cornell, S.E.; Donges, J.F.; Drüke, M.; Fetzer, I.; Bala, G.; Von Bloh, W. Earth beyond six of nine planetary boundaries. Sci. Adv. 2023, 9, eadh2458. [Google Scholar] [CrossRef] [PubMed]
- Shanker, A.K.; Sathee, L.; Jain, V.; Raghuram, N. Plant nutrient use efficiency in the era of climate change. Front. Plant Sci. 2024, 15, 1402868. [Google Scholar] [CrossRef] [PubMed]
- Jaiswal, D.K.; Raghuram, N. Molecular interventions for improving crop nitrogen use efficiency: Trends, opportunities and challenges in rice. In Improving Nitrogen Use Efficiency in Crop Production; Ladha, J.K., Ed.; Burleigh Dodds Science Publishing Limited: Cambridge, UK, 2024; pp. 67–112. [Google Scholar]
- Dissanayaka, D.; Plaxton, W.C.; Lambers, H.; Siebers, M.; Marambe, B.; Wasaki, J. Molecular mechanisms underpinning phosphorus-use efficiency in rice. Plant Cell Environ. 2018, 41, 1483–1496. [Google Scholar] [CrossRef] [PubMed]
- Zhang, Z.; Gao, S.; Chu, C. Improvement of nutrient use efficiency in rice: Current toolbox and future perspectives. Theor. Appl. Genet. 2020, 133, 1365–1384. [Google Scholar] [CrossRef] [PubMed]
- Liu, Q.; Wu, K.; Song, W.; Zhong, N.; Wu, Y.; Fu, X. Improving crop nitrogen use efficiency toward sustainable green revolution. Annu. Rev. Plant Biol. 2022, 73, 523–551. [Google Scholar] [CrossRef] [PubMed]
- Han, Y.; White, P.J.; Cheng, L. Mechanisms for improving phosphorus utilization efficiency in plants. Ann. Bot. 2022, 129, 247–258. [Google Scholar] [CrossRef] [PubMed]
- Hu, B.; Wang, W.; Chen, J.; Liu, Y.; Chu, C. Genetic improvement toward nitrogen-use efficiency in rice: Lessons and perspectives. Mol. Plant 2023, 16, 64–74. [Google Scholar] [CrossRef]
- Li, H.; Hu, B.; Chu, C. Nitrogen use efficiency in crops: Lessons from Arabidopsis and rice. J. Exp. Bot. 2017, 68, 2477–2488. [Google Scholar] [CrossRef]
- Madan, B.; Malik, A.; Raghuram, N. Crop nitrogen use efficiency for sustainable food security and climate change mitigation. In Plant Nutrition and Food Security in the Era of Climate Change; Kumar, V., Srivastava, K.A., Suprasanna, P., Eds.; Academic Press: Cambridge, MA, USA, 2022; pp. 47–72. [Google Scholar]
- Noor, M.A. Nitrogen management and regulation for optimum NUE in maize—A mini review. Cogent Food Agric. 2017, 3, 1348214. [Google Scholar] [CrossRef]
- Salim, N.; Raza, A. Nutrient use efficiency (NUE) for sustainable wheat production: A review. J. Plant Nutr. 2020, 43, 297–315. [Google Scholar] [CrossRef]
- Javed, T.; I, I.; Singhal, R.K.; Shabbir, R.; Shah, A.N.; Kumar, P.; Jinger, D.; Dharmappa, P.M.; Shad, M.A.; Saha, D. Recent advances in agronomic and physio-molecular approaches for improving nitrogen use efficiency in crop plants. Front. Plant Sci. 2022, 13, 877544. [Google Scholar] [CrossRef] [PubMed]
- Heuer, S.; Gaxiola, R.; Schilling, R.; Herrera-Estrella, L.; López-Arredondo, D.; Wissuwa, M.; Delhaize, E.; Rouached, H. Improving phosphorus use efficiency: A complex trait with emerging opportunities. Plant J. 2017, 90, 868–885. [Google Scholar] [CrossRef] [PubMed]
- Lambers, H. Phosphorus acquisition and utilization in plants. Annu. Rev. Plant Biol. 2022, 73, 17–42. [Google Scholar] [CrossRef]
- Sharma, N.; Madan, B.; Khan, M.S.; Sandhu, K.S.; Raghuram, N. Weighted gene co-expression network analysis of nitrogen (N)-responsive genes and the putative role of G-quadruplexes in N use efficiency (NUE) in rice. Front. Plant Sci. 2023, 14, 1135675. [Google Scholar] [CrossRef] [PubMed]
- Sharma, N.; Sinha, V.B.; Gupta, N.; Rajpal, S.; Kuchi, S.; Sitaramam, V.; Parsad, R.; Raghuram, N. Phenotyping for nitrogen use efficiency: Rice genotypes differ in N-responsive germination, oxygen consumption, seed urease activities, root growth, crop duration, and yield at low N. Front. Plant Sci. 2018, 9, 1452. [Google Scholar] [CrossRef] [PubMed]
