Genome-Wide Association Analysis Identifies Candidate Loci for Callus Induction in Rice (Oryza sativa L.)
Abstract
1. Introduction
2. Results
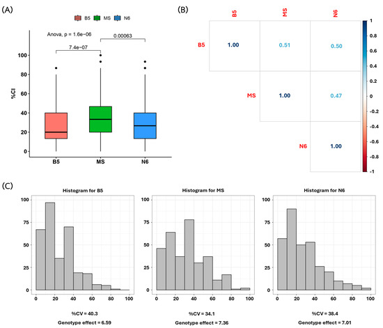
2.1. Seed Germination and the Formation of Scutellum-Derived Calli in the Rice Germplasm Collection
2.2. Genotype Data and Analysis of Population Structure, Relative Kinship, and Linkage Disequilibrium (LD)
2.3. Identification of QTLs Associated with Callus Induction Using GWAS
2.4. Haplotype Block Analysis and Candidate Gene Identification
3. Discussion
4. Materials and Methods
4.1. Association Mapping Panel Germination Test and Callus Induction Evaluation
4.2. Genome-Wide Association Analysis
4.3. Haplotype Block Analysis and Candidate Gene Identification
5. Conclusions
Supplementary Materials
Author Contributions
Funding
Data Availability Statement
Acknowledgments
Conflicts of Interest
References
- Fehér, A. Callus, Dedifferentiation, Totipotency, Somatic Embryogenesis: What These Terms Mean in the Era of Molecular Plant Biology? Front. Plant Sci. 2019, 10, 536. [Google Scholar] [CrossRef] [PubMed]
- Ikeuchi, M.; Sugimoto, K.; Iwase, A. Plant callus: Mechanisms of induction and repression. Plant Cell 2013, 25, 3159–3173. [Google Scholar] [CrossRef] [PubMed]
- Ozden, M. Secondary metabolite production in callus cultures of Vitis vinifera: Influence of genotype and sucrose concentration in the medium on antioxidant activity. Acta Physiol. Plant. 2024, 46, 6. [Google Scholar] [CrossRef]
- Bhanupriya, C.; Kar, S. Callus–mediated organogenesis and regeneration of Sorghum bicolor under the influence of natural and synthetic growth regulators. Vitr. Cell. Dev. Biol.-Plant 2024, 60, 355–364. [Google Scholar] [CrossRef]
- Mohidem, N.A.; Hashim, N.; Shamsudin, R.; Man, H.C. Rice for food security: Revisiting its production, diversity, rice milling process and nutrient content. Agriculture 2022, 12, 741. [Google Scholar] [CrossRef]
- Lee, K.S.; Jeon, H.S.; Kim, M.Y. Optimization of a mature embryos–based in vitro culture system for high frequency somatic embryogenic callus induction and plant regeneration form japonica rice cultivar. Plant Cell Tissue Organ Cult. 2002, 71, 9–13. [Google Scholar]
- Main, M.; Frame, B.; Wang, K. Rice, japonica (Oryza sativa L.). Agrobact. Protoc. 2015, 1, 169–180. [Google Scholar]
- Sah, S.K.; Kaur, A.; Sandhu, J.S. High frequency embryogenic callus induction and whole plant regeneration in japonica rice Cv. Kitaake. J. Rice Res. 2014, 2, 2. [Google Scholar]
- Lin, Y.J.; Zhang, Q. Optimising the tissue culture conditions for high efficiency transformation of indica rice. Plant Cell Rep. 2005, 23, 540–547. [Google Scholar] [CrossRef]
- Ge, X.; Chu, Z.; Lin, Y.; Wang, S. A tissue culture system for different germplasms of indica rice. Plant Cell Rep. 2006, 25, 392–402. [Google Scholar] [CrossRef]
- Ho, T.L.; Te–Chato, S.; Yenchon, S. Callus induction and plantlet regeneration systems in indica rice (Oryza sativa L.) cultivar Sangyod. Walailak J. Sci. Technol. (WJST) 2018, 15, 753–763. [Google Scholar] [CrossRef]
