Induction and Suspension Culture of Panax japonicus Callus Tissue for the Production of Secondary Metabolic Active Substances
Abstract
1. Introduction
2. Results
2.1. Healing Callus Induction in Panax japonicus Roots
2.1.1. Disinfection Method of Panax japonicus Root
2.1.2. Screening of Induction Scheme for Root Callus of Panax japonicus
2.2. Proliferation Culture of Root Callus of Panax japonicus and Screening of High-Yield Cell Lines
2.2.1. Effects of NAA and 6-BA on Callus Proliferation of Panax japonicus
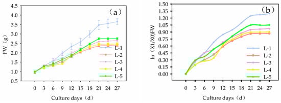
2.2.2. Screening of High-Yielding Cell Lines of Panax japonicus
2.2.3. Effect of Curing Agents on the Proliferation of Panax japonicus Callus Tissues
2.3. Establishment of Suspension Culture System of Panax japonicus
2.3.1. Effect of Carbon Source on Cell Suspension Culture
2.3.2. Effect of Initial Inoculum Size on Suspension Culture
2.3.3. Effect of Shaking Speed on Suspension Culture
2.3.4. Effect of Plant Growth Regulators on Suspension Culture of Callus Tissues
2.3.5. Effect of Culture Days on Suspension Culture
2.4. Effects of Suspension Culture Conditions on the Content of Total Saponins in Cells of Panax japonicus
2.4.1. The Effect of Carbon Source on the Content of Triterpenoid Glycosides in Cells
2.4.2. Effect of Initial Inoculation on Total Saponins Content
2.4.3. Effect of Shaking Speed on the Content of Triterpenoid Glycosides
2.4.4. Effects of Plant Growth Regulators on the Content of Triterpenoid Glycosides
2.4.5. The Effect of Culture Time on the Content of Triterpenoid Glycosides
3. Discussion
3.1. Callus Induction of Aseptic Roots of Panax japonicus
3.2. Callus Culture and High-Yield Cell Line Screening of Panax japonicus
3.3. Panax japonicus Cell Suspension Culture System
4. Materials and Methods
4.1. Materials
4.2. Methods
4.2.1. Callus Induction of Panax japonicus
Methods of Root Disinfection
Callus Induction Culture
Computing Formula
4.2.2. Proliferation Culture of Root Callus of Panax japonicus and Screening of High-Yield Cell Lines
Proliferation Culture of Loose Callus Tissue
Culture Cycle of Callus
Screening of High-Yield Cell Lines
Screening of Curing Agent
Computing Formula
4.3. Establishment of Cell Suspension Culture System of Panax japonicus
4.3.1. Screening of Suspension Culture Conditions
4.3.2. Carbon Source Screening
4.3.3. Screening of Initial Inoculation Amount
4.3.4. Cell Rotation Speed Screening
4.3.5. Hormone Concentration Screening
4.3.6. Screening of Incubation Time
4.3.7. Methods for Determination of Cell Growth Index
Determination of Cell Viability and Density
Determination of Settled Cell Volume
Determination of Biomass
4.3.8. Data Analysis Methods
4.4. Detection of Total Saponins Content in Suspension-Cultured Cells
5. Conclusions
Supplementary Materials
Author Contributions
Funding
Data Availability Statement
Acknowledgments
Conflicts of Interest
References
- Liu, J.B.; Zhang, X.Z.; Yang, S.S.; Wang, S.; Liu, C.C.; Yang, B.; Li, Y.B.; Cai, T. Rapid identification of characteristic chemical constituents of Panax ginseng, Panax quinquefolius, and Panax japonicus using UPLC-Q-TOF/MS. J. Anal. Methods Chem. 2022, 2022, 6463770. [Google Scholar]
- Xu, L.L.; Hua, F.; Li, C.H.; Liu, X.P. Chikusetsutotalsaponins Iva induces apoptosis and inhibits proliferation in endometrial cancer via promoting reactive oxygen species (ROS) production. Eur. J. Gynaecol. Oncol. 2023, 44, 164–169. [Google Scholar]