- Sharma, N.; Sinha, V.B.; Prem Kumar, N.A.; Subrahmanyam, D.; Neeraja, C.; Kuchi, S.; Jha, A.; Parsad, R.; Sitaramam, V.; Raghuram, N. Nitrogen use efficiency phenotype and associated genes: Roles of germination, flowering, root/shoot length and biomass. Front. Plant Sci. 2021, 11, 587464. [Google Scholar] [CrossRef] [PubMed]
- Sharma, N.; Kumari, S.; Jaiswal, D.K.; Raghuram, N. Comparative transcriptomic analyses of nitrate-response in rice genotypes with contrasting nitrogen use efficiency reveals common and genotype-specific processes, molecular targets and nitrogen use efficiency-candidates. Front. Plant Sci. 2022, 13, 881204. [Google Scholar] [CrossRef]
- Mandal, V.K.; Jangam, A.P.; Chakraborty, N.; Raghuram, N. Nitrate-responsive transcriptome analysis reveals additional genes/processes and associated traits viz. height, tillering, heading date, stomatal density and yield in japonica rice. Planta 2022, 255, 42. [Google Scholar] [CrossRef]
- Sharma, N.; Jaiswal, D.K.; Kumari, S.; Dash, G.K.; Panda, S.; Anandan, A.; Raghuram, N. Genome-wide urea response in rice genotypes contrasting for nitrogen use efficiency. Int. J. Mol. Sci. 2023, 24, 6080. [Google Scholar] [CrossRef] [PubMed]
- Kumari, S.; Sharma, N.; Raghuram, N. Meta-analysis of yield-related and N-responsive genes reveals chromosomal hotspots, key processes and candidate genes for nitrogen-use efficiency in rice. Front. Plant Sci. 2021, 12, 627955. [Google Scholar] [CrossRef] [PubMed]
- Lee, S. Recent advances on nitrogen use efficiency in rice. Agronomy 2021, 11, 753. [Google Scholar] [CrossRef]
- Chen, J.; Liu, X.; Liu, S.; Fan, X.; Zhao, L.; Song, M.; Fan, X.; Xu, G. Co-overexpression of OsNAR2. 1 and OsNRT2. 3a increased agronomic nitrogen use efficiency in transgenic rice plants. Front. Plant Sci. 2020, 11, 1245. [Google Scholar] [CrossRef] [PubMed]
- Chen, K.-E.; Chen, H.-Y.; Tseng, C.-S.; Tsay, Y.-F. Improving nitrogen use efficiency by manipulating nitrate remobilization in plants. Nat. Plants 2020, 6, 1126–1135. [Google Scholar] [CrossRef] [PubMed]
- Alfatih, A.; Wu, J.; Zhang, Z.-S.; Xia, J.-Q.; Jan, S.U.; Yu, L.-H.; Xiang, C.-B. Rice NIN-LIKE PROTEIN 1 rapidly responds to nitrogen deficiency and improves yield and nitrogen use efficiency. J. Exp. Bot. 2020, 71, 6032–6042. [Google Scholar] [CrossRef] [PubMed]
- Wu, J.; Zhang, Z.S.; Xia, J.Q.; Alfatih, A.; Song, Y.; Huang, Y.J.; Wan, G.Y.; Sun, L.Q.; Tang, H.; Liu, Y. Rice nin-like protein 4 plays a pivotal role in nitrogen use efficiency. Plant Biotechnol. J. 2021, 19, 448–461. [Google Scholar] [CrossRef]
- Yu, J.; Xuan, W.; Tian, Y.; Fan, L.; Sun, J.; Tang, W.; Chen, G.; Wang, B.; Liu, Y.; Wu, W. Enhanced OsNLP4-OsNiR cascade confers nitrogen use efficiency by promoting tiller number in rice. Plant Biotechnol. J. 2021, 19, 167–176. [Google Scholar] [CrossRef]
- Lee, S.; Marmagne, A.; Park, J.; Fabien, C.; Yim, Y.; Kim, S.j.; Kim, T.H.; Lim, P.O.; Masclaux-Daubresse, C.; Nam, H.G. Concurrent activation of OsAMT1; 2 and OsGOGAT1 in rice leads to enhanced nitrogen use efficiency under nitrogen limitation. Plant J. 2020, 103, 7–20. [Google Scholar] [CrossRef]
- Zhang, S.; Zhang, Y.; Li, K.; Yan, M.; Zhang, J.; Yu, M.; Tang, S.; Wang, L.; Qu, H.; Luo, L. Nitrogen mediates flowering time and nitrogen use efficiency via floral regulators in rice. Curr. Biol. 2021, 31, 671–683.e675. [Google Scholar] [CrossRef]
- Zhang, S.; Zhu, L.; Shen, C.; Ji, Z.; Zhang, H.; Zhang, T.; Li, Y.; Yu, J.; Yang, N.; He, Y. Natural allelic variation in a modulator of auxin homeostasis improves grain yield and nitrogen use efficiency in rice. Plant Cell 2021, 33, 566–580. [Google Scholar] [CrossRef] [PubMed]