- Binte Mostafiz, S.; Wagiran, A. Efficient Callus Induction and Regeneration in Selected Indica Rice. Agronomy 2018, 8, 77. [Google Scholar] [CrossRef]
- Singh, S.; Kumar, A.; Rana, V.; Kumar, A.; Sharma, V.R. In Vitro callus induction and plant regeneration in basmati rice (Oryza sativa L.) varieties. J. Pharmacogn. Phytochem. 2018, 7, 65–69. [Google Scholar]
- Munawar, S.; Cecil, I.; Habib, S.; Anwar, S. Synergistic effect of casein hydrolysate and 2, 4–D on in vitro callogenesis and subsequent regeneration in rice (Oryza sativa L.). Trends Biotechnol. Plant Sci. 2024, 2, 6–10. [Google Scholar]
- Sutradhar, M.; Singh, B.K.; Samanta, S.; Ali, N.; Mandal, N. Multiple cytokinin elevates indirect regeneration potential of indica rice mature embryo. Gene Rep. 2024, 36, 101965. [Google Scholar] [CrossRef]
- Carsono, N.; Juwendah, E.; Liberty, L.; Sari, S.; Damayanti, F.; Rachmadi, M. Optimize 2,4–D concentration and callus induction time enhance callus proliferation and plant regeneration of three rice genotypes. Biodivers. J. Biol. Divers. 2021, 22, 2555–2560. [Google Scholar] [CrossRef]
- Amarasinghe, A.A.Y.; Yang, Y.S. Comparative studies on in–vitro response of fresh and old calli of rice (Oryza sativa L.). J. Agric. Sci.–Sri Lanka 2006, 1, 1–14. [Google Scholar] [CrossRef][Green Version]
- Abe, T.; Sasahara, T. Variations in callus formation from seeds in Japonica, Indica, their Hybrids, and large grain varieties in rice. Jpn. J. Breed. 1982, 32, 53–60. [Google Scholar] [CrossRef]
- Wu, J.; Chang, X.; Li, C.; Zhang, Z.; Zhang, J.; Yin, C.; Ma, W.; Chen, H.; Zhou, F.; Lin, Y. QTLs Related to Rice Callus Regeneration Ability: Localization and Effect Verification of qPRR3. Cells 2022, 11, 4125. [Google Scholar] [CrossRef]
- Koo, B.-H.; Yoo, S.-C.; Park, J.-W.; Kwon, C.-T.; Lee, B.-D.; An, G.; Zhang, Z.; Li, J.; Li, Z.; Paek, N.-C. Natural variation in OsPRR37 regulates heading date and contributes to rice cultivation at a wide range of latitudes. Mol. Plant 2013, 6, 1877–1888. [Google Scholar] [CrossRef]
- Taguchi–Shiobara, F.; Yamamoto, T.; Yano, M.; Oka, S. Mapping QTLs that control the performance of rice tissue culture and evaluation of derived near–isogenic lines. Theor. Appl. Genet. 2006, 112, 968–976. [Google Scholar] [CrossRef] [PubMed]
- Wang, Y.; Yang, X.; Xu, G.; Ye, X.; Ji, Y.; Lou, X.; Su, J.; Sun, C.; Fu, Y.; Zhang, K. Mapping quantitative trait loci associated with callus browning in Dongxiang common wild rice (Oryza rufipogon Griff.). Mol. Biol. Rep. 2023, 50, 3129–3140. [Google Scholar] [CrossRef] [PubMed]
- Huang, C.; Zhang, J.; Zhou, D.; Huang, Y.; Su, L.; Yang, G.; Luo, W.; Chen, Z.; Wang, H.; Guo, T. Identification and candidate gene screening of qCIR9.1, a novel QTL associated with anther culturability in rice (Oryza sativa L.). Theor. Appl. Genet. 2021, 134, 2097–2111. [Google Scholar] [CrossRef] [PubMed]
- Guo, F.; Wang, H.; Lian, G.; Cai, G.; Liu, W.; Zhang, H.; Li, D.; Zhou, C.; Han, N.; Zhu, M.; et al. Initiation of scutellum–derived callus is regulated by an embryo–like developmental pathway in rice. Commun. Biol. 2023, 25, 457. [Google Scholar] [CrossRef] [PubMed]