- Shu, G.W.; Jiang, S.Q.; Mu, J.; Yu, H.F.; Duan, H.; Deng, X.K. Antitumor immunostimulatory activity of polysaccharides from Panax japonicus C. A. Mey: Roles of their effects on CD4+T cells and tumor associated macrophages. Int. J. Biol. Macromol. 2018, 111, 430–439. [Google Scholar] [CrossRef] [PubMed]
- Yang, Y.Y.; Deng, Q.H.; Cao, G.X.; Zhen, X.H.; Deng, J.H. Research progress on the hypoglycemic and mechanism of rhizoma of Panax japonicus. Guangdong Chem. Ind. 2023, 50, 79–81. [Google Scholar]
- Fan, C.; Wang, J.X.; Xiong, Z.E.; Hu, S.S.; Zhou, A.J.; Yuan, D.; Zhang, C.C.; Zhou, Z.Y.; Wang, T. Total saponins from Panax japonicus improve neuronal mitochondrial injury of aging rats. Pharm. Biol. 2023, 61, 1401–1412. [Google Scholar] [CrossRef] [PubMed]
- Wang, J.; He, L.Y.; Wang, S.Y.; Zhao, H.; Chen, J.; Dong, Y.; Yasen, S.; Wang, L.; Zou, H. Therapeutic effect of the total total saponins from Panax japonicus on experimental autoimmune encephalomyelitis by attenuating inflammation and regulating gut microbiota in mice. J. Ethnopharmacol. 2023, 315, 116681. [Google Scholar] [CrossRef]
- Fu, T.; Shen, Q.P.; Shen, Y.K.; Ma, Z.W.; Zhou, Y.F.; Yi, G.M.; Hu, Z.Y.; Wu, L.W.; Chen, J.S. The quality analysis of authenticity of Panax japonicus from different habitats. Mol. Plant Breed. 2022, 20, 7917–7922. [Google Scholar]
- Zhang, C.C.; Wang, S.; Wang, Y.F.; Wang, H.Y.; Qin, M.; Dai, X.Y.; Yan, B.B.; Guo, X.Z.; Zhou, L.; Lin, H.B.; et al. Application of tissue culture technology of medicinal plants in sustainable development of Chinese medicinal resources. China J. Chin. Mater. Med. 2023, 48, 1186–1193. [Google Scholar]
- Zhu, W.L.; Li, X.L.; Hu, Q.; Zhu, H.X. Tissue culture and plant regeneration of Panax japonicus. Plant Physiol. Commun. 1986, 6, 53. [Google Scholar]
- Fujioka, N.; Yue, P.H.; Wang, Y.C. Study on tissue culture of Panax japonicus (first report): Proliferation of adventitious embryos differentiated from flower buds and rhizomes. For. By-Product. Spec. China 1988, 4, 34–37. [Google Scholar]
- Liu, X.W. Preliminary report on tissue culture of Panax japonicus. J. Jiangxi Univ. Tradit. Chin. Med. 1993, 2, 4–5. [Google Scholar]
- Luo, Z.W.; Zhang, L.; Lv, C.P.; Zhang, X.Q.; Chen, J.W.; Sun, M. Culture in vitro and plant regeneration of Panax japonicus. J. Chin. Med. Mater. 2011, 34, 1818–1823. [Google Scholar]
- Zhang, D.; Bian, Z.Z.; Yang, G.S.; Zhang, M.P.; Sun, C.Y.; Wang, Y. Studies on establishment and characterization of suspension cells in Panax ginseng. Nor. Horticul 2012, 6, 99–102. [Google Scholar]
- Li, T.J.; Lian, M.L.; Yu, D.; Shao, C.-H.; Piao, X.C. Effects of several factors on cell growth and ginsenoside accumulation of Panax ginseng suspension culture. China J. Chin. Mater. Med. 2013, 38, 4047–4051. [Google Scholar]
- Glagoleva, E.S.; Konstantinova, S.V.; Kochkin, D.V.; Ossipov, V.; Titova, M.V.; Popova, E.V.; Nosov, A.M.; Paek, K.-Y. Predominance of oleanane-type ginsenoside R0 and malonyl esters of protopanaxadiol-type ginsenosides in the 20-year-old suspension cell culture of Panax japonicus C.A. Meyer. Ind. Crops Prod. 2022, 177, 114417. [Google Scholar] [CrossRef]
- Kochkin, D.V.; Kachala, V.V.; Shashkov, A.S.; Chizhov, A.O.; Chirva, V.Y.; Nosov, A.M. Malonyl-ginsenoside content of a cell-suspension culture of Panax japonicus var. repens. Phytochemistry 2013, 93, 18–26. [Google Scholar] [CrossRef]