- Yoon, D.-K.; Ishiyama, K.; Suganami, M.; Tazoe, Y.; Watanabe, M.; Imaruoka, S.; Ogura, M.; Ishida, H.; Suzuki, Y.; Obara, M. Transgenic rice overproducing Rubisco exhibits increased yields with improved nitrogen-use efficiency in an experimental paddy field. Nat. Food 2020, 1, 134–139. [Google Scholar] [CrossRef] [PubMed]
- Cong, W.-F.; Suriyagoda, L.D.; Lambers, H. Tightening the phosphorus cycle through phosphorus-efficient crop genotypes. Trends Plant Sci. 2020, 25, 967–975. [Google Scholar] [CrossRef] [PubMed]
- Lu, H.; Wang, F.; Wang, Y.; Lin, R.; Wang, Z.; Mao, C. Molecular mechanisms and genetic improvement of low-phosphorus tolerance in rice. Plant Cell Environ. 2023, 46, 1104–1119. [Google Scholar] [CrossRef] [PubMed]
- Hu, Z.; Huang, X.; Wang, X.; Xia, H.; Liu, X.; Sun, Y.; Sun, S.; Hu, Y.; Cao, Y. Overexpression of OsPHT1; 4 increases phosphorus utilization efficiency and improves the agronomic traits of rice cv. Wuyunjing 7. Agronomy 2022, 12, 1332. [Google Scholar] [CrossRef]
- Dai, C.; Dai, X.; Qu, H.; Men, Q.; Liu, J.; Yu, L.; Gu, M.; Xu, G. The rice phosphate transporter OsPHT1; 7 plays a dual role in phosphorus redistribution and anther development. Plant Physiol. 2022, 188, 2272–2288. [Google Scholar] [CrossRef]
- Wang, Y.; Chen, Y.F.; Wu, W.H. Potassium and phosphorus transport and signaling in plants. J. Integr. Plant Biol. 2021, 63, 34–52. [Google Scholar] [CrossRef] [PubMed]
- Tyagi, W.; Nongbri, E.N.; Rai, M. Harnessing tolerance to low phosphorus in rice: Recent progress and future perspectives. In Molecular Breeding for Rice Abiotic Stress Tolerance and Nutritional Quality; Hossain, M.A., Hassan, L., Ifterkharuddaula, K.M., Kumar, A., Henry, R., Eds.; John Wiley & Sons. Ltd.: Hoboken, NJ, USA, 2021; pp. 215–233. [Google Scholar]
- Navea, I.P.; Maung, P.P.; Yang, S.; Han, J.-H.; Jing, W.; Shin, N.-H.; Zhang, W.; Chin, J.H. A meta-QTL analysis highlights genomic hotspots associated with phosphorus use efficiency in rice (Oryza sativa L.). Front. Plant Sci. 2023, 14, 1226297. [Google Scholar] [CrossRef] [PubMed]
- Gautam, H.; Sehar, Z.; Rehman, M.T.; Hussain, A.; AlAjmi, M.F.; Khan, N.A. Nitric oxide enhances photosynthetic nitrogen and sulfur-use efficiency and activity of ascorbate-glutathione cycle to reduce high temperature stress-induced oxidative stress in rice (Oryza sativa L.) plants. Biomolecules 2021, 11, 305. [Google Scholar] [CrossRef]
- Manoj, C.; Muralidhara, B.; Basavaraj, P.; Gireesh, C.; Sundaram, R.; Senguttuvel, P.; Suneetha, K.; Rao, L.S.; Kemparaju, K.; Brajendra, P. Evaluation of rice genotypes for low phosphorus stress and identification of tolerant genotypes using stress tolerance indices. Indian J. Genet. 2023, 83, 24–31. [Google Scholar]
- Tantray, A.Y.; Hazzazi, Y.; Ahmad, A. Physiological, agronomical, and proteomic studies reveal crucial players in rice nitrogen use efficiency under low nitrogen supply. Int. J. Mol. Sci. 2022, 23, 6410. [Google Scholar] [CrossRef] [PubMed]
- Tantray, A.Y.; Ali, H.M.; Ahmad, A. Analysis of proteomic profile of contrasting phosphorus responsive rice cultivars grown under phosphorus deficiency. Agronomy 2020, 10, 1028. [Google Scholar] [CrossRef]
- DoVale, J.C.; Maia, C.; Fritsche-Neto, R.; Miranda, G.V.; Cavatte, P.C. Genetic responses of traits relationship to components of nitrogen and phosphorus use efficiency in maize. Acta Sci. Agron. 2013, 35, 31–38. [Google Scholar] [CrossRef]
- Balyan, H.S.; Gahlaut, V.; Kumar, A.; Jaiswal, V.; Dhariwal, R.; Tyagi, S.; Agarwal, P.; Kumari, S.; Gupta, P.K. Nitrogen and phosphorus use efficiencies in wheat: Physiology, phenotyping, genetics, and breeding. In Plant Breeding Reviews, 1st ed.; Janick, J., Ed.; Wiley-Blackwell: Hoboken, NJ, USA, 2016; Volume 40, pp. 167–234. [Google Scholar]
- Takehisa, H.; Sato, Y.; Antonio, B.; Nagamura, Y. Coexpression network analysis of macronutrient deficiency response genes in rice. Rice 2015, 8, 59. [Google Scholar] [CrossRef] [PubMed]