- Sahito, J.H.; Zhang, H.; Gishkori, Z.G.N.; Ma, C.; Wang, Z.; Ding, D.; Zhang, X.; Tang, J. Advancements and Prospects of Genome–Wide Association Studies (GWAS) in Maize. Int. J. Mol. Sci. 2024, 25, 1918. [Google Scholar] [CrossRef] [PubMed] [PubMed Central]
- Hakla, H.R.; Sharma, S.; Urfan, M.; Mandlik, R.; Kumawat, S.; Rajput, P.; Khajuria, B.; Chowdhary, R.; Deshmukh, R.; Roychowdhury, R.; et al. Genome–Wide Association Study (GWAS) for Identifying SNPs and Genes Related to Phosphate–Induced Phenotypic Traits in Tomato (Solanum lycopersicum L.). Plants 2024, 13, 457. [Google Scholar] [CrossRef] [PubMed] [PubMed Central]
- Mondal, R.; Kumar, A.; Gnanesh, B.N. Crop germplasm: Current challenges, physiological–molecular perspective, and advance strategies towards development of climate–resilient crops. Heliyon 2023, 9, e12973. [Google Scholar] [CrossRef] [PubMed] [PubMed Central]
- Salgotra, R.K.; Stewart, C.N. Functional Markers for Precision Plant Breeding. Int. J. Mol. Sci. 2020, 21, 4792. [Google Scholar] [CrossRef] [PubMed] [PubMed Central]
- Susmitha, P.; Kumar, P.; Yadav, P.; Sahoo, S.; Kaur, G.; Pandey, M.K.; Singh, V.; Tseng, T.M.; Gangurde, S.S. Genome–wide association study as a powerful tool for dissecting competitive traits in legumes. Front. Plant Sci. 2023, 14, 1123631. [Google Scholar] [CrossRef] [PubMed] [PubMed Central]
- Zhang, Z.; Zhao, H.; Li, W.; Wu, J.; Zhou, Z.; Zhou, F.; Chen, H.; Lin, Y. Genome–wide association study of callus induction variation to explore the callus formation mechanism of rice. J. Integr. Plant Biol. 2019, 61, 1134–1150. [Google Scholar] [CrossRef]
- Zhang, Y.C.; Zhou, Y.F.; Cheng, Y.; Huang, J.H.; Lian, J.P.; Yang, L.; He, R.R.; Lei, M.Q.; Liu, Y.W.; Yuan, C.; et al. Genome–wide analysis and functional annotation of chromatin–enriched noncoding RNAs in rice during somatic cell regeneration. Genome Biol. 2022, 23, 28. [Google Scholar] [CrossRef] [PubMed]
- Gamborg, O.L.; Miller, R.A.; Ojima, K. Nutrient requirements of suspension cultures of soybean root cells. Exp. Cell Res. 1968, 50, 151–158. [Google Scholar] [CrossRef]
- Murashige, T.; Skoog, F. A revised method for rapid growth and bioassays with tobacco tissue cultures. Physiol. Plant. 1962, 15, 473–479. [Google Scholar] [CrossRef]
- Chu, C.C.; Wang, C.S.; Sun, C.C.; Hsu, C.; Yin, K.C.; Chu, C.Y. Establishment of an Efficient Medium for Anther Culture of Rice through Comparative Experiments on the Nitrogen Sources. Sci. Sin. 1975, 18, 659–668. [Google Scholar]
- Narciso, J.O.; Hattori, K. Genotypic differences in morphology and ultrastructures of callus derived from selected rice varieties. Philipp. Sci. Lett. 2010, 3, 59–65. [Google Scholar] [CrossRef]
- Ling, D.H.; Yoshida, S. Study of some factors affecting somatic embryogenesis in I.R. lines of rice (Oryza sativa L.). Acta Bot. Sin. 1987, 29, 1–8. [Google Scholar]
- Mekprasart, W.; Chutipaijit, S. Enhanced Efficiency in Plant Regeneration of Thai Rice Variety (Pathumthani1) Using Nano–carbon Materials Application. J. Adv. Dev. Eng. Sci. 2023, 9, 16–26. Available online: https://ph03.tci-thaijo.org/index.php/pitjournal/article/view/913 (accessed on 26 July 2024).