- Zhang, Q.F.; Li, Q.J.; Ma, M.J.; Xiao, D.Q.; Zhao, J.; Yang, J.K. Common problems and countermeasures in plant tissue culture. Mod. Hortic. 2022, 45, 177–179. [Google Scholar]
- Eisa, E.A.; Tilly-Mándy, A.; Honfi, P.; Shala, A.Y.; Gururani, M.A. Chrysanthemum: A comprehensive review on recent developments on in vitro regeneration. Biology 2022, 11, 1774. [Google Scholar] [CrossRef]
- Wang, G.R. Common problems and countermeasures in plant tissue culture. J. Suzhou Univ. 2010, 25, 54–57. [Google Scholar]
- Lu, X.L.; Wu, H.Q.; Zhang, Q.; Sun, W.; Chen, X.; Wu, X.; Chen, Y.F. Induction of pollen embryo and chromosome doubling in tobacco (Nicotianatabacum L.). Turk. J. Bot. 2020, 44, 76–84. [Google Scholar] [CrossRef]
- Ahmed, A.; Rahman, M.; Tajuddin, E.T.; Athar, T.; Singh, M.; Garg, M.; Ahmad, S. Effect of nutrient medium, phytohormones and elicitation treatment on in-vitro callus culture of Bacopa monniera and expression of secondary metabolites. Nat. Prod. J. 2014, 4, 13–17. [Google Scholar] [CrossRef]
- Xu, D.F.; Liu, Y.J.; He, Y.Q.; Huang, J.X.; Wu, C.X.; Li, J.K. Induction of loose embryogenic callus of Lonicera maackii. For. Eng. 2022, 38, 27–33. [Google Scholar]
- Yi, Y.H.; Xu, D.F.; Dong, H.Y.; Liu, Y.J. Loose embryonic callus induction of Cucumis melo L. Seed 2023, 42, 144–150. [Google Scholar]
- He, F.M.; Guo, J.Y.; Shen, T.; Ma, G.X.; Yan, S.R.; Zhang, Y.F. Establishment of high-efficiency propagation system using sterile seedling leaves in Lycium ruthenicum Murr. Hubei Agric. Sci. 2021, 60, 135–140+146. [Google Scholar]
- Lv, Y.; Qiao, Y.C.; Chen, S.H.; Zhou, X.J.; Zhou, J.; Zhang, Y.P.; Zhen, P. Research on tissue culture technology for inducing young leaves of Anthurium. Mod. Hortic. 2024, 47, 54–55+63. [Google Scholar]
- Tang, J.W.; Qian, J.J.; Wang, N.; Chao, L.Q.; Hong, W.J.; Zhang, C.Y. Induction of rice callus and establishment of adventitious bud differentiation culture system. J. Anhui Sci. Technol. Univ. 2024, 38, 47–51. [Google Scholar]
- Jin, L.; Yuan, X.Y.; Zhang, W.; Qi, L. Research progress in tissue culture of Panax ginseng. Ginseng Res. 2023, 35, 49–51. [Google Scholar]
- Chen, Q.; Yu, Y.L.; Zhang, X.; Zhao, R.; Zhang, J.; Liu, D.Q.; Cui, X.M.; Ge, F. The transcription factor PjERF1 enhances the biosynthesis of triterpenoid total saponins in Panax japonicus. Plant Biotechnol. Rep. 2021, 15, 1–11. [Google Scholar] [CrossRef]
- Hang, C.K.; Li, P.F.; Yang, X.L.; Niu, T.F.; Zhao, S.J.; Yang, L.; Wang, R.F.; Wang, Z.T. Integrated transcriptome and proteome analyses reveal candidate genes for ginsenoside biosynthesis in Panax japonicus C. A. Meyer. Fron. Plant Sci. 2023, 13, 1106145. [Google Scholar] [CrossRef]
- Lai, C.C.; Fan, L.H.; Hang, X.G.; Xie, H. Callus induction in Brier Grape (Vitis davidii Foex) from immature embryos and screening of cell Lines with high-production of Oligomeric proanthocyanidins. Plant Physiol. J. 2014, 50, 1683–1691. [Google Scholar]
- Salaj, T.; Blehová, A.; Salaj, J. Embryogenic suspension cultures of Pinus nigra Arn: Growth parameters and maturation ability. Acta Physiol. Plant. 2007, 29, 225–231. [Google Scholar] [CrossRef]
- Pang, F.Z.; Wei, K.H.; Wang, S.; Qiu, L.; Liang, Y.; Wei, F.; Qin, S.S.; Qiang, B.B.; Miu, J.H. Research on rapid propagation of Panax quinquefolium callus and establishment of cell suspension culture system. Mod. Agric. Res. 2022, 28, 127–132. [Google Scholar]