- Wang, F.; Wang, Y.; Ying, L.; Lu, H.; Liu, Y.; Liu, Y.; Xu, J.; Wu, Y.; Mo, X.; Wu, Z. Integrated transcriptomic analysis identifies coordinated responses to nitrogen and phosphate deficiency in rice. Front. Plant Sci. 2023, 14, 1164441. [Google Scholar] [CrossRef]
- Cai, J.; Chen, L.; Qu, H.; Lian, J.; Liu, W.; Hu, Y.; Xu, G. Alteration of nutrient allocation and transporter genes expression in rice under N, P, K, and Mg deficiencies. Acta Physiol. Plant 2012, 34, 939–946. [Google Scholar] [CrossRef]
- Sandhu, N.; Pruthi, G.; Prakash Raigar, O.; Singh, M.P.; Phagna, K.; Kumar, A.; Sethi, M.; Singh, J.; Ade, P.A.; Saini, D.K. Meta-QTL analysis in rice and cross-genome talk of the genomic regions controlling nitrogen use efficiency in cereal crops revealing phylogenetic relationship. Front. Genet. 2021, 12, 807210. [Google Scholar] [CrossRef]
- Kumar, N.; Mathpal, B.; Sharma, A.; Shukla, A.; Shankhdhar, D.; Shankhdhar, S. Physiological evaluation of nitrogen use efficiency and yield attributes in rice (Oryza sativa L.) genotypes under different nitrogen levels. Cereal Res. Commun. 2015, 43, 166–177. [Google Scholar] [CrossRef]
- Feng Yue, F.Y.; Zhai RongRong, Z.R.; Lin ZeChuan, L.Z.; Cao LiYong, C.L.; Wei XingHua, W.X.; Cheng ShiHua, C.S. Quantitative trait locus analysis for rice yield traits under two nitrogen levels. Rice Sci. 2015, 22, 108–115. [Google Scholar]
- Bashir, S.S.; Siddiqi, T.O.; Kumar, D.; Ahmad, A. Physio-biochemical, agronomical, and gene expression analysis reveals different responsive approach to low nitrogen in contrasting rice cultivars for nitrogen use efficiency. Mol. Biol. Rep. 2023, 50, 1575–1593. [Google Scholar] [CrossRef]
- Wissuwa, M.; Kondo, K.; Fukuda, T.; Mori, A.; Rose, M.T.; Pariasca-Tanaka, J.; Kretzschmar, T.; Haefele, S.M.; Rose, T.J. Unmasking novel loci for internal phosphorus utilization efficiency in rice germplasm through genome-wide association analysis. PLoS ONE 2015, 10, e0124215. [Google Scholar] [CrossRef] [PubMed]
- Adem, G.D.; Ueda, Y.; Hayes, P.E.; Wissuwa, M. Genetic and physiological traits for internal phosphorus utilization efficiency in rice. PLoS ONE 2020, 15, e0241842. [Google Scholar] [CrossRef] [PubMed]
- Irfan, M.; Aziz, T.; Maqsood, M.A.; Bilal, H.M.; Siddique, K.H.; Xu, M. Phosphorus (P) use efficiency in rice is linked to tissue-specific biomass and P allocation patterns. Sci. Rep. 2020, 10, 4278. [Google Scholar] [CrossRef] [PubMed]
- Fageria, N. Yield and yield components and phosphorus use efficiency of lowland rice genotypes. J. Plant Nutr. 2014, 37, 979–989. [Google Scholar] [CrossRef]
- Watanabe, M.; Walther, D.; Ueda, Y.; Kondo, K.; Ishikawa, S.; Tohge, T.; Burgos, A.; Brotman, Y.; Fernie, A.R.; Hoefgen, R. Metabolomic markers and physiological adaptations for high phosphate utilization efficiency in rice. Plant Cell Environ. 2020, 43, 2066–2079. [Google Scholar] [CrossRef] [PubMed]
- Kumar, S.; Pallavi; Chugh, C.; Seem, K.; Kumar, S.; Vinod, K.; Mohapatra, T. Characterization of contrasting rice (Oryza sativa L.) genotypes reveals the Pi-efficient schema for phosphate starvation tolerance. BMC Plant Biol. 2021, 21, 282. [Google Scholar] [CrossRef]
- Van de Wiel, C.C.; Van der Linden, C.G.; Scholten, O.E. Improving phosphorus use efficiency in agriculture: Opportunities for breeding. Euphytica 2016, 207, 1–22. [Google Scholar] [CrossRef]
- Swamy, H.M.; Anila, M.; Kale, R.R.; Bhadana, V.; Anantha, M.; Brajendra, P.; Hajira, S.; Balachiranjeevi, C.; Prasanna, B.L.; Pranathi, K. Phenotypic and molecular characterization of rice germplasm lines and identification of novel source for low soil phosphorus tolerance in rice. Euphytica 2019, 215, 118. [Google Scholar] [CrossRef]