- Thuzar, M.; Vanavichit, A.; Tragoonrung, S.; Jantasuriyarat, C. Efficient and rapid plant regeneration of oil palm zygotic embryos cv. ‘Tenera’ through somatic embryogenesis. Acta Physiol. Plant. 2011, 33, 123–128. [Google Scholar] [CrossRef]
- Pasternak, T.P.; Steinmacher, D. Plant Growth Regulation in Cell and Tissue Culture In Vitro. Plants 2024, 13, 327. [Google Scholar] [CrossRef] [PubMed] [PubMed Central]
- Indoliya, Y.; Tiwari, P.; Chauhan, A.S.; Goel, R.; Shri, M.; Bag, S.K.; Chakrabarty, D. Decoding regulatory landscape of somatic embryogenesis reveals differential regulatory networks between japonica and indica rice subspecies. Sci. Rep. 2016, 6, 23050. [Google Scholar] [CrossRef]
- Zhao, Y.; Hu, Y.; Dai, M.; Huang, L.; Zhou, D.-X. The WUSCHEL–related homeobox gene WOX11 is required to activate shoot–borne crown root development in rice. Plant Cell 2009, 21, 736–748. [Google Scholar] [CrossRef]
- Kareem, A.; Durgaprasad, K.; Sugimoto, K.; Du, Y.; Pulianmackal, A.J.; Trivedi, Z.B.; Abhayadev, P.V.; Pinon, V.; Meyerowitz, E.M.; Scheres, B.; et al. PLETHORA Genes Control Regeneration by a Two–Step Mechanism. Curr. Biol. 2015, 25, 1017–1030. [Google Scholar] [CrossRef] [PubMed]
- Qiao, J.; Zhang, Y.; Han, S.; Chang, S.; Gao, Z.; Qi, Y.; Qian, Q. OsARF4 regulates leaf inclination via auxin and brassinosteroid pathways in rice. Front. Plant Sci. 2022, 13, 979033. [Google Scholar] [CrossRef] [PubMed]
- Kim, Y.; Chung, Y.S.; Lee, E.; Tripathi, P.; Heo, S.; Kim, K.-H. Root Response to Drought Stress in Rice (Oryza sativa L.). Int. J. Mol. Sci. 2020, 21, 1513. [Google Scholar] [CrossRef]
- Nguyen, D.; Rieu, I.; Mariani, C.; van Dam, N.M. How plants handle multiple stresses: Hormonal interactions underlying responses to abiotic stress and insect herbivory. Plant Mol. Biol. 2016, 91, 727–740. [Google Scholar] [CrossRef]
- Suzuki, N. Hormone signaling pathways under stress combinations. Plant Signal. Behav. 2016, 11, e1247139. [Google Scholar] [CrossRef]
- Dar, S.A.; Nawchoo, I.A.; Tyub, S.; Kamili, A.N. Effect of plant growth regulators on in vitro induction and maintenance of callus from leaf and root explants of Atropa acuminata Royal ex Lindl. Biotechnol. Rep. 2021, 32, e00688. [Google Scholar] [CrossRef]
- Jin, J.; Essemine, J.; Duan, J.; Xie, Q.; Zhu, J.; Cai, W. Regeneration of active endogenous IAA in rice calli following acclimation to 2,4–D free medium. Plant Growth Regul. 2021, 93, 203–220. [Google Scholar] [CrossRef]
- Furuta, K.; Kubo, M.; Sano, K.; Demura, T.; Fukuda, H.; Liu, Y.G.; Shibata, D.; Kakimoto, T. The CKH2/PKL chromatin remodeling factor negatively regulates cytokinin responses in Arabidopsis calli. Plant Cell Physiol. 2011, 52, 618–628. [Google Scholar] [CrossRef]
- Xiao, J.; Jin, R.; Wagner, D. Developmental transitions: Integrating environmental cues with hormonal signaling in the chromatin landscape in plants. Genome Biol. 2017, 18, 88. [Google Scholar] [CrossRef]