- Al-Khayri, J.M. Determination of the date palm cell suspension growth curve, optimum plating efficiency, and influence of liquid medium on somatic embryogenesis. EJFA 2012, 24, 444–455. [Google Scholar]
- Beigmohamadi, M.; Movafeghi, A.; Sharafi, A.; Jafari, S.; Danafar, H. Cell suspension culture of Plumbago europaea L. towards production of Plumbagin. Iran. J. Biotechnol. 2019, 17, e2169. [Google Scholar] [CrossRef] [PubMed]
- Gupta, K.P.; Timmis, R. Mass propagation of conifer trees in liquid cultures–progress towards commercialization. Plant Cell, Tissue Organ. Cult. 2005, 81, 339–346. [Google Scholar] [CrossRef]
- Odnevall, A.; Björk, L. Differentiated tissue cultures of Panax ginseng and their response to various carbon sources. Biochem. Physiol. Der Planzen 1989, 185, 403–413. [Google Scholar] [CrossRef]
- Blanc, G. Differential carbohydrate metabolism conducts morphogenesis in embryogenic callus of Hevea brasiliensis (Mull. Arg.). J. Exp. Bot. 2002, 53, 1453–1462. [Google Scholar] [CrossRef]
















| Scheme | Medium | Proliferation Rate/% | State of the Callus |
|---|---|---|---|
| 1 | MS + 16.11 μmol·L−1 NAA + 0.44 μmol·L−1 6-BA + 30.0 g·L−1 sucrose + 3.8 g·L−1 gellan gum | 43.33 | Yellow and dense structure and not agglomerated (Figure S2a) |
| 2 | MS + 16.11 μmol·L−1 NAA +4.44 μmol·L−1 6-BA + 30.0 g·L−1 sucrose + 3.8 L−1 gellan gum | 126.55 | White and transparent; the structure is relatively dense (Figure S2b) |
| 3 | MS + 13.32 μmol·L−1 6-BA + 30.0 g·L−1 sucrose + 3.8 g·L−1 gellan gum | 57.53 | White and transparent; relatively loose structure (Figure S2c) |
| 4 | MS + 4.64 μmol·L−1 NAA + 13.32 μmol·L−1 6-BA + 30.0 g·L−1 sucrose + 3.8 g·L−1 gellan gum | 148.49 | White and transparent; loose structure (Figure S2d) |
Disclaimer/Publisher’s Note: The statements, opinions and data contained in all publications are solely those of the individual author(s) and contributor(s) and not of MDPI and/or the editor(s). MDPI and/or the editor(s) disclaim responsibility for any injury to people or property resulting from any ideas, methods, instructions or products referred to in the content. |
© 2024 by the authors. Licensee MDPI, Basel, Switzerland. This article is an open access article distributed under the terms and conditions of the Creative Commons Attribution (CC BY) license (https://creativecommons.org/licenses/by/4.0/).
Share and Cite
Lv, S.; Ding, F.; Zhang, S.; Nosov, A.M.; Kitashov, A.V.; Yang, L. Induction and Suspension Culture of Panax japonicus Callus Tissue for the Production of Secondary Metabolic Active Substances. Plants 2024, 13, 2480. https://doi.org/10.3390/plants13172480
Lv S, Ding F, Zhang S, Nosov AM, Kitashov AV, Yang L. Induction and Suspension Culture of Panax japonicus Callus Tissue for the Production of Secondary Metabolic Active Substances. Plants. 2024; 13(17):2480. https://doi.org/10.3390/plants13172480
Chicago/Turabian StyleLv, Siqin, Fan Ding, Shaopeng Zhang, Alexander M. Nosov, Andery V. Kitashov, and Ling Yang. 2024. "Induction and Suspension Culture of Panax japonicus Callus Tissue for the Production of Secondary Metabolic Active Substances" Plants 13, no. 17: 2480. https://doi.org/10.3390/plants13172480
APA StyleLv, S., Ding, F., Zhang, S., Nosov, A. M., Kitashov, A. V., & Yang, L. (2024). Induction and Suspension Culture of Panax japonicus Callus Tissue for the Production of Secondary Metabolic Active Substances. Plants, 13(17), 2480. https://doi.org/10.3390/plants13172480