- Kale, R.R.; Anila, M.; Mahadeva Swamy, H.; Bhadana, V.; Durga Rani, C.V.; Senguttuvel, P.; Subrahmanyam, D.; Hajira, S.; Rekha, G.; Ayyappadass, M. Morphological and molecular screening of rice germplasm lines for low soil P tolerance. J. Plant Biochem. Biot. 2021, 30, 275–286. [Google Scholar] [CrossRef]
- Fageria, N.; Moraes, O.; Vasconcelos, M. Upland rice genotypes evaluation for phosphorus use efficiency. J. Plant Nutr. 2013, 36, 1868–1880. [Google Scholar] [CrossRef]
- Vijayalakshmi, P.; Vishnukiran, T.; Kumari, B.R.; Srikanth, B.; Rao, I.S.; Swamy, K.; Surekha, K.; Sailaja, N.; Subbarao, L.; Rao, P.R. Biochemical and physiological characterization for nitrogen use efficiency in aromatic rice genotypes. Field Crops Res. 2015, 179, 132–143. [Google Scholar] [CrossRef]
- Rao, I.S.; Neeraja, C.; Srikanth, B.; Subrahmanyam, D.; Swamy, K.; Rajesh, K.; Vijayalakshmi, P.; Kiran, T.V.; Sailaja, N.; Revathi, P. Identification of rice landraces with promising yield and the associated genomic regions under low nitrogen. Sci. Rep. 2018, 8, 9200. [Google Scholar] [CrossRef] [PubMed]
- Srikanth, B.; Subrahmanyam, D.; Sanjeeva Rao, D.; Narender Reddy, S.; Supriya, K.; Raghuveer Rao, P.; Surekha, K.; Sundaram, R.M.; Neeraja, C.N. Promising physiological traits associated with nitrogen use efficiency in rice under reduced N application. Front. Plant Sci. 2023, 14, 1268739. [Google Scholar] [CrossRef] [PubMed]
- Wang, K.; Cui, K.; Liu, G.; Xie, W.; Yu, H.; Pan, J.; Huang, J.; Nie, L.; Shah, F.; Peng, S. Identification of quantitative trait loci for phosphorus use efficiency traits in rice using a high density SNP map. BMC Genet. 2014, 15, 155. [Google Scholar] [CrossRef]
- Liu, Y.; Wang, H.; Jiang, Z.; Wang, W.; Xu, R.; Wang, Q.; Zhang, Z.; Li, A.; Liang, Y.; Ou, S. Genomic basis of geographical adaptation to soil nitrogen in rice. Nature 2021, 590, 600–605. [Google Scholar] [CrossRef] [PubMed]
- Li, Q.; Lu, X.; Wang, C.; Shen, L.; Dai, L.; He, J.; Yang, L.; Li, P.; Hong, Y.; Zhang, Q. Genome-wide association study and transcriptome analysis reveal new QTL and candidate genes for nitrogen-deficiency tolerance in rice. Crop J. 2022, 10, 942–951. [Google Scholar] [CrossRef]
- Yan, M.; Feng, F.; Xu, X.; Fan, P.; Lou, Q.; Chen, L.; Zhang, A.; Luo, L.; Mei, H. Genome-wide association study identifies a gene conferring high physiological phosphorus use efficiency in rice. Front. Plant Sci. 2023, 14, 1153967. [Google Scholar] [CrossRef]
- Sato, Y.; Antonio, B.A.; Namiki, N.; Takehisa, H.; Minami, H.; Kamatsuki, K.; Sugimoto, K.; Shimizu, Y.; Hirochika, H.; Nagamura, Y. RiceXPro: A platform for monitoring gene expression in japonica rice grown under natural field conditions. Nucleic Acids Res. 2010, 39, D1141–D1148. [Google Scholar] [CrossRef]
- Che, J.; Yamaji, N.; Shen, R.F.; Ma, J.F. An Al-inducible expansin gene, Os EXPA 10 is involved in root cell elongation of rice. Plant J. 2016, 88, 132–142. [Google Scholar] [CrossRef]
- Kurata, N.; Yamazaki, Y. Oryzabase. An integrated biological and genome information database for rice. Plant Physiol. 2006, 140, 12–17. [Google Scholar] [CrossRef]
- Pathak, R.R.; Mandal, V.K.; Jangam, A.P.; Sharma, N.; Madan, B.; Jaiswal, D.K.; Raghuram, N. Heterotrimeric G-protein α subunit (RGA1) regulates tiller development, yield, cell wall, nitrogen response and biotic stress in rice. Sci. Rep. 2021, 11, 2323. [Google Scholar] [CrossRef] [PubMed]
- Li, P.; Chen, Y.-H.; Lu, J.; Zhang, C.-Q.; Liu, Q.-Q.; Li, Q.-F. Genes and their molecular functions determining seed structure, components, and quality of rice. Rice 2022, 15, 18. [Google Scholar] [CrossRef] [PubMed]
- Yamaji, N.; Takemoto, Y.; Miyaji, T.; Mitani-Ueno, N.; Yoshida, K.T.; Ma, J.F. Reducing phosphorus accumulation in rice grains with an impaired transporter in the node. Nature 2017, 541, 92–95. [Google Scholar] [CrossRef] [PubMed]