- Guo, H.; Guo, H.; Zhang, L.; Fan, Y.; Wu, J.; Tang, Z.; Zhang, Y.; Fan, Y.; Zeng, F. Dynamic Transcriptome Analysis Reveals Uncharacterized Complex Regulatory Pathway Underlying Genotype–Recalcitrant Somatic Embryogenesis Transdifferentiation in Cotton. Genes 2020, 11, 519. [Google Scholar] [CrossRef] [PubMed]
- Osabe, D.; Tanahashi, T.; Nomura, K.; Shinohara, S.; Nakamura, N.; Yoshikawa, T.; Shiota, H.; Keshavarz, P.; Yamaguchi, Y.; Kunika, K.; et al. Evaluation of sample size effect on the identification of haplotype blocks. BMC Bioinform. 2007, 8, 200. [Google Scholar] [CrossRef] [PubMed]
- Sun, B.; Ding, X.; Ye, J.; Dai, Y.; Cheng, C.; Zhou, J.; Niu, F.; Tu, R.; Hu, Q.; Xie, K.; et al. Unveiling the Genetic Basis Underlying Rice Anther Culturability via Segregation Distortion Analysis in Doubled Haploid Population. Genes 2023, 14, 2086. [Google Scholar] [CrossRef] [PubMed]
- Lee, S.; Park, Y.S.; Rhee, J.H.; Chu, H.; Frost, J.M.; Choi, Y. Insights into plant regeneration: Cellular pathways and DNA methylation dynamics. Plant Cell Rep. 2024, 43, 120. [Google Scholar] [CrossRef]
- Chun, H.J.; Baek, D.; Jin, B.J.; Cho, H.M.; Park, M.S.; Lee, S.H.; Lim, L.H.; Cha, Y.J.; Bae, D.-W.; Kim, S.; et al. Microtubule Dynamics Plays a Vital Role in Plant Adaptation and Tolerance to Salt Stress. Int. J. Mol. Sci. 2021, 22, 5957. [Google Scholar] [CrossRef]
- Park, J.S.; Choi, Y.; Jeong, M.G.; Jeong, Y.I.; Han, J.H.; Choi, H.K. Uncovering transcriptional reprogramming during callus development in soybean: Insights and implications. Front. Plant Sci. 2023, 14, 1239917. [Google Scholar] [CrossRef] [PubMed]
- Wang, D.; Guo, Y.; Wu, C.; Yang, G.; Li, Y.; Zheng, C. Genome–wide analysis of CCCH zinc finger family in Arabidopsis and rice. BMC Genom. 2008, 9, 4444. [Google Scholar] [CrossRef] [PubMed]
- Han, G.L.; Qiao, Z.Q.; Li, Y.X.; Wang, C.F.; Wang, B.S. The Roles of CCCH Zinc–Finger Proteins in Plant Abiotic Stress Tolerance. Int. J. Mol. Sci. 2021, 22, 8327. [Google Scholar] [CrossRef] [PubMed] [PubMed Central]
- Zhang, Q.; Xie, J.; Zhu, X.; Ma, X.; Yang, T.; Khan, N.U.; Zhang, S.; Liu, M.; Li, L.; Liang, Y.; et al. Natural variation in Tiller Number 1 affects its interaction with TIF1 to regulate tillering in rice. Plant Biotechnol. J. 2023, 21, 1044–1057. [Google Scholar] [CrossRef]
- Liu, L.; Trendel, J.; Jiang, G.; Liu, Y.; Bruckmann, A.; Küster, B.; Sprunck, S.; Dresselhaus, T.; Bleckmann, A. RBPome identification in egg–cell like callus of Arabidopsis. Biol. Chem. 2023, 404, 1137–1149. [Google Scholar] [CrossRef]
- Shaikh, A.A.; Alamin, A.; Jia, C.; Gong, W.; Deng, X.; Shen, Q.; Hong, Y. The Examination of the Role of Rice Lysophosphatidic Acid Acyltransferase 2 in Response to Salt and Drought Stresses. Int. J. Mol. Sci. 2022, 23, 9796. [Google Scholar] [CrossRef] [PubMed]
- Miklaszewska, M.; Zienkiewicz, K.; Klugier–Borowska, E.; Rygielski, M.; Feussner, I.; Zienkiewicz, A. CALEOSIN 1 interaction with AUTOPHAGY–RELATED PROTEIN 8 facilitates lipid droplet microautophagy in seedlings. Plant Physiol. 2023, 193, 2361–2380. [Google Scholar] [CrossRef]