- Hoagland, D.R.; Arnon, D.I. The Water-Culture Method for Growing Plants without Soil; California Agricultural Experiment Station: Berkeley, CA, USA, 1950. [Google Scholar]
- Sharma, N.; Kuchi, S.; Singh, V.; Raghuram, N. Method for preparation of nutrient-depleted soil for determination of plant nutrient requirements. Commun. Soil Sci. Plan. 2019, 50, 1878–1886. [Google Scholar] [CrossRef]
- Peng, S.; Laza, R.; Khush, G.; Sanico, A.; Visperas, R.; Garcia, F. Transpiration efficiencies of indica and improved tropical japonica rice grown under irrigated conditions. Euphytica 1998, 103, 103–108. [Google Scholar] [CrossRef]
- Hatfield, J.L.; Dold, C. Water-use efficiency: Advances and challenges in a changing climate. Front. Plant Sci. 2019, 10, 429990. [Google Scholar] [CrossRef]
- Saito, H.; Fukuta, Y.; Obara, M.; Tomita, A.; Ishimaru, T.; Sasaki, K.; Fujita, D.; Kobayashi, N. Two novel QTLs for the harvest index that contribute to high-yield production in rice (Oryza sativa L.). Rice 2021, 14, 18. [Google Scholar] [CrossRef]
- Donald, C.; Hamblin, J. The biological yield and harvest index of cereals as agronomic and plant breeding criteria. Adv. Agron. 1976, 28, 361–405. [Google Scholar]
- Arvidsson, S.; Kwasniewski, M.; Riaño-Pachón, D.M.; Mueller-Roeber, B. QuantPrime—A flexible tool for reliable high-throughput primer design for quantitative PCR. BMC Bioinformatics 2008, 9, 465. [Google Scholar] [CrossRef]
- Livak, K.J.; Schmittgen, T.D. Analysis of relative gene expression data using real-time quantitative PCR and the 2−ΔΔCT method. Methods 2001, 25, 402–408. [Google Scholar] [CrossRef]
- Xia, J.; Psychogios, N.; Young, N.; Wishart, D.S. MetaboAnalyst: A web server for metabolomic data analysis and interpretation. Nucleic Acids Res. 2009, 37, W652–W660. [Google Scholar] [CrossRef] [PubMed]













| N-Responsive Parameters | N-Responsive, Yield Correlated Parameters | N-Responsive PFP Correlated Parameters | N-Responsive Harvest Index Correlated Parameters | NUE Parameters |
|---|---|---|---|---|
| Shoot length at vegetative stage (VV1) | Shoot length at vegetative stage (VV1) | Shoot length at vegetative stage (VV1) | Shoot length at vegetative stage (VV1) | Shoot length at vegetative stage (VV1) |
| Shoot length at reproductive stage (VR1) | Shoot length at reproductive stage (VR1) | Shoot length at reproductive stage (VR1) | Shoot length at reproductive stage (VR1) | Shoot length at reproductive stage (VR1) |
| Chlorophyll content of vegetative stage leaf (VV2) | Chlorophyll content of reproductive stage leaf (VR3) | Chlorophyll content of reproductive stage leaf (VR3) | Chlorophyll content of reproductive stage leaf (VR3) | Chlorophyll content of reproductive stage leaf (VR3) |
| Chlorophyll content of reproductive stage leaf (VR3) | Leaf width of flag leaf (VR4) | Leaf width of flag leaf (VR4) | Leaf width of flag leaf (VR4) | Leaf width of flag leaf (VR4) |
| Leaf width of vegetative stage leaf (VV3) | Culm thickness (VV4) | Culm thickness (VV4) | Culm thickness (VV4) | Culm thickness (VV4) |
| Leaf width of reproductive stage leaf (VR5) | Number of yellow leaves at maturity (VV6) | Number of yellow leaves at maturity (VV6) | Total number of leaves at maturity (VV7) | Number of yellow leaves at maturity (VV6) |
| Leaf width of flag leaf (VR4) | Total number of leaves at maturity (VV7) | Total number of leaves at maturity (VV7) | Root length (VV12) | Total number of leaves at maturity (VV7) |
| Culm thickness (VV4) | Root length (VV12) | Root length (VV12) | Root dry biomass (VV11) | Root length (VV12) |
| Number of green leaves at maturity (VV5) | Root dry biomass (VV11) | Shoot dry biomass (VV9) | Shoot dry biomass (VV9) | Shoot dry biomass (VV9) |
| Number of yellow leaves at maturity (VV6) | Shoot dry biomass (VV9) | Root-shoot ratio (VV13) | Root-shoot ratio (VV13) | Root-shoot ratio (VV13) |
| Total number of leaves at maturity (VV7) | Root-shoot ratio (VV13) | Straw weight (VV10) | Straw weight (VV10) | Straw weight (VV10) |
| Root length (VV12) | Straw weight (VV10) | Number of tillers (VV8) | Number of tillers (VV8) | Number of tillers (VV8) |
| Root dry biomass (VV11) | Number of tillers (VV8) | Photosynthetic rate of reproductive stage leaf (PR2) | Photosynthetic rate of reproductive stage leaf (PR2) | Photosynthetic rate of reproductive stage leaf (PR2) |
| Shoot dry biomass (VV9) | Photosynthetic rate of reproductive stage leaf (PR2) | Transpiration rate of flag leaf (PR5) | Transpiration rate of flag leaf (PR5) | Transpiration rate of flag leaf (PR5) |
| Root-shoot ratio (VV13) | Transpiration rate of flag leaf (PR5) | Transpiration efficiency of flag leaf (PR7) | Transpiration efficiency of flag leaf (PR7) | Transpiration efficiency of flag leaf (PR7) |
| Straw weight (VV10) | Transpiration efficiency of flag leaf (PR7) | Number of panicles (R1) | Number of panicles (R1) | Number of panicles (R1) |
| Number of tillers (VV8) | Number of panicles (R1) | 50% flowering time (R2) | 50% flowering time (R2) | 50% flowering time (R2) |
| Photosynthetic rate of reproductive stage leaf (PR2) | 50% flowering time (R2) | Number of unfilled seeds (R5) | Weight of unfilled seeds (R7) | Number of unfilled seeds (R5) |
| Transpiration rate of flag leaf (PR5) | Number of unfilled seeds (R5) | Weight of unfilled seeds (R7) | Partial factor productivity (R12) | Weight of unfilled seeds (R7) |
| Transpiration efficiency of flag leaf (PR7) | Weight of unfilled seeds (R7) | Harvest index (R13) | Harvest index (R13) | |
| Number of panicles (R1) | Partial factor productivity (R12) | |||
| 50% flowering time (R2) | Harvest index (R13) | |||
| Number of unfilled seeds (R5) | ||||
| Weight of unfilled seeds (R7) | ||||
| Partial factor productivity (R12) | ||||
| Harvest index (R13) |
| P-Responsive Parameters | P-Responsive Yield Related Parameters | P-Responsive PFP Related Parameters | P-Responsive Harvest Index Correlated Parameters | PUE Parameters |
|---|---|---|---|---|
| Shoot length at vegetative Stage (VV1) | Shoot length at reproductive stage (VR1) | Shoot length at reproductive stage (VR1) | Shoot length at vegetative Stage (VV1) | Shoot length at reproductive stage (VR1) |
| Shoot length at reproductive stage (VR1) | Leaf width of reproductive stage leaf (VR5) | Leaf width of reproductive stage leaf (VR5) | Shoot length at reproductive stage (VR1) | Leaf width of reproductive stage leaf (VR5) |
| Chlorophyll content of flag leaf (VR2) | Leaf width of flag leaf (VR4) | Leaf width of flag leaf (VR4) | Chlorophyll content of flag leaf (VR2) | Leaf width of flag leaf (VR4) |
| Leaf width of vegetative stage leaf (VV3) | Culm thickness (VV4) | Culm thickness (VV4) | Leaf width of flag leaf (VR4) | Culm thickness (VV4) |
| Leaf width of reproductive stage leaf (VR5) | Root-shoot ratio (VV13) | Root-shoot ratio (VV13) | Culm thickness (VV4) | Root-shoot ratio (VV13) |
| Leaf width of flag leaf (VR4) | Number of tillers (VV8) | Number of tillers (VV8) | Shoot dry biomass (VV9) | Number of tillers (VV8) |
| Culm thickness (VV4) | Photosynthetic rate of vegetative stage leaf (PV1) | Photosynthetic rate of vegetative stage leaf (PV1) | Root-shoot ratio (VV13) | Photosynthetic rate of vegetative stage leaf (PV1) |
| Number of green leaves at maturity (VV5) | Photosynthetic rate of reproductive stage leaf (PR2) | Photosynthetic rate of reproductive stage leaf (PR2) | Straw weight (VV10) | Photosynthetic rate of reproductive stage leaf (PR2) |
| Number of yellow leaves at maturity (VV6) | Stomatal conductance of vegetative stage leaf (PV2) | Stomatal conductance of vegetative stage leaf (PV2) | Number of tillers (VV8) | Stomatal conductance of vegetative stage leaf (PV2) |