- Zeng, X.; Jiang, J.; Wang, F.; Liu, W.; Zhang, S.; Du, J.; Yang, C. Rice OsClo5, a caleosin protein, negatively regulates cold tolerance through the jasmonate signalling pathway. Plant Biol. 2022, 24, 52–61. [Google Scholar] [CrossRef] [PubMed]
- Wang, J.; Zhang, Z. GAPIT Version 3: Boosting power and accuracy for genomic association and prediction. Genom. Proteom. Bioinform. 2021, 19, 629–640. [Google Scholar] [CrossRef] [PubMed]
- Evanno, G.; Regnaut, S.; Goudet, J. Detecting the number of clusters of individuals using the software STRUCTURE: A simulation study. Mol. Ecol. 2005, 14, 2611–2620. [Google Scholar] [CrossRef] [PubMed]
- Lipka, A.E.; Tian, F.; Wang, Q.; Peiffer, J.; Li, M.; Bradbury, P.J.; Gore, M.A.; Buckler, E.S.; Zhang, Z. GAPIT: Genome association and prediction integrated tool. Bioinformatics 2012, 28, 2397–2399. [Google Scholar] [CrossRef] [PubMed]
- Hao, Z.; Lv, D.; Ge, Y.; Shi, J.; Weijers, D.; Yu, G.; Chen, J. RIdeogram: Drawing SVG graphics to visualize and map genome–wide data on the idiograms. PeerJ Comput. Sci. 2020, 6, e251. [Google Scholar] [CrossRef] [PubMed]
- Kaler, A.S.; Purcell, L.C. Estimation of a significance threshold for genome–wide association studies. BMC Genom. 2019, 20, 618. [Google Scholar] [CrossRef] [PubMed]
- Dong, S.S.; He, W.M.; Ji, J.J.; Zhang, C.; Guo, Y.; Yang, T.L. LDBlockShow: A fast and convenient tool for visualizing linkage disequilibrium and haplotype blocks based on variant call format files. Brief. Bioinform. 2021, 22, bbaa227. [Google Scholar] [CrossRef]
- McLaren, W.; Gil, L.; Hunt, S.E.; Riat, H.S.; Ritchie, G.R.S.; Thormann, A.; Flicek, P.; Cunningham, F. The Ensembl Variant Effect Predictor. Genome Biol. 2016, 17, 122. [Google Scholar] [CrossRef]
- Zhang, R.; Jia, G.; Diao, X. geneHapR: An R package for gene haplotypic statistics and visualization. BMC Bioinform. 2023, 24, 199. [Google Scholar] [CrossRef] [PubMed]
- Sakai, H.; Lee, S.S.; Tanaka, T.; Numa, H.; Kim, J.; Kawahara, Y.; Wakimoto, H.; Yang, C.-C.; Iwamoto, M.; Abe, T.; et al. Rice Annotation Project Database (RAP–DB): An integrative and interactive database for rice genomics. Plant Cell Physiol. 2013, 54, e6. [Google Scholar] [CrossRef] [PubMed]











| Medium | QTL | SNP id. | Chr | Pos | p-Value | MAF | Effect |
|---|---|---|---|---|---|---|---|
| B5 | qCI–B5–Chr6 | S6_8152623 | 6 | 8,152,623 | 1.75 × 10−6 | 0.17 | −13.81 |
| MS | qCI–MS–Chr2 | S2_8960153 | 2 | 8,960,153 | 4.74 × 10−6 | 0.13 | −13.38 |
| qCI–MS–Chr6 | S6_16813533 | 6 | 16,813,533 | 2.19 × 10−6 | 0.06 | 23.91 | |
| N6 | qCI–N6–Chr6.1 | S6_3503834 | 6 | 3,503,834 | 1.67 × 10−6 | 0.17 | 15.15 |
| qCI–N6–Chr6.2 | S6_8003634 | 6 | 8,003,634 | 2.20 × 10−6 | 0.26 | −10.82 | |
| qCI–N6–Chr7 | S7_8744083 | 7 | 8,744,083 | 2.00 × 10−7 | 0.21 | 16.03 | |
| qCI–N6–Chr11 | S11_25174226 | 11 | 25,174,226 | 3.13 × 10−7 | 0.47 | 9.94 |