| Total number of leaves at maturity (VV7) | Transpiration rate of vegetative stage leaf (PV3) | Stomatal conductance of reproductive stage leaf (PR4) | Photosynthetic rate of vegetative stage leaf (PV1) | Transpiration rate of vegetative stage leaf (PV3) |
| Root length (VV12) | Internal water use efficiency of reproductive stage leaf (PR10) | Transpiration rate of vegetative stage leaf (PV3) | Photosynthetic rate of reproductive stage leaf (PR2) | Number of panicles (R1) |
| Root dry biomass (VV11) | Number of panicles (R1) | Number of panicles (R1) | Stomatal conductance of vegetative stage leaf (PV2) | Weight of filled seeds (R6) |
| Shoot dry biomass (VV9) | Number of filled seeds (R4) | Weight of filled seeds (R6) | Stomatal conductance of flag leaf (PR3) | Weight of spikelets |
| Root-shoot ratio (VV13) | Weight of filled seeds (R6) | Weight of spikelets (R9) | Stomatal conductance of reproductive stage leaf (PR4) | Total panicle weight (R10) |
| Straw weight (VV10) | Weight of spikelets (R9) | Total panicle weight (R10) | Transpiration rate of vegetative stage leaf (PV3) | Harvest index (R13) |
| Number of tillers (VV8) | Total panicle weight (R10) | Harvest index (R13) | Number of panicles (R1) | |
| Photosynthetic rate of vegetative stage leaf (PV1) | Partial factor productivity (R12) | 50% flowering time (R2) | ||
| Photosynthetic rate of reproductive stage leaf (PR2) | Harvest index (R13) | Weight of filled seeds (R6) | ||
| Stomatal conductance of vegetative stage leaf (PV2) | Weight of spikelets (R9) | |||
| Stomatal conductance of flag leaf (PR3) | Total panicle weight (R10) | |||
| Stomatal conductance of reproductive stage leaf (PR4) | Partial factor productivity (R12) | |||
| Transpiration rate of vegetative stage leaf (PV3) | Harvest index (R13) | |||
| Internal water use efficiency of reproductive stage leaf (PR10) | ||||
| Number of panicles (R1) | ||||
| 50% flowering time (R2) | ||||
| Number of filled seeds (R4) | ||||
| Weight of filled seeds (R6) | ||||
| Weight of spikelets (R9) | ||||
| Total panicle weight (R10) | ||||
| Partial factor productivity (R12) | ||||
| Harvest index (R13) |
Disclaimer/Publisher’s Note: The statements, opinions and data contained in all publications are solely those of the individual author(s) and contributor(s) and not of MDPI and/or the editor(s). MDPI and/or the editor(s) disclaim responsibility for any injury to people or property resulting from any ideas, methods, instructions or products referred to in the content. |
© 2024 by the authors. Licensee MDPI, Basel, Switzerland. This article is an open access article distributed under the terms and conditions of the Creative Commons Attribution (CC BY) license (https://creativecommons.org/licenses/by/4.0/).
Share and Cite
Madan, B.; Raghuram, N. Phenotypic, Physiological, and Gene Expression Analysis for Nitrogen and Phosphorus Use Efficienies in Three Popular Genotypes of Rice (Oryza sativa Indica). Plants 2024, 13, 2567. https://doi.org/10.3390/plants13182567
Madan B, Raghuram N. Phenotypic, Physiological, and Gene Expression Analysis for Nitrogen and Phosphorus Use Efficienies in Three Popular Genotypes of Rice (Oryza sativa Indica). Plants. 2024; 13(18):2567. https://doi.org/10.3390/plants13182567
Chicago/Turabian StyleMadan, Bhumika, and Nandula Raghuram. 2024. "Phenotypic, Physiological, and Gene Expression Analysis for Nitrogen and Phosphorus Use Efficienies in Three Popular Genotypes of Rice (Oryza sativa Indica)" Plants 13, no. 18: 2567. https://doi.org/10.3390/plants13182567
APA StyleMadan, B., & Raghuram, N. (2024). Phenotypic, Physiological, and Gene Expression Analysis for Nitrogen and Phosphorus Use Efficienies in Three Popular Genotypes of Rice (Oryza sativa Indica). Plants, 13(18), 2567. https://doi.org/10.3390/plants13182567