| QTLs | Block Start (bp) | Block End (bp) | Block Size (bp) | #SNPs | #Genes | #Candidate Genes | Annotation of Candidate Genes |
|---|---|---|---|---|---|---|---|
| qCI–B5–Chr6 | 7,934,342 | 8,198,412 | 264,070 | 56 | 21 | 16 | Os06g0252800, Os06g0253100, Os06g0253350, Os06g0253600, Os06g0254200, Os06g0254300, Os06g0254600, Os06g0255200, Os06g0255700, Os06g0255900, Os06g0256000, Os06g0256500, Os06g0256600, Os06g0256800, Os06g0257050, Os06g0257200 |
| qCI–MS–Chr2 | 8,906,794 | 8,968,876 | 62,082 | 12 | 4 | 0 | – |
| qCI–MS–Chr6 | 16,575,366 | 16,981,445 | 406,079 | 31 | 13 | 0 | – |
| qCI–N6–Chr6.1 | 3,483,450 | 3,555,107 | 71,657 | 7 | 4 | 3 | Os06g0169600, Os06g0169800, Os06g0170500 |
| qCI–N6–Chr6.2 | 7,995,999 | 8,014,002 | 18,003 | 4 | 1 | 1 | Os06g0254600 |
| qCI–N6–Chr7 | 8,734,157 | 8,858,375 | 124,218 | 11 | 5 | 2 | Os07g0256200, Os07g0256866 |
| qCI–N6–Chr11 | 25,104,139 | 25,244,312 | 140,173 | 56 | 13 | 10 | Os11g0636900, Os11g0637050, Os11g0637000, Os11g0637100, Os11g0637200, Os11g0637600, Os11g0637700, Os11g0637800, Os11g0637900, Os11g0638200 |
Disclaimer/Publisher’s Note: The statements, opinions and data contained in all publications are solely those of the individual author(s) and contributor(s) and not of MDPI and/or the editor(s). MDPI and/or the editor(s) disclaim responsibility for any injury to people or property resulting from any ideas, methods, instructions or products referred to in the content. |
© 2024 by the authors. Licensee MDPI, Basel, Switzerland. This article is an open access article distributed under the terms and conditions of the Creative Commons Attribution (CC BY) license (https://creativecommons.org/licenses/by/4.0/).
Share and Cite
Kamolsukyeunyong, W.; Dabbhadatta, Y.; Jaiprasert, A.; Thunnom, B.; Poncheewin, W.; Wanchana, S.; Ruanjaichon, V.; Toojinda, T.; Burns, P. Genome-Wide Association Analysis Identifies Candidate Loci for Callus Induction in Rice (Oryza sativa L.). Plants 2024, 13, 2112. https://doi.org/10.3390/plants13152112
Kamolsukyeunyong W, Dabbhadatta Y, Jaiprasert A, Thunnom B, Poncheewin W, Wanchana S, Ruanjaichon V, Toojinda T, Burns P. Genome-Wide Association Analysis Identifies Candidate Loci for Callus Induction in Rice (Oryza sativa L.). Plants. 2024; 13(15):2112. https://doi.org/10.3390/plants13152112
Chicago/Turabian StyleKamolsukyeunyong, Wintai, Yeetoh Dabbhadatta, Aornpilin Jaiprasert, Burin Thunnom, Wasin Poncheewin, Samart Wanchana, Vinitchan Ruanjaichon, Theerayut Toojinda, and Parichart Burns. 2024. "Genome-Wide Association Analysis Identifies Candidate Loci for Callus Induction in Rice (Oryza sativa L.)" Plants 13, no. 15: 2112. https://doi.org/10.3390/plants13152112
APA StyleKamolsukyeunyong, W., Dabbhadatta, Y., Jaiprasert, A., Thunnom, B., Poncheewin, W., Wanchana, S., Ruanjaichon, V., Toojinda, T., & Burns, P. (2024). Genome-Wide Association Analysis Identifies Candidate Loci for Callus Induction in Rice (Oryza sativa L.). Plants, 13(15), 2112. https://doi.org/10.3390/plants13152112

